Next Article in Journal
Limited Utilization of an External Carbon Source in a Rotating Electro-Biological Disc Contactor (REBDC)
Previous Article in Journal
Microscopic Mechanism of Moisture Affecting Methane Adsorption and Desorption in Coal by Low-Field NMR Relaxation
 
 
Font Type:
Arial Georgia Verdana
Font Size:
Aa Aa Aa
Line Spacing:
Column Width:
Background:
Article

Boron Removal in the Aqueous Phase Using Agave Bagasse Biochar and Zeolite Packaging

by
Celia De La Mora Orozco
1,2,
Liset Cano
2,
Juan Nápoles Armenta
3,
Celestino García Gómez
4,
Javier García Velasco
5,
Diana Yaneli De La Mora García
6,
Laura Izascum Pérez Valencia
2,* and
Edgardo Martínez Orozco
2,*
1
Department of Integral Watershed Management, National Institute of Forestry, Agricultural and Livestock Research, Tepatitlán de Morelos C.P. 47600, Jalisco, Mexico
2
Research Department, Academic Unit Arandas, Technological Institute José Mario Molina Pasquel y Henríquez, National Technological Institute of México, Arandas C.P. 47180, Jalisco, Mexico
3
Benito Juárez Unit, State University of Sonora, Villa Juárez C.P. 85294, Sonora, Mexico
4
Faculty of Agronomy, Autonomous University of Nuevo León, General Escobedo C.P. 66050, Nuevo León, Mexico
5
Department of Environmental Sciences, University Center for Biological and Agricultural Sciences, University of Guadalajara, Zapopan C.P. 45200, Jalisco, Mexico
6
Department of Chemical Engineering, University Center for Exact Sciences and Engineering, University of Guadalajara, Guadalajara C.P. 44430, Jalisco, Mexico
*
Authors to whom correspondence should be addressed.
Processes 2025, 13(10), 3114; https://doi.org/10.3390/pr13103114
Submission received: 20 August 2025 / Revised: 27 September 2025 / Accepted: 27 September 2025 / Published: 29 September 2025
(This article belongs to the Section Environmental and Green Processes)

Abstract

This study investigated the efficacy of agave bagasse biochar and zeolite as filter materials for the removal of boron from water using a continuous flow column system. Experiments were conducted with varying initial boron concentrations and contact times. The results showed moderate boron removal capabilities, with agave biochar slightly outperforming zeolite. Maximum removal percentages of 29.31% for zeolite and 33.12% for agave biochar were achieved at the lowest initial boron concentration. Factorial analysis revealed significant effects of concentration, contact time, and column material on boron removal, with contact time having the largest impact. The interaction between concentration and column material suggests the potential for optimization. While removal percentages were lower compared to some chemically modified materials, the use of low-cost, natural filter media offers sustainability advantages. These materials show promise for treating water with lower boron levels or as part of a multi-step treatment process. Future research should focus on optimizing experimental conditions and exploring material modifications to enhance boron removal efficiency.

1. Introduction

The increase in socioeconomic activities, such as agriculture and industry, have negatively affected the natural environment, including fresh water, since a large percentage of everything that is consumed is processed, and most processes use water [1,2,3]. Irrigation of agricultural land accounts for 70% of the world’s water resources [4]. In developing countries, irrigation accounts for approximately 95% of total water use [5]. However, in several parts of the world, including Mexico, contamination of irrigation water with different elements has been reported, such as sodium, boron and heavy metals, e.g., arsenic, cobalt, copper, lead, nickel, and zinc, which jeopardizes the productivity of crop fields and the quality of products and leads to the accumulation of contaminants in soils [2,6,7,8,9,10,11].
Boron is an element found in the environment, generally in low concentrations. Higher concentrations of boron can be found in many parts of the world, particularly those with high mineralization and in carbonate groundwater [10]. The element boron is a non-metal and is considered a vital micronutrient for plant growth [12]. In both soil and water, boron is adsorbed onto particles, suspended solids, and sediments [13]. Boron has been recognized as an essential element for plants and is classified as a micronutrient since it is required in very small amounts [14]. However, boron in large amounts in water is currently labeled as a contaminant [15].
Crop toxicity occurs when soils are rich in boron or when soils are continuously exposed to high concentrations of boron in irrigation water. Additionally, fertilizers, sewage sludge, or boron-rich volcanic ash contribute to boron in soil [16,17]. The amount of boron adsorbed in soil and sediments depends mainly on the pH (7.5–9.0 units) and concentration of boron in solution [10]. Damage due to boron toxicity has been reported in bean crops [18], banana [14], tomato [19], castor bean [20], avocado [21], pistachio [22], and sugarcane [23], among others. A classification of crops according to their tolerance to boron is the designation of these as sensitive crops. Some sensitive crops are apple, orange, lemon, and avocado; in the classification of semi-sensitive crops are barley, cabbage, lettuce, tomato, and tobacco; and some crops that are classified as tolerant are cotton, sugar beet, cucumber, and tulip [24,25].

1.1. Effect of Boron on Living Beings

Boron could also be harmful to animals in several aspects: for example, when animals are exposed to boron during pregnancy, the offspring can have congenital disabilities and possible poor development [26], while, in humans, it can cause eye irritation and gastric mucosa [27], immune function [28,29] and liver damage [30].
Boron (B) is recognized as an essential element for plants and is classified as a micronutrient, as it is required in very small amounts [14]. Generally, boron deficiency symptoms appear first in the terminal buds, producing small and deformed leaves, with very condensed branching. In the area adjacent to the Salado River (from where the water was taken to introduce it in the packed columns), the main crop is sugarcane. The sufficient concentration of boron in soils for most crops is 1.0 mg/kg−1. For sugarcane, the critical value for irrigation water is 4.0 mg/L [17].
Plants exhibit significant variation in terms of the symptoms of boron deficiency; the main symptoms occur at the terminal growth points and in the soft conducting tissues (phloem) of the stem, but they are almost always associated with anatomical or histological abnormalities. Generally, symptoms of boron deficiency first appear in the terminal shoots, producing small and deformed leaves, with the development of very condensed branches. On the other hand, boron toxicity occurs in crops grown in soils rich in boron or in soils exposed to irrigation water, fertilizers, sewage sludge, or fly ash that are rich in boron [31]. Table 1 shows examples of crops that are sensitive and tolerant to boron.
The sufficiency ranges have an upper limit, which provides an indication of the concentration at which the element can be in excess, and, for sugarcane, this is 10 to 50 mg/L of boron [16], although McCray et al. [17] suggest 10 to 20 mg/L of boron.

1.2. Materials Used for Boron Removal from Water

Zeolite. Zeolite is a type of clay with a three-dimensional structure with pores and cavities that function to perform cation exchanges [33,34]. It is a mineral that contains hydrated aluminosilicates and can hydrate and dehydrate in a variable way [33]. Zeolite can be found in basaltic rocks, which formed from the interaction of volcanic ash and seawater. The clash between lava and seawater salt results in the formation of the mineral, which hardens over time. Zeolite is widely used in the removal of heavy metals due to its ability to adhere to them [33], and it has been studied for its potential in removing boron from various aqueous matrices. Núñez-Gómez et al. [35] explored the use of natural zeolite as a soil improver and sorbent for boron in agricultural waters. Another team led by Núñez-Gómez [36] investigated the sorption equilibrium of boron using zeolites in different types of aqueous solutions, including synthetic solutions and natural irrigation waters.
Biochar. Food processing has generated numerous by-products, including organic matter or biomass, which have not been given added value for many years. The main components of organic matter are cellulose, hemicellulose, and lignin [37]. In recent years, there has been experimentation with several characteristics of biomass, which have applications in agriculture as organic fertilizers [38]. Another use of biomass is the production of biochar, a byproduct of the thermal decomposition of biomass (organic materials) through pyrolysis. Biochar has a high concentration of nutrients, which makes it an ideal material to enrich the soil, in addition to its potential to retain pollutants and prevent them from reaching aquifers [38]. Biochar is a black solid material, and, due to the pyrolysis processes, its structure and pore size are very peculiar [37].
Liquid phase adsorption. Adsorption is a physical–chemical process where an element in the aqueous phase is concentrated on a surface. The component that is impregnated on the surface is called an adsorbate, and the phase where adsorption occurs is called an adsorbent [39]. Adsorption helps the elimination of elements that are included in the matter in any of its phases, whether liquid or gas, which is removed by a solid [26].

