Effect of Riboflavin and Blue Light-Emitting Diode Irradiation on Microbial Inactivation and the Physicochemical Properties of Betel Leaves
Abstract
1. Introduction
2. Materials and Methods
2.1. Materials
2.2. Microbial Strains and Culture Preparation
2.3. Preparation of Betel Leaf Samples
2.4. Photodynamic Treatment Protocol
2.5. Microbial Enumeration
2.6. Physicochemical Analyses
2.6.1. Total Soluble Solids (TSS)
2.6.2. Total Phenolic Content (TPC)
2.6.3. DPPH Radical Scavenging Activity
2.6.4. Color Measurement
2.7. Statistical Analyses
3. Results and Discussion
3.1. Spectral Compatibility Between Light Source and Photosensitizer
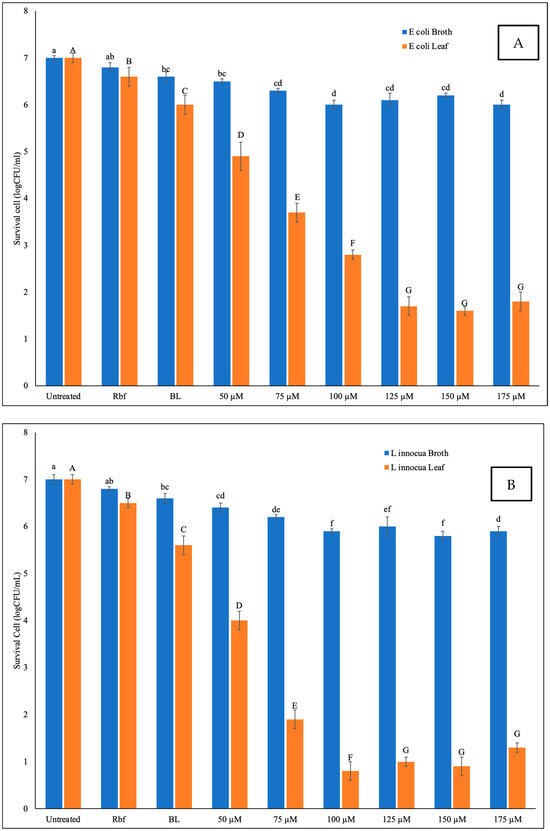
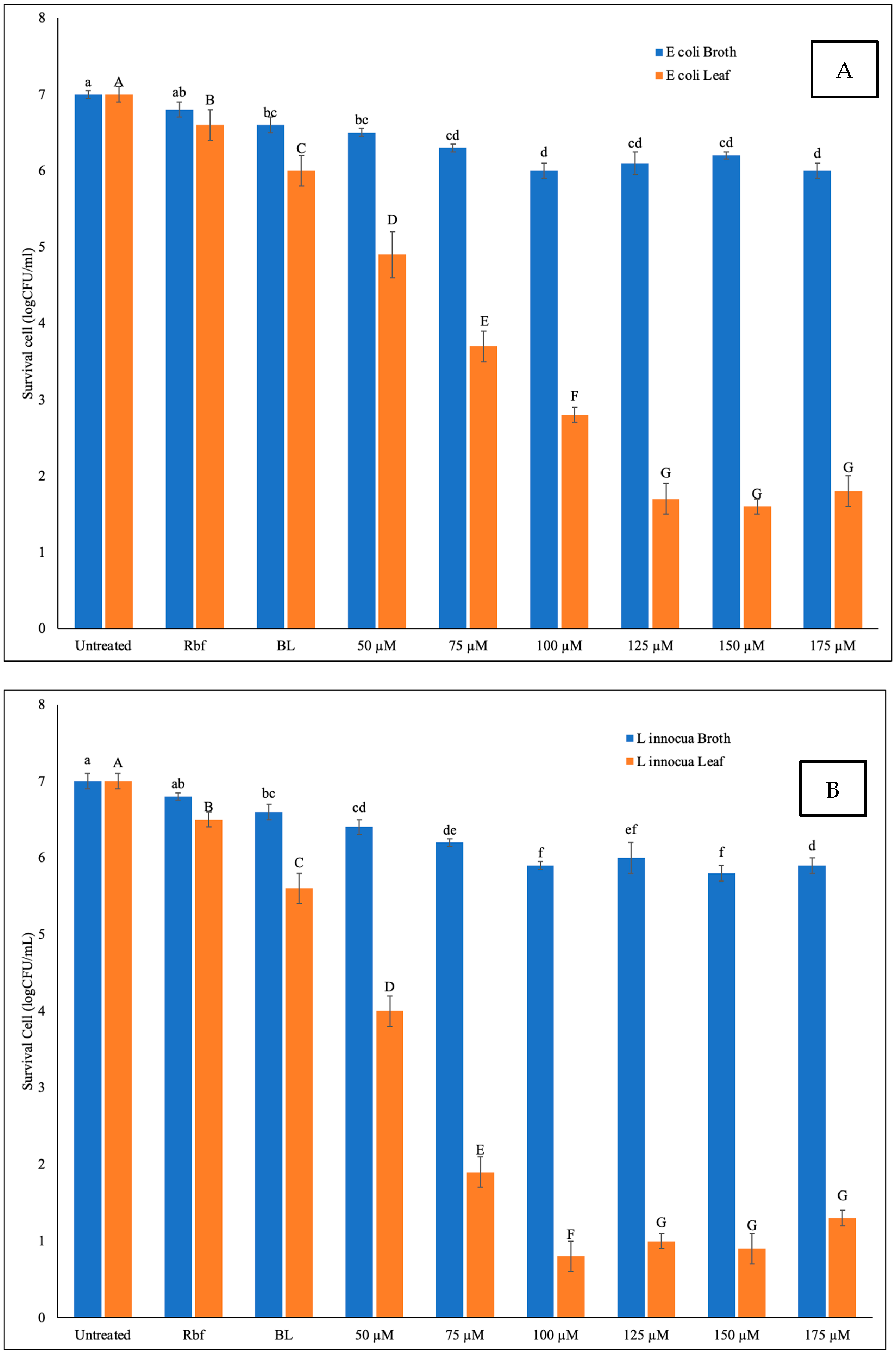
3.2. Dose-Dependent Microbial Inactivation by Riboflavin and Blue LED Light
3.3. Residual Survival of Microbes Following Photodynamic Treatment
3.4. Morphological Changes in Bacteria Observed by SEM
3.5. Physicochemical Properties of Betel Leaf
3.5.1. Total Soluble Solids (TSS)
3.5.2. Total Phenolic Content (TPC)
3.5.3. Antioxidant Activity (DPPH)
3.5.4. Color Parameter
4. Conclusions
Supplementary Materials
Author Contributions
Funding
Data Availability Statement
Conflicts of Interest
Abbreviations
| PDT | Photodynamic treatment |
| Rbf | Riboflavin |
| BL | Blue Light |
| ROS | Reactive Oxygen Species |
References
- Dada, A.C.; Somorin, Y.M.; Ateba, C.N.; Onyeaka, H.; Anyogu, A.; Kasan, N.A.; Odeyemi, O.A. Microbiological Hazards Associated with Food Products Imported from the Asia-Pacific Region Based on Analysis of the Rapid Alert System for Food and Feed (RASFF) Notifications. Food Control 2021, 129, 108243. [Google Scholar] [CrossRef]
- Wang, Y.; Wang, Y.; Wang, Y.; Murray, C.K.; Hamblin, M.R.; Hooper, D.C.; Dai, T. Antimicrobial Blue Light Inactivation of Pathogenic Microbes: State of the Art. Drug Resist. Updates 2017, 33–35, 1–22. [Google Scholar] [CrossRef]
- Kim, D.K.; Shin, M.; Kim, H.S.; Kang, D.H. Inactivation Efficacy of Combination Treatment of Blue Light-Emitting Diodes (LEDs) and Riboflavin to Control E. coli O157:H7 and S. typhimurium in Apple Juice. Innov. Food Sci. Emerg. Technol. 2022, 78, 103014. [Google Scholar] [CrossRef]
- Jiang, Y.; Leung, A.W.; Hua, H.; Rao, X.; Xu, C. Photodynamic Action of LED-Activated Curcumin against Staphylococcus Aureus Involving Intracellular ROS Increase and Membrane Damage. Int. J. Photoenergy 2014, 2014, 637601. [Google Scholar] [CrossRef]
