Abstract
The scale-up and control of the acrylamide polymerization process in solution is presented. The viscosity is modeled as a function of temperature and monomer concentration. Four cases are analyzed: (i) Keeping the similarity principles to carry out the polymerization using water to heat and cool the process, (ii) using water with nanoparticles to heat and cool the process, (iii) adding the initiator at different temperatures to start the polymerization, and (iv) modifying the heat-transfer area by changing the aspect ratio . The reactor and jacket temperature profiles, the reaction conversion, and the average molecular weight are presented. The main finding is that increasing the heat-transfer area by modifying the ratio also increases the efficiency of the polymerization process. Futhermore, the numerical results indicate that the addition of the initiator at low temperatures increases the molecular weight of the final product.
1. Introduction
Batch reactor control on plant production appeared in the 1950s. It was not until 1970 that considerations were made about automation and control plants [1]. In a whole chemical process, the batch reactor is the main element, and its adequate control is one of the most critical problems [2]. Therefore, reactor selection is essential in numerous industrial and engineering applications and is subject to many requirements related to the reaction mechanism, production capacity, reaction heat, overall heat-transfer coefficient, and many others [3]. In past decades, industry plant decisions were based on experience and were not supported by experimental evidence or mathematical models [4]. Since then, batch reactor control has been relevant in chemical process analysis, specifically polymerization. In a batch polymerization reactor, a large amount of heat must be removed from the reactor to obtain a stable temperature profile [5].
Scaling-up should be understood as taking a process from laboratory scale (small size), pilot scale (medium size), and industrial scale (large size), and achieving the same final product characteristics [3,6,7,8]. In batch polymerization processes, heat transfer, mixing, viscosity changes, and temperature control are very important factors that must be considered to ensure product quality. Krämer et al. [9] presented a filter (Extended Kalman) to simultaneously determine the thermal reaction and heat-transfer coefficient for stirred tank, semi-continuous, or continuous reactors. In addition, they reported that the developed model presented inconsistencies when comparing the results between a laboratory and an industrial reactor. Wieme et al. [10] performed numerical simulations considering batch reactors of different sizes for the suspension polymerization of vinyl chloride. They solved the energy balances for the suspension, reactor wall, and cooling agent in the reactor jacket simultaneously with mass balances for the initiator and monomer, along with the moment equations in both the monomer-rich and polymer-rich phases. Abubaker and Mustafa developed a model for polypropylene production in a semi-continuous reactor for a local petrochemical company [11]. Proposing a scale-up model for polymerization reactors is a complicated task [12]. Johnson et al. [13] reported the enhancing process control modeling temperatures within jacketed batch reactors.
Experimental works have reported that for solution polymerization of acrylamide with high percentages of mononer, the exothermic reaction generates products with high molecular weight and viscosity [14,15,16,17]. Nanofluids are important in engineering applications due to their capability to increase heat transfer [18,19,20,21,22]. This is because nanofluids can be used as cooling agents in the reactor jacket to help control its temperature. In this work, a simple model for the scale-up and control of the acrylamide polymerization process in solution is studied numerically by employing values of the variables and parameters obtained from experimental works available in the literature. For this purpose, four cases are considered: (i) using the geometrical similarity principle to scale-up the reactor, (ii) analyzing the effect of nanofluids as cooling agents, (iii) modifying the geometry (aspect ratio) of the reactor, and (iv) assessing the effect of adding the initiator at different temperatures for a 1000 L reactor size. For all cases, the evolution of the average molecular weights is determined (see Appendix A.1 and Appendix A.2). This work focusses on macroscopical parameters that involve the scale-up process and control. To find an important analysis of molecular and microscopic parameters, the reader is referred to [23,24].
2. Problem Formulation
This section presents the problem formulation starting with the reactor description, shown in Figure 1. Bear in mind that in order to scale a polymerization process, the similarity principles (geometrical, thermal, chemical, and mechanical) are taken into account.
Figure 1.
Main reactor batch dimensions to scale-up.
2.1. Kinetic Model
The equations that describe the evolution of the initiator concentration, radical generation, and conversion are [16]:
where f, I, , M, R, , and t are the radical fraction, initiator concentration, initial monomer concentration, monomer concentration, radical concentration, polymerization rate, and time, respectively. In Equations (1)–(3), , , and are the kinetic constants of dissociation, termination, and propagation, respectively. Subscript 0 corresponds to the initial conditions. According to Ishige et al. [14], can be assumed as a function of temperature, while and are assumed constant [16] (see Appendix A.2).
2.2. Energy Balances for Reactor and Jacket
The equations describing the temperature evolution of the reactor and the jacket temperature are:
where A, , , U, , , , T, and U are the heat-transfer area, specific heat capacity, heat loss, overall heat-transfer coefficient, density of reactor content, density of jacket content, viscous dissipation and temperature, and the overall heat-transfer coefficient, respectively. Subscripts r and j correspond to the reactor and jacket, respectively. The control system used is the simplest, called on–off, and the equation that describes it is:
where F, S, , , , and are the inlet flow rate, percentage of valve opening, master control, slave control, jacket temperature as a function of control, and set point reactor temperature, respectively. The subscripts h and c indicate hot and cold, respectively. The error of the reactor control at different sizes when the process temperature is 70 °C is shown in Table 1.
Table 1.
Reactor values at controlled medium temperature.
2.3. Overall Heat-Transfer Coefficient
The overall heat-transfer coefficient is estimated from:
where , , , and are the inner and outer diameter of the reactor wall and the local heat-transfer coefficients in the vessel and the jacket, respectively. Also, , , and are the inner and outer fouling on each side of the reactor wall and the thermal conductivity of the reactor wall, respectively.
2.4. Temperature- and Monomer Concentration-Dependent Viscosity
In this work, a relationship for viscosity proposed by Tapia [15] derived from experimental work is used, where viscosity Equation (10) is a function of temperature and monomer concentration (wt%), decreasing logarithmically with temperature but increasing exponentially with increasing monomer concentration, as shown in Figure 2a. Table 2 shows the values of the viscosity parameters.
