Analysis of Factors Influencing Tight Sandstone Gas Production and Identification of Favorable Gas Layers in the Shan 23 Sub-Member of the Daning-Jixian Block, Eastern Ordos Basin
Abstract
1. Introduction
2. Geological Background
2.1. Structural Geological Conditions
2.2. Strata
3. Data Collection and Analysis Methods
4. Results and Discussion
4.1. Productivity Characteristics
4.2. Analysis of Single Factors
4.2.1. Sedimentary Facies
4.2.2. Thickness
4.2.3. Porosity
4.2.4. Permeability
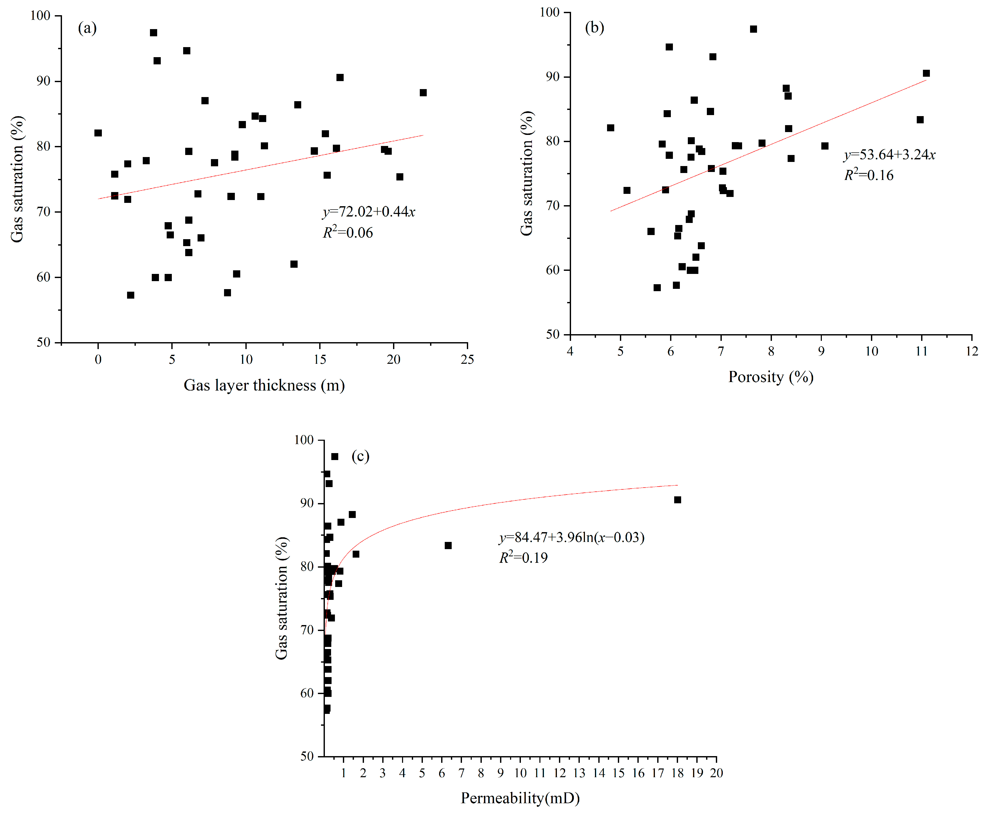
4.2.5. Gas Saturation
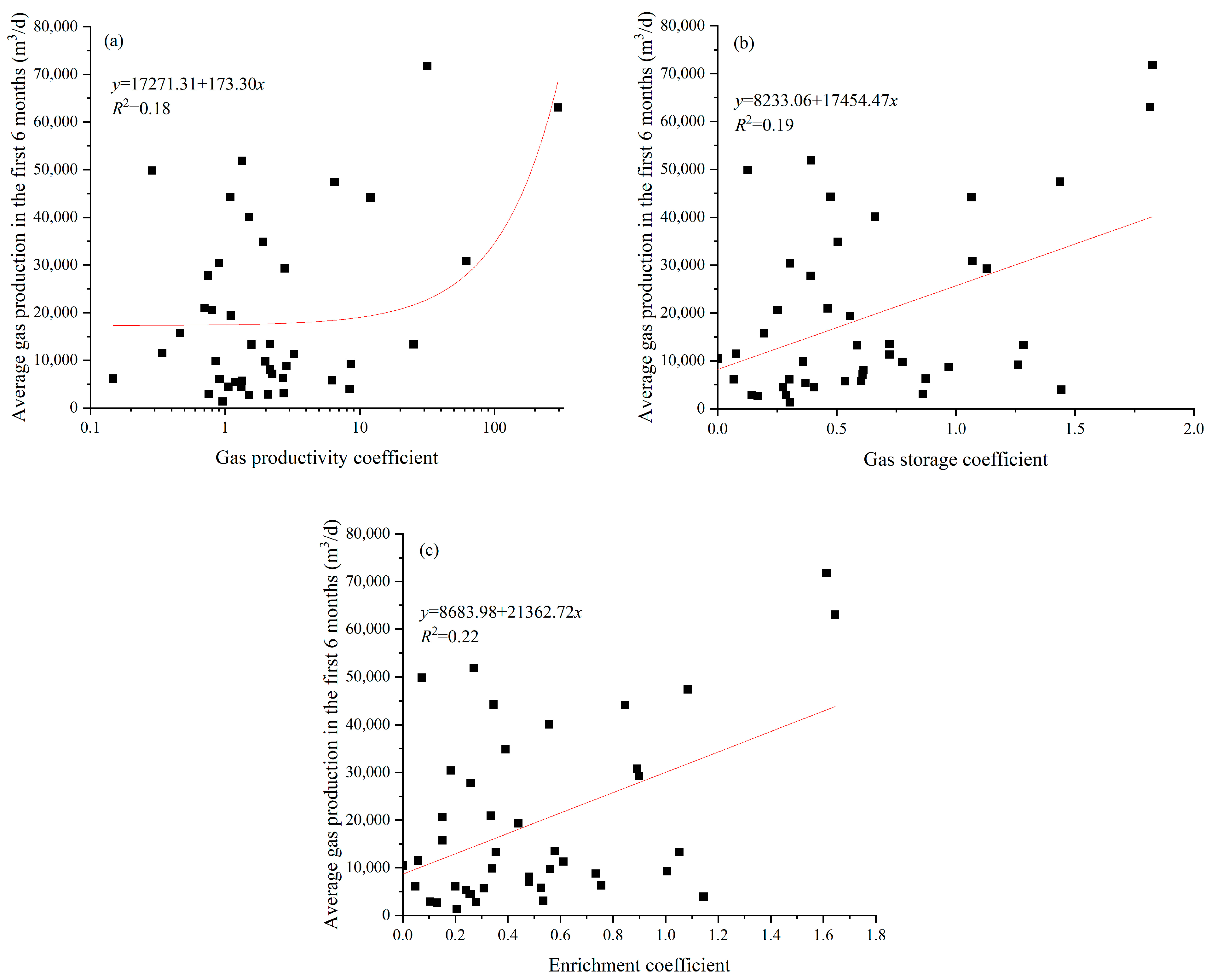
4.3. Gas Productivity Coefficient, Gas Storage Coefficient, and Enrichment Coefficient
4.4. Gas Layer Type
5. Conclusions
- (1)
- According to gas well production statistics, Shan 23 stands out as the primary production layer in the study area. Within the first 6 months of production from the Shan 23 gas layer, daily gas production ranged from 2576.19 to 156,078.17 m3/d, averaging 24,037.9 m3/d. Over the first year, average daily production varied from 2185.05 to 136,806.99 m3/d, averaging 23,469.23 m3/d, indicating relatively stable production from the Shan 23 layer alone.
