Method for Predicting Bound Water Saturation in Tight Sandstone Reservoirs Using Morphology and Fractal Models
Abstract
1. Introduction
2. Experimental Test and Theoretical Analysis
2.1. Experimental Test
2.2. Model Calculation and Parameter Acquisition
3. Results and Discussion
3.1. NMR T2 Spectrum Distribution and Type Division
3.2. Correlation between Single Fractal Parameters and T2 cut-off Value
3.3. Correlation between Multifractal Parameters and T2 cut-off Value
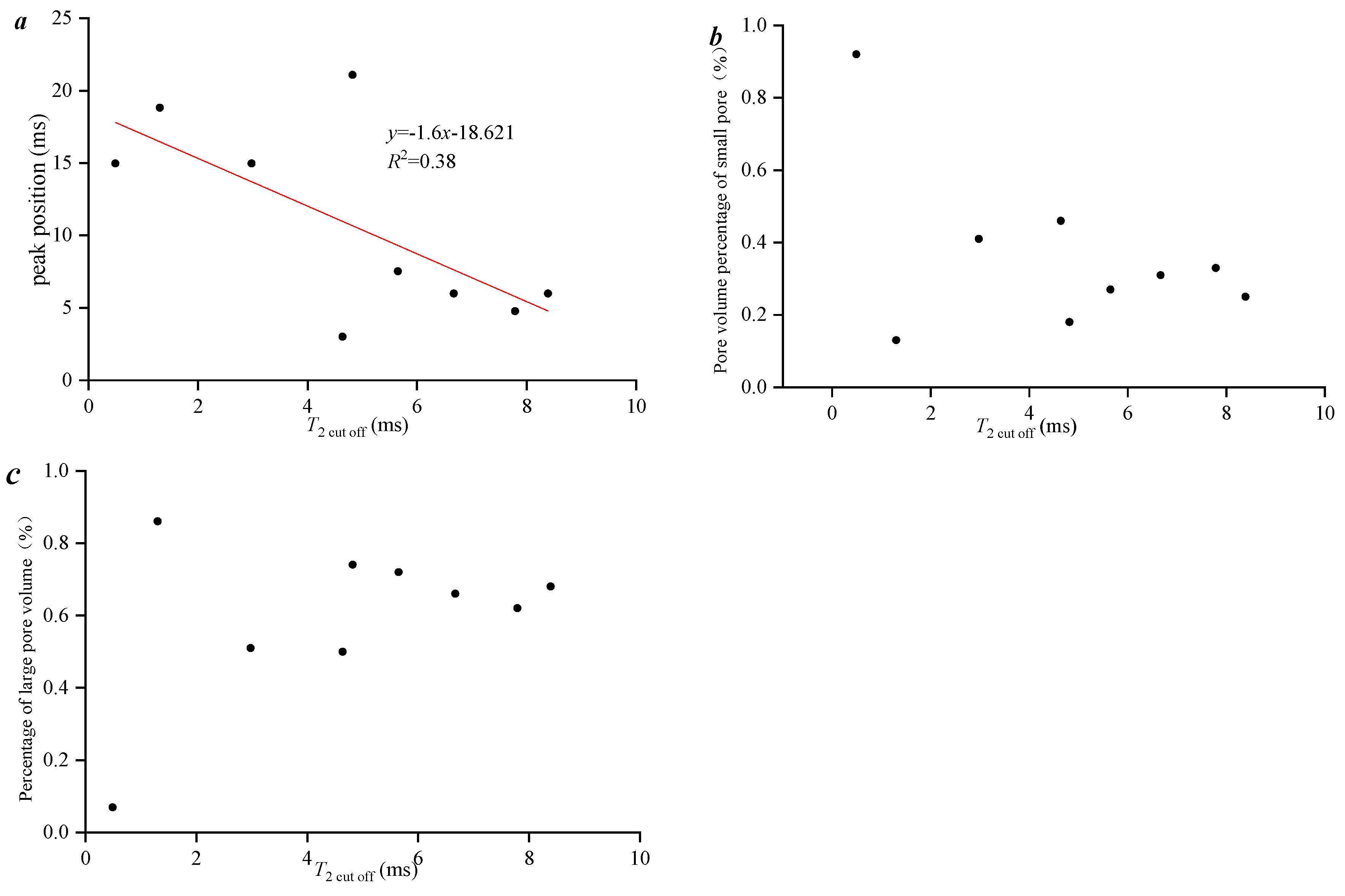
3.4. Correlation between T2 Spectral Morphological Parameters and T2 cut-off Values
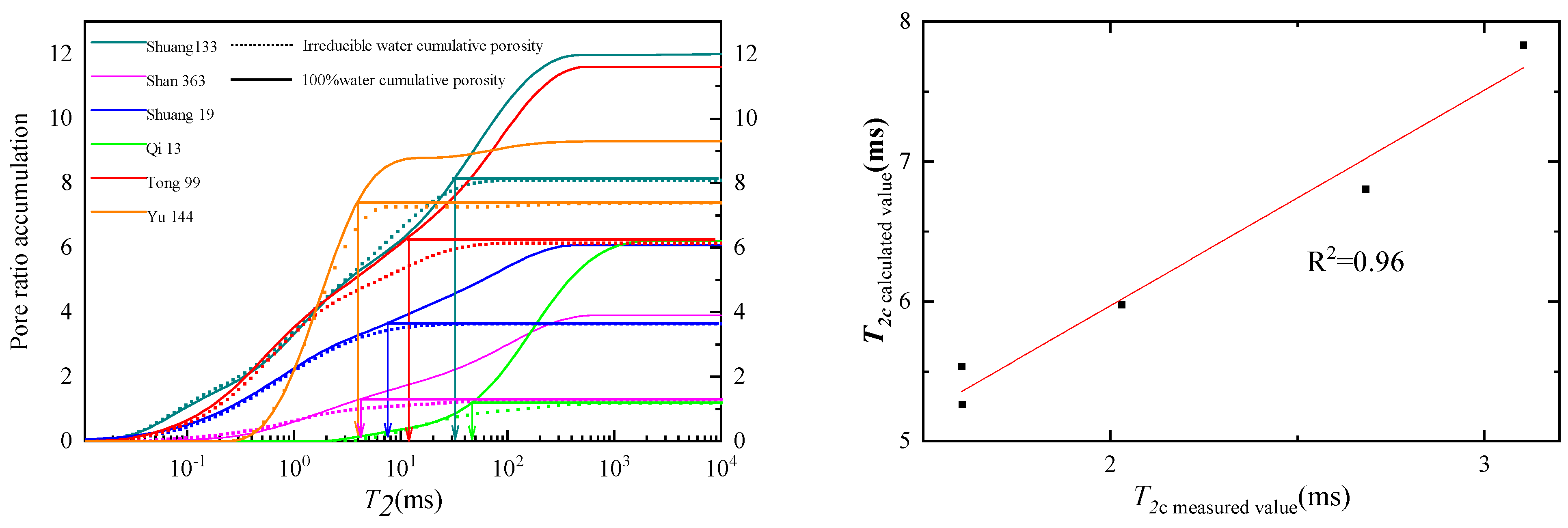
3.5. T2 cut-off Value Prediction Model Based on Multifractal Parameters
4. Conclusions
- (1)
- The T2 spectra of sandstone samples in the study area can be divided into four types. The A-type T2 spectrum shows a bimodal state, and the area of the right T2 spectrum is larger than that of the left T2 spectrum, indicating that the samples have good pore connectivity and belong to the macroporous development type samples. The B-type T2 spectrum is unimodal, and the pore connectivity of the samples is poor, indicating that they belong to the macroporous development sample. The T2 spectrum of the C-type samples is unimodal, and the pore connectivity is very poor, indicating that they belong to the mesoporous development sample. The T2 spectrum of the D-type samples is unimodal, and the main T2 is distributed within 0.1~2.5 ms, and the pore connectivity is very poor, indicating that they belong to the small pore development sample.
- (2)
- The single model shows that small pore volume is the key factor restricting the non-uniformity of reservoir pore distribution. Compared with other single fractal parameters, D2 increases with the increase in the T2 cut-off value, but the correlation is weak. Therefore, it is not feasible to predict the T2 cut-off value using the single fractal dimension parameter.