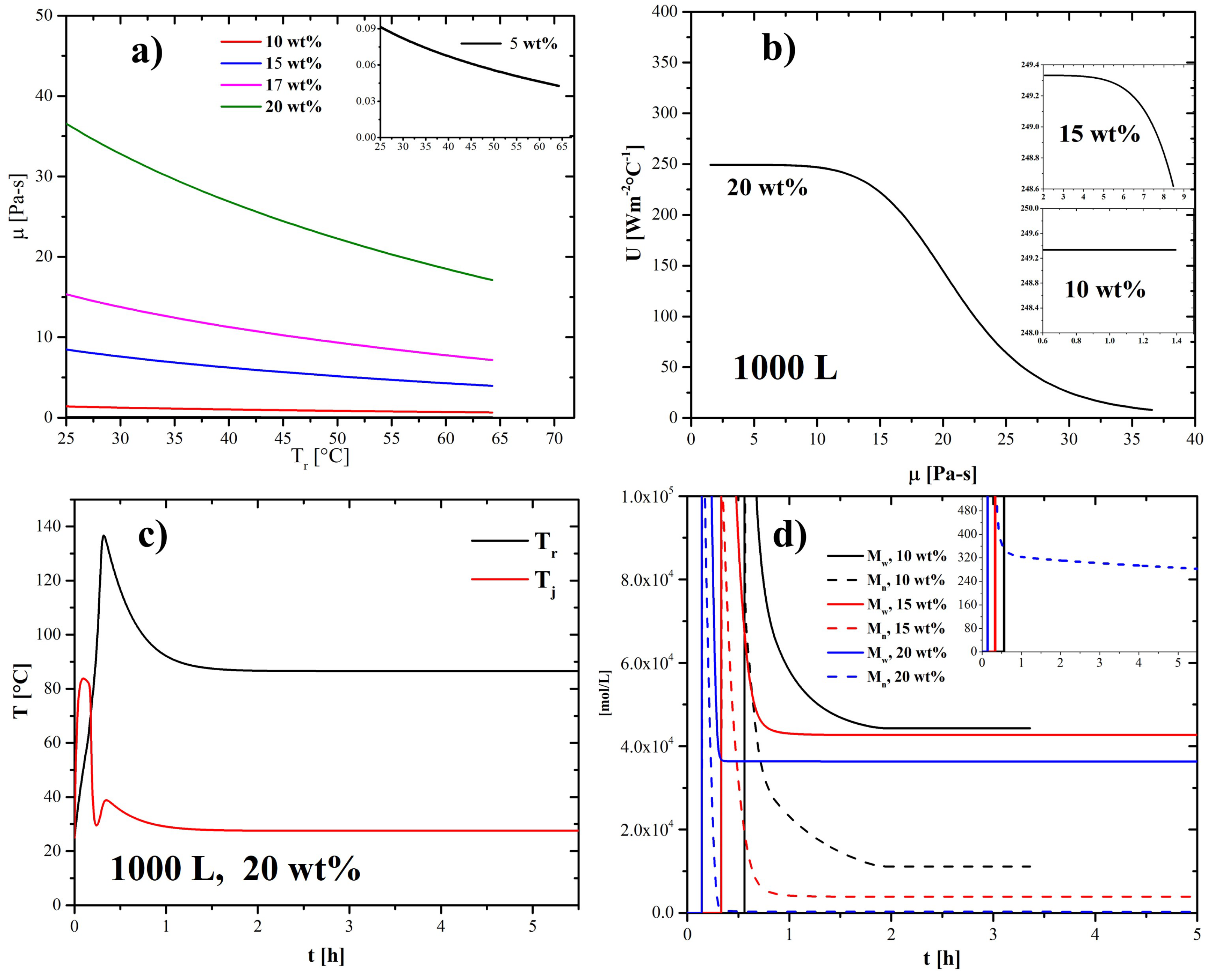
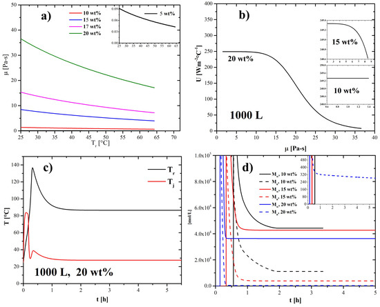
Figure 2.
(a) Viscosity and (b) overall heat-transfer coefficient at different wt%. (c) Reactor and jacket temperature profiles at 1000 L with 20 wt%. (d) The molecular weights () and number () at differents wt%.
Table 2.
Viscosity parameters obtained from Tapia [15].
3. Numerical Simulations
In a batch reactor, the reactants are added in solution. Then, a heating fluid (water at 90 °C) flows through the jacket, and the temperature of the reactive mixture is increased to a prescribed temperature (60 °C) prior to adding the initiator. Once the polymerization process begins, the stirring is maintained at 50 rpm. The objective is to control the process (using an on–off controller) to a fixed temperature of 70 °C, considering the principle of thermal similarity for different reactor sizes. When the polymerization conversion reaches 98%, the product is cooled to 25 °C with water at 10 °C, and finally, the final product is extracted from the reactor.
4. Results and Discussion
4.1. Scaling-Up Based on Similarity Principles
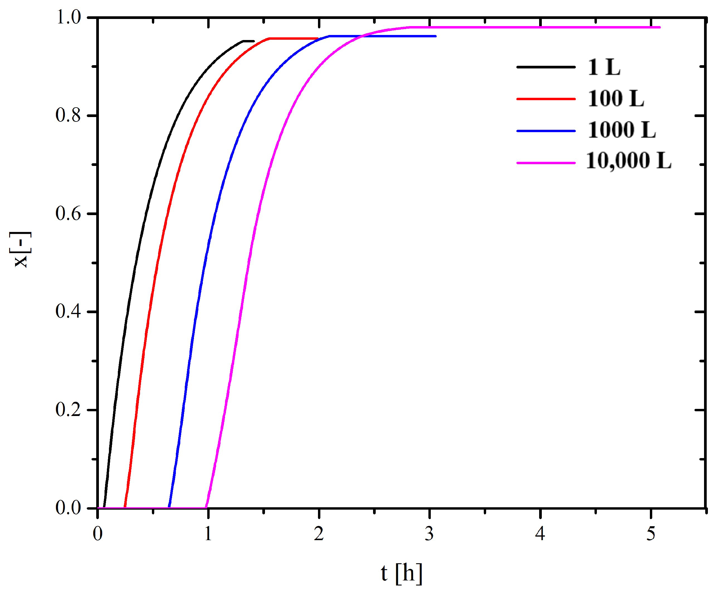
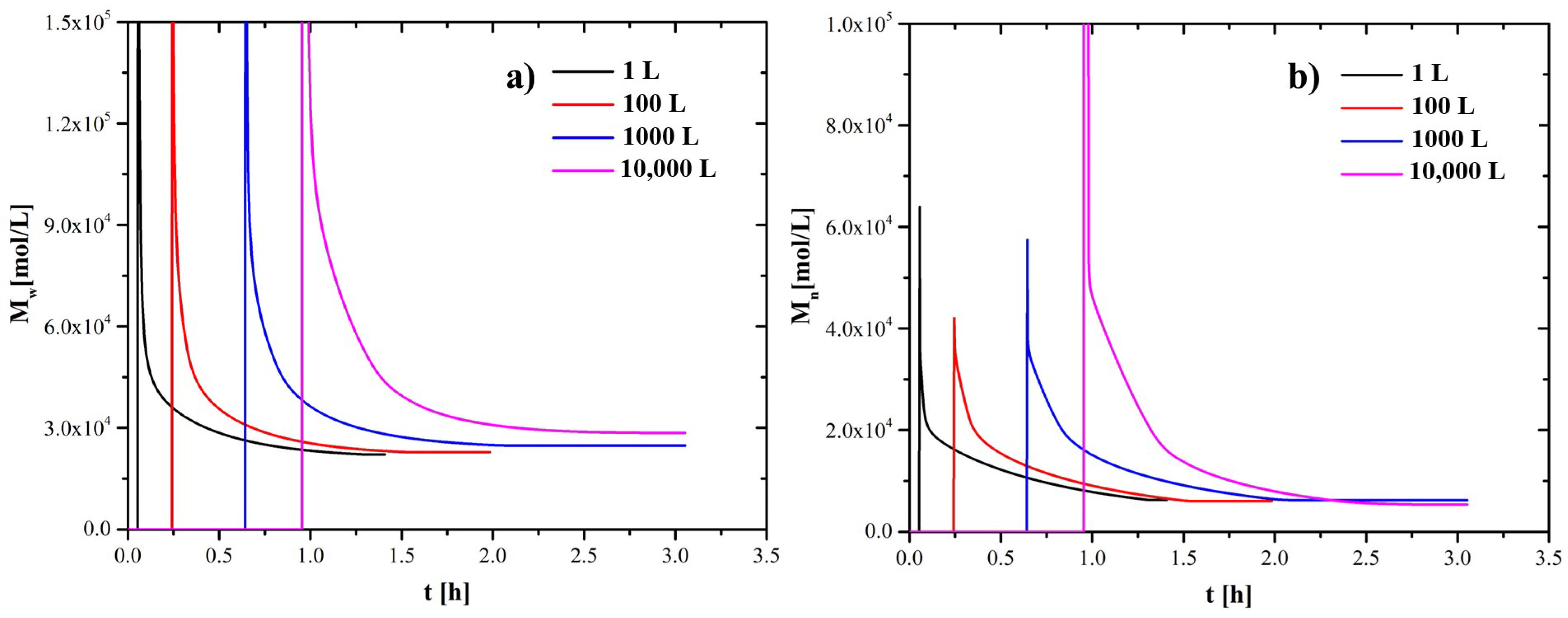
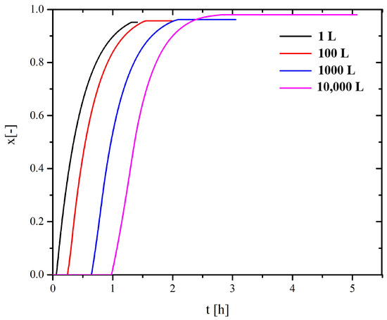
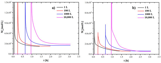
The reactor is scaled-up on the principle of geometrical similarity and the following operating conditions: The acrylamide solution polymerization is carried out in a batch reactor. The characteristic dimensions of the reactor are described in Figure 1. Table 3 shows the characteristic dimensions as a function of the reactor diameter. Figure 2a shows viscosity behavior as a temperature function for different monomer percentages (solids, wt%). According to Equation (10), the viscosity decreases logarithmically with increasing temperature; on the other hand, with increasing monomer percentage, the viscosity increases exponentially, the latter having the most significant effect, noting that for percentages higher than 15% the viscosity rises considerably. It is important to mention that for polymerizations with high viscosity, heat-transfer problems arise due to viscous dissipation, which complicates heat removal and mixing; in general, it is a challenge to process and control polymerization systems under these conditions. Figure 2b presents the overall heat-transfer coefficient U as a function of viscosity. For lower monomer percentages, U remains constant (250 W/m2°C) because the viscosity is low and also constant, see Figure 2a. On the other hand, as viscosity increases (increase in solids), U decreases considerably due to a reduction in the convective process rate, indicating that heat conduction dominates heat transfer during polymerization. Figure 2c displays the evolution of the reactor and jacket temperature for a 1000 L reactor. The reactor temperature exceeds the control temperature () in short