- (2)
- In the dominant central area of the underwater distributary channel delta front in Shan 23, the sand body exhibits a superimposed cutting type, resulting in high production rates. Conversely, the sand bodies on the periphery gradually transition to superimposed and isolated types, leading to decreased production. Through correlation analyses of gas layer thickness, porosity, permeability, and gas well initial production, it was determined that the gas production from the wells within the same layer is primarily influenced by gas layer thickness, porosity, and permeability. Gas saturation demonstrates a minimal impact on production according to single-factor analysis.
- (3)
- As evaluation factors of favorable areas, the gas productivity coefficient, gas storage coefficient, and enrichment coefficient of the study area exhibit similar distribution patterns, characterized by high values in distributary channel zones and delta lobes. Conversely, areas lacking well-developed skeleton sand bodies generally display lower overall parameter values. By establishing linear correlations between these parameters and average gas production, this study further classified favorable reservoirs within the area. The classification standards for reservoir parameters in various types of gas-producing reservoirs offer guidance for positioning high-yield gas wells in the study area.
Author Contributions
Funding
Data Availability Statement
Conflicts of Interest
References
- Cheng, M.; Xue, W.; Guo, Z.; Hou, M.; Wang, C. Development of Large-Scale Tight Gas Sandstone Reservoirs and Recommendations for Stable Production—The Example of the Sulige Gas Field in the Ordos Basin. Sustainability 2023, 15, 9933. [Google Scholar] [CrossRef]
- Zou, C.; Lin, M.; Ma, F.; Liu, H.; Yang, Z.; Zhang, G.; Yang, Y.; Guan, C.; Liang, Y.; Wang, Y.; et al. Development, challenges and strategies of natural gas industry under carbon neutral target in China. Pet. Explor. Dev. 2024, 51, 418–435. [Google Scholar] [CrossRef]
- Qin, S.; Wang, R.; Shi, W.; Liu, K.; Zhang, W.; Xu, X.; Qi, R.; Yi, Z. Diverse effects of intragranular fractures on reservoir properties, diagenesis, and gas migration: Insight from Permian tight sandstone in the Hangjinqi area, north Ordos Basin. Mar. Pet. Geol. 2022, 137, 105526. [Google Scholar] [CrossRef]
- Zhao, G.; Li, X.; Liu, M.; Dong, C.; Chen, D.; Zhang, J. Reservoir Characteristics of Tight Sandstone and Sweet Spot Prediction of Dibei Gas Field in Eastern Kuqa Depression, Northwest China. Energies 2022, 15, 3135. [Google Scholar] [CrossRef]
- Shen, J.; Zhang, C.; Qin, Y.; Zhang, B. Effect factors on co-mining of sandstone gas and coalbed methanein coal series and threshold of parameter in Linxing block, Ordos Basin. Nat. Gas Geosci. 2017, 28, 479–487. [Google Scholar]
