Next Article in Journal
Trends in Using Microalgae as a Green Energy Source: Conventional, Machine Learning, and Hybrid Modeling Methods
Previous Article in Journal
Research on Capacity Prediction and Interpretability of Dense Gas Pressure Based on Ensemble Learning
 
 
Font Type:
Arial Georgia Verdana
Font Size:
Aa Aa Aa
Line Spacing:
Column Width:
Background:
Article

Analysis of Control Factors for Sensitivity of Coalbed Methane Reservoirs

1
Shanxi CBM Exploration and Development Branch of Petro China Company, Jincheng 048000, China
2
North China Oilfield Exploration and Development Research Institute, Renqiu 062550, China
3
School of Geosciences, Yangtze University, Wuhan 430110, China
*
Author to whom correspondence should be addressed.
Processes 2025, 13(10), 3133; https://doi.org/10.3390/pr13103133
Submission received: 4 August 2025 / Revised: 2 September 2025 / Accepted: 23 September 2025 / Published: 29 September 2025
(This article belongs to the Section Energy Systems)

Abstract

Formation damage sensitivity is a primary constraint on productivity in coalbed methane (CBM) reservoirs. Conventional experimental methods, which often employ crushed or plug coal samples, disrupt the natural fracture network, thereby overestimating matrix damage and underestimating fracture-related damage. In this study, synchronous comparative experiments were conducted using raw coal and briquette coal cores, integrated with scanning electron microscopy (SEM) and nuclear magnetic resonance (NMR) analyses to characterize coal composition and pore structure. This approach elucidates the underlying mechanisms controlling reservoir sensitivity. The main findings are as follows: The dual-sample comparative system reveals substantial deviations in traditional experimental assessments. Due to post-dissolution compaction, briquette coal samples overestimate acid sensitivity while underestimating water sensitivity. Stress sensitivity is primarily attributed to the irreversible compression of natural fractures. Differences in acid sensitivity are governed by structural integrity: mineral dissolution leads to collapse in briquette coal, whereas fractures help maintain stability in raw coal. Raw coal exhibits a lower critical flow rate for velocity sensitivity and undergoes significant water sensitivity damage below 1 MPa. Both sample types show weak alkaline sensitivity, with damage acceleration observed within the pH range of 7 to 10.

1. Introduction

Coalbed methane, as unconventional natural gas residing in the micropores and fracture networks of coal rock matrix, has dual value in optimizing energy supply and reducing greenhouse gas emissions [1,2,3]. According to the International Energy Agency (IEA) report, the global technically recoverable resources of coalbed methane exceed 260 trillion cubic meters, equivalent to 38% of conventional natural gas reserves [4]. The effective development of coalbed methane relies on the desorption, diffusion, and seepage processes of methane gas in the reservoir [5,6], while the permeability of the reservoir is the core parameter determining production capacity and development effectiveness [7,8]. However, coalbed methane reservoirs generally exhibit geological characteristics of low porosity, low permeability, and high adsorption [9,10,11], and the complex structure and low mechanical strength of the coal rock matrix and fracture system (faulting) make them highly susceptible to external physicochemical interference during various engineering stages such as drilling, reservoir modification (e.g., fracturing), and production [12,13,14], resulting in reservoir damage. This damage is primarily manifested as a sharp decline in permeability, severely restricting single well production capacity and ultimate recovery rates [2,15]. The depth of the coal seam is a key factor influencing the intensity of methane outburst. As the mining depth increases, the ground stress and the gas pressure of the coal seam usually increase, resulting in significant changes in the permeability of the coal body and a general trend of increased methane outburst volume [16]. This is because the increase in depth leads to an increase in formation pressure and temperature, which affects the adsorption and desorption properties of the coal. However, below certain critical depths (for example, in some mining areas in China, it is between 400 and 1000 m), due to the transformation of the ground stress conditions and the critical conversion of the coal body properties, the intensity of methane outburst may decrease or the growth trend may slow down [17].
One of the key factors leading to reservoir damage is reservoir sensitivity, which refers to the inherent properties and extent of adverse changes in the physical, chemical, or mechanical properties of reservoir rocks when in contact with foreign fluids or specific engineering environments [18,19]. The sensitivity of coal rock reservoirs mainly includes five types: rapid sensitivity, water sensitivity, salt sensitivity, acid sensitivity, and alkali sensitivity [20,21]. The study of coal rock reservoir sensitivity is of great significance as it directly affects the selection of fluids, optimization of process parameters, and reservoir protection in drilling, fracturing, and production operations [22,23]. It is also the key to avoiding reservoir damage and ensuring the high and stable production of coalbed methane wells [24]. Current research faces challenges such as the adaptability of experimental methods, complex influencing factors, and irreversible damage assessment [25]. Therefore, determining the types and degrees of physical damage in coal reservoirs of different ranks, structural types, and mineral contents through flow experiments similar to underground seepage processes, and studying the mechanisms of microscopic damage and macroscopic damage patterns, is of great significance for effectively avoiding or mitigating physical sensitivity damage in coal reservoirs during development and improving gas well production efficiency [26,27,28]. However, currently, 90% of experiments use crushed coal samples or piston samples, which damage the natural fracture network, overestimating matrix damage and underestimating fracture damage [29,30,31]. Therefore, this paper conducts a comparative study of the sensitivity of coalbed methane reservoirs using both raw coal samples and piston samples. Therefore, this paper conducts a comparative study on the sensitivity of coalbed methane reservoirs by simultaneously experimenting with raw coal samples and piston samples. It systematically establishes a dual-sample comparison experimental system of raw coal and briquette coal, breaking through the experimental limitations of traditional crushed/piston coal samples that destroy the natural fracture network. It reveals the control mechanism of the sensitivity of real reservoirs. By carefully preparing raw coal samples that preserve the natural fracture structure and conducting synchronous and comparative experiments with briquette coal samples that simulate traditional methods, it for the first time transforms the “fracture network effect” from a confusing variable into a core object that can be directly studied and quantified.

