Next Article in Journal
Theories, Techniques and Materials for Sealing Coalbed Methane Extraction Boreholes in Underground Mines: A Review
Previous Article in Journal
Influence of Plasticizers Concentration on Thermal, Mechanical, and Physicochemical Properties on Starch Films
 
 
Font Type:
Arial Georgia Verdana
Font Size:
Aa Aa Aa
Line Spacing:
Column Width:
Background:
Article

Research on Multi-Parameter Optimization of Conical Roller Line Processing Technology Based on Satisfaction Function

1
School of Economics and Management, Shaoyang University, Shaoyang 422000, China
2
School of Mechanical and Energy Engineering, Shaoyang University, Shaoyang 422000, China
*
Author to whom correspondence should be addressed.
Processes 2024, 12(9), 2020; https://doi.org/10.3390/pr12092020
Submission received: 31 August 2024 / Revised: 13 September 2024 / Accepted: 17 September 2024 / Published: 19 September 2024
(This article belongs to the Section Manufacturing Processes and Systems)

Abstract

In the process of conical roller line processing, there will be problems such as low precision of processing parameters, long processing time, low utilization rate of machine tools, high rejection rate, and high processing cost, which will lead to low production efficiency. In order to solve this problem, it is necessary to iteratively optimize the size parameters, including inner diameter, ovality, and taper. By obtaining the optimal parameter combination, the size parameters in the production process are kept consistent, that is, the accuracy and performance of the workpiece during the processing are guaranteed so as to avoid the problem of quality difference, improve the production efficiency and reduce the processing cost. In view of the fact that there are often some constraints on the accuracy and efficiency in the machining process of tapered roller lines, how to optimize the parameters affecting the accuracy and the parameters affecting the efficiency to achieve balance between accuracy and efficiency in order to better meet the needs of customers for multi-objective optimization of the machining process has become the focus of research. Based on the existing research, this paper explores the multi-parameter optimization modeling and application in the machining process of tapered roller lines by constructing a satisfaction function, and then uses a genetic algorithm to iteratively search for the optimal solution by simulating natural selection and the genetic mechanism. Based on Python software v3.12, the production process of tapered roller bearings is simulated. The AHP analytic hierarchy process and CRITIC weight method are used to redistribute the parameter weights respectively. After eight iterations, it is concluded that the weight value assigned by the AHP analytic hierarchy process makes the satisfaction function value reach the best value of 0.99795 and tend to converge stably. The optimized parameter configuration significantly improves the machining accuracy and production efficiency of the tapered roller line. The optimal parameter combination is obtained: inner diameter: 9.9982 mm, ovality: 0.7 mm, taper: 0.5 degrees, production efficiency: 101.0.97 piece/h. In order to verify the optimization effect, the single value (X) and moving extreme difference (Rs) control charts in the measurement value control chart are used to analyze and verify the tolerance values of important parameters in the processing technology of the tapered roller line. The results show that the data points are all within the control limit, indicating that the processing process is in a statistical control state.

1. Introduction

The tapered roller line process is the key process of manufacturing tapered roller bearings, and directly affects the quality and performance of bearings. Tapered roller bearings are widely used in automobiles, railway vehicles, agricultural machinery, mining equipment, and other fields. Because they can withstand large radial and axial loads, provide high rigidity and carrying capacity, and reduce operating torque and heat to ensure the speed and accuracy of the spindle, they are also commonly used in machine tool spindles [1,2]. The manufacturing process of tapered roller bearings involves many steps, from the preparation of raw materials to the assembly and testing of the final product, each step needs to be strictly controlled to ensure the quality and performance of the product.
Inevitably, there are still some problems in the manufacture and use of tapered roller bearings. Improper clearance setting may lead to premature wear or damage of the bearing. Thermal stress and structural stress during heat treatment may cause bearing deformation. Excessive angle between the outer ring raceway generatrix and the axis line of the tapered roller bearing (called large cone-angle tapered roller bearing) may lead to uneven wear of the inner and outer ring rib surfaces and the roller ball base surface when the bearing is subjected to axial load, abnormal temperature rise during bearing use, and abnormal contact position. Poor accuracy, uneven rigidity and poor installation of shafts or bearing boxes may lead to rolling fatigue of bearings. These problems greatly affect the service life and reliability of tapered roller bearings [3,4,5,6,7]. These problems can be solved by optimizing bearing design, improving processing technology, and avoiding excessive load.
However, it is more important to optimize the size parameters. Because the optimization and control of the size parameters (inner diameter, ovality, taper) involved in the processing process are relatively complex, it is easy to cause instability in the processing process and affect the product quality. The diversity and instability of the parameters also make the conventional conical roller line processing technology often unable to achieve the best processing efficiency, causing a long production cycle and high cost. At the same time, unreasonable selection of parameters or poor adjustment of processing conditions may lead to excessive wear of equipment and tools, increasing production costs. Nowadays, how to reasonably optimize these parameters to improve processing efficiency and product quality has become an urgent problem to be solved.
In the traditional process flow, due to the lack of in-depth understanding of the interaction between processing parameters, the processing quality is often difficult to guarantee, and the frequent process adjustment consumes time and increases cost. This situation urgently needs a new method that can fully consider the complex relationship between parameters and realize process optimization. Pang Xiaoxu et al. [8] (2021) used the response surface method to establish a regression analysis model to obtain the best combination of raceway parameters. Xu Hui et al. [9] (2021) used a genetic algorithm (GA) to design tapered roller bearings with high performance for vehicles, and the bearings in the optimized area had a higher-rated dynamic load. Yu Kaixue et al. [10] (2023) combined a genetic algorithm with Romax commercial software 2023.1 to establish an optimal design model of tapered roller bearings, which improved the life of bearings. In order to fully analyze the vibration signals generated during the operation of tapered roller bearings, Liu Min et al. [11] (2023) proposed a method combining adaptive noise complete ensemble empirical mode decomposition (CEEMDAN) with cepstrum to make the vibration signals more prominent.
The above methods have effectively optimized the parameters in the tapered roller line process, but the multi-parameter optimization of the size parameters in the tapered roller line process, such as inner diameter, ovality, taper, etc., is still slightly insufficient. Through the literature query, a multi-parameter optimization based on the satisfaction function was found. Huang et al. [12] (2019) proposed a multi-objective robust design method based on satisfaction function. The research shows that this method is effective in improving the robustness of new escape pipeline parameters. Senthil et al. [13] (2020) optimized the friction stir welding process parameters of AA6063-T6 tube by using the multi-objective optimization technology based on the satisfaction function method of the response surface method (RSM). Similarly, Giannakourou et al. [14] (2020) studied the optimization of osmotic dehydration of tomato using the response surface method and the satisfaction function method. Koohathongsumrit et al. [15] (2020) proposed a hybrid method of analytic hierarchy process (AHP) and satisfaction function, which is used in the form of 0–1 satisfaction planning model (ZODP) for multi-objective risk assessment management. In addition, Tran et al. [16] (2021) proposed an efficient hybrid method to solve the multi-objective optimization design problem of flexible mechanisms by using the satisfaction function. Jawad et al. [17] (2021) explored the adsorption of methylene blue dye by sulfonated pomegranate peel biochar using a numerical satisfaction function. Padilla-Atondo et al. [18] (2021) used the satisfaction function method to perform multi-response optimization and analyzed the effect of hydrogen on fixed gasoline engines. In addition, D a‘ddona et al. [19] (2021) focused on the multi-objective optimization of fused deposition modeling process parameters with the satisfaction function. Alam et al. [20] (2022) carried out friction stir welding of al-li-based alloy AA2099 T8, and the process parameters were optimized by satisfaction function analysis. Liu Zhihua et al. [21] (2023) used the satisfaction function to optimize the process parameters, which effectively improved the surface quality of the material and improved the product quality. Liu Yanhong et al. [22] (2023) used orthogonal satisfaction to optimize the extraction process of flavonoids and iridoid glycosides from Gentiana macrophylla, and the optimized method was simpler and more efficient. Hu Zixi et al. [23] (2024) proposed a multi-objective hierarchical scheduling method for power enterprise emergency supplies based on a differential evolution algorithm and crossover operator to reduce the risk of power system failure.
Through the above literature, it is known that the satisfaction function has been widely used in various optimization studies in different fields and has been proved to be an effective tool for optimizing various processes and systems. In the case of considering multiple objectives and constraints, it provides a systematic method to achieve the desired results. Therefore, the combination of the satisfaction function and the process parameters of the tapered roller line may rub off the spark.

