Next Article in Journal
Evaluation of the Efficiency of Encapsulation and Bioaccessibility of Polyphenol Microcapsules from Cocoa Pod Husks Using Different Techniques and Encapsulating Agents
Previous Article in Journal
Fault Diagnosis Method and Application for GTs Based on Dynamic Quantile SPC and Prior Knowledge
 
 
Font Type:
Arial Georgia Verdana
Font Size:
Aa Aa Aa
Line Spacing:
Column Width:
Background:
Article

Evaluation of Sugar and Organic Acid Composition of Apple Cultivars (Malus domestica Borkh.) Grown in Serbia

by
Nikola M. Horvacki
1,
Mihajlo V. Jakanovski
1,
Đurđa D. Krstić
2,
Jelena M. Nedić
3,
Aleksandra M. Dramićanin
2,
Milica M. Fotirić-Akšić
4 and
Dušanka M. Milojković-Opsenica
2,*
1
Innovative Centre of the Faculty of Chemistry Ltd., Studentski trg 12-16, 11158 Belgrade, Serbia
2
Analytical Chemistry & Center of Excellence for Molecular Food Sciences, Faculty of Chemistry, University of Belgrade, Studentski trg 12-16, 11158 Belgrade, Serbia
3
Rea Lab Ltd., Zrenjaninski put 114, 11211 Belgrade, Serbia
4
Faculty of Agriculture, University of Belgrade, Nemanjina 6, 11080 Belgrade, Serbia
*
Author to whom correspondence should be addressed.
Processes 2025, 13(10), 3093; https://doi.org/10.3390/pr13103093
Submission received: 25 August 2025 / Revised: 19 September 2025 / Accepted: 25 September 2025 / Published: 27 September 2025
(This article belongs to the Section Food Process Engineering)

Abstract

Apple (Malus domestica Borkh.) is a widely cultivated fruit tree species valued for its nutritional and sensory properties. The global market is dominated by a limited number of cultivars selected for appearance, shelf life, and consumer preference. As a result, many traditional or autochthonous cultivars, which often possess richer phytochemical profiles and greater environmental adaptability, remain underutilized. Herein, a comprehensive study of the sugar and organic acid content of the apple pulp and leaves of 19 autochthonous apple cultivars, along with 5 standard and 6 resistant cultivars for comparison, was undertaken. Fructose (47.9–74.0 mg/g FW), glucose (16.4–33.7 mg/g FW), and sucrose (25.0–34.0 mg/g FW) were detected at the highest concentrations in the apple pulp, while sorbitol (49.9–71.5 mg/g DW) predominated in the apple leaves. Principal component analysis identified xylose, quinic acid, shikimic acid, arabinose, raffinose, malic acid, citric acid, and isocitric acid as the main factors responsible for the classification patterns among cultivars. A number of autochthonous cultivars, such as ‘Gružanjska letnja kolačara’, ‘Šećeruša’, ‘Demirka’, and ‘Hajdučica’, showed characteristics comparable to commercial cultivars such as ‘Red Delicious’, ‘Golden Delicious’, and ‘Gala Galaxy’. The obtained results empasize the value of some of the analyzed cultivars and contribute to the broader re-evaluation of the local apple germplasm.

1. Introduction

Apple (Malus domestica Borkh.) is a perennial, temperate-climate fruit tree species belonging to the genus Malus (subfamily Pomoideae, tribe Maleae), which also comprises commercially important pome fruits such as pear (Pyrus communis) and quince (Cydonia oblonga) [1]. Despite the fact that nearly 10,000 apple cultivars have been recognized so far, only a limited number are cultivated in commercial orchards, such as ‘Idared’, ‘McIntosh’, ‘Cox’s Orange Pippin’, ‘Cripps Pink’, ‘Honey Crisp’, ‘Braeburn’, ‘Fuji’, ‘Gala’, ‘Granny Smith’, ‘Red Delicious’, and ‘Golden Delicious’, which are grown worldwide [2,3]. Key quality attributes of apple fruit include their firmness, low spoilage, balanced sweetness and acidity, appealing color and shape, the absence of astringency [4], their improved shelf life, and the use of standardized production practices [5]. As reviewed by Arnold and Gramza Michalowska, the leading cultivars produced in the major EU producer states in the period between 2017 and 2021 were ‘Golden Delicious’ (19.1%), ‘Gala’ (12.9%), ‘Idared’ (6.7%), ‘Red Delicious’ (6.7%), and ‘Shampion’ (5.9%) [2]. Consequently, older cultivars with more valuable phytochemical profiles are under-represented, and consumers are being limited in their choice [6]. Due to vegetative propagation, cultivars known hundreds of years ago still exist [7]. In recent decades, there has been an increase in studies that re-evaluate local and ancient fruit cultivars in multiple European regions and countries [5,6]. A lack of information hinders their usage for the genetic improvement of new cultivars. The characterization of these cultivars could therefore facilitate the development of novel food products with enhanced nutritional value and functional properties, thereby meeting the growing consumer demand for health-promoting and differentiated products [5,8]. Research into apple cultivars that exhibit resistance toward apple scab (Venturia inequalis) and fire blight (Erwinia amylowora) and are repulsive toward destructive insects could contribute to the development of production practices that implement a reduced chemical input during fruit growth, decrease the environmental impact caused by production, and decrease pesticide residues in the produced fruit and related products, while also attracting environmentally conscious consumers [9].
Apple fruit is a valuable source of saccharides, minerals, dietary fibers, and bioactive compounds such as vitamins, phenolic acids, flavonoids, carotenoids, and other terpenoids [4,10,11]. Sugars and polyols constitute approximately 85–90% of the apple’s dry matter [12,13]. The main soluble sugars in apple fruit are sucrose, fructose, and glucose [4,14]. Acidity is predominantly determined by titration and expressed as total acidity, which reflects the concentration of organic acids, mainly malic acid, with citric and tartaric acids present in smaller amounts depending on the cultivar and fruit type [15]. Acid levels affect fruit flavor, and they are also closely linked to the overall nutritional quality and processing performance [15]. Malic acid is the most abundant organic acid in apple fruits, while citric acid occurs at relatively low concentrations in cultivated cultivars [16]. The perception of acidity is further modulated by mineral constituents such as calcium, magnesium, and potassium [1]. The consumer acceptance of an apple cultivar depends on its sugar–acid ratio, so if the acidity is low, the sweet taste becomes predominant and bland. Moderate concentrations of organic acids will increase the fruit palatability and quality of apples, but if these concntrations are high, the apples will have sharp taste [17]. Light, exposure to sun, and other environmental factors have an impact on the sugar–acid ratio in apple fruits [18]. Organic acids are more chemically stable during processing and storage compared to phenolic compounds and volatile aroma constituents, making the organic acid profile a reliable marker for fruit product authenticity [13]. Consumer preference favors apples whose flesh resists rapid enzymatic browning after cutting—a trait linked to phenolic content and polyphenol oxidase activity. According to Musacchi et al., apple cultivars with titratable acidity between 3 and 10 mg/mL are generally considered sensorily desirable, as this level of acidity aligns with consumer taste preferences [1].
In the context of plant physiology, sugars and polyols primarily act as a means of carbon translocation and as regulators of metabolism, including cell-to-cell communication, embryogenesis, seed germination, growth, stress responses, and overall plant development, as well as senescence [19]. The fruit maturity stage, age of the plant, soil type, production practices, weather conditions, geographical origin, and genotype influence the quantitative variations in fruit sugars [20]. Therefore, studying sugars and polyols under various abiotic stresses, such as drought, salinity, and cold, is considered a promising approach for enhancing the stress tolerance of plant species by influencing multiple physiological processes [21]. On the other hand, organic acids also play a role in various metabolic pathways and the control of fruit growth via cell expansion through water uptake, participate in redox balance, and contribute to stress tolerance [22]. Malate and citrate accumulation is influenced by physiological response to metabolic imbalances caused by excess reducing power from photosynthesis. Under such conditions, NADPH is utilized to reduce oxaloacetate to malate, mitigating oxidative stress within the chloroplast [23]. This malate may be subsequently oxidized back to oxaloacetate in the cytosol, regenerating NAD+ [24]. Both malate and citrate can be stored or reintroduced into the Krebs cycle as needed. Additionally, the decarboxylation of malate in the cytosol generates phosphoenolpyruvate, which serves as a precursor for gluconeogenesis or can be converted into acetyl–CoA, which is utilizable by biosynthetic pathways such as flavonoid and isoprenoid synthesis during fruit maturation [25,26].
Growing consumer awareness of the benefits of phytochemically rich products, along with the increasing need for specific dietary regimes, highlights the importance of investigating traditional (autochthonous) apple cultivars. Traditional cultivars are well adapted to local growing conditions and exhibit greater resistance to pathogenic organisms [7]. The tolerance toward pests and environmental conditions is influenced by different secondary metabolites acting as hormones and phytoalexins, as well as by primary metabolites, which, for example, attenuate osmotic pressure and alleviate oxidative stress [27]. Substances from both primary and secondary metabolism within a plant interact as stimuli in host–plant recognition and feeding site selection by insects. Sugars interact as stimuli with several other groups of substances [28]. The blend of three soluble carbohydrates and three sugar alcohols—D-glucose, D-fructose, and sucrose and D-sorbitol, quebrachitol, and myo-inositol—affects female acceptance and egg-laying stimulation [29]. Sugars also influence the plant immune system as priming molecules, probably moderately stimulating it. There are reports on the importance of sugar levels in plant resistance to diseases caused by fungal pathogens and oomycetes [30]. Leaf organic acids contribute to pest resistance by acting as deterrents and by playing a role in the plant’s overall defense mechanisms, although the specific effects can vary. In some plants, elevated levels of certain organic acids, such as succinic acid, oxalic acid, and quinic acid, have been correlated with increased resistance to specific pests like the chickpea leafminer [31].
Developing a comprehensive understanding of the chemical composition of autochthonous and local apple cultivars could represent a valuable contribution to the breeding programs aimed at developing new cultivars that yield fruits with desirable morphological and sensory characteristics and show resilience toward unfavorable conditions and pests. Previous studies have included apple cultivars from several European countries, mainly focusing on the content of polyphenols, elements, sugars, and volatile aromatic compounds [32]. However, in Serbia, only a small number of autochthonous apple cultivars have been subjected to phytochemical analyses, with the focus being primarily on determining the content of polyphenols and elements [33]. Therefore, the aim of this study was the characterization of a statistically significant number of autochthonous apple cultivars grown in Serbia with respect to their sugar and organic acid content, as well as the further examination of possible distinctive markers for certain cultivars or markers that are characteristic of the respective cultivar groups. This study included the apple fruit, as an economically important product, and the leaves, as the primary source of metabolites that determine plant growth and development. For comparison, commercial apple cultivars were also analyzed. These commercial cultivars were discussed as standard cultivars and resistant cultivars depending on their descriptions in the literature.