- (3)
- The multifractal model shows that D−10–D10 increases linearly with the increase in D−10–D0, but there is no obvious linear correlation between D0–D10 and D−10–D10, indicating that the low pore volume area in this kind of sample controls the overall heterogeneity of pore distribution.
- (4)
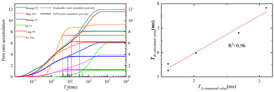
- The relevant parameters affecting the cut-off value of T2 include D−10–D10, D−10/D10, D−10–D0, TM and D2. Therefore, the T2 cut-off value prediction model is constructed based on the above five parameters. The T2 cut-off value calculated by the model is highly consistent with the experimental value, which proves the reliability of the model.
Author Contributions
Funding
Data Availability Statement
Conflicts of Interest
References
- Zhang, J.; Wei, C.; Ju, W.; Qin, Z.; Ji, Y.; Quan, F.; Hu, Y. Microscopic distribution and dynamic variation of water under stress in middle and high rank coal samples. J. Nat. Gas Sci. Eng. 2020, 79, 103369. [Google Scholar] [CrossRef]
- Bai, Y.; Wang, S.; Xu, B.; Chen, L.; Li, Y.; Dong, Z. Experimental study on the relationship between irreducible water saturation and micro pore throat in tight sandstone. China Offshore Oil Gas 2022, 34, 65–71. [Google Scholar]
- Tan, L.; Cai, M.; Cai, D.; Zhang, C. Study on Bound Water Saturation of Tight Sandstone Based on Nuclear Magnetic Experiment. Contemp. Chem. Ind. 2022, 51, 1066–1070. [Google Scholar]
- Yao, Y.; Liu, D.; Che, Y.; Tang, D.; Tang, S.; Huang, W. Petrophysical characterization of coals by low-field nuclear magnetic resonance (NMR). Fuel 2010, 89, 1371–1380. [Google Scholar] [CrossRef]
- Zhu, L.; Zhang, C.; Shi, W.; Wei, Y.; Chen, Y.; Liu, J.; Gou, C.; Cheng, Y. Study on the Method of Prediction of Irreducible Water Saturation by Combining Mercury Intrusion and NMR Logging Data. Sci. Technol. Eng. 2016, 16, 22–29. [Google Scholar]
- Wang, Z.; Zhang, C.; Xiao, C.; Chen, X.; Song, F. Experimental study on T2 cut-off value of low permeability reservoir and its logging application. Geophys. Prospect. Pet. 2004, 19, 652–655. [Google Scholar]
- Shao, W.; Ding, Y.; Xiao, F. On the Method of Determing T2 Cutoff Value with the T2 Spectrum Characteristics. Well Logging Technol. 2009, 33, 430–435. [Google Scholar]
- Hu, Y.; Guo, Y.; Zhang, J.; Shangguan, J.; Li, M.; Quan, F.; Li, G. A method to determine nuclear magnetic resonance T2 cut-off value of tight sandstone reservoir based on multifractal analysis. Energy Sci. Eng. 2020, 8, 1135–1148. [Google Scholar] [CrossRef]
- Junjian, Z.; Guo, Y.; Qin, Z.; Chongtao, W.; Qinhong, H.; Vandeginste, V.; Heyao, M.; Peng, Y.; Pengfei, Z. Predicting irreducible water saturation of unconventional reservoirs by using NMR T2 spectra: Methods of morphological division and fractal models. Acta Geol. Sinaca 2023. [Google Scholar] [CrossRef]
- Lai, F.; Li, Z.; Zhang, W.; Dong, H.; Kong, F.; Jiang, Z. Investigation of Pore Characteristics and Irreducible Water Saturation of Tight Reservoir Using Experimental and Theoretical Methods. Energy Fuels 2018, 32, 3368–3379. [Google Scholar] [CrossRef]