- Juan, C.A.; de la Lastra, J.M.P.; Plou, F.J.; Pérez-Lebeña, E. The Chemistry of Reactive Oxygen Species (ROS) Revisited: Outlining Their Role in Biological Macromolecules (DNA, Lipids and Proteins) and Induced Pathologies. Int. J. Mol. Sci. 2021, 22, 4642. [Google Scholar] [CrossRef]
- Li, J.; Ran, X.; Zhou, M.; Wang, K.; Wang, H.; Wang, Y. Oxidative Stress and Antioxidant Mechanisms of Obligate Anaerobes Involved in Biological Waste Treatment Processes: A Review. Sci. Total Environ. 2022, 838, 156454. [Google Scholar] [CrossRef]
- Liu, J.; van Iersel, M.W. Photosynthetic Physiology of Blue, Green, and Red Light: Light Intensity Effects and Underlying Mechanisms. Front. Plant Sci. 2021, 12, 619987. [Google Scholar] [CrossRef] [PubMed]
- Suwannasom, N.; Kao, I.; Pruß, A.; Georgieva, R.; Bäumler, H. Riboflavin: The Health Benefits of a Forgotten Natural Vitamin. Int. J. Mol. Sci. 2020, 21, 950. [Google Scholar] [CrossRef] [PubMed]
- Farah, N.; Chin, V.K.; Chong, P.P.; Lim, W.F.; Lim, C.W.; Basir, R.; Chang, S.K.; Lee, T.Y. Riboflavin as a Promising Antimicrobial Agent? A Multi-Perspective Review. Curr. Res. Microb. Sci. 2022, 3, 100111. [Google Scholar] [CrossRef]
- Vatansever, F.; de Melo, W.C.M.A.; Avci, P.; Vecchio, D.; Sadasivam, M.; Gupta, A.; Chandran, R.; Karimi, M.; Parizotto, N.A.; Yin, R.; et al. Antimicrobial Strategies Centered around Reactive Oxygen Species—Bactericidal Antibiotics, Photodynamic Therapy, and Beyond. FEMS Microbiol. Rev. 2013, 37, 955–989. [Google Scholar] [CrossRef]
- Songca, S.P.; Adjei, Y. Applications of Antimicrobial Photodynamic Therapy against Bacterial Biofilms. Int. J. Mol. Sci. 2022, 23, 3209. [Google Scholar] [CrossRef] [PubMed]
- Hu, M.; Gurtler, J.B. Selection of Surrogate Bacteria for Use in Food Safety Challenge Studies: A Review. J. Food Prot. 2017, 80, 1506–1536. [Google Scholar] [CrossRef]
- Algorri, J.F.; Ochoa, M.; Roldán-Varona, P.; Rodríguez-Cobo, L.; López-Higuera, J.M. Light Technology for Efficient and Effective Photodynamic Therapy: A Critical Review. Cancers 2021, 13, 3484. [Google Scholar] [CrossRef]
- Van Acker, H.; Coenye, T. The Role of Reactive Oxygen Species in Antibiotic-Mediated Killing of Bacteria. Trends Microbiol. 2017, 25, 456–466. [Google Scholar] [CrossRef]
- Kim, M.J.; Da Jeong, M.; Zheng, Q.; Yuk, H.G. Antimicrobial Activity of 405 Nm Light-Emitting Diode (LED) in the Presence of Riboflavin against Listeria Monocytogenes on the Surface of Smoked Salmon. Food Sci. Biotechnol. 2021, 30, 609. [Google Scholar] [CrossRef]
- Li, H.; Zhou, X.; Huang, Y.; Liao, B.; Cheng, L.; Ren, B. Reactive Oxygen Species in Pathogen Clearance: The Killing Mechanisms, the Adaption Response, and the Side Effects. Front. Microbiol. 2021, 11, 622534. [Google Scholar] [CrossRef] [PubMed]