- Zou, C.; Tao, S.; Han, W.; Zhao, Z.; Ma, W.; Li, C.; Bai, B.; Gao, X. Geological and geochemical characteristics and exploration prospect of coal-derived tight sandstone gas in China: Case study of the Ordos, Sichuan, and Tarim Basins. Acta Geol. Sin. Engl. Ed. 2018, 92, 1609–1626. [Google Scholar] [CrossRef]
- Xue, Y.; Jin, Q.; Tian, H. Productivity Influence factors of tight sandstone gas reservoir with water produced. Geofluids 2021, 2021, 9926299. [Google Scholar] [CrossRef]
- Zhao, W.B.; Hu, S.Y.; Deng, X.Q.; Bai, B.; Tao, S.Z.; Sun, B.; Wang, Q.R.; Cheng, D.X. Physical property and hydrocarbon enrichment characteristics of tight oil reservoir in Chang 7 division of Yanchang Formation, Xin’anbian oilfield, Ordos Basin, China. Pet. Sci. 2021, 18, 1294–1304. [Google Scholar] [CrossRef]
- Dang, J. Study on Natural Gas Enrichment Rules and Sweet Spot Evaluation of He8 Member in Daning-Jixian Area. Master’s Thesis, Xi’an Shiyou University, Xi’an, China, 2023. [Google Scholar]
- Wang, W.; Xing, X.J.; Yang, H.T.; Zhang, Z.C.; Deng, L.; Ji, L. Mechanism and Characteristics Analysis of Water-Producing Tight Gas Well in Daning-Jixian Block. In Proceedings of the International Field Exploration and Development Conference 2023; Springer Series in Geomechanics and Geoengineering; Lin, J., Ed.; Springer: Singapore, 2023. [Google Scholar] [CrossRef]
- Zhao, L.; Wen, G.; Li, X.; Li, X.; Li, Y.; Shi, X.; Yang, M. Evaluation of the “Sweet Spot Area” of Tight Sandstone Gas Reservoirs in the Shanxi Formation 2-3 Sub-member of the Daning-Jixian Block in the Ordos Basin. Nat. Gas Ind. 2018, 38, 5–10. [Google Scholar]
- Shi, M. Logging Evaluation of Tight Sandstone Reservoir Effectiveness—A Case Study of Daning-Jixian Area. Master’s Thesis, Xi’an Shiyou University, Xi’an, China, 2021. [Google Scholar]
- Jin, H.; Liu, C.; Guo, Z.; Zhang, Y.; Niu, C.; Wang, D.; Ling, Y. Rock physical modeling and seismic dispersion attribute inversion for the characterization of a tight gas sandstone reservoir. Front. Earth Sci. 2021, 9, 641651. [Google Scholar] [CrossRef]
- Zhong, G.; Li, S.; Tang, D.; Tian, W.; Lin, W.; Feng, P. Study on Co-production compatibility evaluation method of multilayer tight gas reservoir. J. Nat. Gas Sci. Eng. 2022, 108, 104840. [Google Scholar] [CrossRef]
- Zhang, Y.; Jiang, S.; He, Z.; Wang, Y.; Guo, M.; Zhu, G.; Cai, D.; Lu, S.; Xiao, D.; Li, Y.; et al. Characteristics of heterogeneous diagenesis and modification to physical properties of Upper Paleozoic tight gas reservoir in eastern Ordos Basin. J. Pet. Sci. Eng. 2022, 208, 109243. [Google Scholar] [CrossRef]
- Teng, Y.; Er, C.; Zhao, J.; Guo, Q.; Shen, C.; Tan, S. Pore structure characterization based on NMR experiment: A case from the Shanxi Formation tight sandstones in the Daning-Jixian area, eastern Ordos Basin. Energy Geosci. 2023, 4, 100192. [Google Scholar] [CrossRef]
