Abstract
Nowadays, supercritical CO2 extraction is highly regarded in industry, and several studies dealing with scale-up calculations aim to facilitate the transition from small scale to large scale. To complete this transition, it would be interesting to be able to predict supercritical CO2 extraction kinetics, which is the aim of this work. A new methodology based on the association of Sovová’s broken and intact cell model and response surface methodology was developed to predict SC-CO2 extraction kinetics from different biomass (Argan kernels, evening primrose, Punica granatum, Camellia sinensis, and dry paprika) at different operating conditions (200–700 bar, 40–60 °C, 0.14–10 kg/h) inside an operating domain. The absolute average relative deviations between the experimental and predicted data ranged from 1.86 to 29.03%, showing satisfactory reliability of this new methodology.
1. Introduction
Supercritical CO2 (SC-CO2) extraction process is well known to be an efficient alternative to the use of toxic organic solvents. Indeed, it is a GRAS (Generally Recognized as Safe) solvent with tunable properties and selectivity. Thanks to its low critical temperature (31.06 °C), it can be used to extract heat-sensitive components. Furthermore, no separation step is needed since CO2 is gaseous at ambient pressure and it can be recycled at industrial scale, enabling a clean and compact process. Supercritical CO2 extraction is highly regarded in industry, with several industrial units already in use worldwide (China, France, Republic of Korea, etc.). Two examples of applications can be found in the following articles [1,2].
Experimental data on SC-CO2 extraction from several biomass sources have been widely reported in the literature; a non-exhaustive list of studies can be found in the following references [3,4,5,6,7,8,9,10,11,12,13,14]. Among the published works dealing with SC-CO2 extraction, several studies dealing with the application of response surface methodology (RSM) for the optimization of supercritical CO2 extraction of oil from several biomass were published. Some of these studies can be found in the following references [15,16,17,18,19,20]. Recently, to improve the understanding of the theoretical aspects of SC-CO2 extraction, studies dealing with the modeling of extraction kinetics using a mass transfer model [21,22,23,24,25] were published [26,27,28,29]. Scale-up studies have also been the subject of increasing interest in recent years [30,31,32,33,34,35,36,37,38,39,40,41]; these studies showed that the most pertinent criterion was the conservation of the CO2/biomass mass ratio, found at the highest achievable yield, between the small and large scale. The establishment of extraction kinetics at various operating conditions is the only way to have access to the highest reachable yield.
Considering the significant amount of available data in the literature, one might think that it would be quite simple to select any published study about a targeted biomass to have access to the extraction kinetics and perform scale-up calculations for industrial purposes. However, this is not always possible as several drawbacks were identified:
- -
- several studies dealing with RSM do not present the extraction kinetics;
- -
- in some studies, only one extraction kinetic was presented. It is then not possible to know if this extraction kinetic corresponds to the best extraction condition (highest yield and fastest extraction kinetic);
- -
- when one or several extraction kinetics were established for a selected biomass, the operating conditions proposed in the studies may be beyond the technical capabilities of the planned industrial-scale equipment;
- -
- when the operating conditions can be applicable at industrial scale, some important information for scale-up calculations, such as the mass of introduced biomass, the CO2 mass flowrate, the particle size distribution, the CO2 flow direction (up flow or downflow), etc., was not reported.
Assuming that an article reports all the information required for precise scale-up calculation, the challenge would be to achieve a perfect match between the technical specificities of industrial-scale equipment and the operating conditions proposed in the article. In the case of a mismatch, the solution would be to carry out additional extraction experiments, which is time-consuming and costly. Another solution would be to be able to predict the SC-CO2 extraction kinetics from a biomass whatever the operating conditions, which is very challenging.
Mass transfer models [23,24] such as the Sovová’s broken and intact cell model (BICM) [21], which consider physical parameters such as the extract solubility in SC-CO2, transfer and/or diffusion coefficients, etc. can be considered for predicting extraction kinetics. Some parameters such as solute solubility in SC-CO2 or diffusion coefficients may be calculated or approximated by using specified models or correlations [42,43,44,45]. However, parameters such as the highest achievable yield (Cu), which depend on:
- -
- the condition of pressure and temperature (as SC-CO2 has tunable solvent properties);
- -
- the nature of the biomass (plant, flower, roots, kernels, etc.);
- -
- the geographical growth location;
- -
- and the grinding efficiency (particle size diameter).
- are not accessible by calculation methods but only after experiments and modeling calculations, leading to a dead end.
The Sovová’s BICM has been used to predict the end (interaction and diffusion part) of the SC-CO2 extraction kinetics from Helichrysum italicum, Jatropha, and Argan kernels [4,5,6] by applying adequate hypotheses. The highest reachable yield (Cu) was known in the case of Jatropha and Argan kernels, and it was deduced by screening calculations in the case of Helichrysum italicum. The methodology described in these articles aims to propose a possible shape of the extraction kinetics when the extraction experiments could not be conducted until the end. This methodology is then not fully predictive.
Del Valle et al. [46] have considered the shrinking core model [47] to propose a methodology to predict extraction kinetics. Their aim was to show that they were able to predict SC-CO2 extraction kinetics of prepressed rapeseeds, olive husks, and flaked rosehip seeds at 40 °C and 300 bar. The experimental extraction kinetics were established at these operating conditions. Their methodology was based on the use of a set of several correlations for the calculations of the shrinking core model parameters: the film mass transfer coefficient, the diffusion coefficient, the effective diffusivity coefficient, and the solute solubility. These parameters were determined considering several steps calculations depending on the values of the dimensionless Reynolds, Biot, Sherwood, and Schmidt numbers but also by considering various types of correlations from the literature and a group contribution method. The methodology is also based on the mean particle size distribution and the surface structure of the biomass, considering various parameters such as the bed void fraction and the tortuosity. Nevertheless, it was necessary to verify the calculated value of the effective diffusivity coefficient with experimental data to be sure of the good prediction of the methodology. For better reliability, it was also necessary to consider this parameter as an adjustable parameter and add a correction factor: the microstructural correction factor to correctly describe the shape of the extraction kinetics. In addition, the highest reachable yield (Cu) was not predicted; the values were taken from the experimental data used for establishing the extraction kinetics. Consequently, the methodology proposed by Del Valle [46] could not be considered purely predictive, and the calculations were performed only at the experimental operating conditions of 300 bar and 40 °C. No predictions were performed outside this operating domain. Finally, their methodology requires integrating complex partial differential equations.
Reverchon et al. [48] have used the BICM for the modeling and simulation of extraction kinetics from sunflower seeds, tomato seeds, coriander seeds and grape seeds. The experimental data were taken from the literature. The fraction of broken cells was not considered as an adjustable parameter; the authors used scanning electron microscopy (SEM) images to identify the broken cells and calculate this parameter. Unfortunately, the SEM image analysis was not explained in detail, making it impossible to understand how the identification of the broken and intact cells can be made on SEM images. As the surface structure of biomass is very different from one biomass to another, their methodology cannot be extrapolated to other studies. The authors have performed simulation tests considering a “generic” seed at 280 bar, 40 °C and 1.5 kg/h to evaluate the effects of particle size distribution (100, 500, and 2000 µm) on the extraction kinetics. They have considered a constant value of Cu; they took into consideration a set of parameters previously adjusted on experimental data, and they have considered three different particle diameters to perform calculations. Unfortunately, this methodology cannot be considered simulation calculations but extrapolation calculations. In addition, Reverchon et al.’s methodology requires integrating complex partial differential equations.
Cabeza et al. [49] have proposed a methodology based on graphical extrapolations for the calculation of the mass transfer model parameters. Their methodology consisted of selecting the extraction kinetics of two biomass from the literature: sesame seeds and coffee grains. Fifteen SC-CO2 extraction kinetics were considered for sesame seeds and nine for coffee grains. Various operating conditions of pressure (138–350 bar), temperature (40–80 °C), particle size distribution (450–1180 µm), and CO2 volumetric flow rate (0.68–2 mL/min; the CO2 mass flow rates are available in the works cited by Cabez et al. [49]) were considered. These authors have performed modeling calculations on these data. In a second step, they have plotted the evolution of the model parameters depending on the variation of the operating conditions (e.g., the evolution of the mass transfer coefficient vs. the CO2 flow rate or the particle size distribution, etc.) to establish correlations for the calculations of a model parameter at wanted operating conditions. Unfortunately, the authors do not give details for the number of experiments to perform or the number of correlations to establish for using their methodology. In addition, it also requires integrating complex partial differential equations.
The neural networks (NN) tool was also considered to describe and predict the extraction kinetics from Nigella sativa L. [50] and Drimys angustifolia Miers [51]. Despite NN being a powerful tool applied for prediction purposes, the main drawback of this method is that it requires not only a large amount of experimental data (more than 150 points) but also very specific knowledge and very specific mathematical skills. These works [43,44] show that the NN tool was able to describe the shape of the extraction kinetics obtained experimentally; no calculations were performed for an operating condition not investigated experimentally. Furthermore, no theoretical parameters such as solubility, diffusion coefficient, or partition coefficient can be calculated when NN calculations are applied.
In summary, in these studies [46,48,49,50,51], several approaches were considered. When a mass transfer model was considered, only the method proposed by Cabeza et al. can be considered to be predictive, but no detail about how to apply the methodology was given. In the approach proposed by Del Valle et al. and Reverchon et al., the value of the highest reachable yield (Cu) was not predicted; they have considered the experimental value of Cu for their calculation procedure. In these three studies [39,41,42], it was necessary to integrate complex partial differential equations. When the NN tool was considered, a huge amount of experimental data and very specific mathematical skills were needed. To our knowledge, the NN tool was used to describe experimental extraction kinetics; it was not used to plot extraction kinetics at operating conditions not performed experimentally. To our knowledge, no other studies dealing with the simulation of SC-CO2 extraction kinetics were found in the literature.
Regardless of the chosen method (using a mass transfer model or NN tool), the prediction of extraction kinetics requires experimental data and especially the knowledge of the highest achievable yield (Cu). The aim of this study is then to propose a new methodology for predicting SC-CO2 extraction kinetics from biomass whatever the operating conditions of pressure and temperature inside an experimental operating domain. This new methodology, called predictive broken and intact cell model (PBCIM), aims to use the Sovová’s BICM [21] analytical solutions combined with the Design of Experiments (DOE) tools such as RSM to predict SC-CO2 extraction kinetics in a specific operating domain with defined operating conditions. RSM is a very powerful and useful method for predicting the variation of an output (called response) depending on various input parameters (called factors) in a specific operating domain [52]. It requires a minimum of experiments, and its effectiveness is very well established. The main advantage of these two modeling tools (BICM and RSM) is that they do not require very advanced skills in mathematics, but only the knowledge of classical modeling methods.
