Intelligent Fuzzy Logic-Based Internal Model Control for Rotary Flexible Robots
Abstract
1. Introduction
2. System Description and Modeling
3. Internal Model Control for RFJ Robot
4. Intelligent Adaptive-Based Fuzzy IMC
4.1. Design of AFIMC
4.2. Stability Analysis
5. Simulation
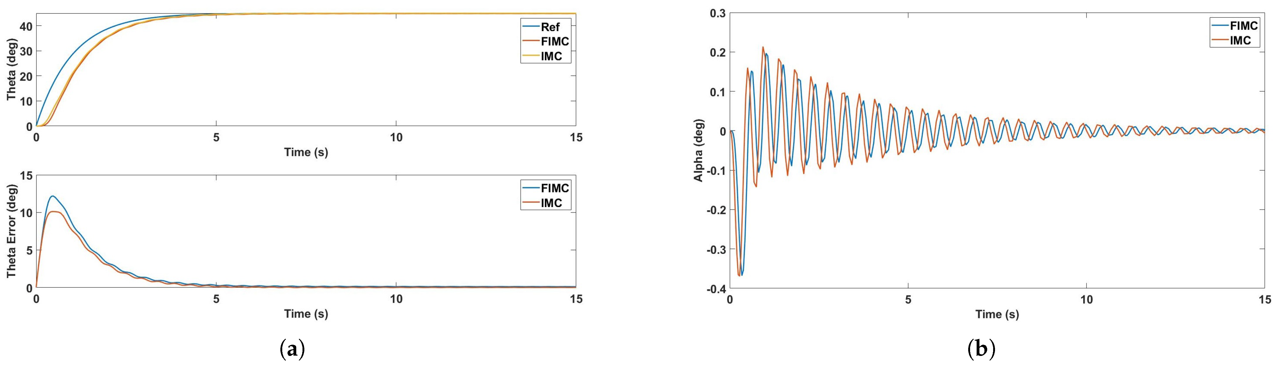
- Case 1
- The simulation is performed in ideal operating conditions without any uncertainties or disturbances.
- Case 2
- In this case, an impulse disturbance is added to the input of the robot model, , at s.
- Case 3
- The measurements for the motor angle, , and the deflection angle, , are assumed to contain a band-limited white noise with a power of .
- Case 4
- This case considers a uncertainty for the true parameters of the robot model, .
6. Experimental Validation
6.1. Experimental Setup


6.2. Experimental Results
7. Conclusions
Author Contributions
Funding
Data Availability Statement
Conflicts of Interest
References
- Fareh, R. Sliding mode fractional order control for a single flexible link manipulator. Int. J. Mech. Eng. Rob. Res. 2019, 8, 228–232. [Google Scholar] [CrossRef]
- Gad, O.M.; Stihi, S.; Khadraoui, S.; Fareh, R.; Bettayeb, M. Tracking Control of a Rotary Flexible Joint using Fractional PID with a prescribed performance function. In Proceedings of the 2023 International Conference on Fractional Differentiation and Its Applications (ICFDA), Ajman, United Arab Emirates, 14–16 March 2023; pp. 1–6. [Google Scholar] [CrossRef]
- Kiang, C.T.; Spowage, A.; Yoong, C.K. Review of control and sensor system of flexible manipulator. J. Intell. Robot. Syst. 2015, 77, 187–213. [Google Scholar] [CrossRef]
- Krafes, S.; Chalh, Z.; Saka, A. A review on the control of second order underactuated mechanical systems. Complexity 2018, 2018, 9573514. [Google Scholar] [CrossRef]
- Jayaswal, K.; Palwalia, D.; Kumar, S. Analysis of robust control method for the flexible manipulator in reliable operation of medical robots during COVID-19 pandemic. Microsyst. Technol. 2021, 27, 2103–2116. [Google Scholar] [CrossRef] [PubMed]
- Shalini, R.; Kumaravel, A. Production harmonized reconfiguration of flexible robots and machinery using manufacturing industry 4.0. J. Comput. Theor. Nanosci. 2018, 15, 3558–3564. [Google Scholar] [CrossRef]
- Shen, J.; Zhang, W.; Ye, Y.; Zhu, Y.; Ye, X. Adaptive Neural Network Control of Space Flexible Robot Based on Calculated Torque for Non-cooperative Targets. IAENG Int. J. Comput. Sci. 2023, 50, 525–536. [Google Scholar]
- Liu, P.; Huda, M.N.; Sun, L.; Yu, H. A survey on underactuated robotic systems: Bio-inspiration, trajectory planning and control. Mechatronics 2020, 72, 102443. [Google Scholar] [CrossRef]
- Liu, Y.; Yu, H. A survey of underactuated mechanical systems. IET Control Theory Appl. 2013, 7, 921–935. [Google Scholar] [CrossRef]
- Gupta, S.; Kumar, A. A brief review of dynamics and control of underactuated biped robots. Adv. Robot. 2017, 31, 607–623. [Google Scholar] [CrossRef]
- Kumar, N.; Ohri, J. Novel m-PSO Optimized LQR Control Design for Flexible Link Manipulator: An Experimental Validation. Majlesi J. Electr. Eng. 2020, 14, 81–92. [Google Scholar]
- Ahmad, M.A.; Ishak, H.; Nasir, A.N.K.; Abd Ghani, N. Data-based PID control of flexible joint robot using adaptive safe experimentation dynamics algorithm. Bull. Electr. Eng. Inform. 2021, 10, 79–85. [Google Scholar] [CrossRef]
- Pradhan, S.K.; Subudhi, B. Position control of a flexible manipulator using a new nonlinear self-tuning PID controller. IEEE/CAA J. Autom. Sin. 2020, 7, 136–149. [Google Scholar] [CrossRef]
- Dharavath, P.K.; Ohri, J. Optimized Control Design of LQR for Flexible Joint Manipulator. In Latest Trends in Renewable Energy Technologies; Springer: Berlin/Heidelberg, Germany, 2021; pp. 261–269. [Google Scholar]