- Weitner, T.; Friganovic, T.; Šakic, D. Inner Filter Effect Correction for Fluorescence Measurements in Microplates Using Variable Vertical Axis Focus. Anal. Chem. 2022, 94, 7107–7114. [Google Scholar] [CrossRef] [PubMed]
- Biswas, P.; Anand, U.; Saha, S.C.; Kant, N.; Mishra, T.; Masih, H.; Bar, A.; Pandey, D.K.; Jha, N.K.; Majumder, M.; et al. Betelvine (Piper betle L.): A Comprehensive Insight into Its Ethnopharmacology, Phytochemistry, and Pharmacological, Biomedical and Therapeutic Attributes. J. Cell Mol. Med. 2022, 26, 3083–3119. [Google Scholar] [CrossRef]
- Mackay, A.M. Microbial Resistance to Photodynamic Therapy. J. Cell. Immunol. 2022, 4, 117–120. [Google Scholar] [CrossRef]
- Aguilar, F.; Crebelli, R.; Dusemund, B.; Galtier, P.; Gott, D.; Gundert-Remy, U.; König, J.; Lambré, C.; Leblanc, J.-C.; Mosesso, P.; et al. Scientific Opinion on the Re-Evaluation of Riboflavin (E 101(i)) and Riboflavin-5′-Phosphate Sodium (E 101(Ii)) as Food Additives. EFSA J. 2013, 11, 3357. [Google Scholar] [CrossRef]
- Wong, N.G.K.; Rhodes, C.; Dessent, C.E.H. Photodegradation of Riboflavin under Alkaline Conditions: What Can Gas-Phase Photolysis Tell Us about What Happens in Solution? Molecules 2021, 26, 6009. [Google Scholar] [CrossRef]
- Szewczyk, G.; Mokrzyński, K.; Sarna, T. Generation of Singlet Oxygen inside Living Cells: Correlation between Phosphorescence Decay Lifetime, Localization and Outcome of Photodynamic Action. Photochem. Photobiol. Sci. 2024, 23, 1673–1685. [Google Scholar] [CrossRef]
- Zhang, Y.; Li, S.; Deng, M.; Gui, R.; Liu, Y.; Chen, X.; Lin, Y.; Li, M.; Wang, Y.; He, W.; et al. Blue Light Combined with Salicylic Acid Treatment Maintained the Postharvest Quality of Strawberry Fruit during Refrigerated Storage. Food Chem. X 2022, 15, 100384. [Google Scholar] [CrossRef]
- Li, H.; Tan, L.; Chen, B.; Huang, J.; Zeng, Q.; Liu, H.; Zhao, Y.; Wang, J.J. Antibacterial Potency of Riboflavin-Mediated Photodynamic Inactivation against Salmonella and Its Influences on Tuna Quality. LWT 2021, 146, 111462. [Google Scholar] [CrossRef]
- Govindan, P.; Muthukrishnan, S. Evaluation of Total Phenolic Content and Free Radical Scavenging Activity of Boerhavia Erecta. J. Acute Med. 2013, 3, 103–109. [Google Scholar] [CrossRef]
- Relucenti, M.; Familiari, G.; Donfrancesco, O.; Taurino, M.; Li, X.; Chen, R.; Artini, M.; Papa, R.; Selan, L. Microscopy Methods for Biofilm Imaging: Focus on SEM and VP-SEM Pros and Cons. Biology 2021, 10, 51. [Google Scholar] [CrossRef]