2. Materials and Methods
2.1. Description of the Novel Methodology
The methodology chosen is called the predictive broken and intact cell model (PBICM). This methodology aims to use RSM to calculate the parameters of the Sovová’s BICM (response) to predict any extraction kinetics at operating conditions (factors) located inside the variation range of the factors studied in the design of experiments. For this purpose, the first step consisted of finding in the literature articles reporting extraction kinetics established according to a design reporting only the effects of pressure and temperature at a constant SC-CO2 flow rate and mean particle size distribution with all the experimental data needed to perform the calculations: the mass of biomass introduced in the extraction autoclave (i.e., the extraction basket), the CO2 mass flow rate, and the particle size distribution of the biomass. Hence, the following studies [6,27,28,53,54] were selected to test this methodology. The type of biomass and the operating conditions (pressure (P), temperature (T), CO2 mass flow rate (Q), mass of introduced biomass (N), mean particle size distribution (dp), bed void fraction (ε), internal autoclave (i.e., basket) volume (mL), and the ratio of internal basket length (L) to internal basket diameter (D)) were reported in Table 1. The next step consisted of modeling the extrapolated data with Sovová’s BICM equations described in Section 2.2. Then, the parameters of the BICM were considered as answers in RSM to be able to predict their values whatever the operating condition of pressure and temperature located inside the domain of interest.
Table 1.
Experimental operating conditions of the SC-CO2 extraction kinetics established in the selected studies.
2.2. The Model of Broken and Intact Cells
The Sovová’s BICM [21] is a very well-known and widely used model for describing SC-CO2 extraction kinetics. This model was chosen because it describes very well the SC-CO2 extraction kinetics obtained on a large panel of biomass: plants, seeds, kernels, roots, etc. A non-exhaustive list of studies (also containing additional information) can be found here [4,5,6,8,27,55,56]. In brief, the model considers the biological structure of the biomass and accounts for the sudden reduction in extraction rate after the first extraction period that is observed during SC-CO2 extractions from a sample biomass. The extraction can be of type A, B, C, or D. In deciding on extraction type, it is possible to refer to the aspect of the extraction curves reported in Figure 1.
Figure 1.
Types of extraction curve in Sovová’s BICM.
If the first part of the extraction curve consists of one straight section, the type is A or D. If it consists of two straight sections, it is of type B or C. It is worth noting that the curve shapes of type A and D and of type B and C are quite similar. Nevertheless, in the case of type A and B, the slope of the first straight section is related to the apparent solubility of the solute (ys) in SC-CO2. In the case of type C, the slope of the first straight section is close to 1, and for type D, the slope of the first straight section is lower than the apparent solute solubility in SC-CO2.
The shape of an SC-CO2 extraction kinetic and thus the values of the parameters of the BICM equations depend on the nature of the biomass (oleaginous, plants, roots, kernels, etc.) and the type of flow in the extraction autoclave (plug flow or mixed cell). For instance, for microalgae or some Corsican plants, type A was found [3,4], while for Argan or Jatropha (oleaginous), type B was found [5,6]. The type of extraction can be identified only after performing the experiments and applying the BICM equations. In this article, only the equations for type A and B were selected due to the shapes of the extraction curves. It is worth noting that depending on the case study, type C and D can also be obtained [21]. If type C or D are identified, the methodology developed here can be applied by considering the equations describing the shape of the extraction kinetics of type C and D [21].
The model equations of type A extraction kinetic are given in Equations (1)–(4). Physically, ys is the apparent solute solubility of the extract in SC-CO2, q1 is the end of the solubility period (first extraction period), r is the grinding efficiency, ks is the solid phase mass transfer coefficient, and as is the specific surface between the regions of intact and broken cells. For type A, q1 is defined as the intersection point between Equations (1) and (2). C1 and C2 are constant parameters allowing the calculation of r (the fraction of broken cells) and ks·as (the product of the solid-phase mass transfer coefficient and the specific surface area between the regions of intact and broken cells) knowing the biomass bed porosity ε in the extraction autoclave.
Knowing the values of parameters ys, xu, C1, and C2, it is possible to plot the extraction kinetic of type A and calculate the values of r and ksas. These parameters (ys, xu, C1, and C2) were then considered as responses for the RSM.
The model equations describing type B extraction kinetic are given in Equations (5)–(12). Physically, xt is the transition concentration, K is the partition coefficient, q1 is the end of the solubility period, and qc is defined as the intersection point between Equations (7) and (8).
With:
With:
With the fluid phase density (density of SC-CO2) and the solid biomass density
Knowing the values of parameters ys, q1, xu, C1, C2, K, and xt, it is possible to plot the extraction kinetic of type B and calculate the values of r and ksas. It is worth noting that for type B, q1 (Equation (6)) was calculated using parameter r, and r was calculated using Equation (9) depending on the values of C1 and C2. However, parameter C1 was calculated using Equation (10) depending on the values of r and C2. Consequently, for the sake of simplicity, r was considered as a response in RSM, allowing the calculation of both parameters q1 and C1. Hence, the selected answers for type B extraction kinetic were ys, xu, C2, K, xt, and r.
For both type A and B:
The grinding efficiency (r) represents the efficiency of the pretreatment (grinding and sieving); from a theoretical point of view, for a similar pre-treatment process, the fraction of broken cells is supposed to be constant. Nevertheless, as the pre-treatment cannot be homogeneous, some variations in the value of r can be found. The fraction of broken cells was then considered as a parameter and not as a constant value. It is worth noting that the apparent solubilities (ys) were modeled using the Chrastil model [57] to verify the values predicted using the proposed methodology. A good agreement was found between these two methods (lower than 5%).
The modeling calculations were performed considering the insoluble quantities. However, the extraction kinetics were presented reporting the yield (mass of extracted solute in kg/mass of introduced biomass in kg), given by Equation (15), against the CO2/biomass mass ratio (kg/kg), given by Equation (16), for more convenience.
The absolute average relative deviation (AARD), given in Equation (17), was calculated to estimate the accuracy of the predictions.
For all predictive calculations, a solid biomass density () of 1200 kg/m3 was considered.
2.3. Experimental Design
In the selected studies [6,27,28,53,54], experimental designs were achieved in order to study the pressure and temperature parameters. The responses Y (Sovová’s BICM parameters) were modeled with a second-order polynomial model given in Equation (18). In order to calculate the coefficients, a central composite design with 9 experiments was performed. The design (in coded values) corresponding to these 9 experiments is given in Table 2. The polynomial coefficients were calculated using Azurad software (Version 4.3.0, Azurad SAS, Marseille, France, http://www.azurad.fr/logiciel-plans-experiences.php, accessed on 25 August 2024).
where X1 and X2 are coded values (−1, 0, 1) of pressure and temperature, respectively, and bij are the polynomial coefficients (dimensionless).
Table 2.
Design for all SC-CO2 extraction experiments in coded values.
These 9 experiments were optimally selected using mathematical criteria (variance prediction functions) to calculate the Sovová’s BICM parameters in all the domain of interest by using Equation (18).
3. Results and Discussions
To demonstrate the feasibility of the Predictive BICM, it was necessary to show that it is possible to predict the SC-CO2 extraction kinetics at any experimental operating conditions in the operating conditions range. Therefore, the extraction kinetics for all biomass were predicted at the same operating conditions as those from which the extraction kinetics were obtained experimentally but also at intermediate operating conditions. As it is not possible to show all the combinations of the evolution of the extraction kinetics in the operating domain, the intermediate operating conditions were selected in a random way (random constant pressure and variation of temperature or random constant temperature and variation of pressure). Then, the predicted extraction kinetics were compared to experimental data to ensure consistency with the obtained trends.
For Argan kernels, two experimental test conditions were conducted on the experimental apparatus described in our previous study [6] with the same operating protocol to verify the precision of the PBICM. These additional data were not modeled and were not considered for the calculation of the polynomial coefficients (Equation (18)) for Argan kernels but only for the validation step.
In all figures, the dots represent the experimental data and the lines the predicted data. The modeled and predicted parameters are given in Appendix A with the AARD between the predicted and the experimental data but also between the modeled and experimental data. The results were also represented in black and white figures in Appendix A.
3.1. Prediction of SC-CO2 Extraction Kinetics from Argan Kernels (Type B Extraction Kinetic): Proof of Concept
The experimental data of Argan kernels were published by Mouahid et al. [6]. The random experimental test conditions were: 300 bar, 54 °C and 350 bar, 45 °C. The random extraction kinetics were established using the same extraction apparatus with the same operating protocol as the one described in our previous study [6]. The volume of the extraction autoclave was about 20 mL and the CO2 flow rate was about 0.14 kg/h. The process flow diagram is given in Figure 2.
Figure 2.
Process diagram of the extraction setup used for Argan kernels: (1) CO2 tank, (2) cooler, (3) CO2 high-pressure liquid pump, (4) pressure gauge, (5) extraction apparatus heater, (6) extraction vessel (20 mL), (7) glass oil collector vessel, (8) mass flowmeter, (9) ethanol tank, (10) Gilson high-pressure solvent pump.
The CO2 high-pressure pump (3) was an SFC-24 high-pressure liquid CO2 pump (Interchim, Montluçon, France). A high-pressure solvent pump (10), GILSON 307 Pump with standard head pump of 5SC type (Gilson International France SAS, Villiers-le-Bel, France), was used to clean the pipes and the micrometric valve (V3) with ethanol at the end of each experiment. The pipes and the micrometric valve were dried with a flow of gaseous CO2 for a few minutes (Valves V2, V3, and V5 open, valve V4 closed). Extraction experiments with pure CO2 were conducted with valves V4 and V5 closed. The CO2 flow and pressure were controlled with micrometric valve (V3). A flowmeter located at the end of the extraction line (8) was used to measure the CO2 flowrate. Regarding the small charges used for SC-CO2 extraction experiments (6.244 g at 350 bar, 45 °C and 6.615 g at 300 bar, 40 °C), the mass of extracted oil was estimated relative to the mass losses of the sample in the extraction autoclave. More information can be found in our previous study [6].