1.3. Standards Related to Boron in Water

In Mexico, there are different regulations related to the use and consumption of water, as well as the disposal of waste in bodies of water. The Official Mexican Standard NOM-127-SSA1-2021 [40] relates to water for human use and consumption. The permissible limits for water quality do not mention boron as a parameter for determining the quality of water for human consumption. On the other hand, the Secretariat of the Environment and Natural Resources issued the Official Mexican Standard NOM-001-SEMARNAT-2021 [41], which establishes permissible limits for pollutants in wastewater discharge into bodies of water owned by the nation. This standard also fails to mention or establish permissible limits for boron concentrations in wastewater discharges into receiving bodies.
Regarding water quality requirements for different uses, in Mexico, there are the Ecological Water Quality Criteria CE-CCA-001/89 [42]. Based on these criteria, the competent authority may classify bodies of water as suitable for use as sources of potable water supply, for recreational activities with primary contact, for agricultural irrigation, for livestock use, in aquaculture, or for the protection of aquatic life. CE-CCA-001/89 mentions boron as follows: This substance presents persistence, bioaccumulation, or cancer risk, so human exposure should be minimized. The maximum permissible limit (LMP) is 0.7 mg/L, and, for irrigation of crops sensitive to boron, the water will contain a maximum of 0.75 mg/L of this substance, except for other crops where concentrations of up to 3 mg/L may be applied.

1.4. Importance of the Parameters Analyzed in Water

pH. When the pH is low, some toxic compounds and elements become more mobile and available; thus, aquatic organisms and plants can take them up more readily. A pH range of 6.0 to 8.5 protects freshwater fish and invertebrate life at the bottom of canals or water bodies [43].
Electrical conductivity. The total concentration of salt in water is measured through the Electrical Conductivity (EC) [44]. One of the primary effects of high EC concentrations on crops is the inability of plants to compete for ions present in water and soil, resulting in the phenomenon known as physiological drought. Irrigation water with high EC concentrations reduces crop yields, with the long-term effect being more evident [45]. The EC measures the salinity of all ions dissolved in the water, including negatively charged ions (Cl-, NO3-) and positively charged ions (Ca++, Na+).
Turbidity. Turbidity is the reduction in clarity in water due to the presence of suspended particles. Several factors cause the turbidity problem, and they can be organic or inorganic [46]. Turbidity, by itself, is not a health concern; however, high turbidity can interfere with disinfection and provide a medium for the growth of microorganisms. It can also indicate the presence of microbes [47].
Color. Color is one of the organoleptic parameters that can express good water quality. Color is closely related to turbidity due to the accumulation of suspended particles and some substances that are diluted in the water; it has a diffuse appearance, so that, at first glance, we denote dirty water, and it also prevents natural light from penetrating the water in its entirety, which is the cause of the poor reproduction of microorganisms [48].
Total Dissolved Solids. Total dissolved solids are the accumulation of minerals, salts, and metals that are dissolved in water [49]. Total Dissolved Solids (TDS) are formed by particles such as clay, silt, and others, even if they are not dissolved; the water carries them in two ways: in stable suspension (colloidal solutions) or in suspension that only lasts as long as the water movement drags them. Those suspended colloidally will only precipitate after having undergone coagulation or flocculation, which is the union of several particles [49,50]. These parameters provide an indicator of possible problems depending on the quality of the irrigation water used and are essential for decision making [50].

1.5. Previous Research on Boron Removal from Water

Research from around the world has reported high concentrations of some contaminants in water. For example, Navinta Aquise and Condori Sucari [51] found concentrations of B, As, Mg, Na, Cl, and SO2 above the standards established in Peru for surface water. The authors reported that the contamination found is of natural origin, as the study area is located near a volcanic region. Research conducted in Puerto Rico found that banana crops were negatively affected by high concentrations of boron present in irrigation water, causing toxic effects on the plants [14]. In Mexico, some research has also been reported regarding the presence of boron in water. Mancilla-Villa et al. [52] conducted a study to determine the presence of boron contamination in water from deep wells, rivers, and springs in Puebla, Tlaxcala, and Veracruz. The authors found acceptable concentrations of boron in surface water (rivers and springs); however, they report toxic concentrations in deep well water.
Ravelo Polo utilized chitosan–nickel beads to remove boron concentrations ranging from 5 to 50 ppm. The results showed that the boron concentration decreased by 90% when compared to the inlet concentrations, presented values of 5 mg/L, and the outlet concentrations, with values in a range of 7.9 mg/L and 0.1 mg/L. When comparing the results with the requirements of European standards (1 ppm), removing boron using chitosan–nickel beads does not meet these standards in most of the samples [26]. Canadell used alginate and alginate–alumina beads to remove boron from water. Alginate is a polysaccharide obtained from algae. The concentrations used in this study were 5 and 25 mg/L. The two types of beads were used in two ways: wet and dry. To the solutions with the known concentration of boron, either alginate or alginate/alumina beads were added and left in agitation for 3 days at 50 rpm; two pH levels were handled in the solution: 7 and 11 [27].
On the other hand, in the same research, they also used columns where the water circulated in a dynamic and continuous way; the columns were packed with 2% wet alginate beads. The samples were analyzed using the azomethine H method. The results showed boron removal above 50% in the alginate and alginate–alumina beads. The authors concluded that boron adsorption is feasible when using both wet alginate beads at pH 11 and wet alginate–alumina beads at pH 11. Additionally, favorable results were obtained in a closed system when using dry alginate–alumina beads at pH 11. Meanwhile, the results showed a removal of 13.3%, so the authors concluded that the beads do not work in a continuous system where the columns were used [27]. Vera et al. [53] used interpenetrating polymeric network membranes (N-methyl-D-glucamine) to remove boron from the soil; this methodology was evaluated in various environments. The results showed that the values with maximum retention capacity were 0.0023, 0.51, and 0.10 mg boron g−1 of membrane for soils S1 (Montelibano), S2 (Unicor), and S3 (Sincelejo), respectively. The authors concluded that concentrations of 56% were retained using this treatment. As mentioned above, physical and chemical treatments are used to remove impurities from water; however, biological treatments have also been employed, as demonstrated by Duran et al. [54], who used duckweed, which reproduces rapidly. The authors concluded that this biological treatment can remove boron from municipal waste. Biological treatment has also been used to remove boron from the soil through phytoremediation. In Argentina, Albarracín-Franco and de Viana [55] used aspidosperma quebracho blanco and lolium multiflorum. They used different concentrations of boron to evaluate the efficiency of the plants under the various treatments. The results showed a 68% decrease in boron when using the two plant species at the end of the experiment. The authors concluded that phytoremediation using the two species is a viable alternative for removing boron concentrations in the soil up to 50 ppm. Romano Gómez and Balderrama Flores [56] evaluated the method to produce lithium carbonate from a salt flat, finding that alcohols can remove approximately 90% of the boron in the salar. Moreover, 2-ethyl-1,3-hexanediol proved to be the most effective, reducing the boron concentration to minimal amounts in a shorter time.
Another material used to remove boron from water is zeolite. González, Pérez and Medina [34], used faujasite and soladite; from here, four zeolites, LSX, X, Y, and sodalite, were modified with CaCl2, NiCl2, and amino-propyltrimethoxysilane (APS), to determine whether the adsorption capacity is higher. The results showed that the faujasite zeolite had an adsorption capacity greater than 83%, while those modified with nickel had a removal of 72 to 89%. On the other hand, the zeolite modified with calcium had a lower adsorption capacity. Recent research by Liao et al. [57] used sugarcane bagasse biochar from agricultural waste with ammonia nanobubbles (10% ammonia and 90% nitrogen). They reported an adsorption capacity of 36 mg B/g biochar at room temperature using the Langmuir adsorption isotherm and adding magnesium chloride. For a brief overview, see Table 2.
Current water treatment technologies are primarily efficient; however, their infrastructure and operating costs are very high. Some technologies have been developed to reduce the concentration of these contaminants in water, such as reverse osmosis, polymers, ion exchange resins, electrodialysis, electrocoagulation, etc.; however, the cost of installing these technologies is high [2]. The demand for quality crop water has generated a continuous search for technologies with low installation and maintenance costs. The problem is magnified as traditional wastewater treatment, seawater desalination, and reverse osmosis (RO) cannot successfully remove it from raw water [15].

1.6. Boron Content in Salado River

The Salado River, from which the water for the present experiment was extracted, flows into the La Vega dam, which has a series of tributaries. In the northern part, there are some springs with boron concentrations below 1.0 mg/L; in the northwest, streams flow in with an average boron concentration of 1.1 mg/L. However, the main water input to the dam is the Salado River, in the southeast part, and it has shown boron concentrations of up to 13.3 mg/L. According to [58], it has been observed that the boron concentration increases from north to south in the dam, reaching a maximum value of 7.22 mg/L. The reservoir water is mainly used for irrigation, which leads to the accumulation of boron in the irrigated soils of an area covering approximately 6000 hectares, cultivated mainly with sugarcane. Results showed boron concentrations of up to 4 mg/L in the soils where water from the dam is used [58].