- Běhalová, H.; Tremlová, B.; Kalčáková, L.; Pospiech, M.; Dordevic, D. Assessment of the Effect of Secondary Fixation on the Structure of Meat Products Prepared for Scanning Electron Microscopy. Foods 2020, 9, 487. [Google Scholar] [CrossRef]
- Zhang, J.; Zheng, P.; Li, J.; Yang, Y.; Zeng, S.; Qiu, J.; Lin, S. Curcumin-Mediated Sono-Photodynamic Treatment Inactivates Listeria Monocytogenes via ROS-Induced Physical Disruption and Oxidative Damage. Foods 2022, 11, 808. [Google Scholar] [CrossRef]
- Kong, J.Q. Phenylalanine Ammonia-Lyase, a Key Component Used for Phenylpropanoids Production by Metabolic Engineering. RSC Adv. 2015, 5, 62587–62603. [Google Scholar] [CrossRef]
- Kumar, V.; Khare, T.; Srivastav, A.; Surekha, C.; Shriram, V.; Wani, S.H. Oxidative Stress and Leaf Senescence: Important Insights. In Senescence Signalling and Control in Plants; Academic Press: New York, NY, USA, 2019; pp. 139–163. [Google Scholar] [CrossRef]
- Nur Sazwi, N.; Nalina, T.; Rahim, Z.H.A. Antioxidant and Cytoprotective Activities of Piper Betle, Areca Catechu, Uncaria Gambir and Betel Quid with and without Calcium Hydroxide. BMC Complement. Altern. Med. 2013, 13, 351. [Google Scholar] [CrossRef] [PubMed]
- Kurt, M.; Nemli, S.K.; Güngör, M.B.; Bal, B.T.; Öztürk, E. Perceptibility and Acceptability Thresholds for Color Differences of Light and Dark Maxillofacial Skin Replications. Vis. Res. 2024, 223, 108474. [Google Scholar] [CrossRef] [PubMed]
- Tonto, T.C.; Cimini, S.; Grasso, S.; Zompanti, A.; Santonico, M.; De Gara, L.; Locato, V. Methodological Pipeline for Monitoring Post-Harvest Quality of Leafy Vegetables. Sci. Rep. 2023, 13, 20568. [Google Scholar] [CrossRef] [PubMed]





| Group | Riboflavin Treatment | Light Exposure | Description |
|---|---|---|---|
| Untreated | None | None | No treatment applied |
| Rbf | Immersion in riboflavin solution | None | Riboflavin pre-treated without illumination |
| BL | None | Blue LED (470 nm, 30 min) | Light exposure without riboflavin |
| Rbf + BL | Immersion in riboflavin solution | Blue LED (470 nm, 30 min) | Riboflavin + light exposure |
| Parameters | Untreated | Rbf-BL | ||||||
|---|---|---|---|---|---|---|---|---|
| Day 0 | Day 3 | Day 7 | Day 10 | Day 0 | Day 3 | Day 7 | Day 10 | |
| TSS (ºBrix) | 5.05 1.00 e | 8.11 0.23 d | 11.12 0.15 b | 5.00 0.85 e | 10.50 1.00 c | 12.00 0.50 a | 11.85 0.15 a | 10.80 0.30 ab |
| TPC (mmol GAE/g) | 0.02 0.01 f | 0.06 0.01 e | 0.11 0.02 cd | 0.14 0.02 b | 0.08 0.02 de | 0.11 0.01 cd | 0.15 0.03 b | 0.17 0.02 a |