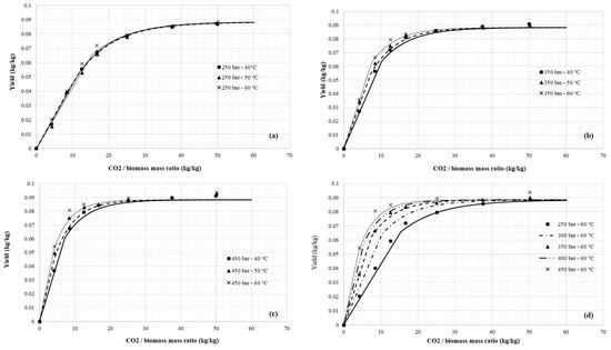
The parameter xu was not considered as a response as in the case of Argan kernels because the extraction yield was found to be Cu = 0.64 kg/kg whatever the operating conditions of pressure and temperature. The polynomial coefficients for each response are given in Table 3; the R2 coefficients for the calculation of the model parameters were found to be very good. The experimental and predicted data are shown in Figure 3 and Figure A1 in Appendix A.
Table 3.
Polynomial coefficients for predicting the Sovová’s BICM parameters of SC-CO2 extraction kinetics from Argan kernels (200–400 bar, 40–60 °C, dp = 750 µm at 0.14 kg/h).
Figure 3.
Experimental and predicted SC-CO2 extraction kinetics from Argan kernels at (a) 200 bar, (b) 300 bar, (c) 400 bar, (d) test conditions from 200 up to 400 bar at 60 °C.
The average deviations between the predicted and modeled parameters were found to be about 6.70%, 14.00%, 0.30%, 0.42% and 10.90% for the apparent solubility (ys), the partition coefficient (K), the concentration transition (xt), the fraction of broken cells (r) and ksas, respectively. These results show that it is possible to predict correctly the model parameters in the case of Argan kernels (see Table A1 in Appendix A). Hence, the SC-CO2 extraction kinetics from Argan kernels were found to be well predicted as shown in Figure 3. Indeed, the AARD between the predicted and experimental data ranged from 3.63 to 29.03%, which is satisfactory.
At 200 bar (Figure 3a), it was possible to predict the retrograde solubility behavior. At 300 bar (Figure 3b), the predicted extraction yields at 40 and 50 °C were lower than those obtained experimentally (AARD at 40 °C = 11.39% and AARD at 50 °C = 21.93%). The predicted extraction yields at 60 °C were found to be closer to the experimental data (AARD = 9.48%). This difficulty in predicting the exact behavior of SC-CO2 extraction kinetics at 300 bar may be due to the fact that at 200 bar, the end of the extraction curves were simulated [6] due to an excessively high extraction time duration. Even if the predicted shapes were coherent and acceptable, the lack of experimental data in the second part of the extraction curves may have led to inaccuracies in the calculated values of K, C1 and C2. However, at 300 bar, the order of magnitude of the predicted extraction yields can be considered acceptable as the predicted shapes of the extraction curves were found to be correct (9.48% < AARD < 21.93%). Finally, the best predictions were found at 400 bar (Figure 3c); indeed, the AARD ranged between 3.63 and 10.00%.
The ability of the method to predict the evolution of the extraction kinetics at 60 °C at pressures ranging from 200 up to 400 bar by steps of 50 bar is shown in Figure 3d. These conditions were chosen randomly. It was found that the evolution of the extraction kinetics is consistent with the evolution of pressure, i.e., an increase of extraction kinetic with the increase of pressure. The next step was to apply the methodology at two random experimental test conditions: 300 bar, 54 °C and 350 bar, 45 °C at 0.14 kg/h (Figure 4 and Figure A2 in Appendix A). The AARD between the predicted and the experimental data ranged between 8.54 and 10.84% involving a good prediction of the extraction kinetics at random operating conditions located inside the operating domain (200–400 bar, 40–60 °C). It can then be considered that using this methodology, it is possible to predict any extraction kinetics located inside this operating domain.
Figure 4.
Random experimental test conditions: experimental and predicted SC-CO2 extraction kinetics from Argan kernels at 0.14 kg/h (a) 300 bar, 54 °C and (b) 350 bar, 45 °C (dp = 750 µm).
3.2. Predictions of SC-CO2 Extraction Kinetics from Evening Primrose, Punica granatum, Camelia sinensis and Dry paprika (Type A Extraction Kinetic)
3.2.1. Evening Primrose Seeds
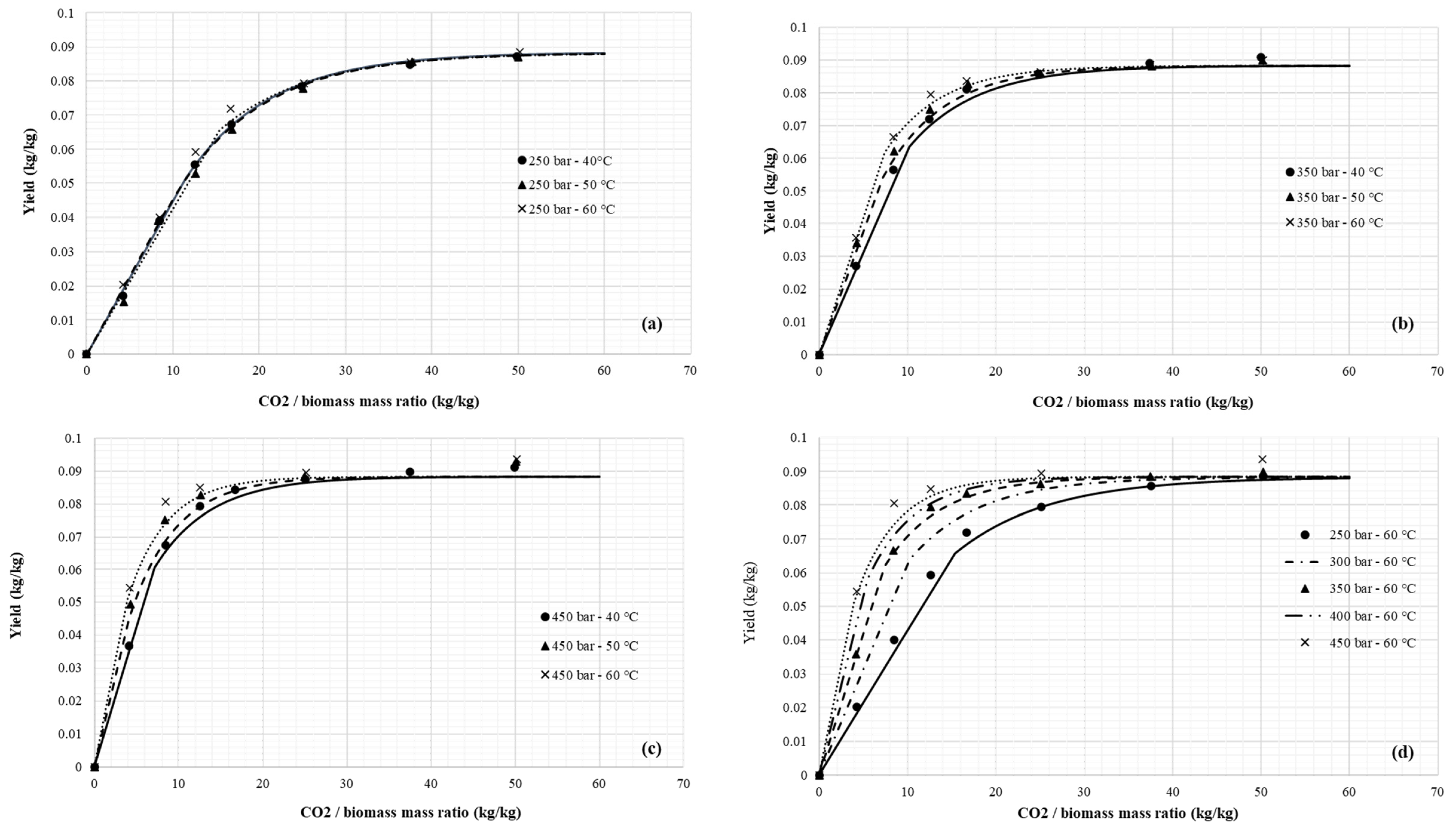
The experimental data were reported by King et al. [53] at pressures ranging from 300 to 700 bar and 40 to 60 °C at a CO2 flow rate of 0.54 kg/h. The polynomial coefficients for each response are given in Table 4; the R2 coefficients for the calculation of the model parameters were found to be very good except for C1. The experimental and predicted data are shown in Figure 5 and in Figure A3 in Appendix A. The average deviations between the predicted and modeled parameters were found to be about 4.60%, 9.00%, 5.50%, and 33.76% for the oil content in the untreated biomass (Cu), the apparent solubility (ys), the fraction of broken cells (r), and ksas, respectively. Except for the ksas parameter, the average deviations between the predicted and the modeled parameters are low. As can be seen in Table 4, the prediction of C1 was not accurate enough (R2 = 0.42), leading to the difficulty of predicting correctly the values of ksas. However, the predicted values of ksas were of the correct order of magnitude (ranging from 11.79 × 10−5 to 50.32 × 10−5 s−1). The modeled and predicted parameters are given in Table A2 in Appendix A.
Table 4.
Polynomial coefficients for predicting the Sovová’s BICM parameters of SC-CO2 extraction from evening primrose seeds (300–700 bar, 40–60 °C, dp = 300 µm at 0.54 kg/h).
Figure 5.