- Meng, M.; Ge, H.; Shen, Y.; Ji, W.; Ji, W.; Wang, Q. Rock Fabric of Tight Sandstone and Its Influence on Irreducible Water Saturation in Eastern Ordos Basin. Energy Fuels 2023, 37, 3685–3696. [Google Scholar] [CrossRef]
- Lai, F.; Li, Z.; Dong, H.; Jiang, Z.; Mao, G.T. Micropore structure characteristics and water distribution in a coalbed methane reservoir. Aust. J. Earth Sci. 2019, 66, 741–750. [Google Scholar] [CrossRef]
- Sun, Z.; Li, M.; Yuan, S.; Hou, X.; Bai, H.; Zhou, F.; Liu, X.; Yang, M. The flooding mechanism and oil recovery of nanoemulsion on the fractured/non-fractured tight sandstone based on online LF-NMR experiments. Energy 2024, 291, 130226. [Google Scholar] [CrossRef]
- Zhang, T.; Tang, M.; Yuan, L.; Zhu, G.; Zhang, C.; Liu, Y.; Li, Y.; Wang, W.; Yang, X. Experimental study on stress-dependent multiphase flow in ultra-low permeability sandstone during CO2 flooding based on LF-NMR. Energy 2023, 278, 127874. [Google Scholar] [CrossRef]
- Hou, X.; Zhu, Y.; Chen, S.; Wang, Y.; Liu, Y. Investigation on pore structure and multifractal of tight sandstone reservoirs in coal bearing strata using LF-NMR measurements. J. Pet. Sci. Eng. 2020, 187, 106757. [Google Scholar] [CrossRef]
- Dai, Q.; He, Y.; Da, Z.; Zhu, Y.; Wang, R.; Yu, H.; Zhou, Y.; Wang, G.; Li, Y.; Wu, H. Evaluating Pore Structure of Shale Reservoirs through Pore Space Multifractal Characterization. Geofluids 2023, 2023, 3042994. [Google Scholar] [CrossRef]
- Sun, Y.; Zhai, C.; Zhao, Y.; Xu, J.; Cong, Y.; Zheng, Y.; Tang, W. Multifractal Analysis and Neural Network Prediction of Pore Structures in Coal Reservoirs Based on NMR T2 Spectra. Energy Fuels 2021, 35, 11306–11318. [Google Scholar] [CrossRef]
- Zheng, S.; Yao, Y.; Liu, D.; Cai, Y.; Liu, Y.; Li, X. Nuclear magnetic resonance T2 cut-offs of coals: A novel method by multifractal analysis theory. Fuel 2019, 241, 715–724. [Google Scholar] [CrossRef]
- Zheng, S.; Sang, S.; Yao, Y.; Liu, D.; Liu, S.; Wang, M.; Feng, G. A multifractal-based method for determination NMR dual T2 cut-offs in coals. J. Pet. Sci. Eng. 2022, 214, 110488. [Google Scholar] [CrossRef]
- Ge, X.; Fan, Y.; Zhu, X.; Chen, Y.; Li, R. Determination of nuclear magnetic resonance T2 cut-off value based on multifractal theory: An application in sandstone with complex pore structure. Geophysics 2015, 80, D11–D21. [Google Scholar] [CrossRef]
- Liu, H.; Xie, H.; Wu, F.; Li, C.; Gao, R. A novel box-counting method for quantitative fractal analysis of three-dimensional pore characteristics in sandstone. Int. J. Min. Sci. Technol. 2024, 34, 479–489. [Google Scholar] [CrossRef]
- Wu, M.; Wang, W.; Shi, D.; Song, Z.; Li, M.; Luo, Y. Improved box-counting methods to directly estimate the fractal dimension of a rough surface. Meas. J. Int. Meas. Confed. 2021, 177, 109303. [Google Scholar] [CrossRef]
- Ficker, T. Normalized multifractal spectra within the box-counting method. Czechoslov. J. Phys. 2000, 50, 389–403. [Google Scholar] [CrossRef]
- Xie, Y.; Michael, Z.; Li, C. Anisotropic characteristics of acoustic emission and the corresponding multifractal spectrum during progressive failure of shale under cyclic loading. Int. J. Rock Mech. Min. Sci. 2023, 165, 105364. [Google Scholar] [CrossRef]