2. Materials and Methods

2.1. Sample Preparation

The coal rock types of the southern part of the Qinshui Basin in the Permian period are mainly semi-bright coal and semi-dark coal. The instrument was produced by Beijing Weiyan Technology Co., Ltd. in Beijing, China. The microscopic components are mainly the vitrinite group, followed by the inertinite group, and the chemoite group is relatively rare [22]. Therefore, the samples in this study were all taken from six different coal mines in the southern part of the Qinshui Basin in China, the Permian Shanxi Formation coal seam, and the coal types are mainly semi-bright type and bright type. The raw coal samples were made into cylinders with a diameter of 2.5 cm and a length of 3.0 to 5.0 cm, with both ends perpendicular to the axis.
Synthetic coal refers to artificial coal cores formed by selecting coal particles of a certain size, adding an appropriate amount of binder, and pressing them in a mold. In order to fully restore the original physical and chemical environment of the underground coal reservoir and reduce the secondary damage caused by the binder to the coal and rock, after referring to the previous research results [32], this study finally selected the salt water that is most similar to the underground fluid in which the coal and rock are located as the binder. Coal particles with a size of 70–40 mesh and a mass of 20 g were used. The specific preparation process is as follows: (1) Crush the raw coal samples, grind them, and select coal particles of 70–40 mesh. (2) Weigh 20 g of coal particles, add 2 ml of standard saline (binder), and mix evenly with the coal particles. (3) In order to reduce internal defects of the briquettes, improve the uniformity of density, and ensure the reliability and reproducibility of the experimental data, the mold was filled in three stages, and three pressing processes were carried out. The pre-pressing pressure for the first two times was 2000 N, and the duration was 10 s [33]. The first time was to preliminarily remove most of the air, allowing the bottom layer of coal powder to be initially compacted and forming the foundation. Further air removal was carried out to promote the rearrangement of the particles in the middle layer and their good combination with the upper and lower layers; in the third process, based on the maximum burial depth of the geological strata in the study area during the historical period, the pressure was set at 17,500 N and the duration was 600 s. The long-term pressure application promoted stress relaxation, reduced elastic aftereffects, and enhanced the adhesion between the particles. The synthetic coal samples have a length of 3 to 3.8 cm, an inner diameter of 2.45 cm, and the used spacer has a diameter of 2.45 cm and a thickness of 0.5 to 1.5 cm (Figure 1).

2.2. Experimental Instruments

The rock sensitivity test was conducted at the Beijing Key Laboratory of Non-conventional Natural Gas Energy Geology Evaluation and Development Engineering of China University of Geosciences (Beijing). The instrument parameters are as follows: working pressure: 50 MPa, pressure test accuracy: 0.1% F·S, flow range: 0.01–12 mL/min, working temperature: 180 °C, temperature control accuracy: ±1 °C, power supply: AC 380 V, 50 Hz, total power: 8 Kw (Figure 2).

2.3. Experimental Methods

2.3.1. Test Standards

The stress sensitivity experiment was conducted in accordance with SY/T 5358 “Evaluation Method for Reservoir Sensitivity Flow Experiments”. The net overburden pressure of the formation from which the core was extracted was calculated as specified in SY/T 5815 “Determination Method for Rock Pore Volume Compression Coefficient”, and this value was adopted as the initial net stress applied to the core. The maximum net stress level during the experiment was determined based on actual reservoir conditions. Porosity and permeability measurements of the coal rock under varying confining pressures were obtained following the procedures outlined in SY/T 6385 “Determination Method for Rock Porosity and Permeability Under Overburden Pressure”.

2.3.2. Experimental Data Processing

(1)
Main experimental content
We conducted a total of five experiments including Stress-sensitive, Rapid-sensitive, water sensitivity, Acid-sensitive and Alkali-sensitive. The brief introduction of the experiments is presented in Table 1, and the detailed descriptions of the experiments are provided below.
(2)
Pressure Sensitivity Test
The coal rock column is open to the atmosphere, and the inlet pressure of the core is kept constant during the experiment. The change in net stress experienced by the coal rock is achieved by varying the confining pressure, thereby determining the physical properties of the coal rock under different net stress conditions.
Data Processing:
Change rate of coal sample permeability under different net pressures [34]:
D stn   =   K i K n K i × 100 %
In the formula: Dstn—Change rate of permeability under different net pressures during the increase of net stress; Ki—Initial permeability (permeability of coal rock under initial net stress); Kn—Permeability of coal rock (permeability of coal rock under different net stresses during the increase of confining pressure).
Change rate of core permeability under different net stresses during the decrease of net stress [34]:
D stn   =   K i K n K i × 100 %
In the formula: Dstn—the rate of change of permeability under different net pressures during the process of net stress reduction; Ki—initial permeability (permeability of coal rock under initial net stress); Kn—permeability of coal rock (permeability of coal rock under different net stresses during the process of net stress reduction).
Calculation of irreversible permeability damage rate [34]:
D st   =   K i K i K i × 100 %
In the formula: Dst—irreversible stress sensitivity damage rate; Ki—initial permeability (permeability of coal rock under initial net stress); Ki—permeability of coal sample restored to the initial net stress point.
Stress sensitivity damage degree evaluation index (Table 2):
(3)
Sensitivity Experiment
During the experiment, the inlet pressure and confining pressure of the core were kept constant, and the fluid flow rate in the coal rock was varied by changing the outlet pressure, thereby determining the change in permeability of the coal rock at different flow rates.
Data Processing
Elimination of gas sliding effect:
The calculation formula for gas-measured permeability and equivalent liquid permeability [34]:
Kg = K∞(1 + b/p*)
In the formula: Kg is the permeability of the gas-measured rock at average pressure p*, in μm2; K∞ is the equivalent liquid permeability of the rock, in μm2; b is a coefficient determined by the size of the rock pores and the average free path of gas molecules, a decimal; p* is the average pressure of the gas passing through the rock sample, p* = (p1 + p2)/2, where p1 is the inlet pressure of the rock sample, p2 is the outlet pressure of the rock sample, in MPa.
Extend the linear segment of the relationship curve between the measured gas permeability and the reciprocal of the average pressure, and read the permeability (Ki) at each reciprocal of the average pressure from the extended line; calculate the Dυn value at each reciprocal of the average pressure (Dυn = KnKi), where Kn is the actual gas-measured permeability corresponding to the reciprocal of the average pressure.
Convert experimental flow rate to seepage velocity [34]:
υ =   14.4 Q A ϕ × 100 %
In the formula: υ—seepage velocity of the fluid, in (m/d); Q—flow rate, in (cm3/min); A—cross-sectional area of the rock sample, in (cm2); Φ—porosity of the rock sample.
Rate of change of permeability caused by flow rate sensitivity [34]:
D υ n =   K n K i K i × 100 %
In the formula: Dυn—rate of change of coal rock permeability corresponding to different flow rates; Ki—initial permeability (the permeability of coal rock corresponding to the minimum flow rate in the experiment); Kn—coal rock permeability (the permeability of coal rock corresponding to different flow rates in the experiment).
In this experiment, when evaluating the degree of sensitivity damage using gas-measured permeability, to ensure that the denominator Ki (initial permeability) is a constant value, K∞ (the equivalent liquid permeability of the rock) is used to replace Ki, in order to maintain consistency with the standard evaluation method of “Reservoir Sensitivity Flow Experiment Evaluation Method” SY/T5358-2010.
Flow rate sensitivity damage degree evaluation index (Table 3):
(4)
Water Sensitivity Experiment
In the experiment, the confining pressure and liquid flow rate of the coal sample were kept constant, and the permeability of the coal rock and its changes were measured under the injection of 8% standard saline solution and distilled water, respectively.
Data Processing
Change rate of coal rock permeability [34]:
D n   = K i K n K i × 100 %
In the formula: Dn—Water sensitivity damage rate of the rock sample; Kn—Permeability corresponding to different types of saline solution (10−3 μm2); Ki—Initial permeability (10−3 μm2)
Water sensitivity damage rate [34]:
D W   =   K i K w K i × 100 %
In the formula: Dw—Water sensitivity damage rate of the rock sample; Kw—Permeability corresponding to distilled water (10−3 μm2); Ki—Initial permeability (10−3 μm2).
Data selection explanation: Dv is the maximum value of Dv2, Dv3, … Dvn when the damage rate reaches stability under gas-driven water conditions.
Water sensitivity damage degree evaluation index (Table 4):
(5)
Acid Sensitivity Experiment
In the experiment, the confining pressure and liquid flow rate of the coal sample are kept constant, and the changes in permeability caused by different acidic fluids passing through the coal sample are determined by altering the properties of the acidic fluid.
Data Processing
Acid Sensitivity Damage Rate [34]:
D ac   =   K i K a c d K i × 100 %
In the formula: Dac—Acid Sensitivity Damage Rate of Rock Samples; Kacd—Acid-treated rock permeability (10−3 μm2); Ki—Initial Permeability (10−3 μm2)
Acid sensitivity damage degree evaluation index (Table 5):
(6)
Alkali Sensitivity Experiment
In the experiment, the confining pressure and liquid flow rate of the coal sample were kept constant, and the changes in permeability caused by different alkaline fluids passing through the coal sample were determined by altering the properties of the alkaline fluid.
Data Processing
Changes in pH value cause changes in permeability [34]:
D aln   =   K i K n K i × 100 %
In the formula: Daln—Change rate of permeability of rock samples with different pH alkaline solutions; Kn—Permeability corresponding to different pH values of rock samples (10−3 μm2); Ki—Permeability corresponding to the initial pH value alkaline solution (10−3 μm2).
Alkali sensitivity damage rate [34]:
Dal = max (Dal1, Dal2, …, Daln)
In the formula: Dal—Alkali sensitivity damage rate; Dal1, Dal2, Daln—Change rates of permeability at different pH values.
Evaluation index of alkali sensitivity damage degree (Table 6):