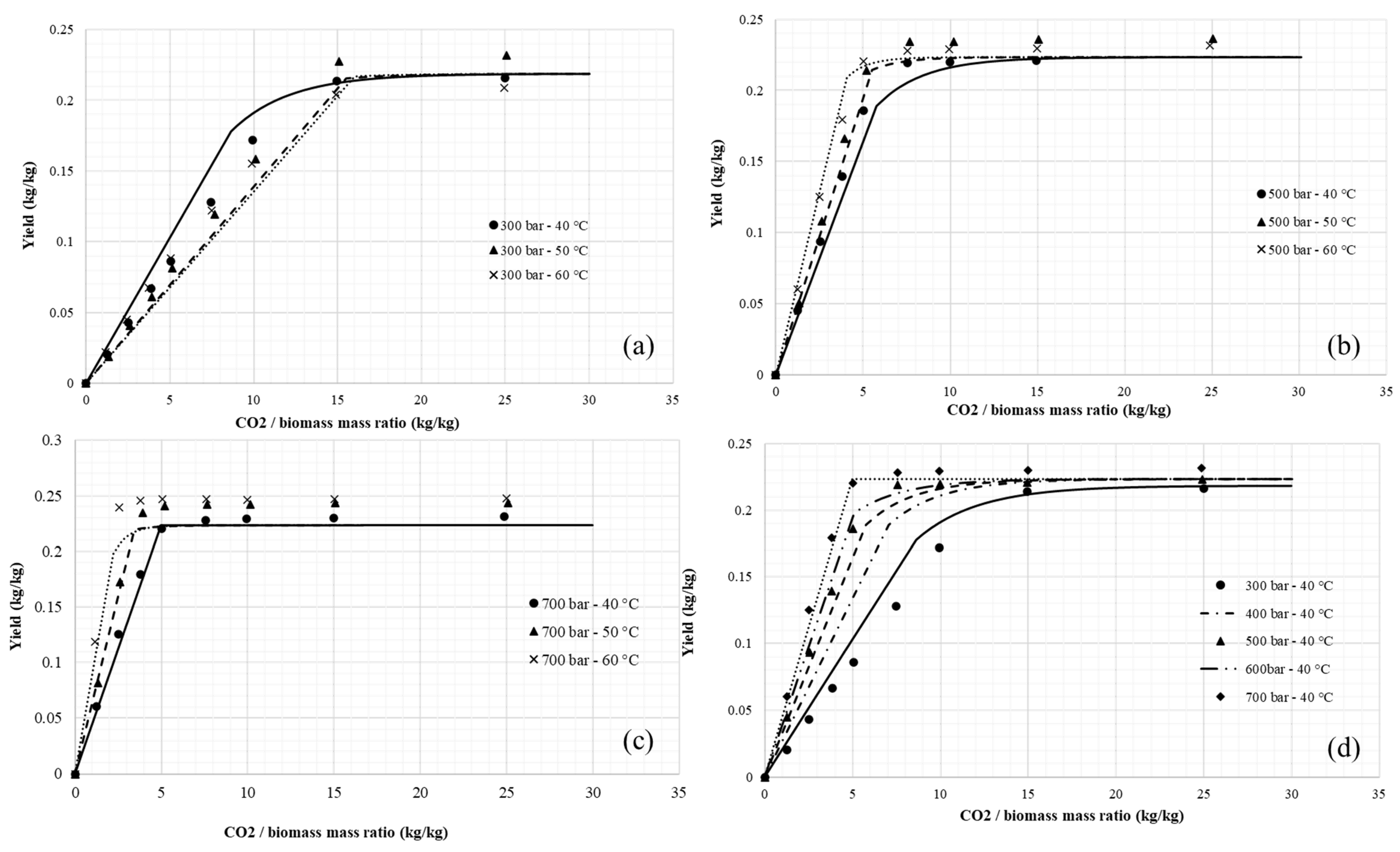
Experimental and predicted SC-CO2 extraction kinetics from evening primrose seeds at (a) 300 bar, (b) 500 bar, (c) 700 bar, and (d) test conditions from 300 up to 700 bar at 40 °C.
The AARD between the predicted and experimental data ranged from 4.47 to 19.74%. The proposed methodology leads to a satisfactory prediction of the SC-CO2 extraction kinetics from evening primrose seeds inside the operating domain (300–700 bar, 40–60 °C). In Figure 5, the predicted asymptotic yield (Cu) was found to be slightly lower (about 12%) than the experimental one. Nevertheless, the order of magnitude was found to be good (about 0.22 kg/kg for the predicted one and 0.21 up to 0.25 kg/kg for the experimental one). The high mean deviation between the calculated and modeled values of ksas results in a smooth transition between the first part and the second part of the extraction kinetics, while the experimental data and the modeled data showed a sharp transition. This difference may also explain an increase in the AARD between the predicted and experimental data.
As shown in the previous section, the evolutions of the extraction kinetics at 300 bar with the temperature were found to be very close (Figure 5a), leading to a difficulty in accurately predicting the evolution of the extraction kinetics at this condition (10.18% < AARD < 19.74%). This is due to the evolution of the apparent solubility at 300 bar: on the one hand, at 50 and 60 °C, the values of the apparent solubility were found to be very close (15.08 and 15.70 g/kg, respectively), and on the other hand, at 40 °C, the value of the apparent solubility was found to be higher (17.26 g/kg) than those at 50 and 60 °C. This tendency can be due to a retrograde solubility zone. However, the predicted evolutions of the SC-CO2 extraction kinetics were found to be consistent at 300 bar.
At 500 and 700 bar (Figure 5a–c), the evolutions of the extraction kinetics were found to be well predicted (4.47% < AARD < 10.69%). Finally, in Figure 5d, it can be seen that it was possible to consistently predict the SC-CO2 extraction kinetics at intermediate conditions from 300 to 700 bar (with a step of 100 bar) at 40 °C. These conditions were chosen randomly.
3.2.2. Punica granatum
The experimental data were reported by Natolino et al. [28] at pressures ranging from 240 to 320 bar and temperatures from 40 to 60 °C at a CO2 flow rate of 8 kg/h. The pressure step (40 bar) is lower than those reported in the previous sections (100 bar for Argan kernel and 200 bar for evening primrose seeds). The polynomial coefficients for each response are given in Table 5; the R2 coefficients for the calculation of the model parameters were found to be good. The experimental and predicted data are shown in Figure 6 and in Figure A4 in Appendix A.
Table 5.
Polynomial coefficients for predicting the Sovová’s BICM parameters of SC-CO2 extraction from Punica granatum seeds (240–320 bar, 40–60 °C, dp = 600 µm at 8 kg/h).
Figure 6.
Experimental and predicted SC-CO2 extraction kinetics from Punica granatum seeds at (a) 240 bar, (b) 280 bar, (c) 320 bar, and (d) test conditions from 40 up to 60 °C at 300 bar.
The average deviations between the predicted and modeled parameters were found to be about 3.30%, 1.10%, 11.6% and 10.95% for the oil content in the untreated biomass (Cu), the apparent solubility (ys), the fraction of broken cells (r), and ksas, respectively (see Table A3 in Appendix A). These results are satisfactory and the predicted values of ksas ranged from 0.56.10−5 to 1.65.10−5 s−1 (see Table A3 in Appendix A). The predictions for Punica granatum biomass were found to be very good (Figure 6) inside the operating domain (240–320 bar, 40–60 °C). Indeed, the AARD ranged between 1.86 and 5.99%. At 240 bar, it was possible to predict the retrograde solubility behavior (Figure 6a). The evolution of the experimental and predicted extraction kinetics (Figure 6b,c) seems to indicate that the retrograde solubility zone should end at a pressure ranged between 280 and 320 bar. This was confirmed after the prediction of the extraction kinetics at the random conditions of 300 bar from 40 up to 60 °C (Figure 6d). The results obtained show that at 300 bar, there is no retrograde solubility zone, meaning that the retrograde solubility behavior should end at a pressure slightly higher than 280 bar. The small deviation between the predicted and the experimental data in the second part of the curve at 320 bar may be due to the accuracy of the predicted values of ksas and r.
3.2.3. Camellia sinensis
The experimental data were reported by Natolino et al. [27] at pressures ranging from 260 to 300 bar and temperatures from 40 to 60 °C at a CO2 flow rate of 8 kg/h. The pressure step (20 bar) is again lower than those reported in the previous sections (100 bar for Argan kernel, 200 bar for evening primrose seeds and 40 bar for Punica granatum seeds). Preliminary investigations on the modeling of the experimental extraction kinetics data show that the same amount of extract (Cu = 0.53 kg/kg) was reached for all operating conditions. The polynomial coefficients for each response are given in Table 6; the R2 coefficients for the calculation of the model parameters were found to be very good except for C1. The experimental and predicted data are shown in Figure 7 and in Figure A5 in Appendix A.
Table 6.
Polynomial coefficients for predicting the Sovová’s BICM parameters of SC-CO2 extraction from Camellia sinensis seeds (260–300 bar, 40–60 °C, dp = 650 µm at 8 kg/h).
Figure 7.
Experimental and predicted SC-CO2 extraction kinetics from Camellia sinensis seeds at (a) 260 bar, (b) 280 bar, (c) 300 bar, and (d) test conditions from 260 up to 300 bar at 40 °C.
The average deviations between the predicted and modeled parameters were found to be about 2.80%, 21.90%, and 74.45% for the apparent solubility (ys), the fraction of broken cells (r), and ksas, respectively, which is considered satisfactory except for ksas. A very high deviation between the predicted and modeled values of ksas was observed. This may be due to a high accumulation of errors between the predictions of C1, Cu, r and the measured value of ε. However, the order of magnitude and the evolution with the pressure and temperature of the predicted values of ksas (ranging from 0.90 × 10−5 to 3.24 × 10−5 s−1) were found to be consistent. It is worth noting that the order of magnitude of ksas is 10−5 s−1 [21].
Despite a low pressure variation (20 bar) leading to a close evolution of the experimental SC-CO2 extraction kinetics and a deviation of 21.90% and 74.45% between the predicted and adjusted values of parameters r and ksas, a very good prediction of the extraction kinetics (2.26% < AARD < 7.18%) was found, as shown in Figure 7a–c. This is due to the fact that despite a low value of R2, the parameter C1 was predicted with the correct order of magnitude (see Table A4 in Appendix A), leading to a correct prediction of the extraction kinetics. Considering these results, it is possible to predict in a satisfactory way the extraction kinetics inside the operating domain (260–300 bar, 40–60 °C) with a good prediction of Cu, ys, and C2 with values of C1 predicted with an acceptable order of magnitude.
The data reported by Natolino et al. [44] show a retrograde solubility behavior up to 300 bar; this behavior was well predicted by the PBICM. In Figure 7d, at 40 °C, it was possible to consistently predict the evolution of the SC-CO2 extraction kinetics from 260 up to 300 bar with a 10 bar step (random conditions).
3.2.4. Dry Paprika
The experimental data from dry paprika were reported by Kostrzewa et al. [54] at pressures ranging from 250 to 450 bar and temperatures ranging from 40 to 60 °C at a CO2 flow rate of 10 kg/h. The polynomial coefficients for each response are given in Table 7; the R2 coefficients for the calculation of the model parameters were found to be good. The experimental and predicted data are shown in Figure 8 and in Figure A6 in Appendix A.
Table 7.
Polynomial coefficients for predicting the Sovová’s BICM parameters of SC-CO2 extraction from dry paprika (250–450 bar, 40–60 °C, dp = 270 µm at 10 kg/h).
Figure 8.