2. Materials and Methods

2.1. Plant Material

Plant material was collected from the Experimental Station Radmilovac (44°45′ N, 20°35′ E; 175 m a.s.l.), University of Belgrade—Faculty of Agriculture. The orchards are situated on hilly terrain with loam-type soil (eutric cambisol) of loamy mechanical composition. Fruits were harvested at cultivar-specific physiological maturity during the August, September, and October of 2018, 2019 and 2020, while leaves were collected in the July of the same years and dried under ambient conditions with airflow in the dark.
All apple trees were managed under standard horticultural practices. The trees were drafted on MM106 rootstock, the orchard was planted in 1996, and the trees were trained as Central Leaders. For each cultivar, fruit and leaf samples were taken from five individual trees. The fruits were homogenized using an immersion (stick) mixer before further analysis. The collected leaves were kept in a laminar cabinet for 7 days under constant airflow and temperature conditions. Prior to homogenization and extraction, the samples were stored at −20 °C. The list of apple cultivars sampled is provided in Table 1.

2.2. Reagents and Standards

Ultrapure water (Thermo Fisher TKA MicroPure water purification system, Niederelbert, Germany, 0.055 mS/cm) was used for the preparation of standard solutions and blanks. Syringe filters (20 mm diameter, 0.22 µm nylon membrane) were purchased from Supelco (Bellefonte, PA, USA). Sodium acetate trihydrate (CH3COONa × 3H2O) and 50% sodium hydroxide solution (NaOH) were obtained from Sigma-Aldrich (St. Louis, MO, USA). Panose, turanose, maltose, and maltotriose were obtained from TCI (Tokyo, Japan), while raffinose was sourced from ThGreyer (Renningen, Germany). D(+)-Xylose and polyol standards were provided as part of the Sugar Alcohol Kit (Supelco, Bellefonte, PA, USA). Organic acid standards—including quinic, shikimic, galacturonic, glucuronic, malic, maleic, fumaric, citric, and isocitric acids—were obtained from the Organic Acid Kit (Supelco, Bellefonte, PA, USA). All remaining sugar standards were purchased from Merck (Darmstadt, Germany).

2.3. Extraction of Sugars and Acids

Approximately 2 g of apple fruit pulp was extracted with 20 mL of ultrapure water. The resulting suspension was centrifuged at 10,000 rpm for 10 min, and the supernatant was brought to a final volume of 25 mL. For leaf samples, approximately 100 mg of dried tissue was extracted with 10 mL of ultrapure water and centrifuged under the same conditions. Both sample types were subjected to ultrasonic extraction in a water bath for 60 min at room temperature. Quantification was performed based on the exact mass of each respective sample. Extracts were stored at −20 °C until analysis. Prior to analysis, all extracts were diluted as required and filtered through a 0.22 µm nylon syringe filter [34,35].

2.4. Determination of Organic Acids

Organic acid analysis was carried out on a Thermo Scientific Dionex ICS-3000 ion-chromatography system (Thermo Scientific, Bremen, Germany) equipped with a single-channel pump, AS-DV autosampler, EGC III KOH RFIC eluent generator, DRS 600 dynamically regenerated suppressor, and conductivity detector, all controlled by Chromeleon 6.7 software. Separation was achieved on an IonPac AS15 analytical column (4 × 250 mm, Thermo Scientific, Bremen, Germany) protected by an IonPac AG15 guard column (4 × 50 mm, Thermo Scientific, Bremen, Germany) maintained at 30 °C. The mobile phase was KOH, delivered at 1.0 mL min−1 with a modified gradient program, similar to the applied gradient used by Natic et al. [12]. The gradient program was set according to the following regime: 0–13.75 min, 25 mM; 13.75–15 min, linear ramp to 30 mM; 15–25 min, 30 mM; 25–30 min, linear ramp to 50 mM; 30–46 min, 50 mM; 46–51 min, linear ramp to 25 mM; 51–60 min, 25 mM. The suppressor current was set to 99 mA. The total run time was 60 min.

2.5. Determination of Sugar Content

Sugars and sugar alcohols were analyzed using high–performance anion-exchange chromatography with pulsed amperometric detection (HPAEC–PAD). Analyses were performed on a Dionex ICS-3000 system (Thermo Scientific, Bremen, Germany) equipped with a quaternary gradient pump, AS-DV autosampler, and an electrochemical detector comprising a gold working electrode and an Ag/AgCl reference electrode, controlled by Chromeleon 6.7 software. Separation was carried out on a CarboPac PA100 analytical column (4 × 250 mm, Thermo Scientific, Bremen, Germany) with a corresponding guard column (4 × 50 mm, Thermo Scientific, Bremen, Germany), maintained at 30 °C. The mobile phase was delivered at a flow rate of 0.7 mL/min, with the following gradient: 0–5 min, 15% 300 mM NaOH; 5–12 min, 15% 300 mM NaOH, and 2% 500 mM sodium acetate; 12–20 min, 15% 300 mM NaOH, and 4% 500 mM sodium acetate; 20–30 min, 20% 300 mM NaOH, and 20% 500 mM sodium acetate; the remaining volume was adjusted with ultrapure water. The total run time was 35 min [34].

2.6. Statistical Analysis

Descriptive statistics and multivariate analysis of variance (MANOVA) were performed using the General Linear Module of Statistica software (Statistica v.10, Statsoft Inc., Tulsa, OK, USA), while principal component analysis (PCA) was conducted in R v4.3.1 (R Foundation for Statistical Computing, Vienna, Austria; www.R-project.org) using packages obtained from CRAN (R Foundation for Statistical Computing, https://cran.r-project.org/) and GitHub. The multivariate analysis of variance was supported by the Kolmogorov–Smirnov test for the data normality. Prior to PCA, all datasets were mean-centered and scaled to unit variance and decomposed by singular-value decomposition; Q- and Hotelling’s T2-limits for outlier detection were set at the 95% confidence level.

3. Results and Discussion

3.1. Sugar and Organic Acid Content in Apple Fruit

Fructose and sucrose were the quantitatively predominant soluble carbohydrates in the analyzed apples, detected at concentrations of 32.3 (cv. ‘Kopaoničanka’) to 92.8 mg/g (cv. ‘Gala Galaxy’) and 11.0 (cv. ‘Krtajka’) to 41.9 mg/g (cv. ‘Prima’), respectively, while glucose was detected in a range between 5.9 (cv. ‘Prima’) and 47.5 mg/g (cv. ‘Zaječarski delišes’) (Table S1).
The obtained data are consistent with the observations of Mikulic-Petkovsek et al., who described a similar and slightly narrower range for fructose compared to our data, higher concentrations of sucrose, and a similar concentration range for glucose on a sample set of nine cultivars (‘Braeburn’, ‘Jonagold’, ‘Red Elstar’, ‘Golden Delicious’, ‘Florina’, ‘Goldrush’, ‘Goldstar’, ‘Rubinola’, and ‘Topaz cultivars’) grown in Slovenia [35]. Hecke et al. described a concentration of glucose in a range between 5 and 20 mg/g in 18 apple cultivars grown in Austria [36], while Aprea et al. described a similar range between 11 and 30 mg/g of glucose in 40 different apple cultivars and genotypes grown in Italy [37].
The sorbitol concentrations in our samples are in a narrower range (from 1.6 mg/g in cv. ‘Gala Galaxy’, to 13.3 mg/g in cv. ‘Buzlija’) (Table S1) compared to the data reported by Fang et al. from an analysis of 263 genotypes (0.31–72.15 mg/g) [38]. Our results are rather comparable to the data reported by Aprea et al. for 17 commercial cultivars (1.3–12.9 mg/g) [37]. Notably, the autochthonous material harvested in 2019 exhibited the highest mean sorbitol content (9.49 mg/g), ranging from 2.24 mg/g in cv. ‘Gružanjska letnja kolačara’ to 13.29 mg/g in cv. ‘Jesenji jablan’ (Table S1).
Organic acid profiling confirmed malic acid as the principal organic acid, with concentrations ranging from 4.78 mg/g fresh weight in cv. ‘Demirka’ to 24.29 mg/g in cv. ‘Krtajka’, indicating an approximately 5-fold difference between the two cultivars. Citric acid was also detected at lower levels, with values ranging between 0.03 mg/g in cv. ‘Golden Delicious’ and 0.64 mg/g in cv. ‘Krtajka’, representing variation of over 21-fold. These pronounced differences highlight the distinguishing and broad variations in the biochemical profiles of autochthonous cultivars compared to widely cultivated commercial varieties. Also, different sensitivity to environmental effects might be expressed. Ma et al. observed higher citric acid concentrations in wild Malus species [16]. Therefore, in the process of selecting older genotypes, less attention was apparently given to the avoidance of pungent taste. Malic acid is a key component of apple flavor, but an increase in temperature reduces its content [39]. It also contributes to a lower level of fruit softening and decreases weight losses during cold storage [40]. For comparison, in the study of Hecke et al., concentrations up to 1.12 mg/g citric acid in the Fuji and Jonagold cultivars were reported, along with a concentration of 1.81 mg/g in the ‘Gravensteiner cultivar’, a local cultivar from Austria. In the same study, in the fruits of multiple apple cultivars, citric acid was below the detection limit [36]. In a study of Petkovsek et al., a range between 0.049 and 0.209 mg/g was reported [35], whereas Cebulj et al., for the ‘Gala’ cultivar, reported a concentration of 0.47 mg/g [14]. Across three sampling years, autochthonous cultivars consistently showed higher mean citric acid contents than standard or scab-resistant cultivars (Table 2). Shikimic acid was detected in concentrations ranging from 0.02 (‘Golden Delicious’) to 0.26 (‘Sećeruša’) mg/g of fresh weight, with the highest value observed in the autochthonous cultivar ‘Zaječarska duguljasta’ (2020) (Table S1). These results are generally consistent with the range of 0.002 to 0.057 mg/g shikimic acid reported by Hecke et al. [36]. Shikimic and maleic acid are seldom reported for apple fruits [41], probably due to the different cultivars studied, different ecological conditions during fruit growth, and diverse cultivation techniques [35,42].
In this study, the content of the individual sugar components fluctuated over the years. In the first year, the content of glucose, fructose, sucrose, and sorbitol was the highest in the standard cultivars, in the second year in the autochthonous cultivars, and in the third year partly in the standard cultivars and partly in the autochthonous varieties.
Overall, some consistent characteristics are visible in all three years. In comparison to resistant and standard cultivars, autochthonous varieties were characterized by a higher average content of sorbitol, arabinose, xylose, raffinose, turanose, quinic, shikimic, and citric acid. These distinct attributes feature the importance of autochthonous varieties as a valuable genetic resource for the future developments in breeding programs. Regarding the individual cultivars, ‘Zaječarska duguljasta’ exhibited elevated levels of turanose and maltose, together with high contents of quinic, shikimic, and malic acid. ‘Zaječarski delišes’ cultivar was distinguished by the highest concentrations of glucose among all examined cultivars, while also accumulating considerable amounts of fructose, raffinose and xylose quinic acid. The pulp of ‘Jesenji jablan’ contained the highest sorbitol concentration across the studied varieties, in addition to elevated levels of sucrose, arabinose, xylose, and maltose. Cultivar ‘Krtajka’ was characterized by the accumulation of malic and citric acid, as well as a high concentration of sucrose in some years. ‘Šipina’ cultivar exhibited high levels of xylose, raffinose, and turanose, accompanied by elevated concentrations of quinic, shikimic, and maleic acid. Finally, cv. ‘Kožara’ showed pronounced accumulation of raffinose and turanose, along with increased contents of malic and citric acid.