3. Results

3.1. Coal Rock Reservoir Characteristics

3.1.1. Pore and Permeability Characteristics

The porosity of the coal rock samples ranges from 1.04% to 5.64%, with an average value of 3.44%. Permeability is generally low, varying between 0.001 mD and 1.04 mD, and averaging 0.13 mD. Specifically, the permeability of raw coal is typically below 0.2 mD, with 60% of the samples exhibiting permeability values less than 0.1 mD and 20% measuring below 0.01 mD (Figure 3). Among the tested specimens, two fracture-containing coal samples demonstrated significantly higher permeability, both exceeding 0.8 mD.

3.1.2. Pore Structure

The pore volume with magnetic relaxation time less than 10 ms generally accounts for over 90% of the total pore volume, indicating that the pore radius of the coal reservoir in the study area is relatively small (Table 7).
As shown in Figure 4, the principal peaks in the T2 spectra of the measured samples are predominantly located within the short relaxation time range of 0.1–10 ms. Among these, the YH and BG samples exhibit a single T2 peak, suggesting that these coal samples consist mainly of micropores, with an absence of larger pores or fractures. In contrast, the TA-2, TA-3, SH, and WYK samples display one dominant peak along with a minor peak, indicating the presence of a limited number of larger pores or fractures, although micropores remain the predominant pore type. Furthermore, the T2 spectra of these six samples show a clear discontinuity between the minor and primary peaks, reflecting poor connectivity between micropores and larger pores. Notably, the WYK sample exhibits a minor peak within the 10–1000 ms range, with a relatively larger spectral area compared to the other samples, implying a higher proportion of macropores or fractures. Additionally, the original coal samples generally show two continuous peaks within the 0.1–10 ms range, indicating a certain degree of connectivity among micropores within this relaxation time interval. Overall, the NMR analysis reveals that the pore–fracture system in the coal reservoir is underdeveloped, with poor connectivity between pores and fractures. This results in limited contribution to reservoir permeability and low effective porosity.
In the synthetic coal samples, the main T2 spectral peaks are primarily distributed near relaxation times of 0.1–10 ms and 10–100 ms, indicating the development of both micropores and larger pores or fractures. Within the 0.1–10 ms range, the presence of two relatively continuous peaks suggests improved pore connectivity compared to the natural samples.

3.1.3. Coal Rock Density

The true density of coal is 1.32 g/cm3~1.99 g/cm3, with an average of 1.53 g/cm3 the apparent density is 0.86 g/cm3~1.79 g/cm3, with an average of 1.19 g/cm3; the difference between density and apparent density is 0.005 g/cm3~0.578 g/cm3, with an average of 0.333 g/cm3 (Table 8).
The true density of coal mainly depends on its degree of coalification, the composition and content of the minerals it contains, and the composition of the coal rock. The data is derived from the research results of the major project. The major project conducted more extensive sampling, making the patterns more convincing. Generally, the true density of coal increases with the increase in ash content and decreases with the increase in volatile matter, indicating a certain correlation among the three. From the coal rock test results, relevant industrial analyses and true density test results were selected to derive the linear regression equation for the correlation between ash, volatile matter, and true density: true density = 1.282671 + 0.005771Ad + 0.015204Vdaf, with a correlation coefficient of 0.337. This indicates that the volatile matter content in the high coal rank samples from the Qinshui Basin is relatively low, and the true density of the coal rock is less affected by volatile matter but significantly influenced by ash content, with higher ash content leading to higher true density (Figure 5).

3.1.4. Microstructural Characteristics of Coal Reservoirs

Common pores are primary pores, mainly consisting of the hollow structures of cell cavities, vitrinite, and semifusinite, followed by intergranular pores (Figure 6a,b). There are multiple generations of secondary fractures developed, some of which extend further and have smoother fracture surfaces, mostly formed under shear stress, which can be referred to as shear fractures (Figure 6c). These fractures contribute significantly to the permeability of the reservoir, but are mostly filled with clay minerals and calcite, with only a small portion left unfilled. There are also generally short and narrow tensile fractures in the coal reservoir (Figure 6d), with widths generally <500 nm and lengths < 3000 nm, most of which are unfilled, but due to their short length and poor connectivity between fractures, they contribute little to the permeability of the coal reservoir. In addition to organic microcomponents forming the main body, there are also minerals. The inorganic minerals in the Anze block coal samples are mainly clay minerals and carbonate minerals, with clay minerals primarily being kaolinite and carbonate minerals mainly being calcite. Under scanning electron microscopy, kaolinite appears as very thin flaky, euhedral, or subhedral crystals in the anthracite. The calcite crystal forms in the coal samples include irregular rhombohedra, acute rhombohedra, cubic-like, columnar, and platy shapes. Among them, the pores in the coal samples are damaged by the filling of carbonate and clay minerals (Figure 6e,f).