periods of time because the reaction is exothermic, which makes it impossible to control the temperature of the process, so it does not satisfy the thermal similarity principle, indicating a restriction to scale the process. Finally, Figure 2d shows the average molecular weights in weight () and number () as a function of the processing time for different monomer concentrations. It can be observed that once the polymerization begins, there are high molecular weights due to the high concentration of radicals. Consequently, and decrease to a constant value in the order of . Ishige and Giz [14,16] observed this behavior in their experimental results for the same polymerization system. Based on the previous results, we conclude the following: For polymerization systems with high viscosity increments, it is one of the main restrictions to scale-up the process, due to heat transfer, mixing, and control problems. According to the above, a polymerization with 5 wt% is considered to scale-up. Figure 3 exhibits the evolution of the reactor and jacket temperatures for 1, 100, 1000, and 10,000 L. As can be seen, for all these scales, it is possible to carry out the polymerization process and control. It is important to mention that the 10,000 L reactor has a small overshoot of approximately 2 °C of increase above , generated by the exothermic reaction. The initiator was added at 60 °C for all cases. At 1000 L and 10,000 L, an evident slope change at this temperature is observed. The times of the whole process (heating–polymerization–cooling) are 1.4, 2, 3, and 5.2 h, for the reactors of 1, 100, 1000, and 10,000 L, respectively. It is important to mention that the ratio of cooling/heating times changes significantly with increasing reactor size; this is due to the reduction in the heat-transfer area between the reactor and the jacket. This last point will be discussed in the following sections. Figure 4 presents the conversion profile of polymerization as a function of time for different reactor sizes (1, 100, 1000, 10,000 L). This figure shows the time required to reach the temperature for the onset of polymerization. As expected, the time increases with the reactor size. Figure 5a,b show the average molecular weight () and number () of the acrylamide solution for the different reactor sizes, respectively. Once the initiator is added, the molecular weights increase rapidly at short times due to high radical concentration and then decrease throughout the process until they reach a constant value of and for 98% conversion. This is in agreement with the experimental results presented by Ishige and Giz [14,16].
Table 3.
Main reactor dimensions as a function of the reactor diameter.
Figure 3.
Reactor and jacket temperature profiles at different scales.
Figure 4.
Conversion profile at different scales.
Figure 5.
Average molecular weight (a) and (b) at different reactor scales.