- Shi, Z. Evaluation of Upper Paleozoic Source Rocks and Basin Simulation Study in Daning-Jixian Block. Master’s Thesis, Xi’an Shiyou University, Xi’an, China, 2023. [Google Scholar]
- Cui, J. The Pore Structure of Tight Sandstone of Shanxi Formation in Daning-Jixian Area. Master’s Thesis, Taiyuan University of Technology, Taiyuan, China, 2018. [Google Scholar]
- Yin, X.D.; Jiang, S.; Chen, S.J.; Wu, P.; Gao, W.; Gao, J.X.; Shi, X. Impact of rock type on the pore structures and physical properties within a tight sandstone reservoir in the Ordos Basin, NW China. Pet. Sci. 2020, 17, 896–911. [Google Scholar] [CrossRef]
- Li, Y.; Wen, G.; Li, X.; Chang, Y.; Yu, Y.; Zhao, L.; Shi, X.; Li, X.; Zhao, Y. A prediction method for tight sandstone gas reservoirs in coal bearing strata under sedimentary microfacies control: Taking the Shanxi Formation of the Lower Permian in the Daning Jixian Block of the Ordos Basin as an example. Nat. Gas Ind. 2018, 38 (Suppl. S1), 11–17. [Google Scholar] [CrossRef]
- Li, X.; Kang, K.; Tian, H.; Gu, X.; Liu, H. Evaluation of gas-bearing properties of tight Permian sandstone in Daning-Jixian Area. Yunnan Chem. Technol. 2017, 44, 90–92. [Google Scholar]
- Qin, R.; Yu, J.; Huang, T. A post-fracturing productivity appraisal technology for tight sandstone gas reservoirs using logging data: Taking Linxing block of Ordos basin as an example. China Offshore Oil Gas 2019, 31, 67–76. [Google Scholar]
- Liu, J.; Liu, Z.; Liu, K.; Xiao, K.; Huang, Y.; Jin, W. Characterization of favorable lithofacies in tight sandstone reservoirs and its significance for gas exploration and exploitation: A case study of the 2nd Member of Triassic Xujiahe Formation in the Xinchang area, Sichuan Basin. Pet. Explor. Dev. 2020, 47, 1194–1205. [Google Scholar] [CrossRef]
- Guo, Z.; Zhao, D.; Liu, C. Gas prediction using an improved seismic dispersion attribute inversion for tight sandstone gas reservoirs in the Ordos Basin, China. J. Nat. Gas Sci. Eng. 2022, 101, 104499. [Google Scholar] [CrossRef]
- Jia, A.; Wei, Y.; Guo, Z.; Wang, G.; Meng, D.; Huang, S. Development status and prospect of tight sandstone gas in China. Nat. Gas Ind. 2022, 42, 83–92. [Google Scholar] [CrossRef]
- Yin, S.; Dong, L.; Yang, X.; Wang, R. Experimental investigation of the petrophysical properties, minerals, elements and pore structures in tight sandstones. J. Nat. Gas Sci. Eng. 2020, 76, 103189. [Google Scholar] [CrossRef]
- Shi, S. Study on Comprehensive Evaluation Method of Tight Sandstone Gas Reservoir. Master’s Thesis, Xi’an Shiyou University, Xi’an, China, 2016. [Google Scholar]
- Dong, L.; Lin, Y.; Wu, Y.; Li, X.; Xing, Y.; Ma, X.; Shu, Y. Physical property and gas content characters of sandstone in Daning-Jixian Area Upper Paleozoic. China Energy Environ. Prot. 2018, 40, 87–94. [Google Scholar]
- Shi, S.; Er, C.; Zhang, W.; Zhao, J.; Zhang, Y.; Teng, Y. Pore structure characteristics of Upper Paleozoic tight reservoir in Daning Jixian Area of Ordos Basin and its relationship with clay minerals. J. Xi’an Shiyou Univ. (Nat. Sci. Ed.) 2023, 38, 1–9. [Google Scholar]