3.2. Comparison Analysis of Sensitivity Between Raw Coal and Briquette Coal

3.2.1. Comparison Analysis of Stress Sensitivity

The comparative study suggests that although there is a significant difference in the initial permeability between briquette coal (262.04 mD) and raw coal (0.037 mD), the permeability ratio (dimensionless permeability Ki/K0) and damage rate trends with effective stress are basically consistent (Figure 7, Table 9). The maximum damage rate and irreversible damage rate for stress sensitivity are slightly higher in raw coal than in briquette coal. The fitting curves of permeability for both briquette coal and raw coal, with increasing effective stress conform to exponential equations, and the fitting parameters b are close, being 0.1 and 0.14, respectively. This indicates that the mechanisms of stress sensitivity in briquette coal and raw coal are fundamentally similar, both resulting from increased effective stress, which compresses the coal rock, reduces matrix pore size, narrows micro-fracture width, and even leads to closure, causing strong stress sensitivity and a decrease in permeability. However, the irreversible damage rate of raw coal is higher. Essentially, this is due to its natural, heterogeneous, and defect-rich physical structure. Under external stress, these inherent defects are more likely to be activated, expanded, connected, and undergo irreversible damage. In contrast, briquettes are artificially reshaped homogeneous bodies with fewer defects and a more compact and stable structure.

3.2.2. Comparison of Rapid Sensitivity

It was observed that the maximum damage rate due to rapid sensitivity was quite similar for both the Tang’an briquette coal and raw coal samples, reaching 44.1% and 53.9%, respectively, indicating a moderate level of damage in both cases. The permeability of both briquette and raw coal samples decreased with increasing displacement flow rate. A sharp decline in permeability occurred once the critical flow rate was reached, beyond which the rate of permeability reduction slowed.
A notable difference was that the critical flow rate for rapid sensitivity was lower in raw coal than in briquette coal. This discrepancy is attributed to the underlying mechanisms of rapid sensitivity, as illustrated in Figure 8. In briquette coal, rapid sensitivity primarily arises from the relative displacement of coal particles. In contrast, in raw coal, it results from the detachment of rapid-sensitive minerals and fine coal powder. Given that coal particles have a larger mass compared to rapid-sensitive minerals and coal powder, a higher flow rate is required to initiate displacement in briquette coal. Consequently, the critical flow rate for rapid sensitivity is higher in briquette coal than in raw coal.

3.2.3. Water Sensitivity Comparison

It should be noted that under a pressure difference of 0.5 and 1 MPa for displacement, the saturated water samples from the raw coal samples did not produce gas. This might be due to the extreme manifestation of multiple mechanisms acting together, such as coal matrix hydration expansion, capillary force binding, water lock, particle migration blockage, and effective stress increase. These mechanisms occur simultaneously upon encountering water and significantly impair the permeability of the coal [35]. At lower displacement pressures, the applied force is unable to overcome the various “resistance” and “blockage” effects caused by water in the coal matrix, resulting in the inability to form effective gas flow channels. The measured gas flow permeability of the raw coal samples at a pressure difference of 1.5 MPa was 0.36 mD, and the corresponding water sensitivity damage rate was 36% (Table 10). This value is close to that of briquette water sensitivity, indicating that the water sensitivity of briquettes is basically the same as that of raw coal. Therefore, the traditional concept of “slow and long-term low-pressure drainage” is incorrect and harmful, and an “active, controllable, and intelligent” pressure reduction strategy should be adopted. The goal is not to extract from low pressure, but to efficiently, quickly, and safely reduce the reservoir pressure to the critical desorption pressure and maintain it within the optimal production pressure range, thereby using the power of gas itself to overcome water sensitivity damage and achieve economically effective development.

3.2.4. Acid Sensitivity Comparison

The acid sensitivity of raw coal and briquette coal differs significantly. As shown in Table 11 and Figure 9, the permeability of briquette coal decreases by 55.5% after hydrochloric acid injection, whereas that of raw coal remains virtually unchanged. This discrepancy in acid sensitivity is primarily attributable to structural differences between the two forms of coal. The reduction in permeability observed in briquette coal following acid treatment can be explained by two main mechanisms:
First, briquette coal are formed through compaction of particulate matter, resulting in significantly higher porosity and permeability compared to raw coal. The extensive surface area exposed to acid facilitates reactions with acid-sensitive minerals, leading to precipitation or mobilization of fine particles that subsequently clog pore throats. This obstructs flow pathways and reduces overall permeability.
Second, hydrochloric acid reacts with acid-soluble minerals such as calcite, dissolving previously supportive mineral phases. Due to the lack of a rigid skeletal structure in briquette coal, the confining pressure applied within the core holder causes further compaction of the sample. As a result, originally open fractures and pores close, leading to a pronounced decrease in permeability.

3.2.5. Comparison of Alkali Sensitivity

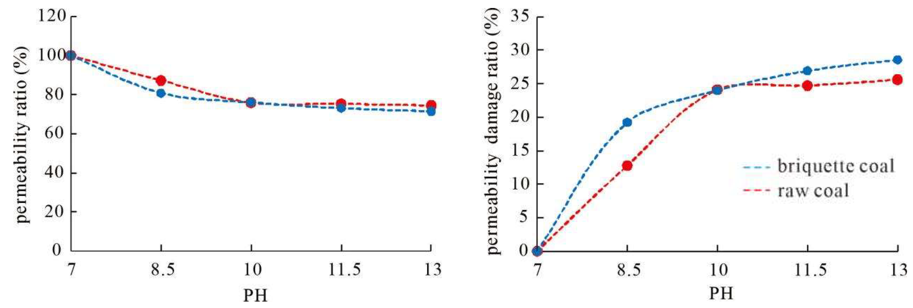
The permeability damage rates of raw coal and molded coal samples in low pH and high pH alkali solutions are shown in Table 12, revealing that their alkali sensitivity is weak. The comparison indicates that the alkali sensitivity of molded coal and raw coal samples is basically consistent, specifically reflected in the following three aspects:
  • The alkali damage degree of molded coal and raw coal samples is similar, both being weakly alkali sensitive;
  • The alkali damage rates of molded coal and raw coal samples are positively correlated with the alkalinity of the alkali solution, and the damage rate increases rapidly at lower pH (7–10), while the rate of increase in damage slows down at higher pH (10–13);
  • The trends of permeability ratios and permeability damage rates of molded coal and raw coal samples with varying pH values are basically consistent (Figure 10).
Previous studies have shown that in the low to medium pH range, chemical processes such as mineral reactions, ion exchange, and precipitation formation play a dominant role in the damage process; while in the high pH range, physical and mechanical effects such as the exhaustion of easily-reacting minerals, saturation of coal matrix adsorption and wettability changes, and increased stress sensitivity due to weakened mechanical strength become the more significant factors [23]. This conclusion is of great importance for engineering practice. One should not overlook the harmfulness of this phenomenon just because the damage rate “increases at a slower rate” in the high pH range, as the absolute value of permeability loss caused by this stage may already be quite large, and many damages are irreversible.
By comparing the results and process of this study with those of existing research, it is found that this study has made various degrees of innovation in aspects such as methods, mechanism understanding, engineering guidance, and damage assessment. The details are as shown in Table 13:

4. Conclusions

(1)
Coal reservoirs (whether raw coal or processed coal) exhibit strong stress sensitivity and significant irreversible damage, showing strong stress sensitivity, with permeability decreasing exponentially as effective stress increases. Raw coal, due to its more fragile natural fracture structure, has a higher maximum damage rate and irreversible damage rate than processed coal. This indicates that stress disturbances during the development process can permanently damage the permeability of the reservoir, necessitating optimization of engineering pressure control.
(2)
Acid sensitivity is controlled by reservoir structure, and briquette coal is more prone to damage. There is a significant difference in acid sensitivity between briquette coal and raw coal; briquette coal, due to its artificially compacted structure, experiences mineral dissolution after acid injection, leading to particle compaction and a 55.5% decrease in permeability. In contrast, raw coal maintains its permeability after acid treatment due to its natural skeletal support. This indicates that the fracturing fluid/acid formulation needs to be designed based on the structural differences in the coal body to avoid misleading field measures from briquette coal experimental conclusions.
(3)
The critical conditions for rate sensitivity and water sensitivity are dominated by microstructure. Rate sensitivity: the critical flow rate of raw coal is lower than that of briquette coal, as damage in raw coal originates from mineral detachment, while in briquette coal, it comes from particle displacement. Water sensitivity: raw coal experiences zero permeability due to fracture closure under low pressure, while the damage rate under high pressure is similar to that of briquette coal. This indicates that flow rate should be controlled in the early stages of production to avoid low-pressure-induced water lock damage.
(4)
Alkaline sensitivity is weak but highly consistent, with damage positively correlated with pH. Both raw coal and briquette coal exhibit weak alkaline sensitivity, with the permeability damage rate increasing with rising pH, and damage accelerates more rapidly in the low pH range. The damage trends of both are highly consistent, indicating that the harm from alkaline fluids to coal reservoirs is controllable, but pH should be limited to ≤10 to mitigate damage.
(5)
The coal–rock sensitivity measured in the laboratory is a static intrinsic property. It describes the inherent tendency of the coal body to change when external forces such as stress and fluids change. This value cannot be directly equated to the on-site risk, but it can be used to classify the risks of different coal layers in the mining area and even different regions, thereby formulating more targeted monitoring strategies.

Author Contributions

Conceptualization, P.L. and C.Z.; methodology, B.F.; validation, J.Z. investigation, P.L.; resources, Z.Z.; data curation, Z.Z.; writing—review and editing, P.L.; visualization, P.L.; supervision, Z.Z.; project administration, Z.Z.; funding acquisition, Z.Z. All authors have read and agreed to the published version of the manuscript.

Funding

This research was funded by “the China Important National Science and Technology Specific Projects, grant number 2011ZX05061” and “the National Natural Science Foundation of China was funded by 42002165”.

Data Availability Statement

Data is contained within the article.

Acknowledgments

We would like to express our gratitude to China Petroleum’s North China Oilfield for providing samples for this research. We also thank the editors and reviewers for their valuable suggestions on this article.

Conflicts of Interest

Authors Peng Li, Cong Zhang, and Bin Fan were employed by the Shanxi CBM Exploration and Development Branch Company. The remaining authors declare that the research was conducted in the absence of any commercial or financial relationships that could be construed as a potential conflict of interest.

Abbreviations

The following abbreviations are used in this manuscript:
CBMCoal bed methane
ECBMEnhanced Coal Bed Methane
SEMscanning electron microscopy
NMRnuclear magnetic resonance