2. Process Overview of Tapered Roller Line

2.1. The Main Problems Existing in the Process of Tapered Roller Line

In the process of multi-parameter optimization of the tapered roller line process, a series of problems affecting process satisfaction and production efficiency were found. As shown in Figure 1.
In the processing of tapered roller bearings, the selection of processing parameters and the control of machining accuracy are one of the main challenges. The complex geometry of tapered rollers leads to many parameters involved, such as raceway curvature radius, ovality, taper, roller length, etc. and the relationship between them is complex. Incorrect parameter selection may lead to excessive contact stress on the surface of the roller, even damage the bearing and affect the service life. In addition, factors such as tool wear and machine tool accuracy decline in the processing process and affect the processing accuracy and product quality. Although the traditional grinding process currently used can provide high precision, it is inefficient and wears fast, increasing production costs and environmental burdens [24,25,26].
At present, the problem that needs to be solved urgently is to select parameters reasonably and optimize them. In order to keep the machining accuracy stable, it is necessary to determine the optimal parameter combination of size parameters. By optimizing the size parameters, the geometric characteristics such as inner diameter, ovality, and taper can be ensured to meet the design requirements in the machining process. Accuracy, smaller ovality, and taper can ensure the accuracy and performance of the workpiece, thereby improving the assembly performance and functional performance of the product. It can also reduce the waste rate, improve the utilization rate of materials, avoid the production of unqualified products, and thus reduce the production cost. Through optimization, the surface quality and geometry of the workpiece can be improved, the durability, reliability and service life of the product can be enhanced, and the quality requirements of the market and customers can be met.
It is worth emphasizing that optimizing the size parameters is helpful to stabilize and optimize the machining process, reduce the process changes caused by the fluctuation of machining parameters, and improve the consistency and stability of production. Through scientific optimization methods and automatic control, the influence of human factors on processing quality can be reduced, and the controllability and predictability of production can be improved.

2.2. Overview of the Process of Tapered Roller Line

The current tapered roller line process mainly includes the following steps: preparation of raw materials, determination of processing methods, commissioning of equipment, forging, rough machining, heat treatment, finishing, detection and sorting, cleaning and anti-rust treatment, grinding and assembly, and final inspection, as shown in Figure 2.
In the material selection stage, high-carbon–chromium bearing steel (such as GCr15) is usually selected as the raw material. The material has good comprehensive mechanical properties (wear resistance, fatigue resistance and strength), which can meet the requirements of bearing in terms of bearing capacity and durability. In the forging process, the heated blank is forged into an approximate roller shape, and then the size and surface quality of the forged blank are checked and then annealed to eliminate the internal stress and improve the cutting performance of the material [27,28].
In the rough machining stage, after the raw material is cut into the blank shape of the roller, the rough machining of the annealed blank is carried out by using the lathe to remove the excess material and make it close to the finished product size. The machining accuracy of this stage is low, but enough margin will be reserved for subsequent finishing. The finishing stage is the core research content. The purpose of this process is to improve the accuracy and surface quality of the roller geometry, including turning, grinding, superfinishing, and other processing methods. In this stage, the accuracy of production equipment and the technical level of operators have a direct impact on product quality. The grinding process is used to determine the final dimensional accuracy and surface roughness of the roller. Ultra-precision machining is used to further carry out ultra-precision grinding or grinding to improve surface quality and reduce friction coefficient. After determining the final size parameter value of the roller, the size detection is carried out. The size detection uses a high-precision measuring tool (such as a three-coordinate measuring machine) to comprehensively detect the size of the roller to ensure that the detection value meets the tolerance requirements.

3. Multi-Parameter Optimization of Tapered Roller Line Process Based on Satisfaction Function Method

3.1. Optimization Model Construction

The satisfaction function method is a mathematical optimization method based on the concept of user satisfaction. It quantifies the user′s satisfaction with the product or service by establishing a satisfaction function. In the field of engineering technology, especially in the precision manufacturing process of the tapered roller line process, the satisfaction function method can be effectively used in multi-parameter optimization problems to achieve the optimal configuration of process parameters. The satisfaction function S(x) is usually defined as a function with a range between 0 and 1, where 1 represents complete satisfaction and 0 represents complete dissatisfaction. When constructing the process optimization model of a tapered roller line based on the satisfaction function method, it is necessary to clarify the objective function and constraint conditions of the model. In the process of the tapered roller line, the optimization objectives involve process accuracy, size parameters, production efficiency, cost, and other aspects. In this study, these multi-objectives are transformed into a single satisfaction evaluation index by constructing a satisfaction function [29].
For the main influencing parameters in the process of the tapered roller line inner diameter, ovality, and taper, it is necessary to quantify according to the actual production data and the experience of engineers. Firstly, the experimental design and data collection are carried out. The input parameters are systematically changed by designing experiments, and the corresponding output results are measured to obtain the original data. These data are then used to fit the satisfaction function to ensure that the function accurately reflects the satisfaction level under different parameter combinations. Previous studies and practices have also shown that these parameter values and their optimized tolerance values have a direct and significant impact on the final process effect, so they are selected as the decision variables of the model and optimized in the model. The actual production data will be applied to weight distribution, data analysis and optimization, algorithm optimization, and continuous improvement and optimization.
When constructing the objective function, the ideal value and allowable fluctuation range of each target parameter value are set according to the process requirements and quality control standards. The core of the satisfaction function is to compare the actual value of each target parameter with its ideal value, and to evaluate the satisfaction by calculating the degree of deviation. The main task in multi-parameter optimization is to solve the maximum comprehensive satisfaction function S(x), which consists of satisfaction functions of multiple key parameters.
The key parameters to be optimized are: X1: inner diameter; X2: ovality; X3: taper; X4: production efficiency.
The ideal value and acceptable range of each parameter are:
x i [ x i min , x i max ] ,   the   ideal   value :   x i * ,   i = 1 , 2 , 3 , 4
The satisfaction function Si(xi) of each parameter can be defined as Equation (1):
S i ( x i ) = 1 , x i = x i * 0 ,   x i x i max or x i x i min x i x i min x i * x i min ,   x i min x i x i * , x i max x i x i max x i * ,   x i * x i x i max ,
In the satisfaction function, the calculation formula of the satisfaction value of each target parameter can be transformed into a composite satisfaction function optimization model to achieve multi-parameter optimization. This can be understood as transforming the multi-objective optimization design into a single optimization problem. The composite satisfaction function S(x) is the weighted sum of the satisfaction functions of each parameter, which can be expressed as Equation (2):
D i = i = 1 n S i ( x i ) ω i 1 ω i
where n is the number of response targets; ω i is the weight number of the single-response target; i = 1 n ω i is the sum of the weights of each response target and is the sum of 1. The weights corresponding to the size parameters (inner diameter, ovality, taper) and production efficiency are ω 1 , ω 2 , ω 3 , ω 4 respectively.