1.7. Research Novelty and Objective

Recent decades have seen the emergence of plant biomass adsorption methods as cost-effective and eco-friendly alternatives. Biochar, produced through biomass pyrolysis, is one such method that creates a structure and surface area specifically suited for arsenic adsorption [59]. Biochar is considered sustainable as it avoids introducing unwanted by-products into the environment, can be reused, and is derived from post-harvest plant residues, allowing for complete crop utilization [60]. These attributes align with the United Nations Sustainable Development Goals by promoting sustainable water management and reducing environmental pollution. Biochar has been extensively researched as an adsorbent material for cleaning water and soils contaminated with metals and metalloids [61,62,63]. It is also effective in removing other contaminants such as fluoride, pharmaceuticals, and phenols [64], and it serves as a soil amendment [65].
Zeolite’s porosity and high negative charge are well-documented advantages for low-cost ion removal [66,67]. However, no studies were found using zeolite and biochar from Agave tequilana Weber bagasse to analyze boron removal capacity in the aqueous phase. Therefore, this study aimed to evaluate boron removal using filters packed with natural zeolite and Agave tequilana Weber biochar. This information will be valuable for designing filters to remove contaminating ions, allowing water use for agriculture, contributing to sustainability, and improving the quality and availability of water resources.
The objective of this study is to evaluate boron removal efficiency in water using columns with different packing, through analysis with Atomic Absorption Spectroscopy.

2. Materials and Methods

The research was conducted in the Environmental Engineering Laboratory at the Technological Institute José Mario Molina Pasquel y Henriquez, Academic Unit Arandas.

2.1. Column Packing Material

The column packing materials used were agave bagasse biochar and zeolite. The biochar was obtained commercially. The process specifications are as follows: the agave bagasse biochar was obtained through a pyrolyzing oven based on LP gas, with a batch process with an average temperature of 450–700 °C and a yield of 50%. The raw material is produced with a humidity of 10%. In the case of biochar, it was not altered; instead, it was used under physical and chemical conditions after manufacturing.
Biochar is characterized by its large specific surface area, high stable carbon content (from 50% to 93%), porous structure, surface functional groups, and high mineral content. The results of the characterization of the biochar used in this research are presented in Table 3.
The zeolite was obtained from a mine in San Luis Potosi, Mexico, and the material was crushed to obtain small particles until they passed through a 2 mm sieve. The packaging material used in this research was without physical or chemical alteration, i.e., natural zeolite (it was washed with tap water before packaging). The chemical composition of the zeolite used in this study was potassium-type clinoptilolite (present at 5.1%), according to the results obtained by García Franco et al. [68]. See Table 4.

2.2. Water Samples

The water used was collected from the Salado River in Tala, Jalisco, as previous studies have found high concentrations of boron in its waters. A homogeneous sample was sent to the soil fertility laboratory of the National Institute of Forestry, Agricultural, and Livestock Research (INIFAP), located in Santiago Ixcuintla, Nayarit, to determine the boron concentration. The boron concentration determined was 8 mg/L.
The water from the Salado River was collected from a single point located before the city of Tala, Jalisco, at coordinates 20.688942, −103.689302, prior to Los Chorros de Tala waterpark. Twenty liters were taken and transported to the environmental engineering laboratory at the Technological Institute José Mario Molina Pasquel y Enríquez, Academic Unit Arandas, in a cooler at an approximate temperature of 4 °C. The water was collected in December 2018.

2.3. Columns Construction Procedure

For the construction of the water columns, the following steps were taken: the lower part of a 10 L water bottle was cut off to store the water to be used. Next, a hole was drilled in the lid of the water bottle to install a nipple, along with a ½-inch PVC pipe, and it was placed vertically. Next, a ½ inch tee was attached to the PVC pipe, and, at the other two ends of the tee, two couplings were placed, one on each side, along with a piece of PVC pipe. Next, caps were attached to each piece of PVC, and a hole was made in each one to enable the installation of venoclysis hoses, which would regulate the flow incorporated into the columns. Please refer to Figure 1a for columns constructed, and Figure 1b for array with hoses and water supply container.

2.4. Experimental Design

The treatments to be evaluated were three concentrations of boron (8, 4, and 2 mg/L) in the influent of the columns and two contact times: 2 and 4 hrs. The treatments were evaluated in triplicate using a 3 × 2 factorial design. The sampling sites evaluated were the water inlet and outlet of the columns (response variable) to assess the system’s efficiency in removing boron. The inlet flow in the columns was maintained at 10 mL/min; these data were selected based on the literature consulted. The parameters evaluated are mentioned in Table 5.
The experimental runs were performed as follows: the first phase corresponded to two-hour experimental runs, two repetitions were performed with each of the concentrations (8.921, 4.473, and 2.545 mg/L of boron), and, from each repetition, five samples were collected. The first sample corresponds to time 0, and the following four samples were collected at 30 min intervals.
In the second phase, experimental runs were carried out using four hours of contact time; two replicates were performed with each of the previously selected boron concentrations (8, 4, and 2 mg/L). Five samples were also collected; the first one corresponded to time 0 and the following ones were collected at 60 min intervals.
Three treatments were evaluated with different boron concentrations and contact times: Treatment 1 (C1) used a boron concentration of 8.921 mg/L; Treatment 2 (C2) used a boron concentration of 4.473 mg/L; and Treatment 3 (C3) used a boron concentration of 2.545 mg/L. The experiment was conducted with two contact times: Contact Time 1 corresponding to 2 h (T1) and Contact Time 2 corresponding to 4 h (T2).

2.5. Sample Analysis

The parameters analyzed in the collected samples are shown in Table 1. The samples were collected in 250 mL bottles and transported to the INIFAP water and soil laboratory, located at the Centro-Altos de Jalisco Experimental Field in Tepatitlán, where the following parameters were analyzed: pH, Electrical Conductivity, Turbidity, Total Dissolved Solids, and Color.
Once this analysis was completed, the samples were refrigerated at 4 °C and then transferred to the INIFAP Soil Fertility Laboratory, located at the Santiago Experimental Field in Ixcuintla, Nayarit. In this laboratory, the boron concentration of the samples was determined according to the azomethine-H method using an Atomic Absorption Spectrophotometer. The samples were analyzed in two replicates per treatment.

2.6. Results Analysis

Descriptive statistics were applied to the results, in addition to the probability of statistical difference between two study factors: two contact times and three starting concentrations (3 × 2 factorial). R-Studio was used for this analysis.

3. Results

3.1. Boron Removal Results

Figure 2 shows the results of the boron removal using biochar as the column packing, contact time 1 (T1), which corresponded to 2 h, and the three treatments (starting concentrations). The average removal using 2 h of contact time, corresponding to treatment 1 (C1), yielded a value of 14.15% with a standard deviation of ±2.35%. In the case of treatment 2 (C2), the average removal rate increased slightly, with an average of 20.36% and a standard deviation of ±0.93%. The standard deviation was lower than in T1. The average removal in treatment 3 (C3) presented values in the range of 21.81% to 25.37%, with an average value of 23.59% for the two replicates; this treatment had the highest standard deviation, with a value of ±2.52%. As shown in Figure 2, an increase of 6.21% was observed in the removal of C2 with respect to C1, as well as an increase of 3.23% in C3 with respect to C2; this behavior could be because the concentration of boron was decreasing in each treatment, in this way, in C1 the concentration of boron at the entrance of the column was higher than the initial concentration in C2, and, in C2, it was higher in relation to C3.
Figure 3 also shows the results of boron removal, using biochar as packaging and a contact time of 4 h, referred to as contact time 2 (T2). The results show that the average removal rate for C1 was 14.23% with a SD of ±2.78%, while C2 showed an average removal rate of 18.56% with a SD of ±0.00%, and finally, T3 showed a removal rate of 26.38% with a SD of ±4.15%. The same behavior can be observed in T1, as the removal increased with the decrease in boron concentration at the beginning of the experiment, corresponding to time 0. The increase in the removal of C2 compared to C1 was 5.63%, and that of C3, compared to C2, was 6.51%.
Figure 4 presents the results obtained for boron removal using two contact times with zeolite as the column packing material. The average removal values fluctuated between 15.53%, 22.39%, and 28.14% for C1, C2, and C3, respectively. The standard deviations were observed in a range of ±0.81%, ±5.72%, and ±7.05% for C1, C2, and C3, respectively. The highest removal percentage was observed in C3, where the boron concentration at the beginning of the experiment was lower. An increase in boron removal of 6.85% was observed for C2 with respect to C1, and 5.75% for C3 with respect to C2.
In the case of T2, the results showed some variations with respect to T1. For example, the removal fluctuated in a range of 15.46% (±8.07%), 23.53% (±5.99%), and 23.20% (±4.06) for C1, C2, and C3, respectively. It can be observed that the trend in removal using this packing in the column was similar to the previous one, i.e., C2 presented higher removal concerning C1 (8.07%), and C3 obtained 0.33% more boron removal than C2. See Figure 5.