3.2. Sugar and Organic Acid Content in Apple Leaves

A total of five sugar alcohols, eleven sugars, and nine organic acids were quantified in the analyzed leaf extracts. Among the polyols, sorbitol was present at the highest concentration (Table 3), ranging between 32.80 mg/g (cv. ‘Kadumana’) and 99.5 mg/g (cv. ‘Vrtiglavska slatkača’) in dry leaves (Table S2). This is consistent with previous findings for the cultivars from the genus Malus, where most of the photosynthetically fixed carbon is transported from the source organs (leaves) to the sink organs (fruits, stems, roots) in the form of sorbitol [43]. As reported by Šircelj et al., sorbitol concentration in the dry apple leaves of non-stressed apple cultivars grown in Slovenia ranged from 75 to 95 mg/g and increased to 123 mg/g under drought stress, accentuating sorbitol’s role in osmotic adjustment mechanisms [44].
Alongside sorbitol, sucrose is another important sugar involved in carbon translocation. Its concentration in dry apple leaf samples in this study ranged from 0.088 mg/g in cv. ‘Golden Delicious’ to 1.59 mg/g in cv. ‘Jesenji Jablan’, representing an approximately 18-fold difference between the two cultivars. The low sucrose levels observed in this study may be attributed to water deficit conditions at the time of sampling, the specific timing of the sampling, or the possibility that sampling coincided with a period of intensive fruit development and active carbohydrate translocation from photosynthetically active leaves to the developing fruit. These findings align with those reported by Nemeskéri et al., who detected sucrose in apple leaves only during the later stages of fruit development [45]. Additionally, the accumulation of sucrose in leaves can be influenced by microenvironmental factors such as canopy position, sunlight exposure, and temperature [46], as well as by environmental stress conditions. For instance, there are reports that drought can either suppress [47] or increase sucrose accumulation [48] depending on stress intensity and intrinsic plant response mechanisms. Similar low sucrose levels were also reported by Wojdyło et al. [49].
Evidently, the leaves, as the primary location of photosynthesis and carbon assimilation, are more affected by environmental effects. Therefore, it is difficult to obtain repetitive and similar patterns in the chemical composition of the cultivar groups over multiple years, especially in the case of primary photosynthetic products such as glucose and sorbitol.
In comparison with standard and resistant cultivars, the leaves of the examined autochthonous varieties exhibited a higher average content of turanose, fumaric acid, citric acid, and galactouronic acid.

3.3. Multivariate Analysis of Variance (MANOVA)

To assess the impact of varietal differences and the year of sampling on the overall variability in the content of quantified sugars and organic acids, a multivariate analysis of variance (MANOVA) was conducted. Two MANOVA models were developed: one to evaluate the influence of the apple cultivar and collection year on the content of sugars and acids in the pulp extracts, and the other to assess the same factors in the leaf extracts. The MANOVA model was designed to evaluate the influence of two main factors—tissue type (F1: pulp and leaf) and production year (F2: 2018–2020)—on the chemical composition of the samples. The model incorporated the intercept, main effects, and their interaction, and was structured according to Equation (1):
Y b = b 0 + b 1 F 1 + b 2 F 2 + b 12 F 1 F 2
where Yb denotes the concentration of the tested compounds, F1 denotes the cultivar type, and F2 denotes the production year.
A total of 1710 data points on sugar and acid concentrations were included in the analysis of apple fruit. The results indicate that the year of production had a more pronounced influence on the concentrations of glucose, fructose, and sucrose than the cultivar, for which no significant effect was observed (Table S3, Figure 1). These findings align partially with those of Tschida et al., who did not report clear interannual differences in the concentrations of these saccharides in apples, but highlighted strong environmental correlations. Specifically, they found that the contents of glucose and fructose were positively correlated with average annual temperatures and solar radiation, while cumulative precipitation was negatively correlated with glucose levels [4].
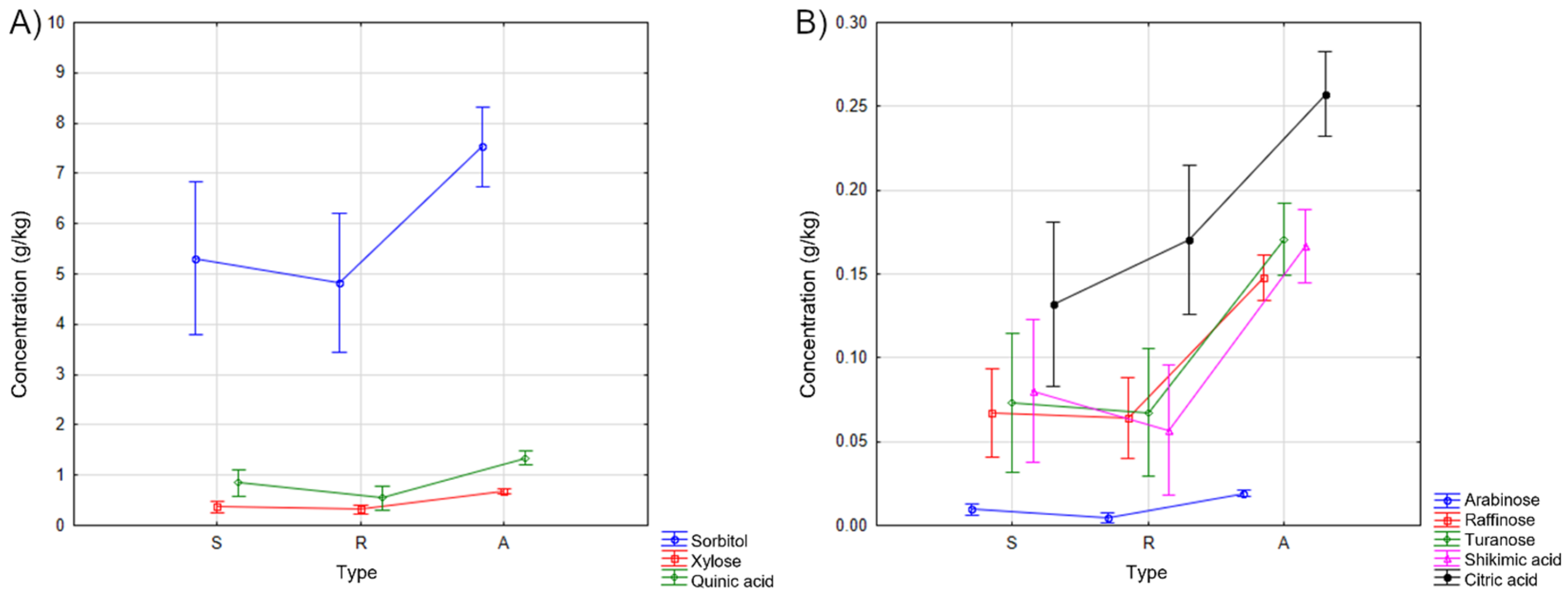
In the group of saccharides with average concentrations below 1 mg/g, a significant varietal influence was detected by MANOVA for sorbitol, xylose, raffinose, and turanose. Raffinose and structurally similar trisaccharides are known to accumulate in response to oxidative stress, and they are associated with plant adaptation mechanisms under unfavorable environmental conditions such as drought, salinity, and low temperatures [27,50]. Although sorbitol is the main form of translocated carbon from source to sink, it is metabolized and accumulated as fructose in the fruit [25,43]. Drought also promotes sorbitol and mannitol accumulation, and high levels of sorbitol are associated with watercore [51]. Turanose, a sacharose isomer, contributes to the sweet taste of fruit, similarly to sorbitol, while having a low glycemic index [52].
The results indicate that malic acid content was not significantly affected by either the cultivar or the production year. However, the content of quinic acid was significantly influenced by the cultivar. A statistically significant difference in quinic acid levels was observed among the autochthonous cultivars compared to the standard and resistant cultivars across all three sampling years (Table S3).
Quinic acid, alongside shikimic and citric acids, also plays an important biochemical role. Quinic acid is a constituent of ferroyl and caffeoylquinic acids, and it may exist readily in free form when sampled or be released through hydrolysis during sample preparation [53].
To evaluate the effect of varietal type and sampling year on the overall variability in sugar and acid contents in leaf tissues, a multivariate analysis of variance was performed. In total, 2070 concentration values for sugars and acids were included in the model (Table S4, Figure 2). Concentrations were used as dependent variables, and cultivar type and year were defined as categorical predictors.
The MANOVA results indicated a statistically significant difference in glycerol content among the leaf samples of different cultivars, whereas no significant differences were observed for the other quantified polyols and sugars. Compared to other cultivars, citric acid was present in higher amounts in autochthonous cultivars. Maleic acid was, on average, detected in the lowest quantity in the leaves of autochthonous cultivars, contrary the average values in the fruit, which were highest in the group of autochthonous cultivars, albeit without statistical significance.