| DPPH (%inhibition) | 7.09 2.11 g | 30.02 4.45 f | 40.23 5.12 de | 46.12 3.88 cd | 41.17 2.44 de | 50.01 3.33 c | 60.11 1.15 b | 62.01 1.50 a |
| L* | 35.25 2.53 a | 34.38 1.03 ab | 33.2 1.18 b | 36.88 0.32 a | 30.32 0.71 bc | 31.66 1.57 bc | 28.32 1.81 d | 29.95 0.58 c |
| a* | −12.02 0.21 d | −9.89 1.74 c | −6.52 2.22 b | −0.62 0.74 a | −8.30 0.69 c | −0.41 1.98 a | −0.75 1.55 a | −1.02 0.43 a |
| b* | 13.68 0.78 a | 12.36 1.49 a | 6.97 1.68 bc | 3.65 0.66 c | 8.83 0.25 b | 5.89 0.98 bc | 3.05 1.99 c | 1.66 0.84 c |
| ΔE | − | 2.65 | 8.91 | 15.27 | 4.68 | 13.05 | 14.32 | 14.89 |
Disclaimer/Publisher’s Note: The statements, opinions and data contained in all publications are solely those of the individual author(s) and contributor(s) and not of MDPI and/or the editor(s). MDPI and/or the editor(s) disclaim responsibility for any injury to people or property resulting from any ideas, methods, instructions or products referred to in the content. |
© 2025 by the authors. Licensee MDPI, Basel, Switzerland. This article is an open access article distributed under the terms and conditions of the Creative Commons Attribution (CC BY) license (https://creativecommons.org/licenses/by/4.0/).
Share and Cite
Rinpan, R.; Panudta, V.; Phongkhedkham, R.; Janpitu, S.; Phongthai, S.; Klangpetch, W.; Khumsap, T. Effect of Riboflavin and Blue Light-Emitting Diode Irradiation on Microbial Inactivation and the Physicochemical Properties of Betel Leaves. Processes 2025, 13, 3130. https://doi.org/10.3390/pr13103130
Rinpan R, Panudta V, Phongkhedkham R, Janpitu S, Phongthai S, Klangpetch W, Khumsap T. Effect of Riboflavin and Blue Light-Emitting Diode Irradiation on Microbial Inactivation and the Physicochemical Properties of Betel Leaves. Processes. 2025; 13(10):3130. https://doi.org/10.3390/pr13103130
Chicago/Turabian StyleRinpan, Rattanaporn, Vethaga Panudta, Rawisara Phongkhedkham, Siriyakorn Janpitu, Suphat Phongthai, Wannaporn Klangpetch, and Tabkrich Khumsap. 2025. "Effect of Riboflavin and Blue Light-Emitting Diode Irradiation on Microbial Inactivation and the Physicochemical Properties of Betel Leaves" Processes 13, no. 10: 3130. https://doi.org/10.3390/pr13103130
APA StyleRinpan, R., Panudta, V., Phongkhedkham, R., Janpitu, S., Phongthai, S., Klangpetch, W., & Khumsap, T. (2025). Effect of Riboflavin and Blue Light-Emitting Diode Irradiation on Microbial Inactivation and the Physicochemical Properties of Betel Leaves. Processes, 13(10), 3130. https://doi.org/10.3390/pr13103130