- Abdel-Nasser, M.; Saif, A.W.A. LQR Optimal Controller Design for One and Two-Link Flexible-Joint Robot Manipulator. Comput. Ind. Eng. 2023, 3, 1266–1275. [Google Scholar]
- Wei, Y.S.; Wang, J.F.; Wang, J.X.; Xu, Q.Y.; Lloret, J. Iteration dependent interval based open-closed-loop iterative learning control for time varying systems with vector relative degree. CAAI Trans. Intell. Technol. 2023, 8, 645–660. [Google Scholar] [CrossRef]
- Gad, O.; Fareh, R.; Khadraoui, S.; Bettayeb, M. Tracking control of a rotary flexible joint robot: A comparative study. In Proceedings of the 3rd International Conference on Distributed Sensing and Intelligent Systems (ICDSIS 2022), Sharjah, United Arab Emirates, 19–21 October 2022; IET: Stevenage, UK, 2022; Volume 2022, pp. 309–313. [Google Scholar]
- Li, Z.; Li, S. Recursive recurrent neural network: A novel model for manipulator control with different levels of physical constraints. CAAI Trans. Intell. Technol. 2023, 8, 622–634. [Google Scholar] [CrossRef]
- Fareh, R.; Saad, M.; Saad, M. Distributed control strategy for flexible link manipulators. Robotica 2015, 33, 768–786. [Google Scholar] [CrossRef]
- Raouf, F.; Mohamad, S.; Maarouf, S.; Maamar, B. Distributed adaptive control strategy for flexible link manipulators. Robotica 2017, 35, 1562–1584. [Google Scholar] [CrossRef]
- Raouf, F.; Mohamad, S.; Maarouf, S. Workspace tracking control of two-flexible-link manipulator using distributed control strategy. J. Control. Sci. Eng. 2013, 2013, 617465. [Google Scholar] [CrossRef]
- Nath, U.M.; Dey, C.; Mudi, R.K. Fuzzy-based adaptive IMC-PI controller for real-time application on a level control loop. Adv. Intell. Syst. Comput. 2017, 515, 387–395. [Google Scholar] [CrossRef]
- Khanvilkar, S.; Jadhav, S.P.; Vyawahare, V.; Kadam, V. Comparative study of Fuzzy and IMC based controllers for heat exchanger system. In Proceedings of the 2016 International Conference on Automatic Control and Dynamic Optimization Techniques (ICACDOT), Pune, India, 9–10 September 2016; pp. 344–348. [Google Scholar] [CrossRef]
- Nath, U.M.; Dey, C.; Mudi, R.K. Designing of Fuzzy rule based switching mechanism for IMC controller for temperature controlling process. Procedia Comput. Sci. 2020, 167, 1363–1369. [Google Scholar] [CrossRef]
- Chang, W.; Li, Y.; Tong, S. Adaptive Fuzzy Backstepping Tracking Control for Flexible Robotic Manipulator. IEEE/CAA J. Autom. Sin. 2021, 8, 1923–1930. [Google Scholar] [CrossRef]
- Ling, S.; Wang, H.; Liu, P.X. Adaptive fuzzy dynamic surface control of flexible-joint robot systems with input saturation. IEEE/CAA J. Autom. Sin. 2019, 6, 97–107. [Google Scholar] [CrossRef]
- Aljohani, A.J.; Mehedi, I.M.; Bilal, M.; Mahmoud, M.; Meem, R.J.; Iskanderani, A.I.; Alam, M.M.; Alasmary, W. Rotary Flexible Joint Control Using Adaptive Fuzzy Sliding Mode Scheme. Comput. Intell. Neurosci. 2022, 2022, 2613075. [Google Scholar] [CrossRef] [PubMed]
- Handout, Q.S. Rotary Flexible Joint Module; Quanser: Markham, ON, Canada, 2011. [Google Scholar]
- Mezzi, A.; Soudani, D. Internal Model Control: Application to a class of linear underactuated systems with two degrees of underactuation. In Proceedings of the 2017 International Conference on Advanced Systems and Electric Technologies (IC_ASET), Hammamet, Tunisia, 14–17 January 2017; IEEE: New York, NY, USA, 2017; pp. 1–6. [Google Scholar]
- Jin, Q.; Jiang, B.; Wang, Q.; Shan, G. Decoupling internal model control for non-square processes based on equivalent transfer function. Trans. Inst. Meas. Control 2014, 36, 1114–1131. [Google Scholar] [CrossRef]