3.4. Principal Component Analysis

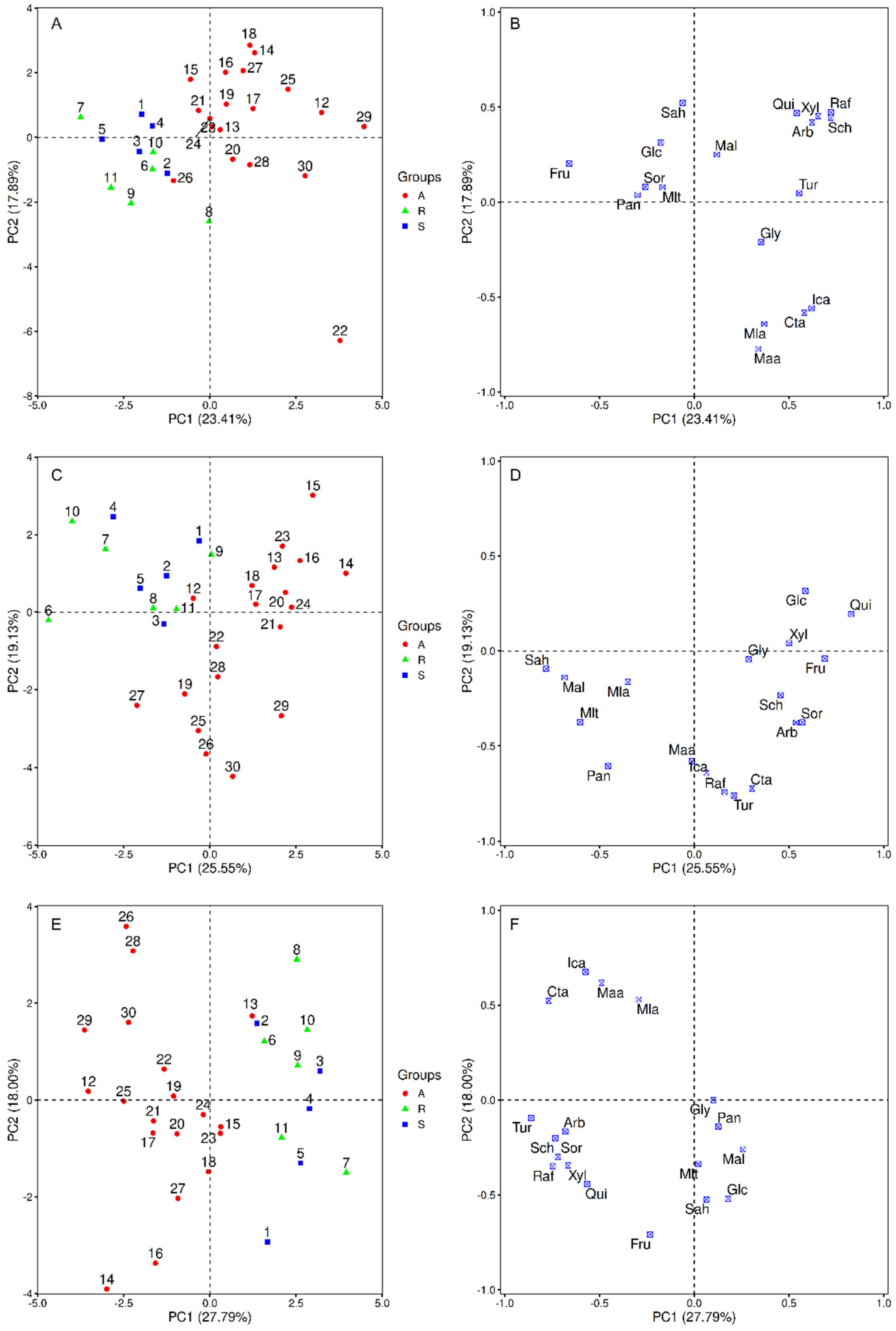
Similarly to the earlier studies [4,5,36,37], here are also details that are not explained by the evaluation of individual compounds in the initial descriptive analysis. Therefore, principal component analysis was carried out in order to explore the multivariate space and to establish possible trends among apple samples based on their sugar and organic acid content. By examining the correlation structure in the datasets, individual cultivars or subgroups with specific characteristics are indicated. PCA was performed in two directions: first, to determine the criteria for the separation of autochthonous, resistant, and standard cultivars of apple fruit (Figure 3) and apple leaf (Figure 4) samples based on the sugar and organic acid profile; and second, to identify potential differences in the composition of the examined samples over the three years of investigation (2018, 2019, and 2020).
Principal component analysis resulted in a six-component model in the case of apple fruit samples (Table S5) and an eight-component model for apple leaf samples (Table S6). When dealing with natural samples, where the variability among the samples is relatively high and many different parameters are considered, it is normal to find the low overall data variance captured by a several PCs. The principal components cumulatively explain 73.70%, 80.86%, and 77.50% of the data variability in the obtained models for samples from 2018, 2019, and 2020, respectively.
The score plots revealed the separation of autochthonous cultivars along the PC1 axis from the resistant and standard cultivars for all three years of the study (Figure 3A,C,E). Loading plots (Figure 3B,D,F), which define the model in multivariate space, indicate that three groups of variables have the highest influence on the separation of cultivars. The first group consists of xylose, quinic, and shikimic acid (Xyl, Qui, and Sch, respectively); the second group includes malic, citric, and isocitric acid (Maa, Cta, and Ica, respectively); while arabinose, raffinose, and turanose (Arb, Raf, and Tur, respectively) belong to the third group. This division into these three groups was based on their contribution to the clustering of cultivars along the PC2 axis. Xyl, Qui, and Sch were characteristic for the autochthonous cultivars ‘Zaječarski delišes’ (14), ‘Gružanjska letnja kolačara’ (15), ‘Šećeruša’ (16), ‘Demirka’ (18), and ‘Hajdučica’ (23), along with sucrose (Sah) and glucose (Glc) or fructose (Fru), depending on the year. The variables Maa, Cta, and Ica had the greatest influence on the separation of the cultivars ‘Krtajka’ (22), ‘Bela Kalaćuša’ (26), ‘Šipura’ (28), ‘Šipina’ (29), and ‘Kožara’ (30). Arabinose, raffinose, and turanose contributed significantly to the separation of autochthonous cultivars from standard and resistant cultivars. And in the case of standard and resistant cultivars, the cultivars ‘Red Delicious’ (1), ‘Golden Delicious’ (4), and ‘Gala Galaxy’ (7) were grouped in the same direction along the PC2 axis as the group of autochthonous cultivars around ‘Zaječarski delišes’ (14). The cultivars ‘Idared’ (3) and ‘Prima’ (6) were grouped in the same direction as the autochthonous cultivars in the cluster with ‘Krtajka’ (22). In general, a high ratio of the sum of sorbitol, glucose, fructose, and sucrose to the sum of the determined carboxylic acids was the common characteristic of the ‘Zaječarski delišes’, ‘Šećeruša’, ‘Demirka’, ‘Red Delicious’, ‘Golden Delicious’, and ‘Gala Galaxy’ (Figure 4). This observation is consistent during all three years in which the samples were collected, and the results are simillar to the values observed in the ‘Red Delicious’, ‘Golden Delicious’, and ‘Gala Galaxy’ cultivars. An earlier study of Mratinić and Fotirić-Akšić (2012) suggested the ‘Demirka’ cultivar for potential table consumption based on its Brix sugar content, titratable acidity, and pomological characteristics [54]. These cultivars were discussed by their phenolic content in another earlier study. High values of 5-O-caffeoylquinic acid were detected in ‘Kopaoničanka’ and ‘Gružanjska letnja kolačara’ cultivars, while ‘Jesenji jablan’ and ‘Demirka’ cultivars had comparably higher values of phlorizin concentration [55].
Apple sugar levels in fruit are primarily a response to breeding, driven by human selection. During domestication and breeding efforts, the intention was to obtain traits like better taste and sweeter fruits. In the course of long-term evolution, gene recombination and natural mutation in apples have led to a high degree of heterozygosity, which has improved the evolutionary roadmap for the improved traits [56]. Guan et al. determined that the content of fructose, glucose, sucrose, and sorbitol in 233 apple hybrid progeny is within the range of the parental cultivars [57]. Furthermore, Zheng et al. also found that the degree of variation in fructose and sucrose content among the different cultivars was small; the variation coefficients were 23.4% and 17.9%, respectively [58]. According to Fang et al., the variation in sorbitol accumulation between cultivated and wild fruits may be the indirect result of fruit size and acidity selection during domestication [38]. Ma et al. proved that during breeding programs, citric acid underwent reduction because the wild ancestors showed much higher citrate concentrations than the modern cultivars [16]. On the other hand, domestication, which is slower but effective, has resulted in the selection of autochthonous apple cultivars that are well-adapted to local conditions with higher productivity, flavor, texture, and taste (including sugar accumulation and fruit acidity), making them a valuable genetic resource for breeding programs [59].
The principal components cumulatively explain 75.74%, 79.57%, and 77.57% of the data variability in the models obtained for leaf samples from 2018, 2019, and 2020, respectively. Score plots of models (Figure 5A,C,E) suggested the existence of two distinctive groups of objects. The first cluster consisted of autochthonous cultivars, while the second one included samples of the standard and resistant cultivars, separated along the PC1 axis (Figure 5A, samples from 2018) and along the PC2 axis in the case of leaf samples from 2019 (Figure 5C). The score plot obtained for the samples from 2020 (Figure 5E) showed that most of the samples of the standard and resistant cultivars were grouped in the lower-left quadrant, where both the PC1 and PC2 values are negative. In contrast to the results obtained for the pulp, where some variables consistently contributed to the separation of autochthonous cultivars across all three years of the study, in the case of the apple leaf samples, the contribution of individual variables varied between years. This observation may be attributed to the fact that the leaf, as a surface tissue, is more susceptible to environmental influences, which will inevitably vary throughout the three years of investigation, along with the fact that the leaf is a source organ, in contrast to the fruit, which is a sink organ. In general, citric acid (Cta), arabinose (Arb), turanose (Tur), and galctouronic acid (Gau) had a strong influence on the separation of autochthonous cultivars along the PC-axis over all three years of sampling, while the separation of the standard and resistant cultivars was influenced by maleic acid (Mla).
The leaves of the ‘Remura’ (11, resistant cultivar) and ‘Granny Smith’ (2, standard cultivar) cultivars have shown a different phytochemical profile compared to the other resistant/standard samples (Figure 5). In the case of the ‘Remura’ sample, the highest concentration of glucouronic acid and fructose, as well as high concentrations of maltose, panose, and fumaric acid among all resistant cultivars, contributed to its position on the score plot. In addition, the low concentration of ribose and shikimic acid compared to other samples from the same group of cultivars also contributed to the separation of this sample, while variables such as raffinose, panose, and quinic acid had the highest positive influence on the separation of the ‘Granny Smith’ cultivar (2) (Figure 5).