3.2. Weight Assignment

It is also important to determine the weight of each design variable in the satisfaction function. Since different design variables have different degrees of influence on user satisfaction, it is very important to reasonably allocate weights. Through the comparative analysis of the three sets of weight values of the analytic hierarchy process (AHP) in the subjective weighting method, the CRITIC weight method in the objective weighting method, and the same weight, the weight values of different proportions are obtained through different weight distribution methods.
The optimal parameter combination of the tapered roller wire process is obtained to achieve the optimal process parameter design and production effect. The equal weight distribution is set to: ω 1 = ω 2 = ω 3 = ω 4 = 0.25 .

3.2.1. Analytical Hierarchy Process

The analytic hierarchy process (AHP) subjective weighting is a method for multi-standard decision analysis [30,31]. It mainly uses SPSS statistical v29 for statistical analysis of data. Firstly, the evaluation index is determined, and the hierarchical relationship is established as shown in Figure 3. The target layer is the optimal parameter selection; the criterion layer is the process, equipment, material, operation, and environment; the scheme layer is the inner diameter, ovality, taper, and production efficiency.
Secondly, the judgment matrix between each node of the upper layer and the next layer is constructed. For the elements of the same level, the elements of the above level are compared one by one as the criteria, and the judgment matrix is established. Using pairwise comparison, for criterion layer A, matrix A is called the factor judgment matrix.
A = a i j m × n = a 11 a 12 a 1 n a 21 a 22 a 2 n       a m 1 a m 2 a m n
The ratio of the relative importance of the i element and the j element in the judgment matrix A is expressed by aij, and has the following relationship:
a i j 0 , a i j = 1 a i j , a i j = 1 i , j = 1 , 2 , , n
The greater the ratio, the higher the importance of i. According to the Satty 1~9 scale method, such as Table S1 (Supplementary Materials), the judgment matrix Table 1 is obtained.
Then the hierarchical single sorting is carried out, and the weight of each index is solved according to the judgment matrix, and the weight ω i is calculated by the square root method:
ω i = j = 1 n a i j 1 n i = 1 n j = 1 n a i j 1 n
After obtaining the weight matrix, the maximum eigenvalue is calculated. The formula is as follows:
λ max = 1 n i = 1 n A ω i ω i
Among them, ω i is the weight after standardization, and A ω is the weight after standardization of the judgment matrix. After obtaining the maximum eigenvalue, the consistency index, C.I., is used to test the consistency index of the judgment. The formula is as follows:
C . I . = λ max n n 1
C.I. = 0 means that the judgment matrix is completely consistent. The larger the C.I., the more serious the inconsistency of the judgment matrix is. The calculated weight value, maximum eigenvalue, C.I. value, and eigenvector value are shown in Table 2.
The C.R. value is solved according to the C.I. and R.I. values:
C . R . = C . I . R . I .
The R.I. value is determined by reference to the Satty average random consistency index table, expressed by the order n of the judgment matrix, where n = 5, so R.I. = 1.11, as shown in Table 3. The weight calculation of the analytic hierarchy process (based on the root-mean-square method) shows that the weight of the process is 36.376%, the weight of the equipment is 36.376%, the weight of the material is 15.884%, the weight of the operation is 7.533%, and the weight of the environment is 3.831%. The maximum value of the index weight is the process (36.376), and the minimum value is the environment (3.831). The maximum eigenvalue is 5.136, and the corresponding R.I. value is 1.11, according to the R.I. table. Therefore, C.R. = C.I./R.I. = 0.031 ≤ 0.1, which passes the one-time test.
Finally, the hierarchical total ranking and consistency test are carried out to calculate the weight of the relative importance of all factors at a certain level to the highest level (total goal), which is called the hierarchical total ranking. When the random consistency ratio C.R. < 0.1, it is considered that the calculated hierarchical total ranking passes the consistency test, and its weight is correct and reasonable. Otherwise, it is necessary to readjust the judgment matrix until the consistency test is qualified. The judgment moment value, C.R. value, and consistency test results of the scheme layer are shown in Table 4.
The results show that each evaluation index passes the consistency test, and the method can be used. The weight distribution results of the process parameters of the tapered roller line in the analytic hierarchy process are obtained by SPSS statistical v29: the inner diameter accounts for 0.402, the ovality accounts for 0.202, the taper accounts for 0.098, and the production efficiency accounts for 0.298.