- Teng, Y. Study on the Pore Structure and Seepage Characteristics of the Shanxi Formation in the Daning-Jixian Area of Eastern Ordos. Master’s Thesis, Xi’an Shiyou University, Xi’an, China, 2023. [Google Scholar]
- Li, Z.; Li, W.; Li, Y.; Yang, B.; Bai, J.; Zhang, Q. Diagenesis of sandstone and quantitative analysis of porosity evolution of He8 section in the East III part of Sulige, Ordos Basin. Chin. J. Geol. 2020, 55, 742–756. [Google Scholar]
- Yi, F.; Pang, H.; Zhao, G.; Zhu, X.; Wang, Q.; Wu, Z.; Li, B.; Sun, X.; Li, Y.; Ma, K. Gas-water distribution and main controlling factors of tight gas reservoir in block Su 39, Ordos Basin. Nat. Gas Geosci. 2023, 34, 1815–1827. [Google Scholar] [CrossRef]
- Wang, Z.; Fu, X.; Pan, J.; Deng, Z. Effect of N2/CO2 injection and alternate injection on volume swelling/shrinkage strain of coal. Energy 2023, 275, 127377. [Google Scholar] [CrossRef]
- Jin, H.; Liu, C.; Guo, Z.Q. Gas prediction in tight sandstones based on the rock-physics-derived seismic amplitude variation versus offset method. Pet. Sci. 2024, in press. [CrossRef]
- Dang, J.; Zhao, J.; Er, C.; Ren, D. Reservoir characteristics and its gas control of He 8 Member in Daning-Jixian area. Fault-Block Oil Gas Field 2023, 30, 529–534. [Google Scholar]
- Zhao, W.B.; Zhang, H.; Shi, Y.H.; Fu, X.X.; Hui, J.; Jing, X.Y. Geological characteristics and exploration potential of the coal measure gas from Shan 2 of the Shanxi formation in the eastern Ordos Basin. Front. Earth Sci. 2023, 11, 1142141. [Google Scholar] [CrossRef]













| Foramtion | Member | Sub-Member | Sublayer | Main Signing Layer |
|---|---|---|---|---|
| Shihezi Formation (P2h) | He8 | Luotuobozi sandstone (K4) | ||
| Shanxi Formation (P1s) | Shan1 | Shan11 | Shan11 mudstone | |
| Shan12 | Shan12 sandstone | |||
| Shan13 | Tiemogou sandstone | |||
| Shan2 | Shan21 | No. 1 coal; No. 2 coal | ||
| Shan22 | No. 3 coal; No. 4 coal | |||
| Shan23 | Shan 23−1 | No. 5 coal | ||
| Shan 23−2 | ||||
| Shan 23−3 | Beichagou sandstone (K3) | |||
| Taiyuan Formation (P1t) | Tai1 | Dongdayao limestone | ||
| Tai2 |
| Well | Gas Layer Thickness (m) | Porosity (%) | Permeability (mD) | Gas Saturation (%) | Gas Production Coefficient | Gas Storage Coefficient | Gas Enrichment Coefficient | A6M (m3/d) | A1Y (m3/d) | Well Type |
|---|---|---|---|---|---|---|---|---|---|---|
| D1 | 15.50 | 6.26 | 0.18 | 75.65 | 2.85 | 0.97 | 0.73 | 14,610.58 | 12,494.31 | II |
| D2 | 9.25 | 6.57 | 0.24 | 78.84 | 2.24 | 0.61 | 0.48 | 7126.12 | 6657.75 | III |
| D3 | 9.25 | 6.62 | 0.23 | 78.43 | 2.15 | 0.61 | 0.48 | 8083.06 | 8147.65 | III |
| D4 | 19.63 | 7.35 | 0.43 | 79.30 | 8.40 | 1.44 | 1.14 | 12,903.87 | 14,268.91 | II |
| D5 | 11.13 | 5.93 | 0.14 | 84.31 | 1.50 | 0.66 | 0.56 | 40,110.41 | 33,734.78 | I |