3.2. Physical Parameters Analyzed

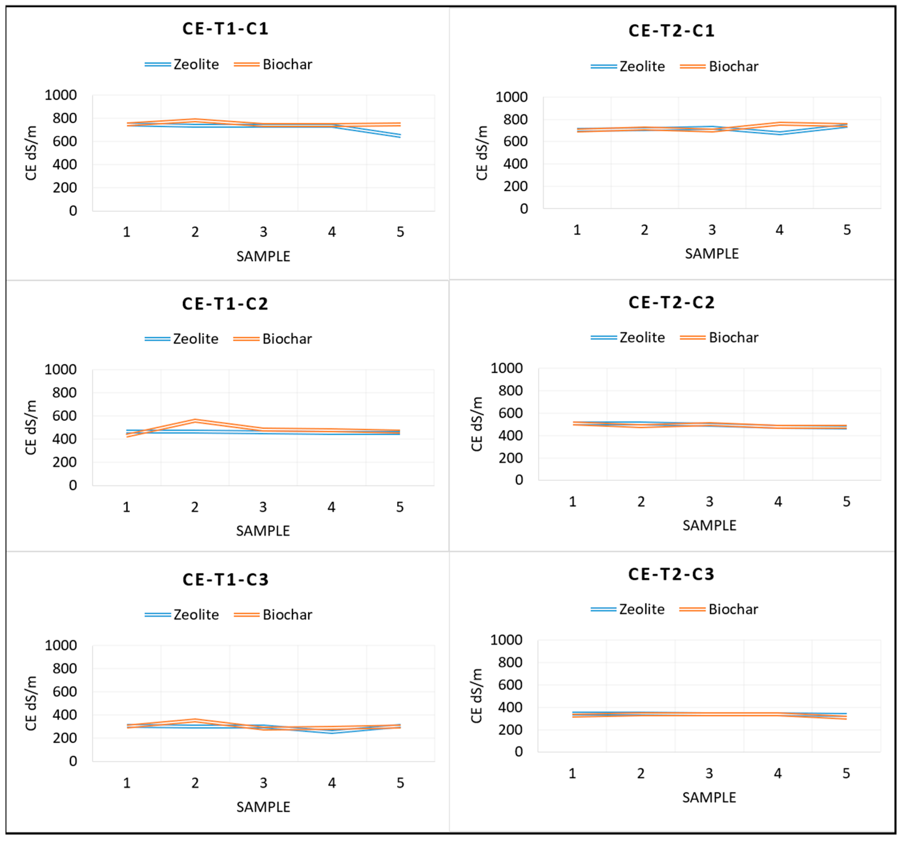
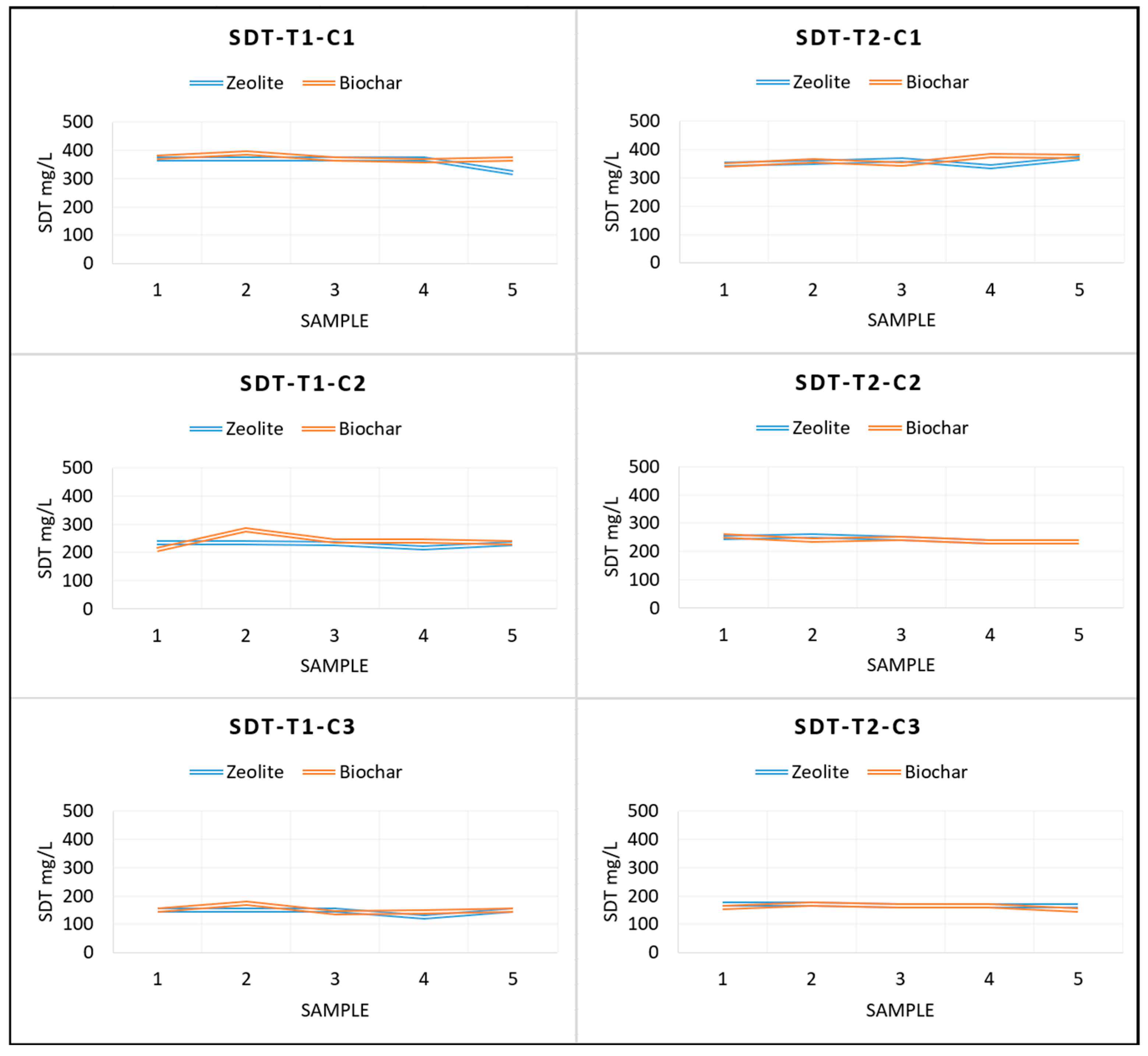
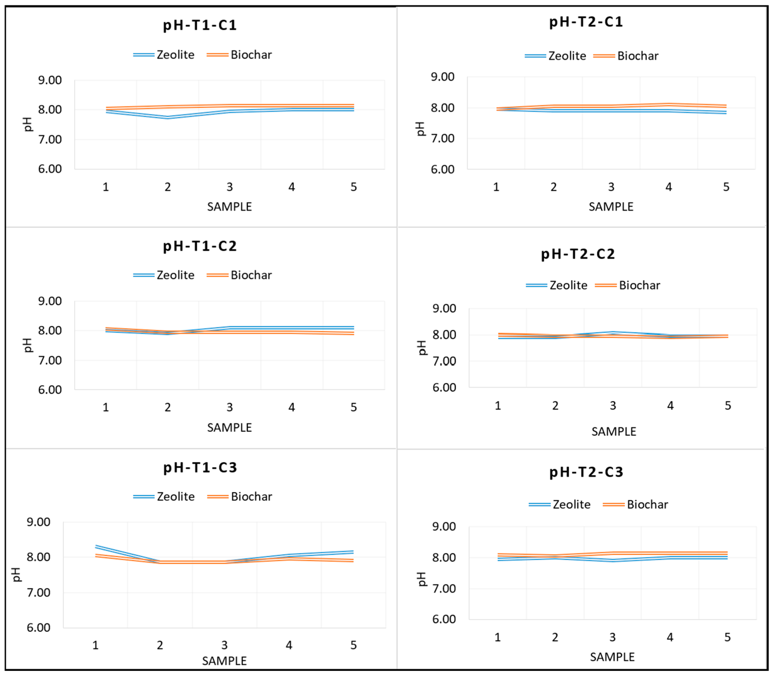
Figure 6, Figure 7, Figure 8, Figure 9 and Figure 10 show the results of pH, EC, TDS, turbidity, and color, obtained in the experimental runs. In general, the results showed little variability in pH, EC, and SDT. However, some variations were more evident in the determination of turbidity and color.