3.2.2. The Weighting Method of CRITIC

The idea of the CRITIC weight method is to comprehensively measure the evaluation index by comparing the conflict between strength and index [32]. The contrast intensity is expressed by standard deviation. If the standard deviation of the data is larger, the greater the fluctuation is, the higher the weight will be; the conflict is represented by the correlation coefficient. If the correlation coefficient between the indicators is larger, the smaller the conflict is, the lower the weight is.
The existing i = 43 groups of samples to be evaluated, j = 4 evaluation indexes: inner diameter, ovality, taper, and production efficiency, forming the original index data matrix:
x = x 11 x 14       x i 1 x n 4
x i j represents the value of the j-th evaluation index of the i-th group sample.
(1)
Dimensionless processing
The CRITIC weighting method usually uses forward or reverse processing. If the index value used is the larger the better, it is the positive index, and the forward processing (inner diameter, production efficiency) is carried out:
x i j = x i j x min x max x min
If the index value is the smaller the better, it is the reverse index, and the reverse processing (ovality, taper) is performed:
x i j = x max x i j x max x min
(2)
Index variability
Expressed in the form of standard deviation:
x ¯ j = 1 n i = 1 n x i j S j = i = 1 n x i j x ¯ j 2 n 1
x ¯ j represents the average value of the j-th index, and Sj represents the standard deviation of the j-th index.
(3)
Conflict of indicators
It is expressed by correlation coefficient,
R j = i = 1 j 1 r i j
If you want to calculate the correlation coefficient matrix, you need to use the covariance matrix and standard deviation to calculate the correlation coefficient matrix between the four indicators. The correlation coefficient matrix shows the linear correlation between each pair of indicators. The correlation coefficient matrix is a symmetric matrix, where each element represents the correlation coefficient between the two indicators. The (i, j) elements of the correlation coefficient matrix, that is, the correlation coefficient between the ith and jth indicators, can be calculated by the following formula:
cov x i , x j = x i k x ¯ i x j k x ¯ j n 1 r i j = cov x i , x j S x i S x j
Among them, rij is the correlation coefficient between index i and index j, cov(xi, xj) is the covariance of index i and index j, SXi and SXj are the standard deviation of index i and index j, respectively. Through the above steps, the correlation coefficient matrix between the four evaluation indicators can be calculated as shown in Table 5.
In summary, the correlation coefficient of each index Rj, inner diameter R1 = 2.55, ovality R2 = 2.42, taper R3 = 2.43, production efficiency R4 = 2.36.
(4)
Information quantity
C j = S j i = 1 j 1 r i j = S j × R j
The greater the Cj, the greater the role of the j-th evaluation index in the entire system, and more weight should be assigned to calculate the amount of information C1 = 0.72, C2 = 0.54, C3 = 0.64, C4 = 0.62.
(5)
Objective weight
The objective weight ωj of the j-th index is:
ω j = C j j = 1 4 C j
The final weight distribution under the CRITIC weight method is as follows: the inner diameter weight ω1 accounts for 0.29, the ellipticity weight ω2 accounts for 0.21, the taper weight ω3 accounts for 0.25, and the production efficiency weight ω4 accounts for 0.25.

3.3. Genetic Algorithm Optimization Process

After the model is constructed, we use the optimization algorithm to solve the model. The selection of the optimization algorithm is based on its performance and efficiency in dealing with similar problems. In this study, the genetic algorithm is selected because it shows excellent performance in global search and handling complex constraints. The genetic algorithm (GA) iteratively searches for the optimal solution by simulating natural selection and genetic mechanisms, which can effectively avoid falling into local optimum and obtain satisfactory optimization results in a short time [33,34]. The solution steps are shown in Figure 4.

3.4. Data Analysis Based on Measurement Value Control Chart

3.4.1. Overview of Control Chart

A control chart is a tool for monitoring and controlling manufacturing or business processes. It helps identify anomalies and trends in the process by displaying data that changes over time. The method used in this section is the measurement value control chart, which is used to process continuous data (values obtained by measurement) [35,36]. The common ones are the following three categories: X-R (mean-range control chart), X-S (mean-standard deviation control chart), and X-Rs (single-value-moving extreme difference control chart). The formula for calculating the control boundary is shown in Table S2 (Supplementary Materials), and the coefficient table is shown in Table S3 (Supplementary Materials).

3.4.2. Data Introduction

Based on the previous content, it can be seen that the multi-parameter optimization of the tapered roller line process using the satisfaction function can improve the quality of the size parameters. The optimized parameter combination significantly improves the production efficiency and product quality. On this basis, in order to verify its effectiveness, the optimization model is applied to the actual production line to obtain the optimized size parameter tolerance value. The upper and lower limits of tolerances and the upper and lower limits of control specified by the size parameters are shown in Table 6.
According to the batch of data measurement, three parameter values are measured in one batch. The total batch is 43 batches, so it is divided into 43 subgroups. Because the data type is continuous data, that is, the value can be obtained by measurement, the type of measurement value control chart used is X-Rs (single value and moving extreme difference) control chart. The single value data is the tolerance value of the three parameters, and the moving extreme difference data can be obtained by the tolerance value. Therefore, the data analyzed are the tolerance value and the moving extreme difference, that is, the number of observations in the subgroup is 2. The formula and coefficient table of Tables S2 and S3 (Supplementary Materials) can be known as follows: E2 = 2.660, D4 = 3.267, D3 = 0. The test data are shown in Table S4 in the attachment.

3.4.3. Date Processing and Calculation

(1)
The control limit of the single-valued (X) control chart is:
U C L x = x ¯ + E 2 R ¯ s = x ¯ + 2.66 R ¯ s L C L x = x ¯ E 2 R ¯ s = x ¯ 2.66 R ¯ s x ¯ = x 1 + x 2 + + x n n R ¯ s = R s 1 + R s 2 + + R s ( n 1 ) n 1
Among them, UCLx is the upper control limit of the parameter tolerance value, LCLx is the corresponding lower control limit, E2 is the control limit coefficient, X is the tolerance mean, and R ¯ s is the moving extreme difference mean.
(2)
The control limit of the moving extreme difference (Rs) control chart is:
U C L R S = D 4 R ¯ s = 3.267 R ¯ s L C L R S = D 3 R ¯ s = 0
Among them, UCLRS is the upper control limit of the parameter tolerance value, LCLRS is the corresponding lower control limit, D3 and D4 are the control limit coefficients.

3.4.4. Calculation Results

Through formula calculation, the mean value of tolerance, the mean value of moving extreme difference, the upper limit of control and the lower limit of control corresponding to the three sets of parameters can be obtained, as shown in Table 7.

4. Genetic Algorithm Optimization Solution Model and Application Verification

4.1. Simulation Results

In this part, firstly, the initial values of process parameters and production efficiency are analyzed by box plot (Figure 5). Secondly, the simulation results of multi-parameter optimization of the tapered roller line process using the genetic algorithm are shown. Specifically, it includes the change diagram of the satisfaction function value with the number of iterations (Figure 6) and the comparison diagram of the key parameters before and after optimization (Figure 7).

4.1.1. Box Diagram of Process Parameters and Initial Value of Production Efficiency

In order to clearly show the initial values of process parameter accuracy and production efficiency, the boxplot [37] is drawn as shown in Figure 5. First, the median line at the center of the data distribution is observed. The median lines of the inner diameter, taper, and production efficiency are located in the center of the box, indicating that the data distribution is relatively symmetrical, while the median line of ovality deviates from the center, indicating that the data distribution may be skewed. Secondly, the interquartile range (IQR) is observed. The upper and lower boundaries of the box are the upper quartile (Q3) and the lower quartile (Q1) of the data, respectively. IQR = Q3–Q1. The larger the IQR value is, the greater the data fluctuation is. The box presented by the taper value in the figure is short and flat. It is obvious that the data fluctuation is small, and the data is stable. The IQR value of ovality and the inner diameter is slightly larger than that of the taper, and the fluctuation is relatively stable. The data fluctuation of production efficiency is relatively large, and the data stability is relatively small, which reflects that the stability of process parameter values and the determination performance affect production efficiency. The abnormal values were observed again, and the abnormal values appeared in the taper value part, indicating that problems may occur in the data collection or measurement process. In order to ensure the stability and accuracy of the workpiece during assembly, ensure maximum efficiency in the process of production, and minimize the cost, it is necessary to optimize the process parameters of the tapered roller line. The optimization purpose is to make the inner diameter value close to the nominal size of 10 mm, so that the smaller the ovality and taper value, the better, so as to achieve the maximum production efficiency.
Figure 5. Initial value of process parameters.
Figure 5. Initial value of process parameters.
Processes 12 02020 g005