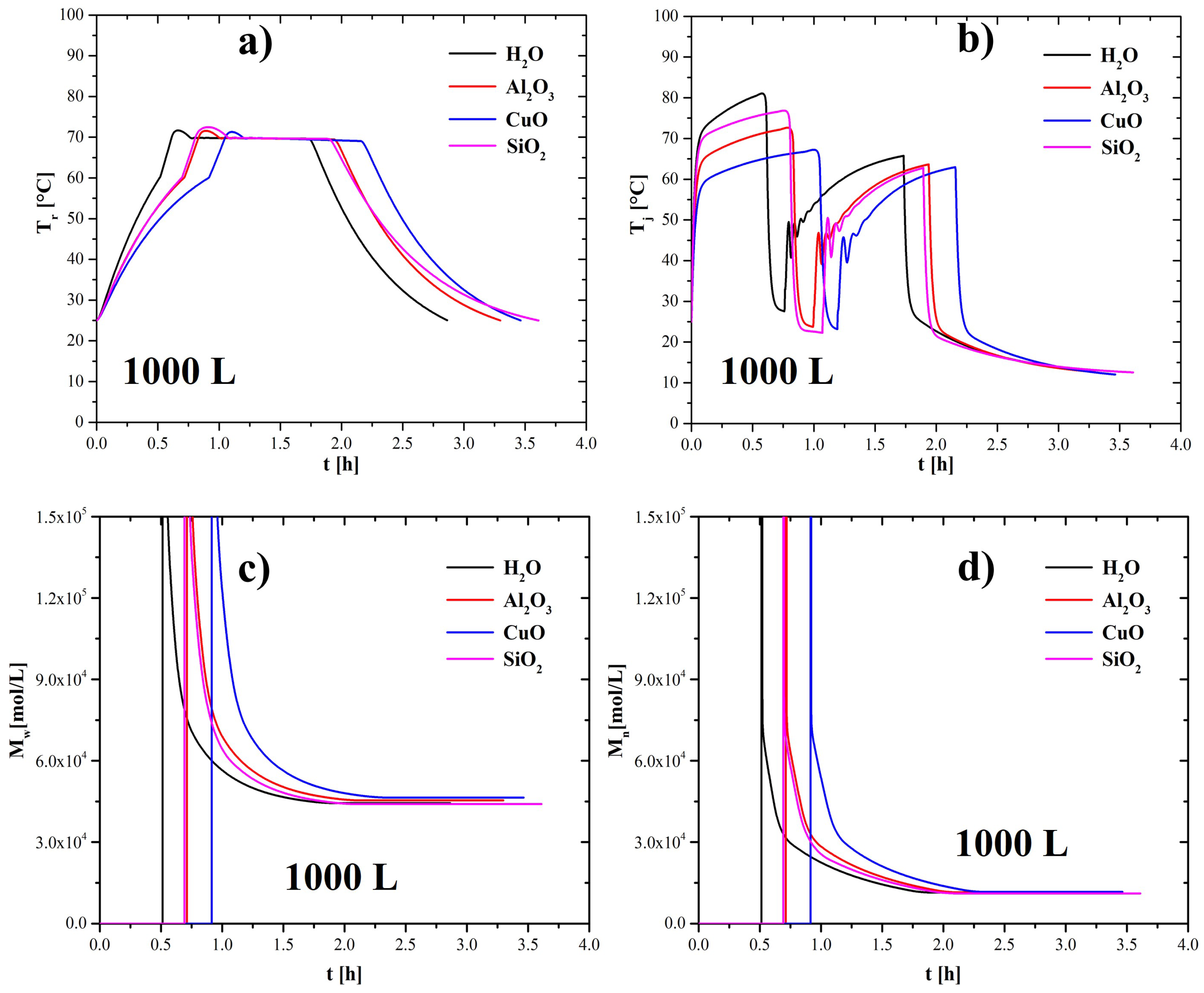
4.2. Effect of Nanoparticles in the Coolant
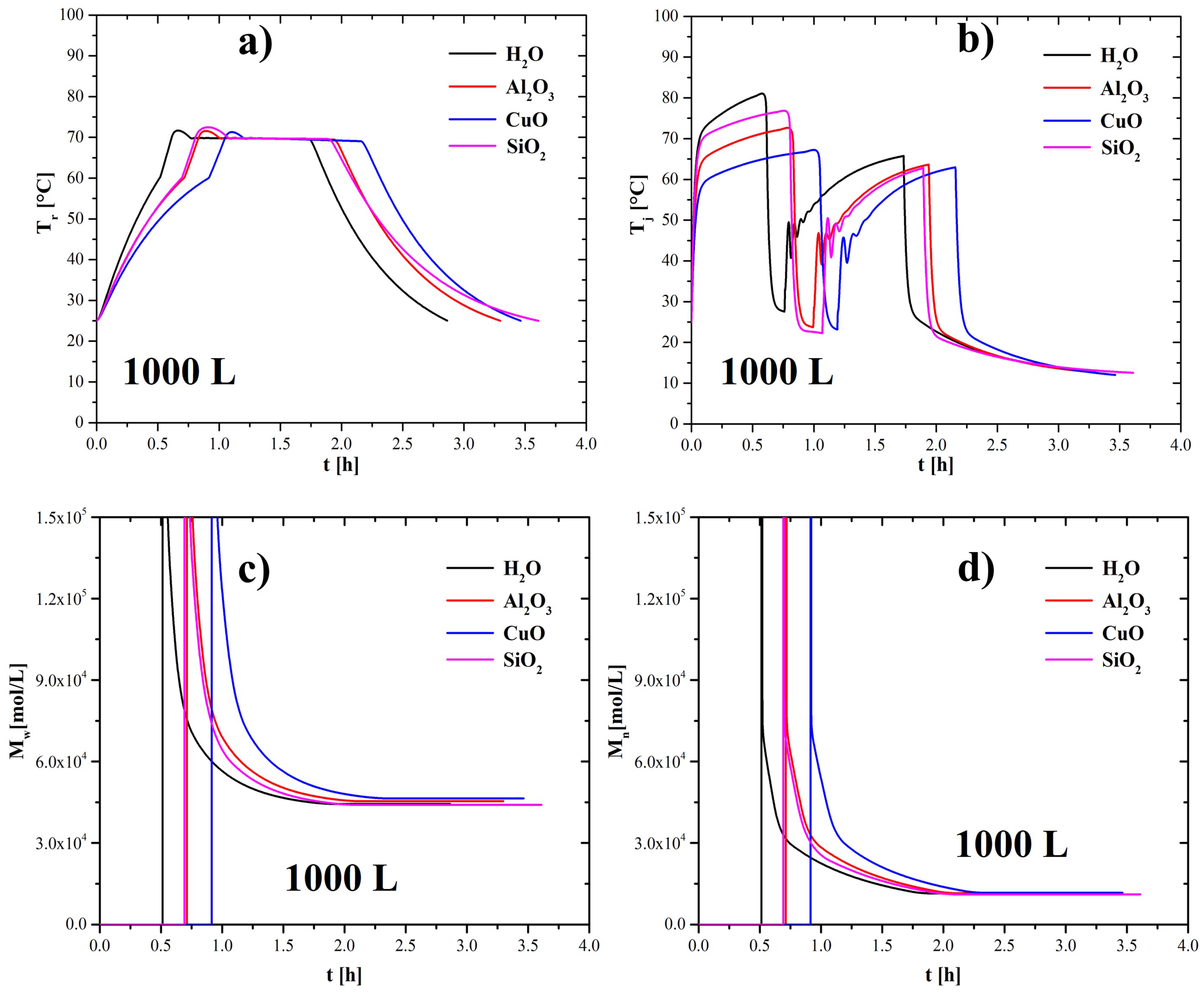
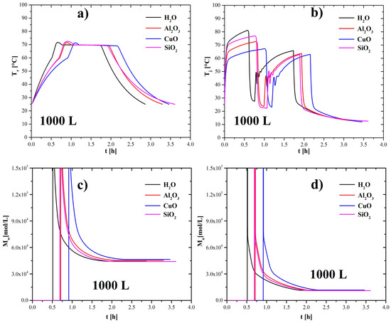
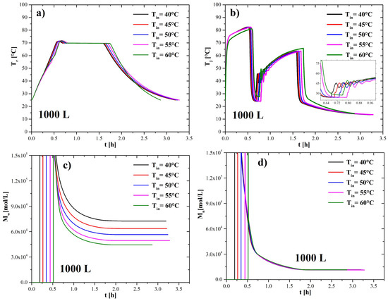
When increasing the monomer percentage, the largest scale that can be controlled using 10 wt% while maintaining the same thermal history is 1000 L. This reactor size is considered for analysis of the overshoot in temperature due to reaction and the increasing heating and cooling time. Based on the above, it is proposed to use a nanofluid with 5% of nanoparticles as a coolant flowing in the jacket [25,26,27]; see Appendix A.3. Comparing the heating and cooling times when using water as the jacket coolant, these are shorter than those observed using nanofluids, see Figure 3 and Figure 6a,b.