3.3. Results of Factorial Analysis

Statistical Analysis: A three-way ANOVA was conducted to examine the effects of concentration, time, and column on the boron removal percentage. Results showed significant main effects for: concentration (F(2, 108) = 11.776, p < 0.001), time (F(1, 108) = 68.272, p < 0.001), and column (F(1, 108) = 6.056, p = 0.015) A significant two-way interaction was found between concentration and column (F(2, 108) = 6.877, p = 0.002). Effect sizes (partial eta squared) were: concentration: 0.18 (medium effect), time: 0.39 (large effect), column: 0.05 (small effect), and concentration x column interaction: 0.11 (medium effect) The overall model explained 52.38% of the variance in boron removal (R-squared = 0.5238). Residual analysis indicated normally distributed residuals (Shapiro–Wilk test: W = 0.99109, p = 0.6345). However, the non-constant variance score test suggested potential heteroscedasticity (χ2 = 9.4985, p = 0.002). These results suggest that concentration, time, and column type all significantly influence boron removal, with time having the largest effect. The interaction between concentration and column indicates that their combined effect varies depending on their specific levels.

4. Discussion

This study aimed to evaluate the effectiveness of agave bagasse biochar and zeolite as filter materials for removing boron from water. The results demonstrate that both materials showed some capacity for boron removal, with biochar generally performing slightly better than zeolite under the tested conditions.
The highest boron removal percentages were observed at the lowest initial boron concentration (Treatment 3), reaching up to 29.31% removal for zeolite and 33.12% for biochar. This suggests that these materials may be most effective for treating water with lower boron levels. The fact that removal percentages increased as initial concentration decreased indicates that the adsorption capacity of the materials may become saturated at higher boron concentrations.
Contact time had a significant effect on boron removal, particularly for zeolite in Treatment 2. Increasing contact time from 2 to 4 h generally improved removal, though the effect was not consistent across all treatments. This suggests that longer contact times may enhance boron adsorption, but there may be diminishing returns beyond a certain point. Optimizing contact time could be an important consideration for practical applications.
Compared to other studies using more complex or chemically modified materials, the removal percentages achieved here with unmodified biochar and zeolite were relatively modest. For example, González Rodríguez et al. [34] reported 83% boron removal using modified faujasite and sodalite zeolites. However, the continuous flow column system used in this study is more representative of real-world water treatment applications than batch adsorption experiments.
The physical water quality parameters measured showed minimal changes after treatment, except color and turbidity in zeolite filter. This suggests the filter materials did not negatively impact overall water quality. The fluctuation in color and turbidity in the zeolite filter indicates some removal of dissolved organic compounds, which could be an additional benefit.
While the boron removal percentages were not as high as some other reported methods, the use of low-cost, natural materials such as agave bagasse biochar and zeolite offers advantages in terms of sustainability and economic feasibility. These materials could potentially be used as an initial treatment step or in combination with other methods to improve overall boron removal efficiency.
The factorial analysis revealed that concentration, contact time, and column material all had significant effects on boron removal, with contact time having the largest effect size. The interaction between concentration and column material suggests that optimizing these parameters in combination could lead to improved performance.
The significant effects of concentration, contact time, and column material align with previous studies that have emphasized the importance of these parameters in adsorption processes. However, the current findings highlight contact time as the most influential factor, which differs from some earlier reports where initial concentration was considered the primary determinant [59].
The observed interaction between concentration and column material is particularly noteworthy, as it suggests a more complex relationship than previously understood. This interaction effect aligns with recent work by González Rodriguez et al. [34], who proposed that certain adsorbent materials may exhibit enhanced performance at specific concentration ranges. The present study extends this concept, indicating that optimizing these parameters in combination could lead to significant improvements in boron removal efficiency.
These results underscore the importance of a multifactorial approach in designing effective boron removal systems, considering not only individual parameter effects but also their interactions. Future research should focus on exploring the mechanisms behind these interactions and developing predictive models to optimize boron removal processes across various environmental conditions.
Some limitations of this study include the relatively narrow range of experimental conditions tested and the lack of detailed characterization of the filter materials. Future work could explore a wider range of boron concentrations, contact times, and flow rates. Additionally, activating the biochar or modifying the zeolite could potentially enhance their adsorption capacity.
In conclusion, while agave bagasse biochar and zeolite showed moderate boron removal capabilities, there is room for optimization to improve their effectiveness. These materials may be most suitable for treating water with lower boron concentrations or as part of a multi-step treatment process. Their low cost and sustainability make them promising candidates for further development as boron removal agents, particularly in agricultural or small-scale water treatment applications.

5. Conclusions

1. Zeolite and agave bagasse biochar demonstrate moderate boron removal capabilities in a continuous flow column system.
2. Agave biochar slightly outperforms zeolite in boron removal efficiency.
3. Lower initial boron concentrations result in higher removal percentages for both materials.
4. Contact time has the most significant impact on boron removal, followed by concentration and column material.
5. The interaction between concentration and column material suggests potential for optimization of the filtration process.
6. While removal percentages are lower compared to chemically-modified materials, zeolite and biochar offer sustainability advantages as low-cost, natural filter media.
7. These materials show promise for treating water with lower boron levels or as part of a multi-step treatment process.
8. Further research is needed to optimize experimental conditions and explore material modifications to enhance boron removal efficiency, including a detailed a mid-scale economic analysis and the use of a combination of other cheap available filter materials. Additionally, the recycling for this potential filter material as ingredient for biofertilizers represents a possible positive impact.

Author Contributions

Conceptualization, C.D.L.M.O., L.C., and E.M.O.; methodology, C.D.L.M.O., L.I.P.V., and E.M.O.; software, C.D.L.M.O., L.C., J.G.V. and D.Y.D.L.M.G.; validation, J.N.A., C.G.G., and J.G.V.; formal analysis, J.N.A., C.G.G., and J.G.V.; investigation, C.D.L.M.O., L.C., L.I.P.V., and E.M.O.; resources, C.D.L.M.O., L.I.P.V., and E.M.O.; data curation, J.N.A., C.G.G., J.G.V., and D.Y.D.L.M.G.; writing—original draft preparation, C.D.L.M.O., L.C., and L.I.P.V.; writing—review and editing, E.M.O., J.N.A., C.G.G., and J.G.V.; visualization, C.G.G. and D.Y.D.L.M.G.; supervision, L.I.P.V., and E.M.O.; project administration, C.D.L.M.O., L.I.P.V., and E.M.O.; funding acquisition, C.D.L.M.O., L.I.P.V. and E.M.O. All authors have read and agreed to the published version of the manuscript.

Funding

This research received no external funding.

Data Availability Statement

The original contributions presented in this study are included in the article Further inquiries can be directed to the corresponding authors.

Acknowledgments

We thank the following institutions: the National Institute of Forestry, Agricultural and Livestock Research, Jalisco Highlands Center, the Technological Institute José Mario Molina Pasquel y Henríquez Academic Unit Arandas for the equipment used in and the support provided. All individuals included in this section have consented to the acknowledgement.

Conflicts of Interest

The authors declare no conflicts of interest.

Abbreviations

The following abbreviations are used in this manuscript:
EC/CEElectric Conductivity
SDT/TDSTotal Dissolved Solids