4. Conclusions

The results of this study confirm that autochthonous, non-commercial apple cultivars exhibit considerable pomological and genetic diversity, which is accompanied by a pronounced variability in their chemical composition. Although autochthonous and locally present apple genotypes have been investigated around the world, to the best of our knowledge, a detailed analysis of the sugars and short-chained carboxylic acids in the autochthonous apple genotypes mentioned above has not been yet published for commercial cultivars.
Regarding the sugar profile of the pulp, several autochthonous cultivars, including ‘Gružanjska letnja kolačara’, ‘Sećeruša’, ‘Demirka’, and ‘Hajdučica’, demonstrated comparable characteristics to commercial table cultivars such as ‘Red Delicious’, ‘Golden Delicious’, and ‘Gala Galaxy’. Fructose, glucose, and sucrose were identified as the predominant sugars in the apple pulp. In the leaf samples, sorbitol was determined to be the most abundant sugar, highlighting its essential role in carbon translocation processes in apple trees. In addition, principal component analysis revealed xylose, quinic acid, shikimic acid, arabinose, raffinose, malic acid, citric acid, and isocitric acid as the main contributors to the observed classification patterns among cultivars. The type of cultivar significantly influenced the composition of short-chain carboxylic acids in leaves, with autochthonous cultivars showing higher citric acid and lower malic acid concentrations compared to the other commercial cultivars examined.
The observed phytochemical diversity suggests the potential for the use of autochthonous apple cultivars in future breeding programs, as well as for their use in the development of differentiated food products, justifying further investigation. The study presented highlights the relevance of the preservation of existing genetic resources for fruit trees and emphasizes the need for future studies that scrutinize their specific usage and elucidate their adaptability and resilience under various challenging environmental conditions.

Supplementary Materials

The following supporting information can be downloaded at https://www.mdpi.com/article/10.3390/pr13103093/s1: Table S1: Concentration of detected compounds in fruit samples; Table S2: Concentration of detected compounds in leaf samples; Table S3: Results of univariate significance testing for factor effects on the concentrations of detected sugars and organic acids in the fruit pulp of analyzed samples; Table S4: Results of univariate significance testing for factor effects on the concentrations of detected sugars and organic acids in the leaves of analyzed samples; Table S5: The number of variables of the examined matrices within the PCA, and the explained variability among the pulp apple data; Table S6: The number of variables of the examined matrices within the PCA, and the explained variability among the apple leaf data.

Author Contributions

Conceptualization, N.M.H., M.M.F.-A. and D.M.M.-O.; data curation, N.M.H.; formal analysis, N.M.H., M.V.J. and Đ.D.K.; investigation, N.M.H., M.V.J., Đ.D.K. and J.M.N.; methodology, N.M.H., M.V.J., A.M.D., M.M.F.-A. and D.M.M.-O.; visualization, N.M.H. and A.M.D.; writing—original draft, N.M.H., M.V.J., A.M.D. and J.M.N.; writing—review and editing, Đ.D.K., M.M.F.-A. and D.M.M.-O.; supervision, M.M.F.-A. and D.M.M.-O.; project administration, M.M.F.-A. and D.M.M.-O.; resources, D.M.M.-O.; funding acquisition, D.M.M.-O. All authors have read and agreed to the published version of the manuscript.

Funding

This research has been financially supported by the Ministry of Science, Technological Development and Innovation of Republic of Serbia (Contract Numbers: 451-03-136/2025-03/200168, and 451-03-136/2025-03/200288, 451-03-65/2025-03/200116).

Data Availability Statement

The original contributions presented in this study are included in the article and Supplementary Material; further inquiries can be directed to the corresponding author.

Conflicts of Interest

Author Nikola M. Horvacki and Mihajlo V. Jakanovski were employed by the company Innovative Centre of the Faculty of Chemistry Ltd. The remaining authors declare that the research was conducted in the absence of any commercial or financial relationships that could be construed as a potential conflict of interest.