Experimental and predicted SC-CO2 extraction kinetics from dry paprika at (a) 250 bar, (b) 350 bar, (c) 450 bar, and (d) test conditions from 250 up to 450 bar at 60 °C.
The average deviations between the predicted and modeled parameters were found to be about 2.40%, 4.80%, 11.50% and 10.00%, for the oil content in the untreated biomass (Cu), the apparent solubility (ys), the fraction of broken cells (r), and ksas, respectively, which is very satisfactory (see Table A5 in Appendix A). The predicted values of ksas ranged from 44.83 × 10−5 to 111.53 × 10−5 s−1.
The AARD between the predicted and experimental data ranged from 2.06 to 11.72%. Once again, the proposed methodology leads to a good prediction inside the operating domain (250–450 bar, 40–60 °C) of the SC-CO2 extraction kinetics from dry paprika. Whatever the operating conditions of pressure, the evolutions of the extraction kinetics with the temperature were found to be very close. However, as shown in Figure 8, it was possible to predict with good accuracy the SC-CO2 extraction kinetics. At 250 bar (Figure 8a), the experimental and predicted data seem to show that at pressures lower than 250 bar, a retrograde solubility behavior could be observed. Finally, the evolutions of the extraction kinetics with the pressure at 60 °C (Figure 8d) were consistently predicted.
3.3. Application of the PBICM for Any Type of Biomass
To apply the PBICM model to any type of biomass, it is first necessary to identify the operating domain, i.e., both the highest and the lowest values of pressures and temperatures (e.g., 200 and 400 bar and 40 and 60 °C). The experimental conditions considered for establishing the 9 extraction kinetics can be obtained by considering the coded values in Table 2 (e.g., P = 200 bar → X1 = −1; P = 300 bar → X1= 0; P = 400 bar → X1 = 1 and T = 40 °C → X2 = −1; T = 50 °C → X2 = 0; T = 60 °C → X2 = 1). The CO2 mass flow rate and the particle size distribution are chosen according to the specifications and remain constant for all experiments. One up to three intermediate operating conditions of pressure and temperature can be added (e.g., P = 270 bar and T = 55 °C) to improve the accuracy of the polynomial equations.
Then, experimental extraction kinetics are modeled by the BICM considering the adequate extraction type with the adequate equations. If the extraction curves are of type A, the parameters ys, xu, C1, and C2 are chosen as answers. If the extraction curves are of type B, the parameters ys, xu, C2, K, xt, and r are chosen as answers. If the extraction curves are of type C, the parameters y0, xu, C2, K, xt, and r are chosen as answers (see the following reference for the equations [21]). Finally, if the extraction curves are of type D, the parameters ys, xu, C1, and C2 are chosen as answers (see the following reference for the equations [21]). The parameters at the intermediate operating conditions can be calculated using the polynomial Equation (18), allowing the prediction of the shape of the desired SC-CO2 extraction kinetic.
If the studied biomass is considered as a waste (by-product or co-product), this methodology can be applied but with precautions. Indeed, it is well known that for this type of biomass the extraction kinetics at a selected operating condition of pressure and temperature may not be repeatable. It is therefore necessary to determine the standard deviations between the yields and associate the standard deviations with the predictions made using the PBICM.
4. Conclusions
The predictive methodology developed in this study allows the prediction of SC-CO2 extraction kinetics at various operating conditions of pressure and temperature (at a constant CO2 flow rate and a constant mean particle size diameter) on various types of biomass inside an operating domain. Both extraction of type A and B can be predicted with satisfactory accuracy. It was also possible to predict the presence or absence of the retrograde solubility zone and also when it should end. The advantage of this methodology is that it does not need the use of complex tools (NN or integration of partial differential equations) and does not require a large number of experimental data (higher the 150 experimental points).
An experimental design of nine extraction kinetics (each extraction kinetic consist in five up to ten experimental points) given in Table 2 (considering the variation of pressure and temperature at a set particle size distribution and CO2 mass flow rate), and the analytical solution of the BICM proposed by Sovova (type A, B, C, or D) are needed to be able to use this predictive method. The use of this new innovative tool is powerful as it allows for a satisfactory prediction of an extraction kinetic inside the experimental operating domain without performing any additional extraction experiments. In addition, the calculations performed by this new method give access to all BICM parameters (also Cu), which is not the case with the other published methods. The predicted BICM parameters were found to be consistent with the modeled parameters. In the worst case, it was possible to predict the parameters with the good order of magnitude, which is encouraging.
The aim of this manuscript is to encourage researchers to apply this methodology to various types of biomass considering the four BICM extraction types. To deepen the work proposed here, the next step will be to establish the RSM matrix in order to study the effects of various operating condition parameters (pressure, temperature, and SC-CO2 flowrate or pressure, temperature, and particle size distribution, etc.) to extend the applicability of the PBICM we have developed.
Author Contributions
Conceptualization, A.M., M.C.-B. and S.C.; methodology, A.M. and M.C.-B.; software, A.M. and M.C.-B.; validation, A.M., M.C.-B. and S.C.; formal analysis, A.M., M.C.-B. and S.C.; investigation, A.M., M.C.-B. and S.C.; resources, A.M., M.C.-B. and S.C.; data curation, A.M., M.C.-B. and S.C.; writing—original draft preparation, A.M., M.C.-B. and S.C.; visualization, A.M., M.C.-B. and S.C.; supervision, A.M. and M.C.-B.; project administration, A.M.; funding acquisition, A.M. All authors have read and agreed to the published version of the manuscript.
Funding
This research received no external funding.
Data Availability Statement
All data were referenced and given in the manuscript; further inquiries can be directed to the corresponding author.
Acknowledgments
The authors gratefully acknowledge SATT Sud-Est for their financial support.
Conflicts of Interest
The authors declare no conflicts of interest.
Nomenclature
| ag | specific surface area of the biomass powder (m−1) |
| as | specific surface area between the regions of intact and broken cells (m−1) |
| AARD | absolute average relative deviation (%) |
| Cu | oil content in the untreated (not submitted to extraction) biomass (kg oil/kgbiomass) |
| D | autoclave (i.e., basket) internal diameter (m) |
| DOE | design of experiments |
| dp | mean particle size diameter (m) |
| e | extraction yield considering the insoluble biomass (kg oil/kginsoluble biomass) |
| E | amount of extracted oil (kg) |
| kf | fluid-phase mass transfer coefficient (s−1) |
| ks | solid-phase mass transfer coefficient (m/s) |
| K | partition coefficient |
| L | autoclave (i.e., basket) internal length (m) |
| n | number of experimental points |
| N | mass of ground biomass introduced in the extractor (kg) |
| NN | neural network |
| Nm | mass of insoluble ground biomass introduced in the extractor (kg) |
| P | pressure (bar) |
| PBICM | predictive broken and intact cell model |
| q | relative amount of the passed SC-CO2 (kg SC-CO2/kginsoluble biomass) |
| q′ | specific flow rate (kgsolvent/kgbiomass/s) |
| Q | SC-CO2 flow rate (kg/s) |
| r | grinding efficiency or fraction of broken cells |
| RSM | response surface methodology |
| SEM | scanning electron microscopy |
| T | temperature (K) |
| t | extraction time (s) |
| V | Volume of the extraction autoclave (i.e., the extraction basket) (mL) |
| xt | transition concentration (kg oil/kginsoluble solid) |
| xu | concentration in the untreated solid (kgoil/kginsoluble biomass) |
| ys | apparent oil solubility in SC-CO2 (kgoil/kg CO2) |
| Greek letters | |
| γ | solvent to matrix ratio in the bed (kgsolvent/kginsoluble solid) |
| ε | bed void fraction |
| supercritical CO2 density (kg/m3) | |
| biomass solid density (kg/m3) | |
| µ | supercritical CO2 viscosity (Pa.s) |
Appendix A
Table A1.
Argan Kernel, Modeled and Predicted Parameters.
Table A1.
Argan Kernel, Modeled and Predicted Parameters.
| P (bar) | T (°C) | ys a (g/kg) | ys b (g/kg) | C1 a (X100) | C1 b (X100) | C2 a (X100) | C2 b (X100) | K a (X1000) | K b (X1000) | xt a | xt b | qc a (kg CO2/kg Insoluble Solid) | qc b | r a (%) | r b (%) | AARD a (%) | AARD b (%) |
|---|---|---|---|---|---|---|---|---|---|---|---|---|---|---|---|---|---|
| 200 | 40 | 2.25 | 2.57 | 82.03 | 54.40 | 0.20 | 0.21 | 0.94 | 1.27 | 1.65 | 1.65 | 931.69 | 901.89 | 87.63 | 87.12 | - | 24.55 |
| 200 | 50 | 2.23 | 2.16 | 85.37 | 197.96 | 0.17 | 0.14 | 0.76 | 0.44 | 1.65 | 1.64 | 1159.37 | 1370.30 | 87.63 | 88.47 | - | 11.02 |
| 200 | 60 | 2.11 | 1.86 | 89.50 | 145.03 | 0.10 | 0.12 | 0.42 | 0.40 | 1.64 | 1.64 | 2147.86 | 1966.73 | 89.47 | 89.12 | - | 29.03 |
| 250 | 60 | - | 5.03 | - | 211.55 | - | 0.54 | - | - | - | - | - | 1197.59 | - | 92.86 | - | - |
| 300 | 40 | 6.11 | 5.41 | 791.53 | 1248.00 | 1.08 | 1.02 | 2.29 | 1.87 | 1.64 | 1.63 | 379.13 | 302.21 | 91.65 | 92.13 | 9.19 | 11.39 |
| 300 | 50 | 6.14 | 6.41 | 1147.49 | 1143.56 | 0.86 | 0.99 | 1.62 | 1.78 | 1.60 | 1.61 | 556.07 | 407.25 | 94.52 | 93.90 | 5.42 | 21.91 |
| 300 | 54 | - | 6.84 | - | 651.63 | - | 0.99 | - | 0.2 | - | 1.6 | - | 485.11 | - | 94.41 | - | 8.53 |
| 300 | 60 | 7.09 | 7.52 | 689.56 | 232.94 | 1.07 | 0.99 | 2.22 | 2.48 | 1.59 | 1.59 | 414.56 | 640.31 | 94.83 | 94.97 | 9.53 | 8.94 |
| 350 | 45 | - | 6.64 | - | 50.52 | - | 1.46 | - | 2.06 | - | 1.63 | - | 265.83 | - | 93.28 | - | 10.84 |
| 400 | 40 | 5.11 | 5.50 | 56,608.34 | 48,125.15 | 1.92 | 1.96 | 2.00 | 2.09 | 1.66 | 1.67 | 443.24 | 579.97 | 90.62 | 90.65 | 3.04 | 10.00 |
| 400 | 50 | 8.11 | 7.91 | 13,059.35 | 5672.57 | 2.07 | 1.96 | 2.59 | 2.74 | 1.63 | 1.63 | 353.75 | 291.64 | 93.10 | 92.85 | 3.43 | 9.38 |
| 400 | 60 | 10.60 | 10.42 | 496.23 | 535.76 | 1.94 | 2.00 | 4.42 | 4.17 | 1.60 | 1.60 | 205.94 | 161.32 | 94.15 | 94.35 | 6.20 | 3.63 |
a modeled parameter, b predicted parameter.