- Pandey, S.K.; Dey, J.; Banerjee, S. Modified Internal Model Control for Cart Inverted Pendulum System. In Proceedings of the 2021 IEEE 4th International Conference on Computing, Power and Communication Technologies (GUCON), Kuala Lumpur, Malaysia, 24–26 September 2021; IEEE: New York, NY, USA, 2021; pp. 1–5. [Google Scholar]
- Saxena, S.; Hote, Y.V. Advances in internal model control technique: A review and future prospects. IETE Tech. Rev. 2012, 29, 461–472. [Google Scholar] [CrossRef]
- Saidi, I.; Touati, N.; Dhahri, A.; Soudani, D. A comparative study on existing and new methods to design internal model controllers for non-square systems. Trans. Inst. Meas. Control 2019, 41, 3637–3650. [Google Scholar] [CrossRef]
- Klir, G.; Yuan, B. Fuzzy Sets and Fuzzy Logic; Prentice Hall: Hoboken, NJ, USA, 1995; Volume 4. [Google Scholar]
- Garcia, C.E.; Morari, M. Internal model control. A unifying review and some new results. Ind. Eng. Chem. Process. Des. Dev. 1982, 21, 308–323. [Google Scholar] [CrossRef]
- Nath, U.M.; Dey, C.; Mudi, R.K. Review on IMC-based PID controller design approach with experimental validations. IETE J. Res. 2023, 69, 1640–1660. [Google Scholar] [CrossRef]
- Rsetam, K. Cascaded Extended State Observer Based Full Order Sliding Mode Control Strategies for Underactuated Flexible Joint Robots. Ph.D. Thesis, Swinburne University of Technology, Hawthorn Australia, 2020. [Google Scholar]
- Alam, W.; Ali, N.; Aziz, H.M.W.; Iqbal, J. Control of flexible joint robotic manipulator: Design and prototyping. In Proceedings of the 2018 International Conference on Electrical Engineering (ICEE), Lahore, Pakistan, 15–16 February 2018; IEEE: New York, NY, USA, 2018; pp. 1–6. [Google Scholar]













| Symbol | Quantity | Value |
|---|---|---|
| Joint Stiffness (N·m/rad) | ||
| Equivalent Viscous Damping (N·m·s/rad) | ||
| Equivalent Inertia (kg·m2) | ||
| Total Arm Inertia (kg.m2) |
| Case | Metric | ||||
|---|---|---|---|---|---|
| Case 1 | MSE | 7.841 | 0.00515 | 9.324 | 0.00437 |
| IAE | 2.215 | 0.9171 | 3.021 | 0.7494 | |
| Case 2 | MSE | 9.726 | 0.0068 | 10.399 | 0.0060 |
| IAE | 5.451 | 0.5618 | 6.520 | 0.3115 | |
| Case 3 | MSE | 12.999 | 0.00536 | 10.874 | 0.00517 |
| IAE | 20.43 | 1.2480 | 6.82 | 0.9494 | |
| Case 4 | MSE | 49.67 | 736.19 | 12.13 | 0.43071 |
| IAE | 89.157 | 308.54 | 9.468 | 1.4588 |
Disclaimer/Publisher’s Note: The statements, opinions and data contained in all publications are solely those of the individual author(s) and contributor(s) and not of MDPI and/or the editor(s). MDPI and/or the editor(s) disclaim responsibility for any injury to people or property resulting from any ideas, methods, instructions or products referred to in the content. |
© 2024 by the authors. Licensee MDPI, Basel, Switzerland. This article is an open access article distributed under the terms and conditions of the Creative Commons Attribution (CC BY) license (https://creativecommons.org/licenses/by/4.0/).
Share and Cite
Gad, O.M.; Fareh, R.; Khadraoui, S.; Bettayeb, M.; Rahman, M.H. Intelligent Fuzzy Logic-Based Internal Model Control for Rotary Flexible Robots. Processes 2024, 12, 1908. https://doi.org/10.3390/pr12091908
Gad OM, Fareh R, Khadraoui S, Bettayeb M, Rahman MH. Intelligent Fuzzy Logic-Based Internal Model Control for Rotary Flexible Robots. Processes. 2024; 12(9):1908. https://doi.org/10.3390/pr12091908
Chicago/Turabian StyleGad, Omar Mohamed, Raouf Fareh, Sofiane Khadraoui, Maamar Bettayeb, and Mohammad Habibur Rahman. 2024. "Intelligent Fuzzy Logic-Based Internal Model Control for Rotary Flexible Robots" Processes 12, no. 9: 1908. https://doi.org/10.3390/pr12091908
APA StyleGad, O. M., Fareh, R., Khadraoui, S., Bettayeb, M., & Rahman, M. H. (2024). Intelligent Fuzzy Logic-Based Internal Model Control for Rotary Flexible Robots. Processes, 12(9), 1908. https://doi.org/10.3390/pr12091908