- Liu, M.; Xie, R.; Guo, J.; Jin, G. Characterization of Pore Structures of Tight Sandstone Reservoirs by Multifractal Analysis of the NMR T2 Distribution. Energy Fuels 2018, 32, 12218–12230. [Google Scholar] [CrossRef]
- Fang, S.; Liang, Y.; Liu, Z.; Yang, W. Heterogeneity of tight sandstone reservoirs based on fractal theory: The Xu-6 member of Xujiahe Formation in Guang’an area, central Sichuan Basin. Arab. J. Geosci. 2021, 14, 1515. [Google Scholar]











| Sample Number | Φwater (%) | Φnitrogen (%) | Permeability (mD) | T2 cut-off (ms) | Saturated Water Swi (%) | <2.5 (ms) | 2.5~100 (ms) | Main Peak Position (ms) |
|---|---|---|---|---|---|---|---|---|
| 2 | 3.75 | 6.55 | 1.0173 | 2.98 | 42.91 | 0.41 | 0.51 | 14.97 |
| 8 | 3.25 | 3.50 | 0.1169 | 4.82 | 27.96 | 0.18 | 0.74 | 21.09 |
| 10 | 3.24 | 3.20 | 0.1007 | 7.79 | 71.19 | 0.33 | 0.62 | 4.78 |
| 11 | 5.74 | 5.41 | 0.3871 | 8.39 | 64.36 | 0.25 | 0.68 | 6.00 |
| 12 | 2.62 | 2.80 | 0.1116 | 4.64 | 63.28 | 0.46 | 0.50 | 3.02 |
| 16 | 3.55 | 3.20 | 0.0352 | 6.67 | 63.15 | 0.31 | 0.66 | 6.00 |
| 45 | 10.24 | 9.27 | 3.0358 | 1.30 | 11.49 | 0.13 | 0.86 | 18.82 |
| 52 | 2.22 | 2.01 | 0.0146 | 0.49 | 66.38 | 0.92 | 0.07 | 14.97 |
| 58 | 9.77 | 9.03 | 0.5730 | 5.65 | 51.93 | 0.27 | 0.72 | 7.54 |
| Sample | D−10–D10 | D−10/D10 | D−10–D0 | TM | D2 | T2C-NMR |
|---|---|---|---|---|---|---|
| 1 | 2.54 | 5.07 | 2.17 | 1.36 | 2.95 | 1.60 |
| 2 | 1.74 | 3.30 | 1.50 | 0.39 | 2.99 | 1.60 |
| 3 | 5.03 | 12.61 | 4.46 | 4.26 | 2.98 | 2.68 |
| 4 | 4.04 | 9.45 | 3.52 | 3.80 | 2.99 | 2.03 |
| 5 | 4.43 | 8.78 | 4.00 | 2.41 | 2.99 | 3.10 |
Disclaimer/Publisher’s Note: The statements, opinions and data contained in all publications are solely those of the individual author(s) and contributor(s) and not of MDPI and/or the editor(s). MDPI and/or the editor(s) disclaim responsibility for any injury to people or property resulting from any ideas, methods, instructions or products referred to in the content. |
© 2024 by the authors. Licensee MDPI, Basel, Switzerland. This article is an open access article distributed under the terms and conditions of the Creative Commons Attribution (CC BY) license (https://creativecommons.org/licenses/by/4.0/).
Share and Cite
Zhang, D.; Tian, T.; Shi, Y.; He, Y.; Zhang, J.; Qin, Z. Method for Predicting Bound Water Saturation in Tight Sandstone Reservoirs Using Morphology and Fractal Models. Processes 2024, 12, 1811. https://doi.org/10.3390/pr12091811
Zhang D, Tian T, Shi Y, He Y, Zhang J, Qin Z. Method for Predicting Bound Water Saturation in Tight Sandstone Reservoirs Using Morphology and Fractal Models. Processes. 2024; 12(9):1811. https://doi.org/10.3390/pr12091811
Chicago/Turabian StyleZhang, Di, Tian Tian, Yong Shi, Yaomiao He, Junjian Zhang, and Zhenyuan Qin. 2024. "Method for Predicting Bound Water Saturation in Tight Sandstone Reservoirs Using Morphology and Fractal Models" Processes 12, no. 9: 1811. https://doi.org/10.3390/pr12091811
APA StyleZhang, D., Tian, T., Shi, Y., He, Y., Zhang, J., & Qin, Z. (2024). Method for Predicting Bound Water Saturation in Tight Sandstone Reservoirs Using Morphology and Fractal Models. Processes, 12(9), 1811. https://doi.org/10.3390/pr12091811