Table A2.
Evening Primrose, Modeled and Predicted Parameters.
Table A2.
Evening Primrose, Modeled and Predicted Parameters.
| P (bar) | T (°C) | Cu a (g/kg) | Cu b (g/kg) | ys a (g/kg) | ys b (g/kg) | C1 a (X100) | C1 b (X100) | C2 a (X100) | C2 b (X100) | r a (%) | r b (%) | AARD a (%) | AARD b (%) |
|---|---|---|---|---|---|---|---|---|---|---|---|---|---|
| 300 | 40 | 216 | 218.54 | 17.26 | 20.60 | 311.38 | 223.71 | 29.89 | 22.50 | 69.21 | 76.17 | 1.07 | 17.30 |
| 400 | 40 | - | 223.27 | - | 26.7 | - | 180.35 | - | 27 | - | 80.91 | - | - |
| 500 | 40 | 223 | 223.27 | 37.01 | 32.76 | 16.27 | 128.63 | 19.63 | 28.6 | 92.18 | 84.72 | 0.63 | 7.20 |
| 600 | 40 | - | 223.27 | - | 38.77 | - | 68.53 | - | 27.33 | - | 87.59 | - | - |
| 700 | 40 | 232 | 223.27 | 43.83 | 44.72 | 24.76 | 0.07 | 24.80 | 23.29 | 89.02 | 89.53 | 3.34 | 5.02 |
| 300 | 50 | 232 | 218.54 | 15.08 | 13.89 | 95.27 | 144.42 | 19.62 | 23.10 | 86.10 | 78.82 | 2.90 | 10.18 |
| 500 | 50 | 236.5 | 223.27 | 41.39 | 38.89 | 71.59 | 99.23 | 40.37 | 45.23 | 83.23 | 84.90 | 1.43 | 6.41 |
| 700 | 50 | 243.5 | 223.27 | 59.97 | 63.67 | 97.37 | 205.73 | 64.39 | 56.06 | 81.64 | 87.24 | 1.48 | 7.67 |
| 300 | 60 | 208.7 | 218.51 | 15.70 | 13.54 | 141.73 | 180.24 | 22.20 | 26.20 | 76.37 | 76.71 | 5.83 | 19.74 |
| 500 | 60 | 228.7 | 223.27 | 44.60 | 51.35 | 324.96 | 184.95 | 78.15 | 64.40 | 74.53 | 80.32 | 5.05 | 4.47 |
| 700 | 60 | 247.8 | 223.27 | 93.56 | 88.96 | 54.70 | 156.19 | 81.44 | 91.28 | 86.30 | 80.19 | 1.16 | 12.32 |
a modeled parameter, b predicted parameter.
Table A3.
Punica granatum, Modeled and Predicted Parameters.
Table A3.
Punica granatum, Modeled and Predicted Parameters.
| P (bar) | T (°C) | Cu a (g /kg) | Cu b (g/kg) | ys a (g/kg) | ys b (g/kg) | C1 a (X100) | C1 b (X100) | C2 a (X100) | C2 b (X100) | r a (%) | r b (%) | AARD a (%) | AARD b (%) |
|---|---|---|---|---|---|---|---|---|---|---|---|---|---|
| 240 | 40 | 154 | 157.33 | 1.58 | 1.59 | 84.33 | 86.99 | 0.82 | 0.82 | 31.78 | 35.63 | 0.31 | 1.86 |
| 240 | 50 | 145 | 140.00 | 1.33 | 1.30 | 93.14 | 91.36 | 0.86 | 0.84 | 24.92 | 23.05 | 0.14 | 4.27 |
| 240 | 60 | 116 | 117.67 | 0.97 | 0.99 | 97.94 | 97.07 | 0.87 | 0.89 | 20.89 | 18.92 | 0.23 | 3.54 |
| 280 | 40 | 145 | 145.66 | 1.78 | 1.78 | 69.71 | 68.76 | 0.75 | 0.77 | 69.71 | 58.81 | 0.47 | 2.06 |
| 280 | 50 | 150 | 145.33 | 1.71 | 1.74 | 76.67 | 71.52 | 0.81 | 0.81 | 37.72 | 47.90 | 0.21 | 2.27 |
| 280 | 60 | 136 | 140.00 | 1.72 | 1.68 | 69.51 | 75.62 | 0.90 | 0.87 | 44.78 | 45.51 | 0.44 | 2.85 |
| 300 | 40 | - | 135.70 | - | 1.76 | - | 64.07 | - | 0.79 | - | 60.42 | - | - |
| 300 | 45 | - | 140.41 | - | 1.81 | - | 67.89 | - | 0.81 | - | 54.32 | - | - |
| 300 | 50 | - | 143.87 | - | 1.84 | - | 66.03 | - | 0.83 | - | 50.58 | - | - |
| 300 | 55 | - | 146.08 | - | 1.87 | - | 67.51 | - | 0.86 | - | 48.52 | - | - |
| 300 | 60 | - | 147.04 | - | 1.91 | - | 69.33 | - | 0.90 | - | 48.81 | - | - |
| 320 | 40 | 127 | 122.99 | 1.68 | 1.67 | 64.04 | 62.34 | 0.85 | 0.83 | 48.33 | 55.37 | 0.50 | 3.82 |
| 320 | 50 | 130 | 139.66 | 1.87 | 1.87 | 56.57 | 63.50 | 0.86 | 0.88 | 54.44 | 46.16 | 0.54 | 5.99 |
| 320 | 60 | 157 | 151.33 | 2.04 | 2.05 | 71.22 | 65.99 | 0.95 | 0.95 | 44.24 | 45.47 | 0.07 | 2.60 |
a modeled parameter, b predicted parameter.
Table A4.
Camellia sinensis, Modeled and Predicted Parameters.
Table A4.
Camellia sinensis, Modeled and Predicted Parameters.
| P (bar) | T (°C) | ys a (g/kg) | ys b (g/kg) | C1 a (X100) | C1 b (X100) | C2 a (X100) | C2 b (X100) | r a (%) | r b (%) | AARD a (%) | AARD b (%) |
|---|---|---|---|---|---|---|---|---|---|---|---|
| 260 | 40 | 2.51 | 2.54 | 180.23 | 166.22 | 0.56 | 0.57 | 20.4 | 26.72 | 2.05 | 2.70 |
| 270 | 40 | - | 3.13 | - | 191.12 | - | 0.73 | - | 25.57 | - | - |
| 280 | 40 | 3.75 | 3.85 | 140.35 | 184.51 | 0.76 | 0.87 | 40.39 | 26.19 | 1.46 | 2.67 |
| 290 | 40 | - | 4.72 | - | 146.37 | - | 0.9 | - | 28.56 | - | - |
| 300 | 40 | 5.85 | 5.73 | 106.86 | 76.72 | 0.78 | 0.72 | 24.82 | 32.7 | 0.82 | 5.58 |
| 260 | 50 | 2.4 | 2.27 | 189.53 | 167.53 | 0.57 | 0.51 | 29.98 | 31.91 | 2.04 | 7.18 |
| 280 | 50 | 3.25 | 3.22 | 197.53 | 209.52 | 0.78 | 0.79 | 26.35 | 25.61 | 1.24 | 4.49 |
| 300 | 50 | 4.57 | 4.74 | 114.61 | 124.89 | 0.69 | 0.76 | 27.54 | 26.35 | 1.49 | 2.26 |
| 260 | 60 | 1.93 | 2.05 | 118.9 | 154.91 | 0.36 | 0.41 | 45.96 | 37.71 | 1.90 | 7.14 |
| 280 | 60 | 2.72 | 2.64 | 275.93 | 220.06 | 0.76 | 0.72 | 10.7 | 25.64 | 2.42 | 4.49 |
| 300 | 60 | 3.84 | 3.8 | 139.25 | 159.12 | 0.71 | 0.77 | 27.31 | 20.61 | 2.25 | 3.11 |
a modeled parameter, b predicted parameter.
Table A5.
Dry Paprika, Modeled and Predicted Parameters.
Table A5.
Dry Paprika, Modeled and Predicted Parameters.
| P (bar) | T (°C) | Cu a (g/kg) | Cu b (g/kg) | ys a (g/kg) | ys b (g/kg) | C1 a (X100) | C1 b (X100) | C2 a (X100) | C2 b (X100) | r a (%) | r b (%) | AARD a (%) | AARD b (%) |
|---|---|---|---|---|---|---|---|---|---|---|---|---|---|
| 250 | 40 | 88 | 88.32 | 4.45 | 4.49 | 125.13 | 134.92 | 8.99 | 9.33 | 33.06 | 27.83 | 1.79 | 2.79 |
| 250 | 50 | 88 | 88.32 | 4.21 | 4.60 | 143.50 | 132.81 | 9.34 | 9.19 | 25.61 | 28.56 | 3.91 | 6.69 |
| 250 | 60 | 88.9 | 88.32 | 4.70 | 4.27 | 111.04 | 111.94 | 8.93 | 8.74 | 41.59 | 43.87 | 0.98 | 5.9 |
| 300 | 60 | - | 88.32 | - | 6.23 | - | 102.58 | - | 11.65 | - | 47.32 | - | - |
| 350 | 40 | 91 | 88.32 | 6.75 | 6.22 | 119.52 | 105.72 | 12.56 | 11.84 | 33.68 | 44.33 | 1.05 | 4.33 |
| 350 | 50 | 90 | 88.32 | 7.37 | 7.49 | 101.05 | 110.85 | 12.91 | 13.28 | 44.86 | 38.58 | 1.69 | 3.25 |
| 350 | 60 | 90 | 88.32 | 7.92 | 8.32 | 93.22 | 97.21 | 14.07 | 14.42 | 51.79 | 47.42 | 1.67 | 2.06 |
| 400 | 60 | - | 88.32 | - | 10.55 | - | 95.85 | - | 17.05 | - | 44.17 | - | - |
| 450 | 40 | 91 | 88.32 | 7.97 | 8.46 | 88.50 | 92.51 | 13.38 | 13.76 | 52.82 | 47.40 | 1.81 | 3.39 |
| 450 | 50 | 93 | 88.32 | 11.42 | 10.90 | 104.00 | 104.88 | 17.02 | 16.80 | 31.86 | 35.19 | 1.47 | 6.10 |
| 450 | 60 | 93.5 | 88.32 | 12.88 | 12.90 | 103.37 | 98.48 | 19.70 | 19.54 | 35.47 | 37.56 | 1.65 | 5.07 |
a modeled parameter, b predicted parameter.