| D6 | 3.88 | 6.48 | 0.21 | 60.00 | 0.80 | 0.25 | 0.15 | 20,605.85 | 27,280.41 | I |
| D7 | 4.00 | 6.84 | 0.26 | 93.14 | 1.06 | 0.27 | 0.25 | 4479.12 | 3187.73 | III |
| D8 | 4.75 | 6.39 | 0.19 | 60.00 | 0.90 | 0.30 | 0.18 | 30,377.70 | 24,113.63 | I |
| D9 | 13.50 | 6.47 | 0.20 | 86.41 | 2.69 | 0.87 | 0.75 | 10,290.40 | 7264.50 | III |
| D10 | 2.00 | 7.18 | 0.38 | 71.93 | 0.75 | 0.14 | 0.10 | 2904.11 | 2232.95 | III |
| D11 | 3.25 | 5.97 | 0.14 | 77.87 | 0.46 | 0.19 | 0.15 | 15,766.27 | 15,985.11 | II |
| D12 | 6.00 | 5.97 | 0.14 | 94.66 | 0.85 | 0.36 | 0.34 | 9841.48 | 6376.64 | III |
| D13 | 3.75 | 7.65 | 0.55 | 97.43 | 2.08 | 0.29 | 0.28 | 2837.64 | 3655.40 | III |
| D14 | 10.63 | 6.79 | 0.31 | 84.66 | 3.25 | 0.72 | 0.61 | 11,325.85 | 14,228.44 | II |
| D15 | 6.75 | 7.03 | 0.16 | 72.78 | 1.09 | 0.47 | 0.35 | 44,262.86 | 45,016.87 | I |
| D16 | 15.38 | 8.35 | 1.63 | 81.98 | 25.09 | 1.28 | 1.05 | 32,964.45 | 43,018.36 | I |
| D17 | 2.20 | 5.73 | 0.13 | 57.30 | 0.29 | 0.13 | 0.07 | 49,835.02 | 62,647.43 | I |
| D18 | 20.42 | 7.04 | 0.32 | 75.38 | 6.49 | 1.44 | 1.08 | 47,429.52 | 41,208.90 | I |
| D19 | 14.63 | 7.29 | 0.82 | 79.34 | 12.02 | 1.07 | 0.85 | 44,169.63 | 43,205.49 | I |
| D20 | 7.88 | 6.41 | 0.24 | 77.56 | 1.91 | 0.50 | 0.39 | 62,718.31 | 53,913.13 | I |
| D21 | 9.75 | 10.97 | 6.33 | 83.35 | 61.76 | 1.07 | 0.89 | 30,797.01 | 31,594.77 | I |
| D22 | 6.96 | 5.61 | 0.11 | 66.03 | 0.74 | 0.39 | 0.26 | 27,778.48 | 27,823.98 | I |
| D23 | 6.13 | 6.41 | 0.22 | 68.76 | 1.34 | 0.39 | 0.27 | 64,813.60 | 62,861.19 | I |
| D24 | 11.00 | 7.05 | 0.18 | 72.36 | 1.99 | 0.78 | 0.56 | 9778.84 | 8790.40 | III |
| D25 | 16.13 | 7.82 | 0.53 | 79.73 | 8.59 | 1.26 | 1.01 | 9235.05 | 7380.57 | III |
| D26 | 1.13 | 6.81 | 0.30 | 75.79 | 0.34 | 0.08 | 0.06 | 11,514.65 | 10,901.42 | II |
| D27 | 11.25 | 6.41 | 0.19 | 80.11 | 2.15 | 0.72 | 0.58 | 13,490.91 | 14,596.22 | II |
| D28 | 6.13 | 9.07 | 0.18 | 79.27 | 1.10 | 0.56 | 0.44 | 19,364.17 | 19,034.96 | II |
| D29 | 9.00 | 5.13 | 0.08 | 72.40 | 0.70 | 0.46 | 0.33 | 20,939.36 | 19,940.57 | II |
| D30 | 4.88 | 6.16 | 0.19 | 66.50 | 0.91 | 0.30 | 0.20 | 6106.00 | 7287.17 | III |
| D31 | 7.23 | 8.34 | 0.86 | 87.03 | 6.24 | 0.60 | 0.52 | 5786.81 | 11,100.52 | II |
| D32 | - | 4.80 | 0.12 | 82.10 | - | - | - | 10,476.88 | 14,903.08 | II |
| D33 | 9.38 | 6.23 | 0.17 | 60.54 | 1.58 | 0.58 | 0.35 | 25,037.59 | 22,708.88 | I |
| D34 | 1.13 | 5.90 | 0.13 | 72.49 | 0.15 | 0.07 | 0.05 | 6145.11 | 7087.51 | III |
| D35 | 8.75 | 6.11 | 0.15 | 57.69 | 1.34 | 0.53 | 0.31 | 5700.73 | 4993.08 | III |
| D36 | 6.13 | 6.61 | 0.22 | 63.81 | 1.32 | 0.40 | 0.26 | 4492.78 | 5028.65 | III |
| D37 | 13.25 | 6.50 | 0.21 | 62.05 | 2.72 | 0.86 | 0.53 | 3099.96 | 2862.57 | III |
| D38 | 4.75 | 6.37 | 0.20 | 67.90 | 0.96 | 0.30 | 0.21 | 2576.19 | 2185.05 | III |
| D39 | 19.38 | 5.83 | 0.14 | 79.58 | 2.77 | 1.13 | 0.90 | 58,031.11 | 55,725.77 | I |