References

  1. Musacchi, S.; Serra, S. Apple Fruit Quality: Overview on Pre-Harvest Factors. Sci. Hortic. 2018, 234, 409–430. [Google Scholar] [CrossRef]
  2. Arnold, M.; Gramza-Michalowska, A. Recent Development on the Chemical Composition and Phenolic Extraction Methods of Apple (Malus domestica)—A Review. Food Bioprocess. Technol. 2024, 17, 2519–2560. [Google Scholar] [CrossRef]
  3. Pereira-Lorenzo, S.; Ramos-Cabrer, A.M.; Fischer, M. Breeding Apple (Malus x Domestica Borkh). In Breeding Plantation Tree Crops: Temperate Species; Springer: New York, NY, USA, 2009; pp. 33–81. ISBN 978-0-387-71202-4. [Google Scholar]
  4. Tschida, A.; Stadlbauer, V.; Schwarzinger, B.; Maier, M.; Pitsch, J.; Stübl, F.; Müller, U.; Lanzerstorfer, P.; Himmelsbach, M.; Wruss, J.; et al. Nutrients, Bioactive Compounds, and Minerals in the Juices of 16 Varieties of Apple (Malus domestica) Harvested in Austria: A Four-Year Study Investigating Putative Correlations with Weather Conditions during Ripening. Food Chem. 2021, 338, 128065. [Google Scholar] [CrossRef] [PubMed]
  5. Iaccarino, N.; Varming, C.; Agerlin Petersen, M.; Viereck, N.; Schütz, B.; Toldam-Andersen, T.B.; Randazzo, A.; Balling Engelsen, S. Ancient Danish Apple Cultivars—A Comprehensive Metabolite and Sensory Profiling of Apple Juices. Metabolites 2019, 9, 139. [Google Scholar] [CrossRef]
  6. Meland, M.; Aksic, M.F.; Frøynes, O.; Konjic, A.; Lasic, L.; Pojskic, N.; Gasi, F. Genetic Identity and Diversity of Apple Accessions within a Candidate Collection for the Norwegian National Clonal Germplasm Repository. Horticulturae 2022, 8, 630. [Google Scholar] [CrossRef]
  7. Mratinić, E.; Fotirić Akšić, M. Evaluation of Phenotipyc Diversity of Apple (Malus Sp.) GermplasmThrough the Principle Component Analysis. Genetika 2011, 43, 331–340. [Google Scholar] [CrossRef]
  8. Petkovsek, M.M.; Slatnar, A.; Stampar, F.; Veberic, R. The Influence of Organic/Integrated Production on the Content of Phenolic Compounds in Apple Leaves and Fruits in Four Different Varieties over a 2-Year Period: Organic/Integrated Production and Content of Phenolic Compounds in Apple. J. Sci. Food Agric. 2010, 90, 2366–2378. [Google Scholar] [CrossRef]
  9. Bazoche, P.; Combris, P.; Giraud-Heraud, E.; Seabra Pinto, A.; Bunte, F.; Tsakiridou, E. Willingness to Pay for Pesticide Reduction in the EU: Nothing but Organic? Eur. Rev. Agric. Econ. 2014, 41, 87–109. [Google Scholar] [CrossRef]
  10. Wojdyło, A.; Oszmiański, J.; Laskowski, P. Polyphenolic Compounds and Antioxidant Activity of New and Old Apple Varieties. J. Agric. Food Chem. 2008, 56, 6520–6530. [Google Scholar] [CrossRef]
  11. Jäger, S.; Trojan, H.; Kopp, T.; Laszczyk, M.; Scheffler, A. Pentacyclic Triterpene Distribution in Various Plants—Rich Sources for a New Group of Multi-Potent Plant Extracts. Molecules 2009, 14, 2016–2031. [Google Scholar] [CrossRef]
  12. Natić, M.; Dabić Zagorac, D.; Jakanovski, M.; Smailagić, A.; Čolić, S.; Meland, M.; Fotirić Akšić, M. Fruit Quality Attributes of Organically Grown Norwegian Apples Are Affected by Cultivar and Location. Plants 2024, 13, 147. [Google Scholar] [CrossRef]
  13. Silva, B.M.; Andrade, P.B.; Mendes, G.C.; Seabra, R.M.; Ferreira, M.A. Study of the Organic Acids Composition of Quince (Cydonia oblonga Miller) Fruit and Jam. J. Agric. Food Chem. 2002, 50, 2313–2317. [Google Scholar] [CrossRef]
  14. Cebulj, A.; Cunja, V.; Mikulic-Petkovsek, M.; Veberic, R. Importance of Metabolite Distribution in Apple Fruit. Sci. Hortic. 2017, 214, 214–220. [Google Scholar] [CrossRef]
  15. Baccichet, I.; Chiozzotto, R.; Bassi, D.; Gardana, C.; Cirilli, M.; Spinardi, A. Characterization of Fruit Quality Traits for Organic Acids Content and Profile in a Large Peach Germplasm Collection. Sci. Hortic. 2021, 278, 109865. [Google Scholar] [CrossRef]
  16. Ma, B.; Yuan, Y.; Gao, M.; Li, C.; Ogutu, C.; Li, M.; Ma, F. Determination of Predominant Organic Acid Components in Malus Species: Correlation with Apple Domestication. Metabolites 2018, 8, 74. [Google Scholar] [CrossRef] [PubMed]
  17. Zhang, Y.; Li, P.; Cheng, L. Developmental Changes of Carbohydrates, Organic Acids, Amino Acids, and Phenolic Compounds in ‘Honeycrisp’ Apple Flesh. Food Chem. 2010, 123, 1013–1018. [Google Scholar] [CrossRef]
  18. Yang, S.; Meng, Z.; Li, Y.; Chen, R.; Yang, Y.; Zhao, Z. Evaluation of Physiological Characteristics, Soluble Sugars, Organic Acids and Volatile Compounds in ‘Orin’ Apples (Malus domestica) at Different Ripening Stages. Molecules 2021, 26, 807. [Google Scholar] [CrossRef]
  19. Halford, N.G.; Curtis, T.Y.; Muttucumaru, N.; Postles, J.; Mottram, D.S. Sugars in Crop Plants. Ann. Appl. Biol. 2011, 158, 1–25. [Google Scholar] [CrossRef]
  20. Okan, O.T.; Deniz, İ.; Yayli, N.; Şat, İ.G.; Mehmet, Ö.Z.; Hatipoglu Serdar, G. Antioxidant Activity, Sugar Content and Phenolic Profiling of Blueberries Cultivars: A Comprehensive Comparison. Not. Bot. Horti. Agrobo. 2018, 46, 639–652. [Google Scholar] [CrossRef]
  21. Sami, F.; Yusuf, M.; Faizan, M.; Faraz, A.; Hayat, S. Role of Sugars under Abiotic Stress. Plant Physiol. Biochem. 2016, 109, 54–61. [Google Scholar] [CrossRef]
  22. Igamberdiev, A.U.; Bykova, N.V. Role of Organic Acids in the Integration of Cellular Redox Metabolism and Mediation of Redox Signalling in Photosynthetic Tissues of Higher Plants. Free Radic. Biol. Med. 2018, 122, 74–85. [Google Scholar] [CrossRef]
  23. Igamberdiev, A.U.; Eprintsev, A.T. Organic Acids: The Pools of Fixed Carbon Involved in Redox Regulation and Energy Balance in Higher Plants. Front. Plant Sci. 2016, 7, 1042. [Google Scholar] [CrossRef]
  24. Selinski, J.; Scheibe, R. Malate Valves: Old Shuttles with New Perspectives. Plant Biol. J. 2019, 21, 21–30. [Google Scholar] [CrossRef]
  25. Berüter, J. Carbohydrate Metabolism in Two Apple Genotypes That Differ in Malate Accumulation. J. Plant Physiol. 2004, 161, 1011–1029. [Google Scholar] [CrossRef] [PubMed]
  26. Etienne, A.; Génard, M.; Lobit, P.; Mbeguié-A-Mbéguié, D.; Bugaud, C. What Controls Fleshy Fruit Acidity? A Review of Malate and Citrate Accumulation in Fruit Cells. J. Exp. Bot. 2013, 64, 1451–1469. [Google Scholar] [CrossRef] [PubMed]
  27. Keunen, E.; Peshev, D.; Vangronsveld, J.; Van Den Ende, W.; Cuypers, A. Plant Sugars Are Crucial Players in the Oxidative Challenge during Abiotic Stress: Extending the Traditional Concept. Plant Cell Environ. 2013, 36, 1242–1255. [Google Scholar] [CrossRef] [PubMed]
  28. Derridj, S.; Garrec, J.-P.; Lombarkia, N. Sugars on Leaf Surfaces Used as Signals by the Insect and the Plant: Implications in Orchard Protection against Cydia pomonella L. (Lepidoptera, Tortricidae). In Moths: Types, Ecological Significance, and Control Methods; Cauterruccio, L., Ed.; Insects and Other Terrestrial Arthropods: Biology, Chemistry and Behavior; Nova Science Publishers: New York, NY, USA, 2012; pp. 1–38. ISBN 978-1-61470-626-7. [Google Scholar]
  29. Lombarkia, N.; Derridj, S. Resistance of Apple Trees to Cydia pomonella Egg-laying Due to Leaf Surface Metabolites. Entomol. Exp. Appl. 2008, 128, 57–65. [Google Scholar] [CrossRef]
  30. Morkunas, I.; Narożna, D.; Nowak, W.; Samardakiewicz, S.; Remlein-Starosta, D. Cross-Talk Interactions of Sucrose and Fusarium Oxysporum in the Phenylpropanoid Pathway and the Accumulation and Localization of Flavonoids in Embryo Axes of Yellow Lupine. J. Plant Physiol. 2011, 168, 424–433. [Google Scholar] [CrossRef]
  31. Surekha Devi, V.; Sharma, H.C.; Arjuna Rao, P. Influence of Oxalic and Malic Acids in Chickpea Leaf Exudates on the Biological Activity of CryIAc towards Helicoverpa Armigera. J. Insect Physiol. 2013, 59, 394–399. [Google Scholar] [CrossRef]
  32. Jakobek, L.; Barron, A.R. Ancient Apple Varieties from Croatia as a Source of Bioactive Polyphenolic Compounds. J. Food Compos. Anal. 2016, 45, 9–15. [Google Scholar] [CrossRef]
  33. Šavikin, K.; Živković, J.; Zdunić, G.; Gođevac, D.; Ðorđević, B.; Dojčinović, B.; Đorđević, N. Phenolic and Mineral Profiles of Four Balkan Indigenous Apple Cultivars Monitored at Two Different Maturity Stages. J. Food Compos. Anal. 2014, 35, 101–111. [Google Scholar] [CrossRef]
  34. Dramićanin, A.M.; Andrić, F.L.; Poštić, D.Ž.; Momirović, N.M.; Milojković-Opsenica, D.M. Sugar Profiles as a Promising Tool in Tracing Differences between Potato Cultivation Systems, Botanical Origin and Climate Conditions. J. Food Compos. Anal. 2018, 72, 57–65. [Google Scholar] [CrossRef]
  35. Petkovsek, M.M.; Stampar, F.; Veberic, R. Parameters of Inner Quality of the Apple Scab Resistant and Susceptible Apple Cultivars (Malus domestica Borkh.). Sci. Hortic. 2007, 114, 37–44. [Google Scholar] [CrossRef]
  36. Hecke, K.; Herbinger, K.; Veberič, R.; Trobec, M.; Toplak, H.; Štampar, F.; Keppel, H.; Grill, D. Sugar-, Acid- and Phenol Contents in Apple Cultivars from Organic and Integrated Fruit Cultivation. Eur. J. Clin. Nutr. 2006, 60, 1136–1140. [Google Scholar] [CrossRef] [PubMed]
  37. Aprea, E.; Charles, M.; Endrizzi, I.; Laura Corollaro, M.; Betta, E.; Biasioli, F.; Gasperi, F. Sweet Taste in Apple: The Role of Sorbitol, Individual Sugars, Organic Acids and Volatile Compounds. Sci. Rep. 2017, 7, 44950. [Google Scholar] [CrossRef] [PubMed]
  38. Fang, T.; Cai, Y.; Yang, Q.; Ogutu, C.O.; Liao, L.; Han, Y. Analysis of Sorbitol Content Variation in Wild and Cultivated Apples. J. Sci. Food Agric. 2020, 100, 139–144. [Google Scholar] [CrossRef] [PubMed]
  39. Schrader, L.E.; Zhang, J.; Sun, J.; Xu, J.; Elfving, D.C.; Kahn, C. Postharvest Changes in Internal Fruit Quality in Apples with Sunburn Browning. J. Amer. Soc. Hort. Sci. 2009, 134, 148–155. [Google Scholar] [CrossRef]
  40. Hajizadeh, H.S.; Kazemi, M. Investigation of Approaches to Preserve Postharvest Quality and Safety in Fresh-Cut Fruits and Vegetables. Res. J. Environ. Sci. 2012, 6, 93–106. [Google Scholar] [CrossRef]
  41. Wu, J.; Gao, H.; Zhao, L.; Liao, X.; Chen, F.; Wang, Z.; Hu, X. Chemical Compositional Characterization of Some Apple Cultivars. Food Chem. 2007, 103, 88–93. [Google Scholar] [CrossRef]
  42. Sadar, N.; Urbanek Krajnc, A.; Tojnko, S.; Tijskens, L.M.M.; Schouten, R.E.; Unuk, T. Development and Distribution of Quality Related Compounds in Apples during Growth. Sci. Hortic. 2016, 213, 222–231. [Google Scholar] [CrossRef]
  43. Berüter, J.; Feusi, M.E.S.; Rüedi, P. Sorbitol and Sucrose Partitioning in the Growing Apple Fruit. J. Plant Physiol. 1997, 151, 269–276. [Google Scholar] [CrossRef]
  44. Šircelj, H.; Tausz, M.; Grill, D.; Batič, F. Biochemical Responses in Leaves of Two Apple Tree Cultivars Subjected to Progressing Drought. J. Plant Physiol. 2005, 162, 1308–1318. [Google Scholar] [CrossRef] [PubMed]
  45. Nemeskéri, E.; Kovács-Nagy, E.; Nyéki, J.; Sárdi, É. Responses of Apple Tree Cultivars to Drought: Carbohydrate Composition in the Leaves. Turk. J. Agric. 2015, 39, 949–957. [Google Scholar] [CrossRef]
  46. Sivaci, A. Seasonal Changes of Total Carbohydrate Contents in Three Varieties of Apple (Malus sylvestris Miller) Stem Cuttings. Sci. Hortic. 2006, 109, 234–237. [Google Scholar] [CrossRef]
  47. Wang, Z.; Stutte, G.W. The Role of Carbohydrates in Active Osmotic Adjustment in Apple under Water Stress. J. Am. Soc. Hortic. Sci. 1992, 117, 816–823. [Google Scholar] [CrossRef]
  48. Li, T.H.; Li, S.H. Leaf Responses of Micropropagated Apple Plants to Water Stress: Nonstructural Carbohydrate Composition and Regulatory Role of Metabolic Enzymes. Tree Physiol. 2005, 25, 495–504. [Google Scholar] [CrossRef]
  49. Wojdyło, A.; Nowicka, P.; Turkiewicz, I.P.; Tkacz, K.; Hernandez, F. Comparison of Bioactive Compounds and Health Promoting Properties of Fruits and Leaves of Apple, Pear and Quince. Sci. Rep. 2021, 11, 20253. [Google Scholar] [CrossRef]
  50. Yamada, K.; Osakabe, Y. Sugar Compartmentation as an Environmental Stress Adaptation Strategy in Plants. Semin. Cell Dev. Biol. 2018, 83, 106–114. [Google Scholar] [CrossRef]
  51. Zupan, A.; Mikulic-Petkovsek, M.; Stampar, F.; Veberic, R. Sugar and Phenol Content in Apple with or without Watercore: Effect of Watercore on Apple Phenols and Sugars. J. Sci. Food Agric. 2016, 96, 2845–2850. [Google Scholar] [CrossRef]
  52. Tian, Y.; Deng, Y.; Zhang, W.; Mu, W. Sucrose Isomers as Alternative Sweeteners: Properties, Production, and Applications. Appl. Microbiol. Biotechnol. 2019, 103, 8677–8687. [Google Scholar] [CrossRef]
  53. Carrington, Y.; Guo, J.; Le, C.H.; Fillo, A.; Kwon, J.; Tran, L.T.; Ehlting, J. Evolution of a Secondary Metabolic Pathway from Primary Metabolism: Shikimate and Quinate Biosynthesis in Plants. Plant J. 2018, 95, 823–833. [Google Scholar] [CrossRef]