Figure 6.
(a) Reactor and (b) jacket temperature profiles. The molecular weights (c) and molecular number (d) considering different nanofluids as coolants.
The variation of the thermal diffusivity () using nanofluids () clearly affects the heating and cooling times. Clearly, while the product increases by the addition of nanoparticles, the value of decreases. Therefore, the thermal diffusivity is reduced, and a lower dissipation of reaction heat is observed. Furthermore, the average molecular weight increased significantly due to larger heating times and rate polymerization as seen in Figure 6c,d. The nanoparticles considered are , , and . The molecular weights () and number () are maintained without significant changes, and the main effect of the nanoparticles is that they modify the process times, as shown in Figure 7a,b, respectively.
Figure 7.
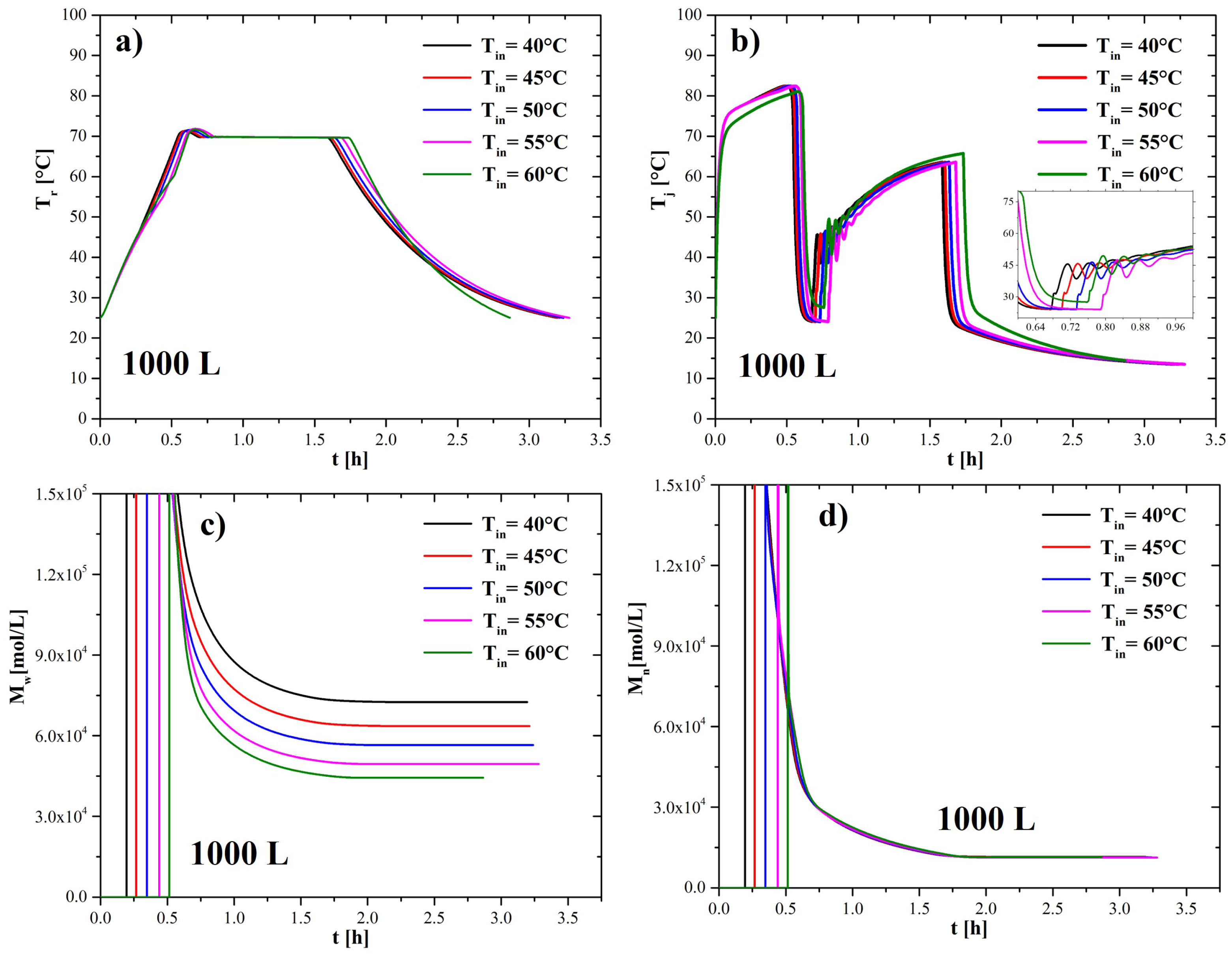
(a) Reactor and (b) jacket temperature profiles. The molecular weights (c) and molecular number (d) for different temperatures of the added initiator.
4.3. Effect of Adding Initiator at Different Temperatures
In this section, we focus on analyzing the effect of adding the initiator at different temperatures, and taking advantage of the heat of the reaction to reach the control temperature. With this change, there are two sources of heat, reaction, and conduction, modifying the heating time as shown in Figure 7a,b. On the other hand, starting the reaction at lower temperatures increases the generation of radicals, obtaining higher weight average molecular weights (Figure 7c), keeping constant the molecular weight in number (Figure 7d), improving the mechanical properties of the final product. Regarding the temperature jump, it does not present any change in magnitude, which indicates that the control considered in this work has a prolonged response for large reactors, leaving this problem open to use other more robust or sophisticated control systems such as neural networks.