| D40 | 2.00 | 8.40 | 0.75 | 77.37 | 1.50 | 0.17 | 0.13 | 2696.91 | 3030.05 | III |
| D41 | 16.38 | 11.09 | 18.02 | 90.57 | 295.04 | 1.82 | 1.64 | 88,026.83 | 80,251.52 | I |
| D42 | 22.00 | 8.30 | 1.44 | 88.25 | 31.64 | 1.83 | 1.61 | 156,078.17 | 136,806.99 | I |
| D43 | 6.00 | 6.14 | 0.20 | 65.31 | 1.19 | 0.37 | 0.24 | 5385.80 | 5385.80 | III |
| Evaluation Parameters | Gas Layer Type | ||
|---|---|---|---|
| I | II | III | |
| Average gas production (m3/d) | >20,000 | 10,000~20,000 | <10,000 |
| Sedimentary facies | Distributary channel zones and delta lobes | The river channel flank | The river channel edge |
| Gas layer thickness (m) | >7.14 | 3.20~7.14 | <3.20 |
| Porosity (%) | >7.50 | 6.54~7.50 | <6.54 |
| Permeability (mD) | >0.50 | 0.1~0.5 | <0.1 |
| Gas productivity coefficient | >3.57 | 0.32~3.57 | <0.32 |
| Gas storage coefficient | >0.67 | 0.10~0.67 | <0.10 |
| Enrichment coefficient | >0.53 | 0.06~0.53 | <0.06 |
Disclaimer/Publisher’s Note: The statements, opinions and data contained in all publications are solely those of the individual author(s) and contributor(s) and not of MDPI and/or the editor(s). MDPI and/or the editor(s) disclaim responsibility for any injury to people or property resulting from any ideas, methods, instructions or products referred to in the content. |
© 2024 by the authors. Licensee MDPI, Basel, Switzerland. This article is an open access article distributed under the terms and conditions of the Creative Commons Attribution (CC BY) license (https://creativecommons.org/licenses/by/4.0/).
Share and Cite
Sun, J.; Chen, M.; Wang, B.; Wang, G.; Tian, H.; Hou, J.; Zhu, B. Analysis of Factors Influencing Tight Sandstone Gas Production and Identification of Favorable Gas Layers in the Shan 23 Sub-Member of the Daning-Jixian Block, Eastern Ordos Basin. Processes 2024, 12, 1810. https://doi.org/10.3390/pr12091810
Sun J, Chen M, Wang B, Wang G, Tian H, Hou J, Zhu B. Analysis of Factors Influencing Tight Sandstone Gas Production and Identification of Favorable Gas Layers in the Shan 23 Sub-Member of the Daning-Jixian Block, Eastern Ordos Basin. Processes. 2024; 12(9):1810. https://doi.org/10.3390/pr12091810
Chicago/Turabian StyleSun, Junyi, Ming Chen, Bo Wang, Gang Wang, Haonian Tian, Jie Hou, and Boning Zhu. 2024. "Analysis of Factors Influencing Tight Sandstone Gas Production and Identification of Favorable Gas Layers in the Shan 23 Sub-Member of the Daning-Jixian Block, Eastern Ordos Basin" Processes 12, no. 9: 1810. https://doi.org/10.3390/pr12091810
APA StyleSun, J., Chen, M., Wang, B., Wang, G., Tian, H., Hou, J., & Zhu, B. (2024). Analysis of Factors Influencing Tight Sandstone Gas Production and Identification of Favorable Gas Layers in the Shan 23 Sub-Member of the Daning-Jixian Block, Eastern Ordos Basin. Processes, 12(9), 1810. https://doi.org/10.3390/pr12091810