4.1.2. The Change of Satisfaction Function Value with the Number of Iterations

In order to show the change of the satisfaction function value in the optimization process, the change diagram of the satisfaction function value with the number of iterations is drawn. Python software v3.12 is used as a tool for simulation solutions. The solution model is a multi-parameter optimization model based on the satisfaction function. The solution method is genetic algorithm, and finally the simulation diagram is obtained. Set three sets of weight values, the first set of ω1 = ω2 = ω3 = ω4 = 0.25, and the satisfaction function value after iteration is 0.98976, as shown in Figure 6a. The second group is the weight value obtained by the AHP analytic hierarchy process: ω1 = 0.402, ω2 = 0.202, ω3 = 0.098, ω4 = 0.298, and the satisfaction function value is 0.99795, as shown in Figure 6b. The third group is the weight value obtained by the CRITIC weight method: ω1 = 0.29, ω2 = 0.21, ω3 = 0.25, ω4 = 0.25, and the satisfaction function value after iteration is 0.99886 as shown in Figure 6c. Compared with (a–c) in Figure 6, it can be seen that Figure 6a is obtained by equal weight of optimization parameters, which intuitively shows that the value of the satisfaction function increases gradually with the increase in iteration times in the optimization process of the genetic algorithm, but there is no steady trend after 8 iterations. At this time, the value of the satisfaction function is 0.98976. Similarly, Figure 6c obtained by the CRITIC weight method is still in a slowly increasing state after 8 iterations, and it does not gradually converge until 12 iterations. At this time, the satisfaction function value is 0.99886, and the graph (b) obtained by the AHP analytic hierarchy process to obtain the weight value tends to converge obviously after 8 iterations, showing a stable state. At this time, the satisfaction function value in the stable state is 0.99795. Compared with the same iteration of 8 times, it is obvious that the graph (b) is the optimal solution, which not only tends to converge, but also obtains the optimal satisfaction function value. This shows that the genetic algorithm is constantly optimizing the parameter combination, making the comprehensive satisfaction function value gradually close to the maximum value. At the same time, it can be seen that its convergence speed is relatively fast, indicating that the genetic algorithm is efficient in dealing with multi-parameter optimization problems.
Figure 6. The change diagram of satisfaction function value with the number of iterations under different methods. (a) the equational method, (b) AHP, (c) the equational method.
Figure 6. The change diagram of satisfaction function value with the number of iterations under different methods. (a) the equational method, (b) AHP, (c) the equational method.
Processes 12 02020 g006

4.1.3. Comparison of Key Parameters before and after Optimization

In order to show the changes of key parameters before and after optimization, the comparison diagram of key parameters before and after optimization is drawn. The optimization of the size parameters can improve the production efficiency, as shown in Figure 7a,b. Figure 7a intuitively shows the changes of the size parameters before and after optimization. Before optimization, 43 sets of test data are analyzed. The maximum value of the actual production data of the inner diameter is 7.2 mm, the minimum value is 4 mm, and the average value is 5.5 mm. After optimization, the inner diameter is 9.9982 mm, which is infinitely close to the nominal size and achieves the expected goal. It can be seen from Figure 7b that the production efficiency gradually increases with the increase of the inner diameter value, which echoes the weight value, and vice versa, indicating that the inner diameter plays a leading role in parameter optimization and is a key factor affecting the production efficiency. At the same time, the optimized parameter combination is improved in each key parameter, and the ellipticity and taper parameter values are reduced, indicating that the expected optimization effect is achieved, which can maximize the accuracy and stability of the workpiece during assembly. With the optimization and iteration of the size parameters, the production efficiency is significantly higher than the initial value and the mean value before optimization, and the effect is significant.
Figure 7. Comparison of key parameters before and after optimization. (a) precision parameters, (b) efficiency parameter.
Figure 7. Comparison of key parameters before and after optimization. (a) precision parameters, (b) efficiency parameter.
Processes 12 02020 g007
Through the above simulation results, it is found that the satisfaction function value gradually increases with the increase in the number of iterations and finally tends to converge. The optimized key parameters are improved in all aspects, which verifies the effectiveness of the optimization model. Finally, a set of optimal size parameters are obtained through the iterative process of the genetic algorithm. This set of parameters not only meets all the constraints, but also maximizes the overall process satisfaction under the satisfaction function evaluation criteria. Compared with the original process parameters, the optimized parameters can effectively improve the quality and efficiency of the tapered roller line process. The final optimal parameter combination is shown in Table 8.
The optimized parameter combination significantly improves the production efficiency and product quality. In order to verify the effectiveness and practicability of the optimization model, the optimization model is applied to the actual production line, and the tolerance value of the optimized dimension parameters is obtained. At the same time, the tolerance value of the optimized dimension parameters is verified by experimental application.