References

  1. Moore, T.A. Coalbed methane: A review. Int. J. Coal Geol. 2012, 101, 36–81. [Google Scholar] [CrossRef]
  2. Palmer, I.; Mansoori, J. How permeability depends on stress and pore pressure in coalbeds: A new model. SPE Reserv. Eval. Eng. 1998, 1, 539–544. [Google Scholar] [CrossRef]
  3. Wang, S.; Elsworth, D.; Liu, J. Permeability evolution during progressive deformation of intact coal and implications for instability in underground coal seams. Int. J. Rock Mech. Min. Sci. 2011, 48, 455–461. [Google Scholar] [CrossRef]
  4. International Energy Agency (IEA). World Energy Outlook 2021; IEA Publications: Paris, France, 2021. [Google Scholar]
  5. Busch, A.; Gensterblum, Y.; Krooss, B.M.; Littke, R. Methane and carbon dioxide adsorption-diffusion experiments on coal: Upscaling and modeling. Int. J. Coal Geol. 2004, 60, 151–168. [Google Scholar] [CrossRef]
  6. Yao, Y.; Liu, D.; Tang, D.; Tang, S.; Huang, W. Fractal characterization of adsorption-pores of coals from North China: An investigation on CH4 adsorption capacity of coals. Int. J. Coal Geol. 2008, 73, 27–42. [Google Scholar] [CrossRef]
  7. Clarkson, C.R.; Bustin, R.M. The effect of pore structure and gas pressure upon the transport properties of coal: A laboratory and modeling study. 1. Isotherms and pore volume distributions. Fuel 1999, 78, 1333–1344. [Google Scholar] [CrossRef]
  8. Zang, Y.; Xin, X.; Xu, T.; Li, Y.; Shen, H.; Yuan, Y.; Zhu, H. Comparative Study on Improving the Production of Class 1 and Class 3 Reservoirs by Using Enlarged Permeable Well Wall Technology. Energy Fuels 2024, 38, 5862–5880. [Google Scholar] [CrossRef]
  9. Leng, K.; Guan, B.; Jiang, C.; Liu, W. Integrated Analysis of Pore and Fracture Networks in Deep Coal Seams: Implications for Enhanced Reservoir Stimulation. Energies 2025, 18, 3235. [Google Scholar] [CrossRef]
  10. Su, E.; Zhu, X.; Chen, X.; Zou, Q.; Yang, K.; Chen, H.; Wei, J. Analysis of Methane Diffusion on Permeability Rebound and Recovery in Coal Reservoirs: Implications for Deep Coalbed Methane-Enhanced Extraction. Phys. Fluids 2024, 36, 077101. [Google Scholar] [CrossRef]
  11. Wang, G.; Han, Z.; Xu, H.; Peng, S.; Huang, Q.; Long, Q. Effect of Coal Moisture Content on Gas Desorption and Diffusion: A Theoretical Model and Numerical Solution. Phys. Fluids 2024, 36, 077102. [Google Scholar] [CrossRef]
  12. Mazumder, S.; Wolf, K.H. Differential swelling and permeability change of coal in response to CO2 injection for ECBM. Int. J. Coal Geol. 2008, 74, 123–138. [Google Scholar] [CrossRef]
  13. Gu, H.; Lai, X.; Tao, M.; Cao, W.; Yang, Z. The role of porosity in the dynamic disturbance resistance of water-saturated coal. Int. J. Rock Mech. Min. Sci. 2023, 170, 105540. [Google Scholar] [CrossRef]
  14. Xu, Y.; Lun, Z.; Hu, Z.; Guo, J.; Zhou, X.; Wang, H.; Zhao, C.; Zhang, G.; Zhang, D. Alterations in pore and fracture structure of coal matrix and its surrounding rocks due to long-term CO2-H2O-rock interaction: Implications for CO2-ECBM. Fuel 2023, 352, 129104. [Google Scholar] [CrossRef]
  15. Wang, G.X.; Massarotto, P.; Rudolph, V. An improved permeability model of coal for coalbed methane recovery and CO2 geosequestration. Int. J. Coal Geol. 2009, 77, 127–136. [Google Scholar] [CrossRef]
  16. Zhao, W.; Zhao, D.; Wang, K.; Fan, L.; Zhao, Z.; Dong, H.; Shu, L. Will greenhouse gas emissions increase with mining depth in coal mines? An analysis of gas occurrence under varying in-situ stress conditions. Sci. Total Environ. 2024, 945, 173957. [Google Scholar] [CrossRef]
  17. Li, K.; Ling, B.; Bi, R.; Wei, Y.; Zhang, W.; Li, S. Numerical Simulation of the Physical Critical Conversion Depth of Deep Coal Seam. Mod. Min. 2016, 9–10+14. [Google Scholar] [CrossRef]
  18. Vishal, V.; Ranjith, P.G.; Singh, T.N. CO2 permeability of Indian bituminous coals: Implications for carbon sequestration. Int. J. Coal Geol. 2013, 105, 36–47. [Google Scholar] [CrossRef]
  19. Zhang, H.; Liu, J.; Elsworth, D. How sorption-induced matrix deformation affects gas flow in coal seams: A new FE model. Int. J. Rock Mech. Min. Sci. 2008, 45, 1226–1236. [Google Scholar] [CrossRef]
  20. Jiao, Z.; Ma, J.; Ni, Z.; Bao, W.; Lan, J.; Dong, C. Study on Mechanical Response and Failure Characteristics of Coal Specimens Under the Coupling Effect of Joints and Drillings. Processes 2025, 13, 2605. [Google Scholar] [CrossRef]
  21. Khumalo, A.; Wang, C.; Tan, T.; Khan, M.S. Research on Deep Separation Technology of Multi–Source By–Products in Coking Coal. ChemEngineering 2025, 9, 92. [Google Scholar] [CrossRef]
  22. Song, H.; An, H.; Liu, S.; Yu, Z.F.; Jin, Y.; Wang, B.Y.; Wang, C.Z. Controlling geological factors and coalbed methane enrichment areas in Southern Wuxiang Block, Qinshui Basin. J. Coal Sci. 2021, 46, 3974–3987. [Google Scholar] [CrossRef]
  23. Xia, D.; Guo, H.; Luo, Y.; Ma, J.Q.; Chen, S.L.; Wang, Z. Experimental study on reducing outburst proneness of coal seam via alkaline solution. Chin. J. Coal Sci. 2015, 40, 1768–1773. [Google Scholar] [CrossRef]
  24. Yang, S.; Wen, G.; Yan, F.; Li, H.; Liu, Y.; Wu, W. Swelling characteristics and permeability evolution of anthracite coal containing expansive clay under water-saturated conditions. Fuel 2020, 279, 118481. [Google Scholar] [CrossRef]
  25. Yang, S.; Wen, G.; Yan, F.; Zhang, M.; Zhao, X. Evaluating the maximum rate of penetration for drilling borehole in soft coal seam. Energy Sci. Eng. 2020, 8, 3273–3284. [Google Scholar] [CrossRef]
  26. Chen, Z.; Pan, Z.; Liu, J.; Connell, L.D.; Elsworth, D. Effect of the effective stress coefficient and sorption-induced strain on the evolution of coal permeability: Experimental observations. Int. J. Greenh. Gas Control. 2011, 5, 1284–1293. [Google Scholar] [CrossRef]
  27. Pan, Z.; Connell, L.D.; Camilleri, M. Laboratory characterisation of coal reservoir permeability for primary and enhanced coalbed methane recovery. Int. J. Coal Geol. 2010, 82, 252–261. [Google Scholar] [CrossRef]
  28. Shi, J.Q.; Durucan, S. A model for changes in coalbed permeability during primary and enhanced methane recovery. SPE Reserv. Eval. Eng. 2005, 8, 291–299. [Google Scholar] [CrossRef]
  29. Li, S.; Tang, D.; Pan, Z.; Xu, H.; Guo, L.L. Evaluation of coalbed methane potential of different coal reservoirs in China. Int. J. Coal Geol. 2013, 115, 1–11. [Google Scholar]
  30. Meng, Z.; Zhang, J.; Wang, R. In-situ stress, pore pressure and stress-dependent permeability in the Southern Qinshui Basin. Int. J. Rock Mech. Min. Sci. 2011, 48, 122–131. [Google Scholar] [CrossRef]