Figure A1.
Experimental and predicted SC-CO2 extraction kinetics from Argan kernels at (a) 200 bar, (b) 300 bar, (c) 400 bar, and (d) test conditions from 200 up to 400 bar at 60 °C (− T = 40 °C, − − T = 50 °C, ∙∙∙ T = 60 °C).
Figure A2.
Random experimental test conditions: experimental and predicted SC-CO2 extraction kinetics from Argan kernels at 0.14 kg/h (a) 300 bar, 54 °C and (b) 350 bar, 45 °C (dp = 750 µm).
Figure A3.
Experimental and predicted SC-CO2 extraction kinetics from evening primrose seeds at (a) 300 bar, (b) 500 bar, (c) 700 bar, and (d) test conditions from 300 up to 700 bar at 40 °C (− T = 40 °C, − − T = 50 °C, ∙∙∙ T = 60 °C).
Figure A4.
Experimental and predicted SC-CO2 extraction kinetics from Punica granatum seeds at (a) 240 bar, (b) 280 bar, (c) 320 bar, and (d) test conditions from 40 up to 60 °C at 300 bar (− T = 40 °C, − − T = 50 °C, ∙∙∙ T = 60 °C).
Figure A5.
Experimental and predicted SC-CO2 extraction kinetics from Camellia sinensis seeds at (a) 260 bar, (b) 280 bar, (c) 300 bar, and (d) test conditions from 260 up to 300 bar at 40 °C (− T = 40 °C, − − T = 50 °C, ∙∙∙ T = 60 °C).
Figure A6.
Experimental and predicted SC-CO2 extraction kinetics from dry paprika at (a) 250 bar, (b) 350 bar, (c) 450 bar, and (d) test conditions from 250 up to 450 bar at 60 °C. (− T = 40 °C, − − T = 50 °C, ∙∙∙ T = 60 °C).
References
- Srinivas, K.; King, J.W. Developments in the Processing of Foods and Natural Products Using Pressurized Fluids. In Alternatives to Conventional Food Processing; Proctor, A., Ed.; The Royal Society of Chemistry: London, UK, 2018; pp. 196–250. ISBN 978-1-78262-518-6. [Google Scholar]
- Loisel, C. The Closure Solutions from Oeneo Bouchage for Beer. Cerevisia 2010, 35, 38–40. [Google Scholar] [CrossRef]
- Mouahid, A.; Crampon, C.; Toudji, S.-A.A.; Badens, E. Supercritical CO2 Extraction of Neutral Lipids from Microalgae: Experiments and Modelling. J. Supercrit. Fluids 2013, 77, 7–16. [Google Scholar] [CrossRef]
- Mouahid, A.; Dufour, C.; Badens, E. Supercritical CO2 Extraction from Endemic Corsican Plants; Comparison of Oil Composition and Extraction Yield with Hydrodistillation Method. J. CO2 Util. 2017, 20, 263–273. [Google Scholar] [CrossRef]
- Mouahid, A.; Bouanga, H.; Crampon, C.; Badens, E. Supercritical CO2 Extraction of Oil from Jatropha Curcas: An Experimental and Modelling Study. J. Supercrit. Fluids 2017, 141, 2–11. [Google Scholar] [CrossRef]
- Mouahid, A.; Bombarda, I.; Claeys-Bruno, M.; Amat, S.; Myotte, E.; Nisteron, J.-P.; Crampon, C.; Badens, E. Supercritical CO2 Extraction of Moroccan Argan (Argania spinosa L.) Oil: Extraction Kinetics and Solubility Determination. J. CO2 Util. 2021, 46, 101458. [Google Scholar] [CrossRef]
- Mouahid, A.; Claeys-Bruno, M.; Bombarda, I.; Amat, S.; Ciavarella, A.; Myotte, E.; Nisteron, J.-P.; Crampon, C.; Badens, E. Supercritical CO2 Extraction of Oil from Moroccan Unroasted Argan Kernels: Effects of Process Parameters to Produce Cosmetic Oil. J. CO2 Util. 2022, 59, 101952. [Google Scholar] [CrossRef]
- Mouahid, A.; Claeys-Bruno, M.; Bombarda, I.; Amat, S.; Ciavarella, A.; Myotte, E.; Nisteron, J.-P.; Crampon, C.; Badens, E. Valorization of Handmade Argan Press Cake by Supercritical CO2 Extraction. Food Bioprod. Process. 2023, 137, 168–176. [Google Scholar] [CrossRef]
- Belbaki, A.; Louaer, W.; Meniai, A.-H. Supercritical CO2 Extraction of Oil from Crushed Algerian Olives. J. Supercrit. Fluids 2017, 130, 165–171. [Google Scholar] [CrossRef]
- De Zordi, N.; Cortesi, A.; Kikic, I.; Moneghini, M.; Baldan, V.; Sut, S.; Solinas, D.; Dall’Acqua, S. The Supercritical Carbon Dioxide Extraction of ω-3, ω-6 Lipids and β-Sitosterol from Italian Walnuts: A Central Composite Design Approach. J. Supercrit. Fluids 2017, 127, 223–228. [Google Scholar] [CrossRef]
- López-Padilla, A.; Ruiz-Rodriguez, A.; Reglero, G.; Fornari, T. Supercritical Carbon Dioxide Extraction of Calendula Officinalis: Kinetic Modeling and Scaling up Study. J. Supercrit. Fluids 2017, 130, 292–300. [Google Scholar] [CrossRef]
- Hatami, T.; Moura, L.S.; Khamforoush, M.; Meireles, M.A.A. Supercritical Fluid Extraction from Priprioca: Extraction Yield and Mathematical Modeling Based on Phase Equilibria between Solid and Supercritical Phases. J. Supercrit. Fluids 2014, 85, 62–67. [Google Scholar] [CrossRef]
- Döker, O.; Salgın, U.; Şanal, I.; Mehmetoğlu, Ü.; Çalımlı, A. Modeling of Extraction of β-Carotene from Apricot Bagasse Using Supercritical CO2 in Packed Bed Extractor. J. Supercrit. Fluids 2004, 28, 11–19. [Google Scholar] [CrossRef]
- Chao, R.R.; Mulvaney, S.J.; Sanson, D.R.; Hsieh, F.-H.; Tempesta, M.S. Supercritical CO2 Extraction of Annatto (Bixa orellana) Pigments and Some Characteristics of the Color Extracts. J. Food Sci. 1991, 56, 80–83. [Google Scholar] [CrossRef]
- Durante, M.; Ferramosca, A.; Treppiccione, L.; Di Giacomo, M.; Zara, V.; Montefusco, A.; Piro, G.; Mita, G.; Bergamo, P.; Lenucci, M.S. Application of Response Surface Methodology (RSM) for the Optimization of Supercritical CO2 Extraction of Oil from Patè Olive Cake: Yield, Content of Bioactive Molecules and Biological Effects in Vivo. Food Chem. 2020, 332, 127405. [Google Scholar] [CrossRef]
- Cui, W.; Xu, R.; Li, X.; Yang, J.; Xu, P.; Zhang, Z.; Yu, Z.; Adiges, S. Research on the Supercritical CO2 Extraction Process of Hetian Rose Essential Oil. Processes 2024, 12, 1396. [Google Scholar] [CrossRef]
- Sánchez, C.; Rodríguez, A.; Reinoso, F.; Dovale-Rosabal, G.; Romero, N.; Espinosa, A.; Pando, M.E.; Claria, B.; Valenzuela, R.; Char, C.; et al. Optimization of Oil and Tocopherol Extraction from Maqui (Aristotelia chilensis (Mol.) Stuntz) by Supercritical CO2 Procedure. Antioxidants 2024, 13, 845. [Google Scholar] [CrossRef]
- Abderrezag, N.; Bragagnolo, F.S.; Louaer, O.; Meniai, A.-H.; Cifuentes, A.; Ibáñez, E.; Mendiola, J.A. Optimization of Supercritical Fluid Extraction of Bioactive Compounds from Ammodaucus leucotrichus Fruits by Using Multivariate Response Surface Methodology. J. Supercrit. Fluids 2024, 207, 106211. [Google Scholar] [CrossRef]
- Guta, M.; Tan, H.; Zhao, Y. Optimization of Supercritical CO2 Extraction of Incensole-Enriched Oil from Boswellia papyrifera Resin Using Response Surface Methodology. J. Supercrit. Fluids 2024, 205, 106154. [Google Scholar] [CrossRef]
- Pise, V.H.; Thorat, B.N. Techno-Economics Feasibility of Supercritical CO2 Ambrette Seed Extraction for Optimised Parameters Obtained Using RSM. J. Appl. Res. Med. Aromat. Plants 2023, 35, 100490. [Google Scholar] [CrossRef]
- Sovová, H. Mathematical Model for Supercritical Fluid Extraction of Natural Products and Extraction Curve Evaluation. J. Supercrit. Fluids 2005, 33, 35–52. [Google Scholar] [CrossRef]
- Sovová, H. Steps of Supercritical Fluid Extraction of Natural Products and Their Characteristic Times. J. Supercrit. Fluids 2012, 66, 73–79. [Google Scholar] [CrossRef]
- Huang, Z.; Shi, X.; Jiang, W. Theoretical Models for Supercritical Fluid Extraction. J. Chromatogr. A 2012, 1250, 2–26. [Google Scholar] [CrossRef] [PubMed]
- Oliveira, E.L.G.; Silvestre, A.J.D.; Silva, C.M. Review of Kinetic Models for Supercritical Fluid Extraction. Chem. Eng. Res. Des. 2011, 89, 1104–1117. [Google Scholar] [CrossRef]
- Fiori, L.; Basso, D.; Costa, P. Supercritical Extraction Kinetics of Seed Oil: A New Model Bridging the ‘Broken and Intact Cells’ and the ‘Shrinking-Core’ Models. J. Supercrit. Fluids 2009, 48, 131–138. [Google Scholar] [CrossRef]
- Corrêa, G.; Souza, M.R.D.R.; Nascimento, E.S.; Rodrigues Bjerk, T.; Goncalves, J.E.; Moritz, C.M.F.; Sakai, O.A.; Silva, E.A.D.; Santos, R.J.D.; Da Silva, E.A.; et al. Supercritical CO2 Extraction of Natural Compounds from Capuchin (Tropaeolum majus) Leaves and Seeds. Processes 2024, 12, 1566. [Google Scholar] [CrossRef]