4.2. Application Verification

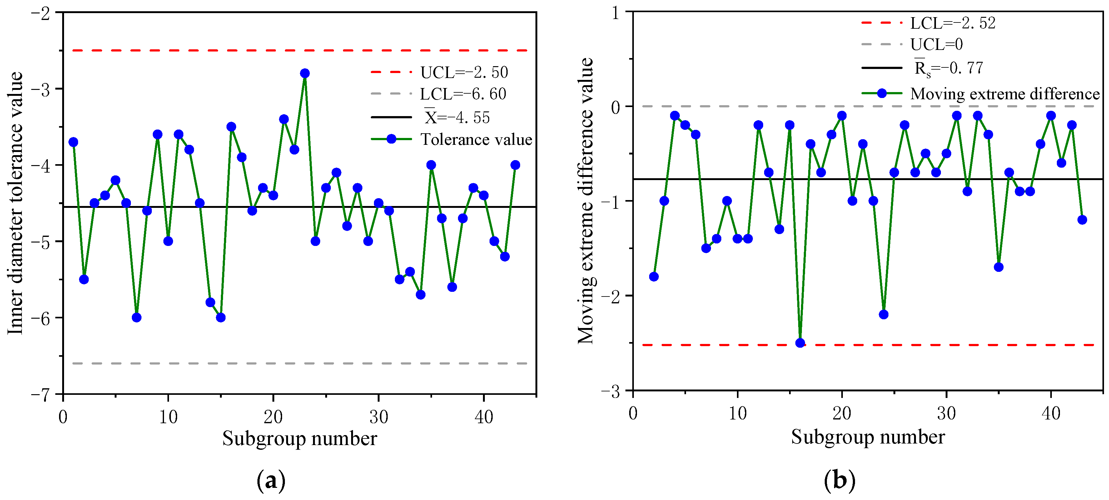
Through the data introduction part, it is known that the optimized tapered roller line process has tested the tolerance values of important parameters such as inner diameter, ovality, taper, and so on. After obtaining this part of the data, through these data, the single value (X) and moving extreme difference (Rs) control charts of the three parameters are completed, as shown in Figure 8, Figure 9 and Figure 10. Figure 8a represents the control chart of the tolerance value of the inner diameter, and its control boundary range is [−6.60, −2.50] mm. Figure 8b represents the control chart of the moving extreme difference of the inner diameter, and its control boundary range is [−2.52, 0] mm. Similarly, there are Figure 9a,b and Figure 10a,b, which represent the ovality and taper, respectively. The control boundary range of the tolerance value and the moving extreme difference of the three parameters can be clearly known through the picture. Compared with the specified range, such as shown in Table 6, the optimized process dimension parameters of the tapered roller line are fully compliant with the upper and lower limits of the tolerance and the upper and lower limits of the control and exceed the expected target. It shows that the optimized process and size parameters can improve product accuracy and product quality.
According to the analysis of Figure 8, Figure 9 and Figure 10, it can be seen that, first, the single value (X) and the moving extreme difference (Rs) data points of the parameters are all within the control limit, and very few points are within the control limit. However, compared with the specified range, it is also far from exceeding the specified control limit, which indicates that there is no point exceeding the control limit, so there is no abnormal point. Secondly, the non-random pattern of the control chart is checked, and no continuous rise or fall of 6 or more points is found, indicating that there is no trend change in the process. Thirdly, no continuous 9 or more points are found on the same side of the center line, indicating that there is no systematic offset in the process. Fourthly, the data points do not show cyclical fluctuations, indicating that the process is not affected by cyclical factors. The analysis results show that the above control chart indicates that the process is in a statistical control state. Therefore, it is proved that it is reasonable and feasible to optimize the size parameters of tapered roller bearings based on the satisfaction function, which not only improves the production efficiency, but also improves the product qualification rate in the manufacturing process.

5. Conclusions

This study focuses on improving the accuracy and efficiency parameters of tapered roller line processing. The satisfaction function method is introduced, and the multi-parameter optimization of size parameters is carried out by the genetic optimization algorithm. Firstly, the key parameters and their actual production data are determined. The weight ratio is determined by the subjective and objective weighting method and the production data. After constructing the satisfaction function optimization model, the Python software v3.12 is used to simulate and solve the model. The optimal parameter combination of the optimized size parameters is 9.9982 mm of inner diameter, 0.7 mm of ovality, 0.5° of taper, and 101.0.97 pieces/h. The control experiment is carried out by different weight distribution methods. The results show that the weight values obtained by the analytic hierarchy process (AHP) are: ω1 = 0.402, ω2 = 0.202, ω3 = 0.098, and ω4 = 0.298, which can make the satisfaction function value reach the best value of 0.99795 and tend to converge stably. At the same time, the measurement value control chart is used to verify the optimization results. The results confirm the role of the satisfaction function in multi-parameter optimization, and the machining accuracy and production efficiency are significantly improved from 87 to 101 pieces per hour. The research results show that the process optimization model of the tapered roller line based on the satisfaction function method not only significantly improves the product quality and reduces the production cost but also shortens the production cycle, which confirms the practical application value of the model. Under the condition of considering cost and stability, the optimization scheme effectively optimizes the production process, reflects the application potential of the satisfaction function method in the field of tapered roller line processing, and provides a new methodological guidance for the subsequent process parameter optimization.

Supplementary Materials

The following supporting information can be downloaded at: https://www.mdpi.com/article/10.3390/pr12092020/s1, Table S1. The scaling method of Satty 1~9; Table S2. The formula of control boundary; Table S3. Boundary coefficient; Table S4. Parameters of the test data.

Author Contributions

Conceptualization, Z.W.; methodology, Z.W.; software, Y.X.; validation, Z.W., Y.X. and X.X.; formal analysis, X.X.; investigation, Z.W., Y.X. and X.X.; resources, Z.W.; data curation, Z.W., Y.X. and X.X.; writing—original draft preparation, Z.W. and Y.X.; writing—review and editing, Z.W., Y.X. and X.X.; visualization, Y.X. and X.X.; supervision, Z.W.; project administration, Z.W.; funding acquisition, Z.W. All authors have read and agreed to the published version of the manuscript.

Funding

This work is financially supported by The Hunan Provincial Department of Education, Shaoyang University Graduate Student Innovation Project, Grant No. (CX2024SY078) and the Hunan Provincial Innovation Project (No. 23A0541).

Data Availability Statement

The original contributions presented in the study are included in the article/Supplementary Materials, further inquiries can be directed to the corresponding author.

Conflicts of Interest

The authors declare that they have no known competing financial interests or personal relationships that could have appeared to influence the work reported in this paper.