References

  1. Padrón Cruz, A.C.; Cantú Martínez, P.C. El Recurso Agua En El Entorno de Las Ciudades Sustentables. Cult. Científica Tecnológica 2009, 6, 15–25. [Google Scholar]
  2. Bolan, S.; Wijesekara, H.; Amarasiri, D.; Zhang, T.; Ragályi, P.; Brdar-Jokanović, M.; Rékási, M.; Lin, J.Y.; Padhye, L.P.; Zhao, H.; et al. Boron Contamination and Its Risk Management in Terrestrial and Aquatic Environmental Settings. Sci. Total Environ. 2023, 894, 164744. [Google Scholar] [CrossRef]
  3. Toledo, A. El Agua de México y El Mundo. Gac. Ecológica 2002, 64, 9–18. [Google Scholar]
  4. Ogoyi, D.O.; Mwita, C.J.; Nguu, E.K.; Shiundu, P.M. Determination of Heavy Metal Content in Water, Sediment and Microalgae from Lake Victoria, East Africa. Open Environ. Eng. J. 2011, 4, 156. [Google Scholar] [CrossRef]
  5. Radwan, M. River Water Quality Modelling as Water Resources Management Tool at Catchment Scale. Ph.D. Thesis, KU Leuven, Leuven, Belgium, 2002. [Google Scholar]
  6. Avelar Roblero, J.U.; Ortega Escobar, H.M.; Mancilla Villa, O.R.; Ramírez Ayala, C.; Mendoza Saldívar, I.; Khalil Gardezi, A. Calidad Agronómica de Las Aguas Residuales En Los Distritos de Riego Tula y Alfajayucan. Rev. Int. Contam. Ambient. 2023, 39, 487–499. [Google Scholar] [CrossRef]
  7. Marquina Luciano, J.L.; Paredes Torres, C.J. Reducción de La Concentración de Boro En Agua Con Agentes Espumantes, Los Olivos-2023. In Repositorio Institucional-UCV; Universidad Cesar Vallejo: Trujillo, Peru, 2023. [Google Scholar]
  8. Ofelia, E.; De, J.; Cruz, L.A. Calidad Agrícola de Las Aguas Superficiales y Subterráneas de La Cuenca Del Oriental y Del Valle de Tehuacán-Zapotitlán, Estado de Puebla. 2021. Available online: http://hdl.handle.net/10521/4717 (accessed on 14 June 2025).
  9. Santoyo de la Cruz, M.F.; Ortega Escobar, H.M.; Mancilla Villa, O.R.; Ramírez Ayala, C.; Martínez Villegas, E.; Sánchez Bernal, E.I.; Santoyo de la Cruz, M.F.; Ortega Escobar, H.M.; Mancilla Villa, O.R.; Ramírez Ayala, C.; et al. Análisis Iónico de Las Aguas de Seis Lagos Cráter de La Cuenca Oriental, México. Idesia 2022, 40, 7–15. [Google Scholar] [CrossRef]
  10. Linnik, P.M.; Zubenko, I.B. Role of Bottom Sediments in the Secondary Pollution of Aquatic Environments by Heavy-Metal Compounds. Lakes Reserv. 2000, 5, 11–21. [Google Scholar] [CrossRef]
  11. Malavé Acuña, A. Los Suelos Como Fuente de Boro Para Las Plantas. Rev. Científica UDO Agrícola 2005, 5, 10–26. [Google Scholar]
  12. Ahmad, W.; Zia, M.H.; Malhi, S.S.; Niaz, A. Saifullah Boron Deficiency in Soils and Crops: A Review. In Crop Plant; InTech: Houston, TX, USA, 2012; pp. 77–114. [Google Scholar]
  13. INECC Instituto Nacional de Ecología y Cambio Climático. Available online: http://www2.inecc.gob.mx/sistemas/plaguicidas/pdf/Boro.pdf (accessed on 14 June 2025).
  14. Vargas, A.; Arias, F.; Serrano, E.; Arias, O.M. Toxicidad de Boro En Plantaciones de Banano (Musa AAA) En Costa Rica. Agron. Costarric. 2007, 31, 21–29. [Google Scholar] [CrossRef]
  15. Polat, H.; Vengosh, A.; Pankratov, I.; Polat, M. A New Methodology for Removal of Boron from Water by Coal and Fly Ash. Desalination 2004, 164, 173–188. [Google Scholar] [CrossRef]
  16. Campbell, C. Reference Sufficiency Ranges for Plant Analysis in the Southern Region of the United States; University of Georgia: Athens, GA, USA, 2000. [Google Scholar]
  17. McCray, J.M.; Rice, R.W.; Ezenwa, I.V.; Lang, T.A.; Baucum, L. Sugarcane Plant Nutrient Diagnosis. In Florida Sugarcane Handbook; Agronomy Department, Florida Cooperative Extension Service, Institute of Food and Agricultural Sciences, University of Florida: Tallahassee, FL, USA, 2006. [Google Scholar]
  18. Ortega de Pelligrini, A.E. Intoxicación Con Boro En Cultivos de Poroto de Cachi, Valles Calchaquíes, Salta. Argentina. Panor. Agropecu. 1992, 14, 18–19. [Google Scholar]
  19. Cervilla, L.M.; Blasco, B.; Rios, J.J.; Rosales, M.A.; Sánchez-Rodríguez, E.; Rubio-Wilhelmi, M.M.; Romero, L.; Ruiz, J.M. Parameters Symptomatic for Boron Toxicity in Leaves of Tomato Plants. J. Bot. 2012, 2012, 726206. [Google Scholar] [CrossRef]
  20. Silva, D.H.; Lanzoni Rossi, A.; Enedi Boaretto, N.; De Lima Nogueira, T.M. Boron Affects the Growth and Ultrastructure of Castor Bean Plants; Scientia Agricola: Piracicaba, Brazil, 2008. [Google Scholar]
  21. Salazar García, S. Nutrición Del Aguacate: Principios y Aplicaciones. 2002. Available online: https://repository.agrosavia.co/bitstream/handle/20.500.12324/11591/45312_61864.pdf?sequ (accessed on 14 June 2025).
  22. Brown, P.H.; Hu, H. Boron Mobility and Consequent Management in Different Crops. Better. Crops 1998, 82, 28–31. [Google Scholar]
  23. Quintero, D.R. Efectos de La Aplicación de Elementos Menores En Caña de Azúcar En Suelos Del Valle Del Río Cauca; Centro de Investigación de la caña de azúcar en Colombia: Bogotá, Colombia, 2004. [Google Scholar]
  24. Blevins, D.G.; Lukaszewski, K.M. Boron in Plant Structure and Function. Annu. Rev. Plant Biol. 1998, 49, 481–500. [Google Scholar] [CrossRef]
  25. Navarro, S.; Navarro, G. Química Agrícola: El Suelo y Los Elementos Químicos Esenciales Para La Vida Vegetal, 2nd ed.; Mundi-prensa: Barcelona, Spain, 2003. [Google Scholar]
  26. Ravelo Polo, B. Adsorción de Boro En Agua. Bachelor’s Thesis, Universidad Politécnica de Catalunya, Barcelona, Spain, 2012. [Google Scholar]
  27. Canadell Estrada, A. Comparación de La Adsorción Del Boro En Perlas de Alginato y Alginato/Alúmina. Master’s Thesis, Universidad Politécnica de Catalunya, Barcelona, Spain, 2010. Available online: https://hdl.handle.net/2099.1/10202 (accessed on 14 June 2025).
  28. Zhang, G.; Wang, A.; Zhuang, L.; Wang, X.; Song, Z.; Liang, R.; Ren, M.; Long, M.; Jia, X.; Li, Z.; et al. Enrichment of Boron Element in Follicular Fluid and Its Potential Effect on the Immune Function. Env. Pollut. 2022, 304, 119147. [Google Scholar] [CrossRef]
  29. Kan, F.; Kucukkurt, I. The Effects of Boron on Some Biochemical Parameters: A Review. J. Trace Elem. Med. Biol. 2023, 79, 127249. [Google Scholar] [CrossRef]
  30. Karabağ, F.; İnce, S.; Demirel, H.H. Boric Acid Is Associated with the Suppression of Apoptosis and Endoplasmic Reticulum Stress in Rat Model of Paracetamol-Induced Hepatotoxicity. J. Taibah Univ. Sci. 2023, 17, 2250565. [Google Scholar] [CrossRef]
  31. Ayers, R.; Westcot, D. Water Quality for Agriculture; Food and Agriculture Organization of the United Nations: Roma, Italy, 1985. [Google Scholar]
  32. González Chávez, J.L.; Calderón Maldonado, D.; Romero Chávez, M.F.; Vega García, F. Reducción de Boro de Agua de Pozos Para Riego. In Proceedings of the I Congreso Nacional COMEII 2015, Jiutepec, Mexico, 23 November 2015; IMTA: Jiutepec, Mexico, 2015. [Google Scholar]
  33. Chica Toro, F.d.J.; Londoño Benítez, L.M.; Álvarez Herrera, M.I. La Zeolita En La Mitigación Ambiental. Rev. Lasallista Investig. 2006, 3, 30–34. [Google Scholar]
  34. González Rodríguez, V.K.; Perez Berrones, A.R.; Ramírez Medina, A. Adsorción de Boro Sobre Zeolitas Modificadas. Jóvenes Cienc. 2017, 3, 993–997. [Google Scholar]
  35. Núñez-Gómez, D.; Legua, P.; Lidón, V.; Conesa, A.; Martínez-Nicolás, J.J.; Melgarejo, P. Evaluation of Agricultural Soil-Improving Zeolite for Improving Irrigation Water Quality. Appl. Sci. 2024, 14, 418. [Google Scholar] [CrossRef]
  36. Núñez-Gómez, D.; Martínez-Nicolás, J.J.; Legua, P.; Giménez-Valero, C.; Maciá-Vázquez, A.A.; Melgarejo, P. Comparative Evaluation of Boron Sorption Dynamics on Zeolites in Irrigation Waters: An Isothermal Modeling Approach. Molecules 2024, 29, 2545. [Google Scholar] [CrossRef]
  37. Escalante Rebolledo, A.; Pérez López, G.; Hidalgo Moreno, C.; López Collado, J.; Campo Alves, J.; Valtierra Pacheco, E.; Etchevers Barra, J.D. Biocarbón (Biochar) I: Naturaleza, Historia, Fabricación y Uso En El Suelo. Terra Latinoam. 2016, 34, 367–382. [Google Scholar]
  38. Martínez Chávez, C.C. Efectos de Enmiendas de Biochar Sobre El Desarrollo En Cucumis sativus L. Var. SMR-58. Master’s Thesis, Universidad de Guadalajara, Guadalajara, Mexico, 2015. [Google Scholar]
  39. Leyva Ramos, R. Importancia y Aplicaciones de La Adsorción En Fase Líquida. In Sólidos porosos. Preparación, caracterización y aplicaciones; Uniandes: Bogotá, Colombia, 2007; p. 197. [Google Scholar]
  40. Secretaría de Salud NOM-127-SSA1-2021; Agua Para Uso y Consumo Humano. Límites Permisibles de La Calidad Del Agua. Diario Oficial de la Federación: Mexico City, Mexico, 2021.
  41. SEMARNAT NOM-001-SEMARNAT-2021 Que Establece Los Límites Permisibles de Contaminantes En Las Descargas de Aguas Residuales En Cuerpos Receptores Propiedad de La Nación. Available online: https://www.dof.gob.mx/nota_detalle.php?codigo=5645374&fecha=11/03/2022#gsc.tab=0 (accessed on 14 June 2025).
  42. Secretaría de Desarrollo Urbano y Ecología ACUERDO Por El Que Se Establecen Los Criterios Ecológicos de Calidad Del Aguas CE-CCA-001/89; Diario Oficial de la Federación: Mexico City, Mexico, 1989.
  43. Liu, Y.; Chen, Y.; Zhou, Q. Effect of Initial PH Control on Enhanced Biological Phosphorus Removal from Wastewater Containing Acetic and Propionic Acids. Chemosphere 2007, 66, 123–129. [Google Scholar] [CrossRef]
  44. Langmuir, D. Aqueous Environmental Geochemistry; Prentice Hall: Upper Saddle River, NJ, USA, 1997. [Google Scholar]
  45. Sawyer, C.N.; McCarty, P.L.; Parkin, G.F. Chemistry for Environmental Engineering; McGraw-Hill: New York, NY, USA, 1994. [Google Scholar]
  46. Marcó, L.; Azario, R.; Metzler, C.; Garcia, M.C. La Turbidez Como Indicador Básico de Calidad de Aguas Potabilizadas a Partir de Fuentes Superficiales. Propuestas a Propósito Del Estudio Del Sistema de Potabilización y Distribución En La Ciudad de Concepción Del Uruguay (Entre Ríos, Argentina). Hig. Sanid. Ambient. 2004, 4, 72–82. [Google Scholar]
  47. Irie, M.; Kawachi, A.; Tarhouni, J.; Ghrabi, A.; Isoda, H. Sedimentation Trend and Behavior of Turbid Water in the Reservoir. J. Arid. Land. Stud. 2012, 22, 91–94. [Google Scholar]
  48. Goyenola, G. Transparencia, Color y Turbidez; red de monitoreo ambiental participativo de sistemas acuáticos; Food and Agriculture Organization of the United Nations: Roma, Italy, 2007. [Google Scholar]