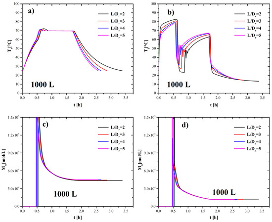
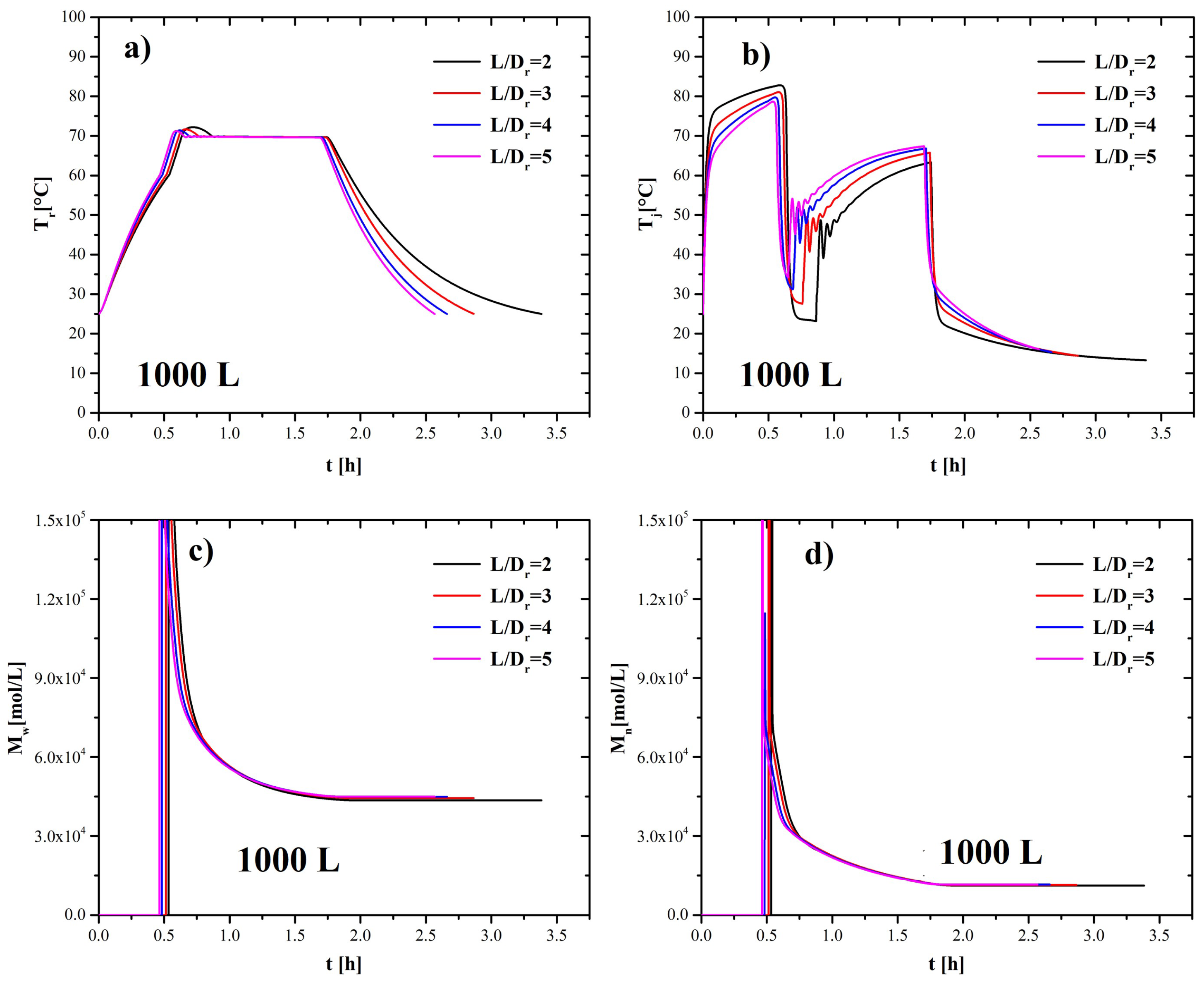
4.4. Non-Geometrical Similarity
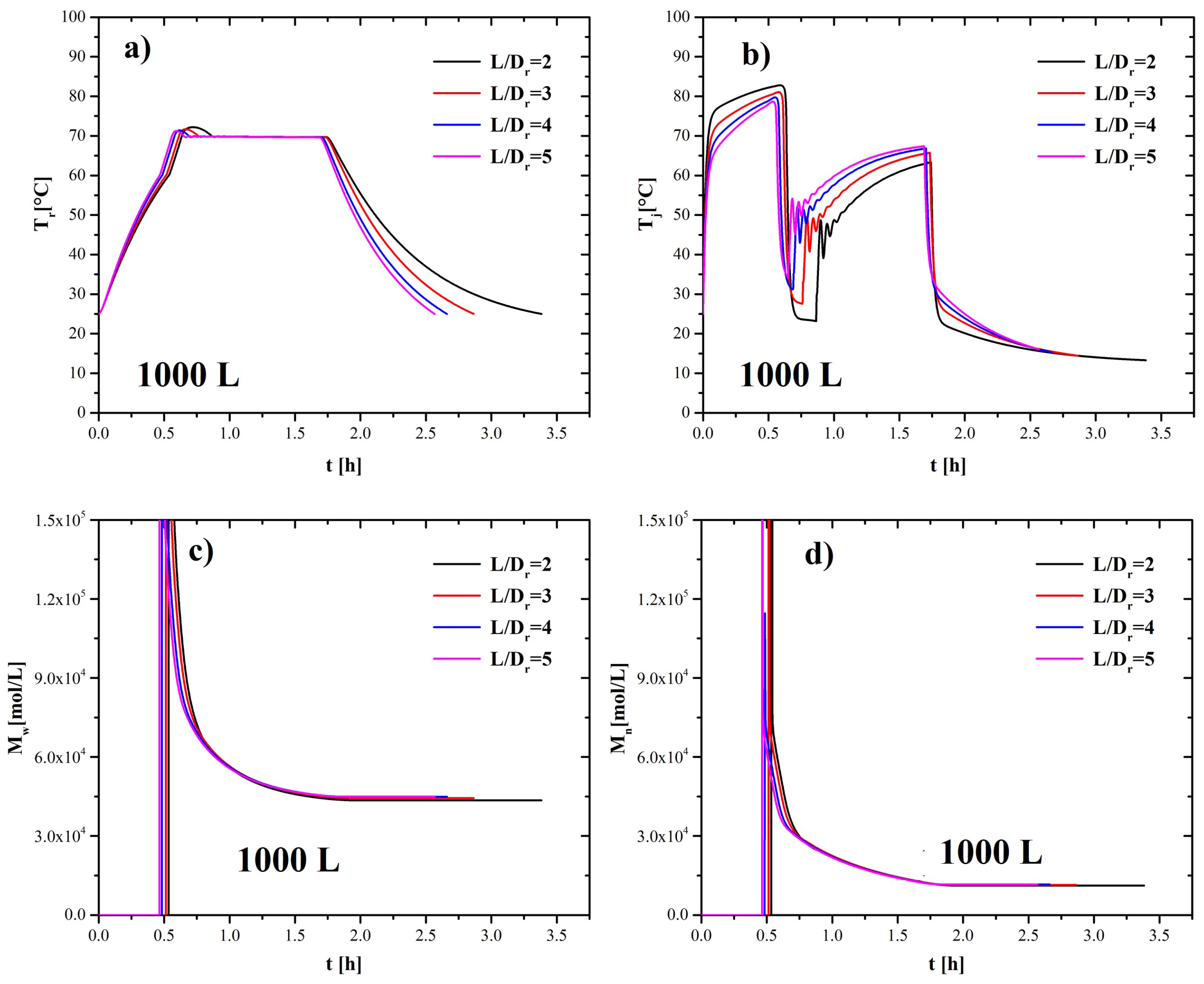
When scaling a reactor by maintaining the principle of geometric similarity, the result is that as the reactor size increases, the heat-transfer area between the jacket and the reactor is reduced. This generates problems in process control, may even indicate a scale limit, and also modifies the thermal history of the process, modifying the properties of the final product. On the other hand, in previous sections, it was analyzed to add nanoparticles to the coolant fluid, but for this work, it was not satisfactory due to the increase in the processing time, which implied higher operation costs. Consequently, it is proposed to modify the reactor geometry through the parameter (), to increase the heat-transfer area. A reactor size of 1000 L is considered; in the previous cases, was used. Figure 8 shows the temperature evolution for a) the reactor and b) the jacket for different aspect ratios L/Dr; this figure shows that the increase in L/Dr reduces the total time of the whole process (heating, polymerization, and cooling times). It presents no change in the average molecular weights and , as shown in Figure 8c,d, which indicates that the same product is obtained and operating costs are reduced, and also indicates a more efficient process. Finally, changing the aspect ratio has no effect on the temperature jump, indicating that the control system used in this work is not suitable for large reactors.