  31. Pan, Z.; Connell, L.D. Modelling permeability for coal reservoirs: A review of analytical models and testing data. Int. J. Coal Geol. 2012, 92, 1–44. [Google Scholar] [CrossRef]
  32. NB/T 10889-2021; The Damage Evaluation Method for Water Based Fracturing Fluid Using Briquette. National Energy Administration: Beijing, China, 2021.
  33. Gao, X.; Li, C.Y.; Zhang, B.Y. Experimental study on optimization of molding pressure and pressure holding time in briquette preparation. J. Heilongjiang Univ. Sci. Technol. 2021, 31, 197–202. [Google Scholar]
  34. Sun, J. Evaluation of Nitrogen Flow Rate Sensitivity of Coalbed Gas Reservoirs; China University of Petroleum: Beijing, China, 2021. [Google Scholar]
  35. Hu, Q.; Jia, H.; Fan, B.; Mao, C.H.; Zhang, Q.; Zhang, X.M.; Liu, C.C.; Qin, M.F. Concept, testing method and mathematical model of stress uploading sensitivity of coal. J. China Coal Soc. 2022, 47 (Suppl. S1), 204–213. [Google Scholar] [CrossRef]
  36. Xu, J.; Jia, L.; Gan, Q.; Peng, S.; Yan, F.; Wang, X.; Dai, S.; Jiao, F.; Li, Q.; Chen, Y. Experimental method for optimizing the molding conditions of hot-pressed briquette. J. China Coal Soc. 2024, 49, 739–752. [Google Scholar] [CrossRef]
  37. Yang, S.; Liu, P.; Lu, W. Study on triaxial compression tests on briquette coal specimens with different binder contents. J. Min. Strat. Control. Eng. 2023, 5, 023027. [Google Scholar] [CrossRef]
  38. Hu, X.; Liang, W.; Hou, S.; Zhu, X.; Huang, W. Experimental Study of Effect of Temperature and Stress on Permeability Characteristics of Raw Coal and Shaped Coal. Rock Soil Mech. 2012, 31, 1222–1229. [Google Scholar]
Figure 1. Figures of raw coals, briquette coal cores, and the rubber sleeves.
Figure 1. Figures of raw coals, briquette coal cores, and the rubber sleeves.
Processes 13 03133 g001
Figure 2. Photo of the rock core flow instrument of the rock mass.
Figure 2. Photo of the rock core flow instrument of the rock mass.
Processes 13 03133 g002
Figure 3. Distribution of Coal Sample Permeability in the Qin Nan Area.
Figure 3. Distribution of Coal Sample Permeability in the Qin Nan Area.
Processes 13 03133 g003
Figure 4. Saturated water state of coal samples and T2 magnetic relaxation spectra after centrifugation.
Figure 4. Saturated water state of coal samples and T2 magnetic relaxation spectra after centrifugation.
Processes 13 03133 g004
Figure 5. The relationship between the true density of coal and ash content, volatile matter.
Figure 5. The relationship between the true density of coal and ash content, volatile matter.
Processes 13 03133 g005
Figure 6. Microscopic Characteristics of Coal Rock. (a) Cell cavity pores, ×2230; (b) Intergranular pores, ×3100; (c) Secondary fractures, ×1000; (d) Fractures, mainly tensile stress, multiple, irregular, Jelly-like semi-fill material, ×902; (e) Clay minerals, ×102; (f) Kaolinite, ×9100.
Figure 6. Microscopic Characteristics of Coal Rock. (a) Cell cavity pores, ×2230; (b) Intergranular pores, ×3100; (c) Secondary fractures, ×1000; (d) Fractures, mainly tensile stress, multiple, irregular, Jelly-like semi-fill material, ×902; (e) Clay minerals, ×102; (f) Kaolinite, ×9100.
Processes 13 03133 g006
Figure 7. Evaluation of Stress Sensitivity of Briquette Coal and Raw Coal.
Figure 7. Evaluation of Stress Sensitivity of Briquette Coal and Raw Coal.
Processes 13 03133 g007
Figure 8. Trend of permeability of briquette coal and raw coal with displacement flow rate or displacement pressure difference.
Figure 8. Trend of permeability of briquette coal and raw coal with displacement flow rate or displacement pressure difference.
Processes 13 03133 g008
Figure 9. Histogram of permeability ratio of molded coal and raw coal before and after hydrochloric acid injection.
Figure 9. Histogram of permeability ratio of molded coal and raw coal before and after hydrochloric acid injection.
Processes 13 03133 g009
Figure 10. Alkaline Sensitivity Trend with PH Variation.
Figure 10. Alkaline Sensitivity Trend with PH Variation.
Processes 13 03133 g010
Table 1. Main experimental content.
Table 1. Main experimental content.
Experiment NameVariable ParametersPurpose
Stress-sensitiveconfining pressureBy changing the confining pressure, the net stress exerted on the coal and rock can be altered.
Rapid-sensitivePressure at the outlet end of the core sampleBy altering the pressure at the outlet end, the flow rate of the fluid in the coal rock can be changed.
Water-sensitivefluidThe change in permeability of coal rock when using 8% standard saline and distilled water.
Acid-sensitiveProperties of acidic fluidsBy altering the properties of the acidic fluids flowing through the coal sample, the changes in the permeability of the coal rock when different acidic fluids pass through it were measured.
Alkali-sensitiveProperties of alkaline fluidsBy altering the properties of the alkaline fluids flowing through the coal sample, the changes in permeability caused by different alkaline fluid flows passing through the coal sample can be determined.
Table 2. Stress sensitivity damage degree evaluation index [34].
Table 2. Stress sensitivity damage degree evaluation index [34].
Stress Sensitivity Damage Rate (%)Damage Degree
D ≤ 5No
5 < D ≤ 30Weak
30 < D ≤ 50Moderately Weak
50 < D ≤ 0Moderately Strong
D > 70Strong
Table 3. Evaluation Index of Flow Rate Sensitivity Damage Degree [34].
Table 3. Evaluation Index of Flow Rate Sensitivity Damage Degree [34].
Stress Sensitivity Damage Rate (%)Damage Degree
D ≤ 5No
5 < D ≤ 30Weak
30 < D ≤ 50Moderately Weak
50 < D ≤ 70Moderately Strong
D > 70Strong
Table 4. Evaluation Index of Water Sensitivity Damage Degree [34].
Table 4. Evaluation Index of Water Sensitivity Damage Degree [34].
Water Sensitivity Damage Rate (%)Damage Degree
Dw ≤ 5No
5 < Dw ≤ 30Weak
30 < Dw ≤ 50Moderately Weak
50 < Dw ≤ 70Moderately Strong
70 < Dw ≤ 90Strong
Table 5. Acid sensitivity damage degree evaluation index [34].
Table 5. Acid sensitivity damage degree evaluation index [34].
Acid Sensitivity Damage Rate (%)Damage Degree
Dac ≤ 5No
5 < Dac ≤ 30Weak
30 < Dac ≤ 50Moderately Weak
50 < Dac ≤ 70Moderately Strong
Dac > 70Strong
Table 6. Evaluation index of alkali sensitivity damage degree [34].
Table 6. Evaluation index of alkali sensitivity damage degree [34].
Alkali Sensitivity Damage Rate (%)Damage Degree
Dal ≤ 5No
5 < Dal ≤ 30Weak
30 < Dal ≤ 50Moderately Weak
50 < Dal ≤ 70Moderately Strong
Dal > 70Strong
Table 7. Sample information and experimental results of nuclear magnetic resonance.