  54. Mratinić, E.; Fotirić-Akšić, M. Phenotypic Diversity of Apple (Malus Sp.) Germplasm in South Serbia. Braz. Arch. Biol. Technol. 2012, 55, 349–358. [Google Scholar] [CrossRef]
  55. Horvacki, N.; Andrić, F.; Gašić, U.; Đurović, D.; Tešić, Ž.; Fotirić Akšić, M.; Milojković-Opsenica, D. Phenolic Compounds as Phytochemical Tracers of Varietal Origin of Some Autochthonous Apple Cultivars Grown in Serbia. Molecules 2022, 27, 7651. [Google Scholar] [CrossRef]
  56. Sun, X.; Jiao, C.; Schwaninger, H.; Chao, C.T.; Ma, Y.; Duan, N.; Khan, A.; Ban, S.; Xu, K.; Cheng, L.; et al. Phased Diploid Genome Assemblies and Pan-Genomes Provide Insights into the Genetic History of Apple Domestication. Nat. Genet. 2020, 52, 1423–1432. [Google Scholar] [CrossRef] [PubMed]
  57. Guan, Y.; Peace, C.; Rudell, D.; Verma, S.; Evans, K. QTLs Detected for Individual Sugars and Soluble Solids Content in Apple. Mol. Breed. 2015, 35, 135. [Google Scholar] [CrossRef]
  58. Zheng, L.-J.; Nie, J.-Y.; Yan, Z.; Xu, G.-F.; Wang, K.; Gao, Y.; Ye, M.-L. Studies on the Characteristics of the Composition and Content of Soluble Sugars in Apple Fruit. Acta Hortic. Sin. 2015, 42, 950–960. [Google Scholar] [CrossRef]
  59. Hammer, K.; Gladis, T.; Diederichsen, A. In Situ and On-Farm Management of Plant Genetic Resources. Eur. J. Agron. 2003, 19, 509–517. [Google Scholar] [CrossRef]
Figure 1. Graphical representation of MANOVA-derived factor effects on the content of the analyzed saccharides in the apple pulp samples, as well as the effects of the cultivar type: (A) compounds detected above 0.5 mg/g; (B) compounds detected below 0.5 mg/g (A—autochthonous cultivars; R—resistant cultivars; S—standard cultivars).
Figure 1. Graphical representation of MANOVA-derived factor effects on the content of the analyzed saccharides in the apple pulp samples, as well as the effects of the cultivar type: (A) compounds detected above 0.5 mg/g; (B) compounds detected below 0.5 mg/g (A—autochthonous cultivars; R—resistant cultivars; S—standard cultivars).
Processes 13 03093 g001
Figure 2. Graphical representation of MANOVA–derived factor effects on the content of the analyzed saccharides in the apple leaf samples: (A) effect of cultivar type and different sampling year; (B) effect of cultivar type (A—autochthonous cultivars; R—resistant cultivars; S—standard cultivars).
Figure 2. Graphical representation of MANOVA–derived factor effects on the content of the analyzed saccharides in the apple leaf samples: (A) effect of cultivar type and different sampling year; (B) effect of cultivar type (A—autochthonous cultivars; R—resistant cultivars; S—standard cultivars).
Processes 13 03093 g002
Figure 3. Principal component analysis: score plots (A,C,E) and loading plots (B,D,F) resulting from the data processing of the saccharide and organic acid content of the apple pulp samples from the three different years ((A,B) 2018; (C,D) 2019; (E,F) 2020). A—autochthonous cultivars; R—resistant cultivars; and S—standard cultivars. Numbers of objects in PCA corespond to the cultivar numbers in Table 1. Abbreviations of the compound names in the loading plots are given in Table S1.
Figure 3. Principal component analysis: score plots (A,C,E) and loading plots (B,D,F) resulting from the data processing of the saccharide and organic acid content of the apple pulp samples from the three different years ((A,B) 2018; (C,D) 2019; (E,F) 2020). A—autochthonous cultivars; R—resistant cultivars; and S—standard cultivars. Numbers of objects in PCA corespond to the cultivar numbers in Table 1. Abbreviations of the compound names in the loading plots are given in Table S1.
Processes 13 03093 g003
Figure 4. Comparison of the ratios of the sum of glucose, fructose, sucrose, and sorbitol concentration and the sum of the detected acid concentration in the pulp of the apple cultivars that showed a specific grouping in PCA. The blue-colored numbers correspond to the cultivar, as given in Table 1; while the black numbers are the values of the ratios. Under the commercial cultivar, both standard and resistant cultivars are included.
Figure 4. Comparison of the ratios of the sum of glucose, fructose, sucrose, and sorbitol concentration and the sum of the detected acid concentration in the pulp of the apple cultivars that showed a specific grouping in PCA. The blue-colored numbers correspond to the cultivar, as given in Table 1; while the black numbers are the values of the ratios. Under the commercial cultivar, both standard and resistant cultivars are included.
Processes 13 03093 g004
Figure 5. Principal component analysis: score plots (A,C,E) and loading plots (B,D,F) resulting from the data processing of the saccharide and organic acid content of the apple leaf samples from the three different years ((A,B) 2018; (C,D) 2019; (E,F) 2020). A—autochthonous cultivars; R—resistant cultivars; and S—standard cultivars. Numbers of objects in PCA corespond to the cultivar numbers in Table 1. Abbreviations of the compound names in the loading plots are given in Table S2.
Figure 5. Principal component analysis: score plots (A,C,E) and loading plots (B,D,F) resulting from the data processing of the saccharide and organic acid content of the apple leaf samples from the three different years ((A,B) 2018; (C,D) 2019; (E,F) 2020). A—autochthonous cultivars; R—resistant cultivars; and S—standard cultivars. Numbers of objects in PCA corespond to the cultivar numbers in Table 1. Abbreviations of the compound names in the loading plots are given in Table S2.
Processes 13 03093 g005
Table 1. List of analyzed cultivars.
Table 1. List of analyzed cultivars.
NumberCultivarCultivar TypeMonth of Collection
1.Red DeliciousStandardSeptember (second half)
2.Granny SmithStandardSeptember (second half)
3.IdaredStandardSeptember (second half)
4.Golden DeliciousStandardSeptember (second half)
5.JonagoldStandardSeptember (second half)
6.PrimaResistantAugust (second half)
7.Gala GalaxResistantAugust (second half)
8.Williams PrideResistantJuly
9.RewenaResistantSeptember (first half)
10.TopazResistantSeptember (second half)
11.RemuraResistantSeptember (first half)
12.Zaječarska duguljastaAutochthonousSeptember (second half)
13.Mionička tikvaraAutochthonousSeptember (first half)
14.Zaječarski delišesAutochthonousSeptember (second half)
15.Gružanjska letnja kolačaraAutochthonousJuly
16.ŠećerušaAutochthonousSeptember
17.PamuklijaAutochthonousSeptember (first half)
18.DemirkaAutochthonousSeptember (first half)
19.Jesenji jablanAutochthonousSeptember (second half)
20.KadumanaAutochthonousSeptember (first half)
21.BuzlijaAutochthonousSeptember (second half)
22.KrtajkaAutochthonousAugust (second half)
23.HajdučicaAutochthonousSeptember (second half)
24.Vrtiglavska slatkačaAutochthonousSeptember (first half)
25.KopaoničankaAutochthonousSeptember (second half)
26.Bela kalaćušaAutochthonousSeptember (second half)
27.Loznička tikvaraAutochthonousSeptember (second half)
28.ŠipuraAutochthonousAugust (second half)
29.ŠipinaAutochthonousSeptember
30.KožaraAutochthonousSeptember (first half)
Table 2. Sugar and organic acid composition of apple pulp samples (mg/g) *.
Table 2. Sugar and organic acid composition of apple pulp samples (mg/g) *.
Content (mg/g) Fresh Weight
YearCv. TypeGlycerolSorbitolArabinoseGlucoseXyloseFructoseSucroseRaffinoseTuranose
2018A0.09 ± 0.045.9 ± 3.40.028 ± 0.01216.5 ± 8.00.77 ± 0.2450.1 ± 9.925.7 ± 7.70.18 ± 0.080.16 ± 0.12
S0.11 ± 0.106.4 ± 1.60.015 ± 0.00919.6 ± 9.00.32 ± 0.1665.8 ± 7.827.1 ± 6.00.07 ± 0.050.08 ± 0.07
R0.07 ± 0.095.5 ± 1.90.005 ± 0.00418.4 ± 7.20.37 ± 0.2062.7 ± 1525.0 ± 7.20.06 ± 0.030.06 ± 0.06
2019A0.38 ± 0.279.5 ± 3.90.014 ± 0.00321.3 ± 7.10.41 ± 0.2473.6 ± 1225.6 ± 7.80.12 ± 0.060.16 ± 0.08
S0.15 ± 0.066.5 ± 2.80.009 ± 0.00520.3 ± 5.10.16 ± 0.1564.7 ± 1231.2 ± 6.60.06 ± 0.020.07 ± 0.02
R0.26 ± 0.144.6 ± 2.10.003 ± 0.00216.4 ± 8.40.18 ± 0.0857.1 ± 7.234.0 ± 110.07 ± 0.020.07 ± 0.06
2020A0.14 ± 0.087.2 ± 2.50.015 ± 0.00524.2 ± 8.50.86 ± 0.2453.2 ± 7.425.0 ± 7.10.14 ± 0.050.19 ± 0.08
S0.10 ± 0.103.3 ± 0.90.005 ± 0.00233.7 ± 3.30.63 ± 0.1947.9 ± 6.630.6 ± 6.10.07 ± 0.030.07 ± 0.02
R0.11 ± 0.064.4 ± 2.70.005 ± 0.00224.8 ± 140.40 ± 0.1148.2 ± 5.425.3 ± 6.90.07 ± 0.030.07 ± 0.06
Content (mg/g) Fresh Weight
YearCv. TypeMaltoseMaltorioseososePanoseQuinicShikimicMaleicMalicCitricIsocitric
2018A0.12 ± 0.110.26 ± 0.140.006 ± 0.0051.41 ± 0.580.14 ± 0.050.04 ± 0.0310.4 ± 5.40.25 ± 0.130.04 ± 0.03
S0.12 ± 0.120.28 ± 0.110.009 ± 0.0050.92 ± 0.650.07 ± 0.050.03 ± 0.0210.3 ± 4.00.13 ± 0.070.02 ± 0.02
R0.07 ± 0.080.26 ± 0.080.007 ± 0.0060.56 ± 0.140.07 ± 0.050.05 ± 0.0311.4 ± 2.60.19 ± 0.110.02 ± 0.02
2019A0.12 ± 0.060.26 ± 0.150.008 ± 0.0031.39 ± 0.650.20 ± 0.160.06 ± 0.0410.9 ± 4.20.25 ± 0.090.03 ± 0.03
S0.17 ± 0.090.34 ± 0.080.008 ± 0.0020.82 ± 0.540.07 ± 0.060.05 ± 0.0410.4 ± 3.60.14 ± 0.080.03 ± 0.03
R0.15 ± 0.110.32 ± 0.140.008 ± 0.0030.55 ± 0.300.04 ± 0.020.07 ± 0.0412.0 ± 4.50.18 ± 0.070.02 ± 0.02
2020A0.12 ± 0.060.27 ± 0.110.006 ± 0.0051.23 ± 0.500.16 ± 0.050.05 ± 0.0213.0 ± 5.30.27 ± 0.120.05 ± 0.04
S0.16 ± 0.060.36 ± 0.120.009 ± 0.0050.80 ± 0.430.10 ± 0.050.04 ± 0.0210.4 ± 4.00.14 ± 0.040.03 ± 0.02
R0.13 ± 0.100.27 ± 0.110.007 ± 0.0060.54 ± 0.090.07 ± 0.020.04 ± 0.029.9 ± 3.40.14 ± 0.050.03 ± 0.02
* All results are expressed as mean ± standard deviation (complete sample set) for autochthonous (A), standard (S), and resistant (R) apple cultivars collected over three years (2018, 2019, and 2020).
Table 3. Sugar and organic acid composition of apple leaf samples (mg/g) *.
Table 3. Sugar and organic acid composition of apple leaf samples (mg/g) *.
Content (mg/g) Dry Weight
YearCv. TypeGlycerolSorbitolArabinoseGlucoseXyloseFructoseSucroseRaffinoseTuranoseMaltose
2018A2.52 ± 0.6570.7 ± 16.30.03 ± 0.0140.0 ± 8.00.021 ± 0.0165.5 ± 1.50.42 ± 0.200.08 ± 0.120.26 ± 0.140.11 ± 0.07
S2.26 ± 0.2358.5 ± 13.40.02 ± 0.0128.1 ± 3.00.008 ± 0.0073.5 ± 1.80.36 ± 0.270.13 ± 0.110.10 ± 0.170.17 ± 0.05
R3.11 ± 0.7264.1 ± 10.20.03 ± 0.0136.0 ± 2.10.022 ± 0.0154.8 ± 1.10.56 ± 0.160.19 ± 0.100.10 ± 0.140.11 ± 0.07
2019A2.42 ± 0.7054.8 ± 10.90.02 ± 0.0133.6 ± 10.00.018 ± 0.0113.7 ± 1.20.46 ± 0.360.11 ± 0.160.17 ± 0.130.15 ± 0.06
S2.05 ± 0.1665.1 ± 9.70.03 ± 0.0143.0 ± 7.50.029 ± 0.0363.6 ± 1.00.22 ± 0.050.14 ± 0.150.24 ± 0.180.11 ± 0.06
R2.42 ± 0.2052.9 ± 9.60.02 ± 0.0137.1 ± 3.90.012 ± 0.0304.0 ± 0.60.43 ± 0.030.15 ± 0.250.20 ± 0.100.13 ± 0.07
2020A2.73 ± 0.6860.6 ± 10.20.04 ± 0.0839.5 ± 6.30.039 ± 0.0265.4 ± 0.70.44 ± 0.180.22 ± 0.090.09 ± 0.090.10 ± 0.05
S3.90 ± 0.8149.9 ± 1.80.02 ± 0.0140.4 ± 2.40.025 ± 0.0165.6 ± 1.00.42 ± 0.180.18 ± 0.060.04 ± 0.020.10 ± 0.08
R2.70 ± 0.7971.5 ± 5.20.10 ± 0.0143.4 ± 8.40.050 ± 0.0165.6 ± 0.80.42 ± 0.170.36 ± 0.040.19 ± 0.260.10 ± 0.08
Content (mg/g) Dry Weight
YearCv. TypePanoseMaltotrioseQuinicShikimicMalicMaleicCitricIsocitricQuinicGalactouronicGlucuronic
2018A0.18 ± 0.140.21 ± 0.0723.3 ± 6.42.6 ± 1.618.1 ± 4.60.73 ± 0.294.2 ± 1.70.17 ± 0.090.15 ± 0.050.02 ± 0.0123.3 ± 6.4
S0.26 ± 0.270.24 ± 0.0524.1 ± 7.72.2 ± 0.817.4 ± 3.81.23 ± 0.361.9 ± 0.50.19 ± 0.060.07 ± 0.020.04 ± 0.0724.1 ± 7.7
R0.29 ± 0.150.24 ± 0.0628.4 ± 4.31.9 ± 0.718.0 ± 3.90.86 ± 0.363.4 ± 1.00.23 ± 0.150.08 ± 0.040.02 ± 0.0128.4 ± 4.3
2019A0.22 ± 0.180.24 ± 0.0624.7 ± 4.93.0 ± 1.524.4 ± 4.51.00 ± 0.394.3 ± 1.80.19 ± 0.110.24 ± 0.110.03 ± 0.0224.7 ± 4.9
S0.12 ± 0.200.20 ± 0.0626.8 ± 8.33.0 ± 0.727.0 ± 6.81.52 ± 0.342.6 ± 0.40.25 ± 0.140.15 ± 0.050.02 ± 0.0126.8 ± 8.3
R0.23 ± 0.020.23 ± 0.0626.0 ± 6.23.2 ± 1.125.7 ± 8.11.09 ± 0.423.9 ± 1.60.28 ± 0.160.21 ± 0.100.03 ± 0.0126.0 ± 6.2
2020A0.41 ± 0.380.21 ± 0.1226.3 ± 6.02.1 ± 1.220.6 ± 3.11.16 ± 0.574.2 ± 2.00.27 ± 0.120.20 ± 0.070.02 ± 0.0126.3 ± 6.0
S0.45 ± 0.100.15 ± 0.0827.6 ± 7.61.8 ± 1.222.1 ± 4.51.22 ± 0.683.0 ± 0.20.24 ± 0.110.17 ± 0.030.02 ± 0.0127.6 ± 7.6
R0.30 ± 0.380.33 ± 0.1826.6 ± 5.12.8 ± 0.722.8 ± 7.10.94 ± 0.613.2 ± 1.10.13 ± 0.150.22 ± 0.110.02 ± 0.0226.6 ± 5.1
* All results are expressed as mean ± standard deviation (complete sample set) for autochthonous (A), standard (S), and resistant (R) apple varietes collected over three years (2018, 2019, and 2020).
Disclaimer/Publisher’s Note: The statements, opinions and data contained in all publications are solely those of the individual author(s) and contributor(s) and not of MDPI and/or the editor(s). MDPI and/or the editor(s) disclaim responsibility for any injury to people or property resulting from any ideas, methods, instructions or products referred to in the content.