References

  1. Qiu, L. Application of tapered roller bearings in single screw extruder gearbox. Equip. Manag. Maint. 2021, 40, 94–95. [Google Scholar] [CrossRef]
  2. Song, B.F. Mechanical Properties and Fatigue Life Analysis of Tapered Roller Bearings. Ph.D. Thesis, Xi’an University of Technology, Xi’an, China, 2018. [Google Scholar]
  3. Verma, S.K.; Tiwari, R. Robust optimum design of tapered roller bearings based on maximization of fatigue life using evolutionary algorithm. Mech. Mach. Theory 2020, 152, 103894. [Google Scholar] [CrossRef]
  4. Wang, Z.; Wei, H.; Xiao, G.; Zhang, Y. Real-time energy management strategy for a plug-in hybrid electric bus considering the battery degradation. Energy Convers. Manag. 2022, 268, 116053. [Google Scholar] [CrossRef]
  5. Darmo, S.; Bahiuddin, I.; Handoko, P.; Priatomo, H.R.; Kuncoro, M.; Priyambodo, S.; Haryanto; Rahman, N.F.; Kanosri, A.M.; Winarno, A. Failure analysis of double-row tapered roller bearing outer ring used in Coal Wagon Wheelset. Eng. Fail. Anal. 2022, 135, 106153. [Google Scholar] [CrossRef]
  6. Kang, W.; Zhu, Y.; Yan, K.; Liu, Y.; Gao, D.; Ren, Z. Modeling and fault size estimation for non-penetrating damage in the outer raceway of tapered roller bearing. Machines 2022, 10, 516. [Google Scholar] [CrossRef]
  7. Wang, Z.; Yang, J.; Qu, R.; Xiao, G. Environmental Impact Assessment of the Dismantled Battery: Case Study of a Power Lead–Acid Battery Factory in China. Processes 2023, 11, 2119. [Google Scholar] [CrossRef]
  8. Pang, X.X.; He, Q.Z.; Yang, D.F.; Li, M.K.; Chen, L.H. Grey correlation and optimization analysis between raceway parameters and vibration of tapered roller bearings. Bearings 2021, 64, 66–71. [Google Scholar]
  9. Xu, H.; Hou, J.W.; Lu, Y.Q. An optimization method for automotive tapered roller bearings with maximum dynamic load based on GA. Automot. Pract. Technol. 2021, 46, 96–99+107. [Google Scholar]
  10. Yu, K.X.; Guo, S.T.; Lu, X.F.; Ma, L.; Yang, Y. Optimal design of tapered roller bearings for gearbox based on Romax and genetic algorithm. Intell. Manuf. 2023, 28, 182–187. [Google Scholar]
  11. Liu, M.; Ye, Y.Y.; Yang, Q.Q.; Peng, Y. Vibration signal analysis of tapered roller bearings based on CEEMDAN and cepstrum method. Electromech. Eng. Technol. 2023, 52, 165–170. [Google Scholar]
  12. Huang, Y.P.; Zhang, J.B.; Lei, Z.B. Multi-objective robust design of new escape pipeline based on satisfaction function. J. Eng. Des. 2019, 26, 20–28. [Google Scholar]
  13. Senthil, S.M.; Parameshwaran, R.; Nathan, S.R.; Kumar, M.B.; Deepandurai, K. A multi-objective optimization of the friction stir welding process using RSM-based-desirability function approach for joining aluminum alloy 6063-T6 pipes. Struct. Multidiscip. Optim. 2020, 62, 1117–1133. [Google Scholar] [CrossRef]
  14. Giannakourou, M.C.; Lazou, A.E.; Dermesonlouoglou, E.K. Optimization of osmotic dehydration of tomatoes in solutions of non-conventional sweeteners by response surface methodology and desirability approach. Foods 2020, 9, 1393. [Google Scholar] [CrossRef] [PubMed]
  15. Koohathongsumrit, N.; Luangpaiboon, P. Multi-objective risk assessment management via zero-one desirability programming model: Thailand-Cambodia beverage logistics solutions. In Proceedings of the 6th International Conference on Frontiers of Educational Technologies, Tokyo, Japan, 5–8 June 2020; pp. 144–148. [Google Scholar]
  16. Tran, N.T.; Le Chau, N.; Dao, T.P. An effective hybrid approach of desirability, fuzzy logic, ANFIS and LAPO algorithm for optimizing compliant mechanism. Eng. Comput. 2021, 37, 2591–2621. [Google Scholar] [CrossRef]
  17. Jawad, A.H.; Abdulhameed, A.S.; Hanafiah, M.A.K.M.; Alothman, Z.A.; Khan, M.R.; Surip, S.N. Numerical desirability function for adsorption of methylene blue dye by sulfonated pomegranate peel biochar: Modeling, kinetic, isotherm, thermodynamic, and mechanism study. Korean J. Chem. Eng. 2021, 38, 1499–1509. [Google Scholar] [CrossRef]
  18. Padilla-Atondo, J.M.; Limon-Romero, J.; Perez-Sanchez, A.; Tlapa, D.; Baez-Lopez, Y.; Puente, C.; Ontiveros, S. The impact of hydrogen on a stationary gasoline-based engine through multi-response optimization: A desirability function approach. Sustainability 2021, 13, 1385. [Google Scholar] [CrossRef]
  19. D’addona, D.; Raykar, S.J.; Singh, D.; Kramar, D. Multi objective optimization of fused deposition modeling process parameters with desirability function. Procedia CIRP 2021, 99, 707–710. [Google Scholar] [CrossRef]
  20. Alam, M.P.; Sinha, A.N. Optimization of process parameters of friction stir welding using desirability function analysis. Weld. Int. 2022, 36, 129–143. [Google Scholar] [CrossRef]
  21. Liu, Z.H.; Tang, P.; Zheng, L.S.; Zhou, Y.; Jiang, Y.L.; Cheng, J.J. Multi-objective optimization and experimental study on ultrasonic rolling process parameters of 18CrNiMo7-6 steel. J. Chongqing Univ. Technol. (Nat. Sci.) 2023, 37, 124–133. [Google Scholar]
  22. Liu, Y.H.; Hou, M.N.; Peng, X.J.; Wang, S.; Wang, Q. Optimization of ultrasonic co-extraction conditions of flavonoids and iridoid glycosides from Gentiana macrophylla by orthogonal-satisfaction function. West. Chin. Med. 2023, 36, 52–56. [Google Scholar]
  23. Hu, Z.X.; Geng, X.D.; Huo, X.D.; Liu, S. Multi-objective hierarchical scheduling method of emergency materials in power enterprises based on differential evolution algorithm and crossover operator. Artif. Intell. Sci. Eng. 2024, 66, 85–92. [Google Scholar]
  24. Motahari-Nezhad, M.; Jafari, S.M. Bearing remaining useful life prediction under starved lubricating condition using time domain acoustic emission signal processing. Expert Syst. Appl. 2021, 168, 114391. [Google Scholar] [CrossRef]
  25. Althubaiti, A.; Elasha, F.; Teixeira, J.A. Fault diagnosis and health management of bearings in rotating equipment based on vibration analysis—A review. J. Vibro Eng. 2022, 24, 46–74. [Google Scholar] [CrossRef]
  26. Wang, Z.; Lv, J.; Gu, F.; Yang, J.; Guo, J. Environmental and economic performance of an integrated municipal solid waste treatment: A Chinese case study. Sci. Total Environ. 2020, 709, 136096. [Google Scholar] [CrossRef]
  27. Zhao, Q.; Luo, H.; Pan, Z.; Wang, X.; Cheng, H. Study on mechanical properties of rare earth elements modified high carbon chromium bearing steel. Mater. Today Commun. 2023, 34, 105329. [Google Scholar] [CrossRef]
  28. Wang, Y.; Chen, Y.; Yu, W. Effect of Cr/Mn segregation on pearlite—Martensite banded structure of high carbon bearing steel. Int. J. Miner. Metall. Mater. 2021, 28, 665–675. [Google Scholar] [CrossRef]
  29. Lin, W.; Wang, J.; Ren, B.; Yu, J.; Wang, X.; Zhang, T. Robust optimization of rolling parameters of coarse aggregates based on improved response surface method using satisfaction function method based on entropy and adaptive chaotic gray wolf optimization. Constr. Build. Mater. 2022, 316, 125839. [Google Scholar] [CrossRef]