  49. Atekwana, E.A.; Atekwana, E.A.; Rowe, R.S.; Werkema, D.D.; Legall, F.D. The Relationship of Total Dissolved Solids Measurements to Bulk Electrical Conductivity in an Aquifer Contaminated with Hydrocarbon. J. Appl. Geophy 2004, 56, 281–294. [Google Scholar] [CrossRef]
  50. Miller, K.J.; Rise, D.S.; Mcdonald, C. Ground-Water and Surface-Water Quality, Herbicide Transport, and Irrigation Practices: Greenfields Bench Aquifer, Teton County, Montana. JAWRA J. Am. Water Resour. Assoc. 2002, 41, 257–265. [Google Scholar] [CrossRef]
  51. Navinta Aquise, E.G.; Condori Sucari, W. Evaluación Físico Química de Los Parámetros Para Metales Pesados Boro (B) y Manganeso (Mn) Del Recurso Hídrico Para Consumo Humano En El Centro Poblado Mollendo–Islay; Universidad Nacional de San Agustín: Arequipa, Peru, 2016. [Google Scholar]
  52. Mancilla Villa, O.R.; Bautista Olivas, A.L.; Ortega Escobar, H.M.; Ramírez Ayala, C.; Reyes Ortigoza, A.L.; Flores Magdaleno, H.; González Eguiarte, D.R.; Guevara Gutiérrez, R.D. Contenido de Boro En El Agua Superficial de Puebla, Tlaxcala y Veracruz. Tecnol. Cienc. Del. Agua 2014, 5, 97–109. [Google Scholar]
  53. Vera, M.; Caballero, E.C.; Palencia, M. Estudio de La Capacidad de Retención de Boro Disponible En Suelos Mediante Membranas Funcionales Con Cadenas de Polioles. Temas Agrar. 2016, 19, 96–105. [Google Scholar] [CrossRef]
  54. Durán, S.; Sánchez, M.; Miranda, M.G.; Salazar, M.; Alvarez, C. Acumulación de Boro En Lenteja de Agua (Lemna gibba L.) y Efectos de Toxicidad. Available online: https://smbb.mx/congresos%20smbb/veracruz01/TRABAJOS/AREA_VI/CVI-5.pdf (accessed on 14 June 2025).
  55. Albarracín Franco, S.; de Viana, M. Aspidosperma Quebracho Blanco y Lolium Multiflorum: Dos Especies Capaces de Remediar Suelos Contaminados Con Boro. Av. En. Energías Renov. Medio Ambiente 2009, 13, 107–112. [Google Scholar]
  56. Romano Gómez, F.D.; Balderrama Flores, F. Extracción Solvente de Boro a Partir de Salmueras Evaporadas Del Salar de Uyuni Con 2-Etil-1-Hexanol y 2-Etil-1,3-Hexanodiol. Rev. Met. UTO 2013, 34, 13. [Google Scholar]
  57. Liao, L.; Chen, H.; He, C.; Dodbiba, G.; Fujita, T. Boron Removal in Aqueous Solutions Using Adsorption with Sugarcane Bagasse Biochar and Ammonia Nanobubbles. Materials 2024, 17, 4895. [Google Scholar] [CrossRef]
  58. De La Mora-Orozco, C.; Flores-López, H.E.; Durán-Chávez, A.A. Calidad Del Agua Del Embalse de La Presa La Vega y Su Impacto En Las Tierras Agrícolas Bajo Riego; Instituto Nacional de Investigaciones Forestales, Agrícolas y Pecuarias: México DF, Mexico, 2013. [Google Scholar]
  59. Zhang, Z.; Yin, N.; Du, H.; Cai, X.; Cui, Y. The Fate of Arsenic Adsorbed on Iron Oxides in the Presence of Arsenite-Oxidizing Bacteria. Chemosphere 2016, 151, 108–115. [Google Scholar] [CrossRef] [PubMed]
  60. Lata, S.; Samadder, S.M. Removal of Arsenic from Water Using Nano Adsorbents and Challenges: A Review. J. Envrion. Manag. 2016, 166, 387–406. [Google Scholar] [CrossRef]
  61. Wang, S.; Gao, B.; Li, Y.; Mosa, A.; Zimmerman, A.R.; Ma, L.Q.; Harris, W.G.; Migliaccio, K.W. Manganese Oxide-Modified Biochars: Preparation, Characterization, and Sorption of Arsenate and Lead. Bioresour. Technol. 2015, 181, 13–17. [Google Scholar] [CrossRef] [PubMed]
  62. Zhang, C.; Liu, L.; Zhao, M.; Rong, H.; Xu, Y. The Environmental Characteristics and Applications of Biochar. Environ. Sci. Pollut. Res. 2018, 25, 21525–21534. [Google Scholar] [CrossRef]
  63. Lu, K.; Yang, X.; Gielen, G.; Bolan, N.; Ok, Y.S.; Niazi, N.K.; Xu, S.; Yuan, G.; Chen, X.; Zhang, X.; et al. Effect of Bamboo and Rice Straw Biochars on the Mobility and Redistribution of Heavy Metals (Cd, Cu, Pb and Zn) in Contaminated Soil. J. Env. Manag. 2017, 186, 285–292. [Google Scholar] [CrossRef]
  64. Alchouron, J.; Bursztyn Fuentes, A.L.; Musser, A.; Vega, A.S.; Mohan, D.; Pittman, C.U., Jr.; Mlsna, T.E.; Navarathna, C. Arsenic Removal from Household Drinking Water by Biochar and Biochar Composites: A Focus on Scale-Up. Sustain. Biochar Water Wastewater Treat. 2022, 2022, 277–320. [Google Scholar]
  65. Hernandez-Mena, L.E.; Pécora, A.A.B.; Beraldo, A.L. Slow Pyrolysis of Bamboo Biomass: Analysis of Biochar Properties. Chem. Eng. Trans. 2014, 37, 115–120. [Google Scholar] [CrossRef]
  66. Wibowo, E.; Sutsina; Rokhmat, M.; Murniati, R.; Khairurrijal; Abdullah, M. Utilization of Natural Zeolite as Sorbent Material for Seawater Desalination. Procedia Eng. 2017, 170, 8–13. [Google Scholar] [CrossRef]
  67. Rouquerol, J.; Rouquerol, F.; Sing, K.S.W.; Llewellyn, P.; Maurin, G. Adsorption by Powders and Porous Solids: Principles, Methodology and Applications, 2nd ed.; Academic Press, Ed.; Academic Press: Cambridge, MA, USA, 2013; ISBN 9780080970363. [Google Scholar]
  68. García Franco, R.; Hernández, M.Á.; Portillo Reyes, R.; Petranovskii, V.; Rubio, E.; Quiroz Estrada, K.F. Adsorption of CO2, H2 and CH4 on Narrow Pore Natural Zeolites. Rev. Int. Contam. Ambient. 2018, 34, 685–696. [Google Scholar] [CrossRef]
Figure 1. (a) Left water packed columns and (b) set with hoses.
Figure 1. (a) Left water packed columns and (b) set with hoses.
Processes 13 03114 g001
Figure 2. Biochar removal results with T1 (2 h).
Figure 2. Biochar removal results with T1 (2 h).
Processes 13 03114 g002
Figure 3. Biochar results with T2 (4 h).
Figure 3. Biochar results with T2 (4 h).
Processes 13 03114 g003
Figure 4. Zeolite results with T1 (2 h).
Figure 4. Zeolite results with T1 (2 h).
Processes 13 03114 g004
Figure 5. Zeolite results with T2 (4 h).
Figure 5. Zeolite results with T2 (4 h).
Processes 13 03114 g005
Figure 6. pH units of the two contact times, three treatments, and two packing materials.
Figure 6. pH units of the two contact times, three treatments, and two packing materials.
Processes 13 03114 g006
Figure 7. Electrical conductivity dS/m of the two contact times, three treatments, and two packing materials.
Figure 7. Electrical conductivity dS/m of the two contact times, three treatments, and two packing materials.
Processes 13 03114 g007
Figure 8. Total dissolved solids (mg/L) obtained in the two contact times, three treatments, and two packing materials.
Figure 8. Total dissolved solids (mg/L) obtained in the two contact times, three treatments, and two packing materials.
Processes 13 03114 g008
Figure 9. Turbidity (NTU) in the two contact times, three treatments, and two packing materials.
Figure 9. Turbidity (NTU) in the two contact times, three treatments, and two packing materials.
Processes 13 03114 g009
Figure 10. Color (PtCo) obtained in the two contact times, three treatments, and two packing materials.
Figure 10. Color (PtCo) obtained in the two contact times, three treatments, and two packing materials.
Processes 13 03114 g010
Table 1. Relative boron tolerance in crops [31,32].
Table 1. Relative boron tolerance in crops [31,32].
ToleranceMg B/LExamples of Crops
Very sensitive<0.5Blackberry and lemon
Sensitive0.5 to 0.75Peach, cherry, plum, bean, onion, garlic, sweet potato, wheat, barley, sunflower, strawberry, artichoke, avocado, grapefruit, orange, peanut, sesame, sweet potato, walnut, grape and apricot.
Moderately sensitive1 to 2Red pepper, pea, carrot, potato, cucumber, broccoli, radish, and lettuce.
Moderately tolerant2 to 4Cabbage, oats, cauliflower, tobacco, eggplant, melon and mustard.
Tolerant4 to 6Parsley, tomato, alfalfa and sorghum.
Very tolerant6 to 15Celery, cotton, asparagus and sweet corn.
Table 2. Boron removal studies.
Table 2. Boron removal studies.
StudyMaterial/MethodBoron ConcentrationRemoval EfficiencyNotes
Aquise & Sucari [51]Peruvian standardNot specifiedNot reportedDid not meet Peruvian standards (2.4 mg/L)
Ravelo Polo [26]Chitosan-nickel beads5–50 ppm90%Did not meet European standards (1 ppm)
Canadell [27]Alginate and alginate-alumina beads5 and 25 mg/L>50%Best results: wet beads at pH 11
Canadell [27]Continuous column with wet alginate beadsNot specified13.30%Not effective in continuous system
Vera et al. [53]Interpenetrating polymeric network membranesVaried by soil type56%Maximum retention: 0.0023–0.51 mg B/g membrane
Albarracín-Franco & de Viana [55]Phytoremediation (aspidosperma quebracho blanco and lolium multiflorum)Up to 50 ppm68%Viable for soil remediation
Romano Gómez & Balderrama Flores [56]Alcohols (2-ethyl-1,3-hexanediol)Not specified~90%Most effective for lithium carbonate production
González, Pérez & Medina [34]Faujasite zeoliteNot specified>83%-
González, Pérez & Medina [34]Nickel-modified zeoliteNot specified72–89%-
Liao et al. [54]Sugarcane bagasse biochar with ammonia nanobubblesNot specified36 mg B/g biocharAt room temperature, Langmuir isotherm
Table 3. Biochar characterization.
Table 3. Biochar characterization.
ParameterUnits
Electric ConductivitydS m−11.25
pH-8.73
CO3me/L1.14
HCO3me/L0.81
Cl-me/L2.44
SO4me/L6.98
NO3me/L0.85
PO4me/L0.04
Came/L1.55
Mgme/L2.17
Name/L0.70
Kme/L8.39
Feppm0.04
Cuppm0.01
Mnppm0.20
Znppm0.01
Bppm0.49
Humidity%2.46
Densityg/cm31.64
Bulk densityg/cm30.20
Total porous space%87.57
Aeration capacity%36.70
Water easily available%31.86
Reserve water%2.10
Total available water%33.96
Retention water capacitymL/L508.73
Water hardly available%16.91
Table 4. Chemical characterization of the zeolite used [68].
Table 4. Chemical characterization of the zeolite used [68].
Mineral SpeciesFormulaPercentage (%)
CristobaliteSiO264.65
HematitaFe2O32.2817
Al2 O311.9201
CaO2.0721
MgO0.7832
Na2O0.7429
K2O5.0577
Si/Al5.4243
PxC12.4681
Table 5. Analyzed parameters in water samples.
Table 5. Analyzed parameters in water samples.
ParameterUnitsMethod/Equipment
pH---Electrode/MW 801 Milwaukee
Electrical ConductivitydS/cmElectrode/MW 801 Milwaukee
TurbidityUTNAMCO-AEPA-1/Hanna Instrument HI93703
ColorPtCoHACH 120/DR2800
Total Dissolved Solidsmg/LElectrode/MW 801 Milwaukee
BoronppmAzomethine-H/Atomic absorption
Disclaimer/Publisher’s Note: The statements, opinions and data contained in all publications are solely those of the individual author(s) and contributor(s) and not of MDPI and/or the editor(s). MDPI and/or the editor(s) disclaim responsibility for any injury to people or property resulting from any ideas, methods, instructions or products referred to in the content.