- Natolino, A.; Da Porto, C.; Scalet, M. Broken and Intact Cell Model for Supercritical Carbon Dioxide Extraction of Tea Camellia sinensis (L) Seed Oil. J. Supercrit. Fluids 2022, 180, 105422. [Google Scholar] [CrossRef]
- Natolino, A.; Da Porto, C. Supercritical Carbon Dioxide Extraction of Pomegranate (Punica granatum L.) Seed Oil: Kinetic Modelling and Solubility Evaluation. J. Supercrit. Fluids 2019, 151, 30–39. [Google Scholar] [CrossRef]
- Mouahid, A.; Rébufa, C.; Le Dréau, Y. Supercritical CO2 Extraction of Walnut (Juglans regia L.) Oil: Extraction Kinetics and Solubility Determination. J. Supercrit. Fluids 2024, 211, 106313. [Google Scholar] [CrossRef]
- López-Padilla, A.; Ruiz-Rodriguez, A.; Restrepo Flórez, C.; Rivero Barrios, D.; Reglero, G.; Fornari, T. Vaccinium Meridionale Swartz Supercritical CO2 Extraction: Effect of Process Conditions and Scaling Up. Materials 2016, 9, 519. [Google Scholar] [CrossRef]
- Salea, R.; Veriansyah, B.; Tjandrawinata, R.R. Optimization and Scale-up Process for Supercritical Fluids Extraction of Ginger Oil from Zingiber Officinale Var. Amarum. J. Supercrit. Fluids 2017, 120, 285–294. [Google Scholar] [CrossRef]
- Milovanovic, S.; Lukic, I.; Stamenic, M.; Kamiński, P.; Florkowski, G.; Tyśkiewicz, K.; Konkol, M. The Effect of Equipment Design and Process Scale-up on Supercritical CO2 Extraction: Case Study for Silybum Marianum Seeds. J. Supercrit. Fluids 2022, 188, 105676. [Google Scholar] [CrossRef]
- Zabot, G.L.; Moraes, M.N.; Petenate, A.J.; Meireles, M.A.A. Influence of the Bed Geometry on the Kinetics of the Extraction of Clove Bud Oil with Supercritical CO2. J. Supercrit. Fluids 2014, 93, 56–66. [Google Scholar] [CrossRef]
- Kotnik, P.; Škerget, M.; Knez, Ž. Supercritical Fluid Extraction of Chamomile Flower Heads: Comparison with Conventional Extraction, Kinetics and Scale-Up. J. Supercrit. Fluids 2007, 43, 192–198. [Google Scholar] [CrossRef]
- Mezzomo, N.; Martínez, J.; Ferreira, S.R.S. Supercritical Fluid Extraction of Peach (Prunus persica) Almond Oil: Kinetics, Mathematical Modeling and Scale-Up. J. Supercrit. Fluids 2009, 51, 10–16. [Google Scholar] [CrossRef]
- Prado, J.M.; Prado, G.H.C.; Meireles, M.A.A. Scale-up Study of Supercritical Fluid Extraction Process for Clove and Sugarcane Residue. J. Supercrit. Fluids 2011, 56, 231–237. [Google Scholar] [CrossRef]
- Prado, J.M.; Dalmolin, I.; Carareto, N.D.D.; Basso, R.C.; Meirelles, A.J.A.; Vladimir Oliveira, J.; Batista, E.A.C.; Meireles, M.A.A. Supercritical Fluid Extraction of Grape Seed: Process Scale-up, Extract Chemical Composition and Economic Evaluation. J. Food Eng. 2012, 109, 249–257. [Google Scholar] [CrossRef]
- Taher, H.; Al-Zuhair, S.; Al-Marzouqi, A.H.; Haik, Y.; Farid, M.; Tariq, S. Supercritical Carbon Dioxide Extraction of Microalgae Lipid: Process Optimization and Laboratory Scale-Up. J. Supercrit. Fluids 2014, 86, 57–66. [Google Scholar] [CrossRef]
- Núñez, G.A.; Del Valle, J.M. Supercritical CO2 Oilseed Extraction in Multi-Vessel Plants. 2. Effect of Number and Geometry of Extractors on Production Cost. J. Supercrit. Fluids 2014, 92, 324–334. [Google Scholar] [CrossRef]
- del Valle, J.M. Extraction of Natural Compounds Using Supercritical CO2: Going from the Laboratory to the Industrial Application. J. Supercrit. Fluids 2015, 96, 180–199. [Google Scholar] [CrossRef]
- Paula, J.T.; Aguiar, A.C.; Sousa, I.M.O.; Magalhães, P.M.; Foglio, M.A.; Cabral, F.A. Scale-up Study of Supercritical Fluid Extraction Process for Baccharis Dracunculifolia. J. Supercrit. Fluids 2016, 107, 219–225. [Google Scholar] [CrossRef]
- del Valle, J.M.; de la Fuente, J.C.; Uquiche, E. A Refined Equation for Predicting the Solubility of Vegetable Oils in High-Pressure CO2. J. Supercrit. Fluids 2012, 67, 60–70. [Google Scholar] [CrossRef]
- Sovova, H.; Zarevucka, M.; Vacek, M.; Stránskỳ, K. Solubility of Two Vegetable Oils in Supercritical CO2. J. Supercrit. Fluids 2001, 20, 15–28. [Google Scholar] [CrossRef]
- He, C.-H. Prediction of Binary Diffusion Coefficients of Solutes in Supercritical Solvents. AIChE J. 1997, 43, 2944–2947. [Google Scholar] [CrossRef]
- Medina, I. Determination of Diffusion Coefficients for Supercritical Fluids. J. Chromatogr. A 2012, 1250, 124–140. [Google Scholar] [CrossRef] [PubMed]
- Del Valle, J.M.; Germain, J.C.; Uquiche, E.; Zetzl, C.; Brunner, G. Microstructural Effects on Internal Mass Transfer of Lipids in Prepressed and Flaked Vegetable Substrates. J. Supercrit. Fluids 2006, 37, 178–190. [Google Scholar] [CrossRef]
- Goto, M.; Roy, B.C.; Hirose, T. Shrinking-Core Leaching Model for Supercritical-Fluid Extraction. J. Supercrit. Fluids 1996, 9, 128–133. [Google Scholar] [CrossRef]
- Reverchon, E.; Marrone, C. Modeling and Simulation of the Supercritical CO2 Extraction of Vegetable Oils. J. Supercrit. Fluids 2001, 19, 161–175. [Google Scholar] [CrossRef]
- Cabeza, A.; Sobrón, F.; García-Serna, J.; Cocero, M.J. Simulation of the Supercritical CO2 Extraction from Natural Matrices in Packed Bed Columns: User-Friendly Simulator Tool Using Excel. J. Supercrit. Fluids 2016, 116, 198–208. [Google Scholar] [CrossRef]
- Fullana, M.; Trabelsi, F.; Recasens, F. Use of Neural Net Computing for Statistical and Kinetic Modelling and Simulation of Supercritical fluid Extractors. Chem. Eng. Sci. 2000, 55, 79–95. [Google Scholar] [CrossRef]
- Citadin, D.G.; Claumann, C.A.; Wüst Zibetti, A.; Marangoni, A.; Bolzan, A.; Machado, R.A.F. Supercritical Fluid Extraction of Drimys Angustifolia Miers: Experimental Data and Identification of the Dynamic Behavior of Extraction Curves Using Neural Networks Based on Wavelets. J. Supercrit. Fluids 2016, 112, 81–88. [Google Scholar] [CrossRef]
- Myers, R.H.; Montgomery, D.C.; Anderson-Cook, C.M. Response Surface Methodology: Process and Product Optimization Using Designed Experiments, 4th ed.; Wiley Series in Probability and Statistics; Wiley: Hoboken, NJ, USA, 2016; ISBN 978-1-118-91601-8. [Google Scholar]
- King, J.W.; Cygnarowicz-Provost, M.; Favati, F. Supercritical Fluid Extraction of Primrose Oil Kinetic and Mass Transfer Effects. Ital. J. Food Sci. 1997, 9, 193–204. [Google Scholar]
- Kostrzewa, D.; Dobrzyńska-Inger, A.; Mazurek, B.; Kostrzewa, M. Pilot-Scale Optimization of Supercritical CO2 Extraction of Dry Paprika Capsicum Annuum: Influence of Operational Conditions and Storage on Extract Composition. Molecules 2022, 27, 2090. [Google Scholar] [CrossRef] [PubMed]
- Solana, M.; Rizza, C.S.; Bertucco, A. Exploiting Microalgae as a Source of Essential Fatty Acids by Supercritical Fluid Extraction of Lipids: Comparison between Scenedesmus obliquus, Chlorella protothecoides and Nannochloropsis salina. J. Supercrit. Fluids 2014, 92, 311–318. [Google Scholar] [CrossRef]
- Sovová, H. Modeling the Supercritical Fluid Extraction of Essential Oils from Plant Materials. J. Chromatogr. A 2012, 1250, 27–33. [Google Scholar] [CrossRef] [PubMed]
- Chrastil, J. Solubility of Solids and Liquids in Supercritical Gases. J. Phys. Chem. 1982, 86, 3016–3021. [Google Scholar] [CrossRef]
Disclaimer/Publisher’s Note: The statements, opinions and data contained in all publications are solely those of the individual author(s) and contributor(s) and not of MDPI and/or the editor(s). MDPI and/or the editor(s) disclaim responsibility for any injury to people or property resulting from any ideas, methods, instructions or products referred to in the content. |
© 2024 by the authors. Licensee MDPI, Basel, Switzerland. This article is an open access article distributed under the terms and conditions of the Creative Commons Attribution (CC BY) license (https://creativecommons.org/licenses/by/4.0/).