Figure 8.
Average molecular weight with different aspect ratio in a reactor of ten tons.
4.5. Recommendations and Strategies
After analyzing the four previous cases to perform the scale-up and control of the acrylamide polymerization process in solution, we propose the following recommendations: Scaling-up a process taking into account the principles of geometric, mechanical, chemical and thermal similarity. A limiting scale will be found when some of these principles cannot be satisfied, which implies the need to develop strategies that do not affect the quality of the product. Bear in mind that during the scaling-up process involving a highly exothermic chemical reaction, strategies such as reagent dosing, increasing the heat-transfer area, and considering different cooling fluids should be sought to avoid temperature jumps. In addition to these strategies, we recommend the use of more robust control systems, optimization techniques or neural networks. Our findings show that the use of nanofluids is recommended in applications where the system needs to be more dissipative.
5. Conclusions
In this work, the scale-up and control of the acrylamide polymerization process in solution of a batch reactor are presented. Four cases were analyzed, and the conclusions are the following. In the first case, the principles of similarity (chemical, thermal, and geometrical) were considered, and these principles were satisfied for reactor sizes of 1, 100, 1000, and 10,000 L, for 5 wt% of monomer. By increasing the monomer percentage, control problems were found for the 10,000 L reactor mainly because the viscosity depends on the percentage of monomer and temperature. For the second case, 1000 L was selected as the reactor size, and nanoparticles were added to the cooling fluid (water) flowing through the jacket. The results were unfavorable because it increased the total process time and had no effect on the temperature jump. In the third case, the initiator was added at different temperatures to take advantage of the reaction heat to reach the control temperature. With this modification, the polymerization time increased slightly, which is favorable with respect to obtaining higher molecular weights () and improving the mechanical properties of the final product. Finally, it was decided to modify the aspect ratio L/Dr to increase the heat-transfer area for the fourth case. With this modification, satisfactory results were obtained by decreasing the heating, polymerization, and cooling times; albeit it does not show significant changes in the temperature jump above the control temperature nor in the and . It is worth mentioning that adding the initiator at 40 °C and choosing an aspect ratio of the batch reactor of could be the best option for the acrylamide polymerization process in solution in a reactor of 1000 L.
This work proposes a tool that serves as a guide to scale-up processes with chemical reaction and operation control. However, it is important to consider the following aspects that may indicate a scaling limit: highly exothermic reactions, an increase of viscosity during the reaction, polymerizations with gel effect, and polymerizations with unstable phases, among many others.
Author Contributions
Conceptualization, E.M.J.; Methodology, R.M.-M., A.G.-L., J.P.E., L.M.-S. and R.O.V.; Validation, R.M.-M. and R.O.V.; Formal analysis, R.M.-M., A.G.-L., J.P.E. and E.M.J.; Investigation, R.M.-M., A.G.-L., J.P.E., E.M.J., L.M.-S. and R.O.V.; Writing—original draft, R.M.-M. and R.O.V.; Writing—review & editing, L.M.-S.; Supervision, J.P.E.; Funding acquisition, R.O.V. All authors have read and agreed to the published version of the manuscript.
Funding
This research was funded by Instituto Politécnico Nacional, grant numbers SIP-IPN 20241726 and SIP-IPN 20241569 to V.R.O. and J.P.E.
Data Availability Statement
The original contributions presented in the study are included in the article, further inquiries can be directed to the corresponding author.
Acknowledgments
R.M.M. gratefully acknowledges support by the Sistema Nacional de Investigadores (SNI), and retired Lt Colonel Daniel Limón Torres for endorsing this work. V.R.O. and R.M.M. would like to thank F. López-Serrano for his comments and discussions that helped to enrich this work.
Conflicts of Interest
The authors declare no conflict of interest.
Nomenclature
| A | heat-transfer area | m2 |
| specific heat capacity | J (kg K)−1 | |
| reactor diameter | m | |
| f | radical fraction | − |
| F | inlet flow rate | kg s−1 |
| I | initiator concentration | mol L−1 |
| rate constant initiation | mol L−1 | |
| rate constant disociation | s−1 | |
| rate constant termination | L mol−1s−1 | |
| L | reactor height | m |
| M | monomer concentration | mol L−1 |
| R | radical concentration | mol L−1s−1 |
| rate polymerization | mol L−1s−1 | |
| T | temperature | K |
| U | overall heat-transfer coefficient | W m−2 K−1 |
| Greek symbols | ||
| thermal diffusivity | m2s−1 | |
| enthalpy | J kg−1K−1 | |
| thermal conductivity | Wm−1 K−1 | |
| Subscripts | ||
| c | cold | |
| d | disotiation | |
| h | hot | |
| i | inner | |
| initiator | ||
| j | jacket | |
| m | master | |
| nanofluid | ||
| o | outer | |
| p | propagation | |
| r | reactor | |
| s | slave | |
| t | termination |
Appendix A
Appendix A.1. Moment Equation System
The equations used to compute molecular weights are the following [28,29,30]:
Appendix A.2. Kinetics Parameters
In this work, kinetics parameters as a function of temperature were used as follows [3,14,16]:
Appendix A.3. Nanoparticles
The expressions to compute the effective thermophysical properties of the nanofluids in the jacket flow are [31,32,33]:
References
- Hoogendoorn, K.; Shaw, R. Control of polymerization processes. IFAC Proc. Vol. 1980, 13, 623–640. [Google Scholar] [CrossRef]
- Alvarez-Ramirez, J.; Puebla, H. On classical PI control of chemical reactors. Chem. Eng. Sci. 2001, 56, 2111–2121. [Google Scholar] [CrossRef]
- Coker, A.K. Modeling of Chemical Kinetics and Reactor Design; Gulf Professional Publishing: Houston, TX, USA, 2001. [Google Scholar]
- Donati, G.; Paludetto, R. Scale up of chemical reactors. Catal. Today 1997, 34, 483–533. [Google Scholar] [CrossRef]