  30. Wang, Z.; Ran, Y.; Yu, H.; Zhang, S.; Zhang, G. Precision analysis for five-axis CNC milling machine based on meta-action units and integrated weights with Shannon entropy and AHP. Int. J. Adv. Manuf. Technol. 2020, 107, 2767–2782. [Google Scholar] [CrossRef]
  31. Yang, W.C.; Ri, J.B.; Yang, J.Y.; Kim, J.S. Materials selection criteria weighting method using analytic hierarchy process (AHP) with simplest questionnaire and modifying method of inconsistent pairwise comparison matrix. Proc. Inst. Mech. Eng. Part L J. Mater. Des. Appl. 2022, 236, 69–85. [Google Scholar] [CrossRef]
  32. Wang, X.; Zhou, Z.; Sun, L.; Xie, G.; Lou, Q. Research on the evaluation index system of “new energy cloud” operation mode based on CRITIC weighting method and AHP method. IOP Conf. Ser. Earth Environ. Sci. 2021, 831. [Google Scholar] [CrossRef]
  33. Gen, M.; Lin, L. Genetic algorithms and their applications. In Springer Handbook of Engineering Statistics; Springer: London, UK, 2023; pp. 635–674. [Google Scholar]
  34. Albadr, M.A.; Tiun, S.; Ayob, M.; Al-Dhief, F. Genetic algorithm based on natural selection theory for optimization problems. Symmetry 2020, 12, 1758. [Google Scholar] [CrossRef]
  35. Zhang, J.; Xu, P.P.; Cao, X. GNSS reference station observation quality analysis method based on metrological control chart. Surv. Mapp. Eng. 2021, 30, 34–39. [Google Scholar]
  36. Wang, X.L.; Zhao, Z.G.; Fu, J.; Wang, X. Research on the application of control chart method in the stability assessment of measurement standards. Metering Sci. Technol. 2022, 66, 64–69. [Google Scholar]
  37. Bessler, L.R. Distributions, Histograms, Box Plots, and Alternative Tools. In Visual Data Insights Using SAS ODS Graphics: A Guide to Communication-Effective Data Visualization; Apress: Berkeley, CA, USA, 2023; pp. 465–502. [Google Scholar]
Figure 1. Subject matter—troubles in the processing of tapered roller.
Figure 1. Subject matter—troubles in the processing of tapered roller.
Processes 12 02020 g001
Figure 2. Process flow of tapered roller line.
Figure 2. Process flow of tapered roller line.
Processes 12 02020 g002
Figure 3. Evaluation index hierarchy diagram.
Figure 3. Evaluation index hierarchy diagram.
Processes 12 02020 g003
Figure 4. Genetic algorithm operation process.
Figure 4. Genetic algorithm operation process.
Processes 12 02020 g004
Figure 8. Single value (X) and moving extreme difference (Rs) control chart of inner diameter. (a) single value (X), (b) moving extreme difference (Rs).
Figure 8. Single value (X) and moving extreme difference (Rs) control chart of inner diameter. (a) single value (X), (b) moving extreme difference (Rs).
Processes 12 02020 g008
Figure 9. Single value (X) and moving extreme difference (Rs) control chart of ovality. (a) single value (X), (b) moving extreme difference (Rs).
Figure 9. Single value (X) and moving extreme difference (Rs) control chart of ovality. (a) single value (X), (b) moving extreme difference (Rs).
Processes 12 02020 g009
Figure 10. Single value (X) and moving extreme difference (Rs) control chart of taper. (a) single value (X), (b) moving extreme difference (Rs).
Figure 10. Single value (X) and moving extreme difference (Rs) control chart of taper. (a) single value (X), (b) moving extreme difference (Rs).
Processes 12 02020 g010
Table 1. Judgment matrix.
Table 1. Judgment matrix.
TechniqueDeviceMaterialOperationEnvironment
Technique11357
Device11357
Material0.3330.333135
Operation0.20.20.33313
Environment0.1430.1430.20.3331
Table 2. The numerical value after calculation.
Table 2. The numerical value after calculation.
Maximum
Eigenvalue
C.I. ValueFeature VectorWeight Value (%)
Technique5.1360.0342.53736.376
Device2.53736.376
Material1.10815.884
Operation0.5257.533
Environment0.2673.831
Table 3. Mean random consistency index.
Table 3. Mean random consistency index.
Matrix Order (n)12345678910111213
R.I.000.530.881.111.251.341.401.451.491.511.541.56
Table 4. Scheme layer judgment matrix results.
Table 4. Scheme layer judgment matrix results.
Node TermInner DiameterOvalityTaperProduction EfficiencyC.R. ValueConsistency Test
Technique0.5350.2750.130.060.056Pass
Device0.2570.1210.0620.5590.056Pass
Material0.5350.2750.130.060.056Pass
Operation0.2570.1210.0620.5590.056Pass
Environment0.2570.1210.0620.5590.056Pass
Table 5. The correlation coefficient value between indicators.
Table 5. The correlation coefficient value between indicators.
rijInner DiameterOvalityTaperProduction Efficiency
Inner diameter/0.320.040.09
Ovality0.32/0.120.14
Taper0.040.12/0.41
Production efficiency0.090.140.41/
Table 6. Prescribed limit.
Table 6. Prescribed limit.
ParametersInner DiameterOvalityTaper
Upper tolerance limit0.03.03.0
Lower tolerance limit−10.00.00.0
Upper control limit0.03.03.0
Lower control limit−10.00.00.0
Table 7. Computation.
Table 7. Computation.
ParametersTolerance ValueMoving Extreme Difference
X ¯ UCLxLCLx R ¯ s UCLRSLCLRS
Inner diameter−4.55−2.50−6.60−0.77−2.520
Ovality1.072.77−0.630.642.090
Taper0.612.34−1.120.652.120
Table 8. Optimal combination of parameters.
Table 8. Optimal combination of parameters.
Optimal Combination of Process Parameters of Tapered Roller Line
Parameter NameInner Diameter/mmOvality/mmTaper/°Production Efficiency/(Piece/h)
Value9.99820.70.5101.0197
Optimal satisfaction value0.99795
Disclaimer/Publisher’s Note: The statements, opinions and data contained in all publications are solely those of the individual author(s) and contributor(s) and not of MDPI and/or the editor(s). MDPI and/or the editor(s) disclaim responsibility for any injury to people or property resulting from any ideas, methods, instructions or products referred to in the content.

Share and Cite

MDPI and ACS Style

Wang, Z.; Xi, Y.; Xiao, X. Research on Multi-Parameter Optimization of Conical Roller Line Processing Technology Based on Satisfaction Function. Processes 2024, 12, 2020. https://doi.org/10.3390/pr12092020

AMA Style

Wang Z, Xi Y, Xiao X. Research on Multi-Parameter Optimization of Conical Roller Line Processing Technology Based on Satisfaction Function. Processes. 2024; 12(9):2020. https://doi.org/10.3390/pr12092020

Chicago/Turabian Style

Wang, Zhiguo, Yecheng Xi, and Xinhua Xiao. 2024. "Research on Multi-Parameter Optimization of Conical Roller Line Processing Technology Based on Satisfaction Function" Processes 12, no. 9: 2020. https://doi.org/10.3390/pr12092020

APA Style

Wang, Z., Xi, Y., & Xiao, X. (2024). Research on Multi-Parameter Optimization of Conical Roller Line Processing Technology Based on Satisfaction Function. Processes, 12(9), 2020. https://doi.org/10.3390/pr12092020

Note that from the first issue of 2016, this journal uses article numbers instead of page numbers. See further details here.

Article Metrics

Back to TopTop