Share and Cite

MDPI and ACS Style

Horvacki, N.M.; Jakanovski, M.V.; Krstić, Đ.D.; Nedić, J.M.; Dramićanin, A.M.; Fotirić-Akšić, M.M.; Milojković-Opsenica, D.M. Evaluation of Sugar and Organic Acid Composition of Apple Cultivars (Malus domestica Borkh.) Grown in Serbia. Processes 2025, 13, 3093. https://doi.org/10.3390/pr13103093

AMA Style

Horvacki NM, Jakanovski MV, Krstić ĐD, Nedić JM, Dramićanin AM, Fotirić-Akšić MM, Milojković-Opsenica DM. Evaluation of Sugar and Organic Acid Composition of Apple Cultivars (Malus domestica Borkh.) Grown in Serbia. Processes. 2025; 13(10):3093. https://doi.org/10.3390/pr13103093

Chicago/Turabian Style

Horvacki, Nikola M., Mihajlo V. Jakanovski, Đurđa D. Krstić, Jelena M. Nedić, Aleksandra M. Dramićanin, Milica M. Fotirić-Akšić, and Dušanka M. Milojković-Opsenica. 2025. "Evaluation of Sugar and Organic Acid Composition of Apple Cultivars (Malus domestica Borkh.) Grown in Serbia" Processes 13, no. 10: 3093. https://doi.org/10.3390/pr13103093

APA Style

Horvacki, N. M., Jakanovski, M. V., Krstić, Đ. D., Nedić, J. M., Dramićanin, A. M., Fotirić-Akšić, M. M., & Milojković-Opsenica, D. M. (2025). Evaluation of Sugar and Organic Acid Composition of Apple Cultivars (Malus domestica Borkh.) Grown in Serbia. Processes, 13(10), 3093. https://doi.org/10.3390/pr13103093

Note that from the first issue of 2016, this journal uses article numbers instead of page numbers. See further details here.

Article Metrics

Back to TopTop