Share and Cite

MDPI and ACS Style

De La Mora Orozco, C.; Cano, L.; Nápoles Armenta, J.; García Gómez, C.; García Velasco, J.; De La Mora García, D.Y.; Pérez Valencia, L.I.; Martínez Orozco, E. Boron Removal in the Aqueous Phase Using Agave Bagasse Biochar and Zeolite Packaging. Processes 2025, 13, 3114. https://doi.org/10.3390/pr13103114

AMA Style

De La Mora Orozco C, Cano L, Nápoles Armenta J, García Gómez C, García Velasco J, De La Mora García DY, Pérez Valencia LI, Martínez Orozco E. Boron Removal in the Aqueous Phase Using Agave Bagasse Biochar and Zeolite Packaging. Processes. 2025; 13(10):3114. https://doi.org/10.3390/pr13103114

Chicago/Turabian Style

De La Mora Orozco, Celia, Liset Cano, Juan Nápoles Armenta, Celestino García Gómez, Javier García Velasco, Diana Yaneli De La Mora García, Laura Izascum Pérez Valencia, and Edgardo Martínez Orozco. 2025. "Boron Removal in the Aqueous Phase Using Agave Bagasse Biochar and Zeolite Packaging" Processes 13, no. 10: 3114. https://doi.org/10.3390/pr13103114

APA Style

De La Mora Orozco, C., Cano, L., Nápoles Armenta, J., García Gómez, C., García Velasco, J., De La Mora García, D. Y., Pérez Valencia, L. I., & Martínez Orozco, E. (2025). Boron Removal in the Aqueous Phase Using Agave Bagasse Biochar and Zeolite Packaging. Processes, 13(10), 3114. https://doi.org/10.3390/pr13103114

Note that from the first issue of 2016, this journal uses article numbers instead of page numbers. See further details here.

Article Metrics

Back to TopTop