Table 7. Sample information and experimental results of nuclear magnetic resonance.
Sample IDConventional Analysis ResultsNuclear Magnetic Resonance Analysis Results
Gas-Measured Porosity (%)Apparent Rock Density (g/cm3)Nuclear Magnetic Porosity (%)Pore Volume Percentage (%)
Less than 10 msGreater than 10 ms
TA22.951.113.1898.121.88
TA31.731.041.8999.980.02
BG4.821.425.0993.236.77
YH7.141.527.7299.790.21
SH3.581.453.9398.361.64
WYK1.851.361.9197.862.14
Table 8. Coal Density Test Statistics.
Table 8. Coal Density Test Statistics.
Moisture Content (%)True Density (g/cm3)Apparent Density (g/cm3)Density Difference (g/cm3)
Maximum Value1.361.9841.7890.578
Minimum value0.571.1320.8590.005
Average value0.851.531.190.333
Table 9. Stress Sensitivity Evaluation Table for Briquette Coal and Raw Coal.
Table 9. Stress Sensitivity Evaluation Table for Briquette Coal and Raw Coal.
Sample NumberInitial Permeability/mDFitting Parameter bMaximum Damage Rate (%)Irreversible Damage Rate (%)Sensitivity Evaluation
TA (Coke)262.040.1071.440.2Strong
Tang’an 2 (Raw Coal)0.0370.1483.843.2Strong
Table 10. Evaluation Table of Water Sensitivity for Briquette Coal and Raw Coal.
Table 10. Evaluation Table of Water Sensitivity for Briquette Coal and Raw Coal.
Raw CoalDamage Rate Corresponding to Different Pressure Conditions (MPa)Maximum Water Sensitivity Damage Rate (%)Water Sensitivity Damage Level
0.511.5
110.36100Strong
Briquette coalDamage rate corresponding to different flow rates (mL/min)Maximum damage rate due to water sensitivity (%)Degree of damage due to water sensitivity
135
0.270.2990.2929.90Weak
Table 11. Evaluation of Acid Sensitivity of Briquette Coal and Raw Coal.
Table 11. Evaluation of Acid Sensitivity of Briquette Coal and Raw Coal.
Briquette CoalRaw Coal
Acid solution15% HCL
Permeability before acid addition/mD34.770.02
Permeability after acid addition/mD15.470.02
Acid sensitivity permeability damage rate/%55.50
Acid sensitivityDamageNone
Table 12. Evaluation of alkali sensitivity of coal and raw coal.
Table 12. Evaluation of alkali sensitivity of coal and raw coal.
Sample NumberPermeability Damage Rate/% at pH = 8.5EvaluationPh = 13 Permeability Damage Rate/%Evaluation
TA (Briquette Coal)19.23Weak28.58Weak
Tang’an 2 (Raw Coal)12.77Weak25.61Weak
Table 13. The comparison between the experiments in this article and those in the previous ones.
Table 13. The comparison between the experiments in this article and those in the previous ones.
Comparison DimensionAdvantages of This StudyRepresentative Recent Literature and Key Viewpoints
Methodological InnovationDual-sample (“undisturbed coal-briquette”) comparative system directly quantifies the systematic bias of briquette experiments in overestimating acid sensitivity and underestimating water sensitivity at low pressure.Developed an optimized method for hot-pressed briquettes aiming to make their mechanical and permeability properties closer to undisturbed coal. However, it did not directly address the systematic bias in sensitivity evaluation, indirectly acknowledging differences exist between briquette and undisturbed coal [36].
Understanding Acid Sensitivity MechanismRevealed that structural integrity is a prerequisite for acid sensitivity. Briquettes show strong acid sensitivity due to structural collapse post-mineral dissolution, while undisturbed coal remains stable due to its natural skeleton support.Studied the effect of binders on the mechanical properties of briquettes. While not directly researching acid sensitivity, their findings on how briquette structural strength is affected by preparation parameters support the view that “poor structural integrity of briquettes easily leads to deformation or failure,” which partially echoes the structural control theory for acid sensitivity presented in this study [37].
Critical Conditions for Velocity & Water SensitivityDiscovered that undisturbed coal has a lower critical flow velocity (due to fine particle detachment) and exhibits an abrupt change in water sensitivity at low pressure (fracture closure), emphasizing the necessity of guiding drainage systems based on undisturbed coal data.Proposed the concept and testing method for the stress loading rate sensitivity of coal, emphasizing the damage of stress variation rate to permeability. Although focusing on stress rate rather than fluid flow rate, their research deepens the understanding of coal sensitivity, which is related to this study’s focus on how critical conditions cause reservoir damage [35].
Irreversibility of Stress SensitivityConfirmed the strong irreversible damage from stress sensitivity, and notably that the irreversible damage rate is higher in undisturbed coal than in briquettes, strengthening the argument for optimizing engineering pressure management to prevent permanent reservoir damage.Experimentally confirmed that coal undergoes plastic deformation in pore structure after experiencing high confining pressure, leading to irreversible loss of porosity and permeability, i.e., permanent irreversible damage, directly supporting this study’s conclusion on the irreversibility of stress sensitivity [38].
Disclaimer/Publisher’s Note: The statements, opinions and data contained in all publications are solely those of the individual author(s) and contributor(s) and not of MDPI and/or the editor(s). MDPI and/or the editor(s) disclaim responsibility for any injury to people or property resulting from any ideas, methods, instructions or products referred to in the content.

Share and Cite

MDPI and ACS Style

Li, P.; Zhang, C.; Fan, B.; Zhang, J.; Zhao, Z. Analysis of Control Factors for Sensitivity of Coalbed Methane Reservoirs. Processes 2025, 13, 3133. https://doi.org/10.3390/pr13103133

AMA Style

Li P, Zhang C, Fan B, Zhang J, Zhao Z. Analysis of Control Factors for Sensitivity of Coalbed Methane Reservoirs. Processes. 2025; 13(10):3133. https://doi.org/10.3390/pr13103133

Chicago/Turabian Style

Li, Peng, Cong Zhang, Bin Fan, Jie Zhang, and Zhongxiang Zhao. 2025. "Analysis of Control Factors for Sensitivity of Coalbed Methane Reservoirs" Processes 13, no. 10: 3133. https://doi.org/10.3390/pr13103133

APA Style

Li, P., Zhang, C., Fan, B., Zhang, J., & Zhao, Z. (2025). Analysis of Control Factors for Sensitivity of Coalbed Methane Reservoirs. Processes, 13(10), 3133. https://doi.org/10.3390/pr13103133

Note that from the first issue of 2016, this journal uses article numbers instead of page numbers. See further details here.

Article Metrics

Back to TopTop