- Yüce, S.; Hasaltun, A.; Erdoğan, S.; Alpbaz, M. Temperature control of a batch polymerization reactor. Chem. Eng. Res. Des. 1999, 77, 413–420. [Google Scholar] [CrossRef][Green Version]
- Maly, M.; Schaper, S.; Kuwertz, R.; Hoffmann, M.; Heck, J.; Schläter, M. Scale-Up Strategies of Jet Loop Reactors for the Intensification of Mass Transfer Limited Reactions. Processes 2022, 10, 1531. [Google Scholar] [CrossRef]
- Ren, C.; Yang, Y.; Huang, Z.; Sun, J.; Yang, Y.; Wang, J. Effect of the scale-up process on the reactor performance within the riser: Simulation using ozone decomposition. Ind. Eng. Chem. Res. 2021, 60, 11479–11489. [Google Scholar] [CrossRef]
- Erdogan, S.; Alpbaz, M.; Karagöz, A.R. The effect of operational conditions on the performance of batch polymerization reactor control. Chem. Eng. J. 2002, 86, 259–268. [Google Scholar] [CrossRef]
- Krämer, S.; Gesthuisen, R. Simultaneous estimation of the heat of reaction and the heat transfer coefficient by calorimetry: Estimation problems due to model simplification and high jacket flow rates—Theoretical development. Chem. Eng. Sci. 2005, 60, 4233–4248. [Google Scholar] [CrossRef]
- Wieme, J.; De Roo, T.; Marin, G.B.; Heynderickx, G.J. Simulation of pilot- and industrial-scale vinyl chloride batch suspension polymerization reactors. Ind. Eng. Chem. Res. 2007, 46, 1179–1196. [Google Scholar] [CrossRef]
- Abubaker, A.; Mustafa, M. Mathematical modelling and simulation of an industrial propylene polymerization batch reactor. Int. J. Chem. Eng. Anal. Sci. 2016, 1, 10–17. [Google Scholar]
- Piccinno, F.; Hischier, R.; Seeger, S.; Som, C. From laboratory to industrial scale: A scale-up framework for chemical processes in life cycle assessment studies. J. Clean. Prod. 2016, 135, 1085–1097. [Google Scholar] [CrossRef]
- Johnson, M.; Al-Dirawi, K.H.; Bentham, E.; Mahmud, T.; Heggs, P.J. A non-adiabatic model for jacketed agitated batch reactors experiencing thermal losses. Ind. Eng. Chem. Res. 2021, 60, 1316–1325. [Google Scholar] [CrossRef]
- Ishige, T.; Hamielec, A.E. Solution polymerization of acrylamide to high conversion. J. Appl. Polym. Sci. 1973, 17, 1479–1506. [Google Scholar] [CrossRef]
- Tapia, G.J.A. Puesta en Marcha de un Reactor Calorimetrico; Validación con una Reacción de Polimerización de Acrilamida en Solución. Bachelor’s Thesis, UNAM, Mexico City, Mexico, 2013. [Google Scholar]
- Giz, A.; Catalgil-Giz, H.; Alb, A.; Brousseau, J.L.; Reed, W.F. Kinetics and mechanisms of acrylamide polymerization from absolute, online monitoring of polymerization reaction. Macromolecules 2001, 34, 1180–1191. [Google Scholar] [CrossRef]
- Abu-Thabit, N.Y. Thermochemistry of acrylamide polymerization: An illustration of auto-acceleration and gel effect. World J. Chem. Educ. 2017, 5, 94–101. [Google Scholar] [CrossRef]
- Vajjha, R.S.; Das, D.K. Specific heat measurement of three nanofluids and development of new correlations. J. Heat Transf. Trans. ASME 2009, 131, 071601. [Google Scholar] [CrossRef]
- Vajjha, R.S.; Das, D.K. A review and analysis on influence of temperature and concentration of nanofluids on thermophysical properties, heat transfer and pumping power. Int. J. Heat Mass Transf. 2012, 55, 4063–4078. [Google Scholar] [CrossRef]
- Vajjha, R.S.; Das, D.K.; Chukwu, G.K. An experimental determination of the viscosity of propylene glycol/water based nanofluids and development of new correlations. J. Fluids Eng. 2015, 137, 081201. [Google Scholar] [CrossRef]
- Dey, D.; Kumar, P.; Samantaray, S. A review of nanofluid preparation, stability, and thermo-physical properties. Heat Transf. Asian Res. 2017, 46, 1413–1442. [Google Scholar] [CrossRef]
- Gupta, M.; Singh, V.; Kumar, R.; Said, Z. A review on thermophysical properties of nanofluids and heat transfer applications. Renew. Sustain. Energy Rev. 2017, 74, 638–670. [Google Scholar] [CrossRef]
- De Gennes, P.G. Scaling Concepts in Polymer Physics; Cornell University Press: Ithaca, NY, USA, 1979. [Google Scholar]
- Lu, H. When physics meets chemistry at the dynamic glass transition. Rep. Prog. Phys. 2024, 87, 032601. [Google Scholar] [CrossRef] [PubMed]
- Mutuku, W.N. Ethylene glycol (EG)-based nanofluids as a coolant for automotive radiator. Asia Pac. J. Comput. Eng. 2016, 3, 1. [Google Scholar] [CrossRef]
- Farooque, Z.; Chauhan, N.R. Comparative study of Nano-fluids as Coolants in a Car Radiator. IOP Conf. Ser. Mater. Sci. Eng. 2022, 1228, 012011. [Google Scholar]
- Jadeja, K.M.; Bumataria, R.; Chavda, N. Nanofluid as a coolant in internal combustion engine—A review. Int. J. Ambient. Energy 2023, 44, 363–380. [Google Scholar] [CrossRef]
- Tefera, N.; Weickert, G.; Westerterp, K. Modeling of free radical polymerization up to high conversion. I. A method for the selection of models by simultaneous parameter estimation. J. Appl. Polym. Sci. 1997, 63, 1649–1661. [Google Scholar] [CrossRef]
- Chiu, W.Y.; Carratt, G.M.; Soong, D.S. A computer model for the gel effect in free-radical polymerization. Macromolecules 1983, 16, 348–357. [Google Scholar] [CrossRef]
- Zapata-González, I.; Saldívar-Guerra, E. The method of moments used in polymerization reaction engineering for 70 years: An overview, tutorial, and minilibrary. Can. J. Chem. Eng. 2023, 101, 5324–5356. [Google Scholar] [CrossRef]
- Abdollahi, A.; Mohammed, H.A.; Vanaki, S.M.; Osia, A.; Haghighi, M.R.G. Fluid flow and heat transfer of nanofluids in microchannel heat sink with V-type inlet/outlet arrangement. Alex. Eng. J. 2017, 56, 161–170. [Google Scholar] [CrossRef]
- Brinkman, H. The viscosity of concentrated suspensions and solutions. J. Chem. Phys. 1952, 20, 571. [Google Scholar] [CrossRef]
- Maxwell, J. A Treatise on Electricity and Magnetism II; Oxford University Press: Cambridge MA, USA, 1904. [Google Scholar]
Disclaimer/Publisher’s Note: The statements, opinions and data contained in all publications are solely those of the individual author(s) and contributor(s) and not of MDPI and/or the editor(s). MDPI and/or the editor(s) disclaim responsibility for any injury to people or property resulting from any ideas, methods, instructions or products referred to in the content. |
© 2024 by the authors. Licensee MDPI, Basel, Switzerland. This article is an open access article distributed under the terms and conditions of the Creative Commons Attribution (CC BY) license (https://creativecommons.org/licenses/by/4.0/).







