Network Traffic Anomaly Detection Based on Spatiotemporal Feature Extraction and Channel Attention
Abstract
1. Introduction
- A feature extraction model based on dilated convolution, specifically Dilated Convolution-1D (DC-1D), was constructed to prevent information loss caused by down-sampling during the convolution process. Furthermore, a structure comprising dilated convolutions with dilation rates of 1, 2, and 3 was designed, ensuring the continuity of features during the information extraction process.
- The one-dimensional dilated convolution structure was combined with GRU gating units to extract both spatial and temporal features from the data.
- A method to judge the importance of feature channels was designed for the model using channel attention. This is because using convolution alone cannot highlight different concerns based on the importance of features, which affects detection efficiency. By adding channel attention (CA) to the network, channels can be weighted according to their importance, so as to focus on important features and improve the ability of the model to detect abnormal traffic.
2. Materials and Methods
2.1. The One-Dimensional Convolutional Neural Network
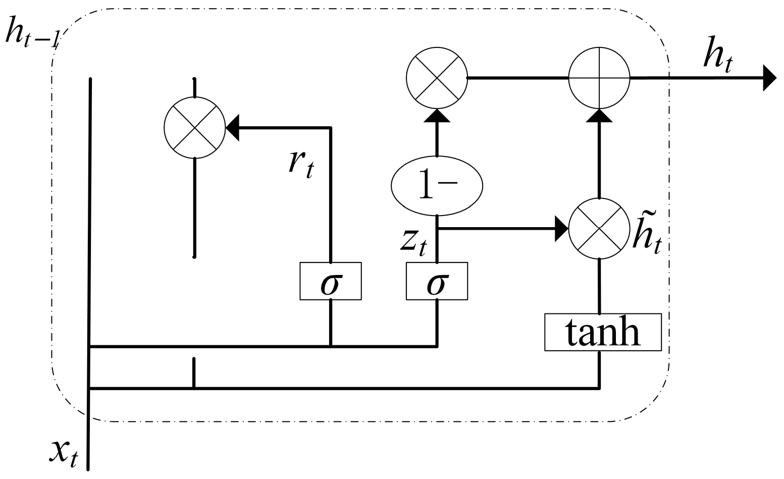
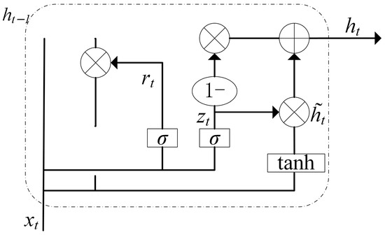
2.2. GRU
2.3. Channel Attention Mechanism
3. Proposed Method
3.1. Overall Framework of the Model
- Data preprocessing is conducted since the different feature intervals in the traffic feature vector possess varying dimensions. To mitigate the impact of these dimensional differences on classification results, features should first be normalized. Mean–variance normalization is employed to transform the data into a normal distribution with a mean of 0 and a variance of 1. The formula for normalization is as follows:where x′ is the processed data, x is the characteristic value of each group of input features, xm is the mean of input features, and s is the standard deviation of each group of input features.
- Then, in the feature extraction stage, the preprocessed data are input into DC-1D. The DC-1D module consists of three convolutional layers with dilation rates of 1, 2, and 3. In DC-1D, the input data are successively passed through three dilated convolutional layers for feature extraction to generate feature maps, with each convolution being processed using the ReLU activation function. Then the GRU module is used to extract its time characteristics. The features extracted are input into the CA module, where the data are weighted by channel through the CA module.
- In the classification output stage, the weighted features are input into the Flatten layer for flattening and then processed by a Dense layer and a Softmax layer for classification purposes.
3.2. DC-1D Structure
3.3. DC-GRU
3.4. CA Module
4. Experiments
4.1. Experimental Environment
4.2. Datasets and Evaluation Indicators
4.3. Data Preprocessing
4.4. Model Parameter Settings
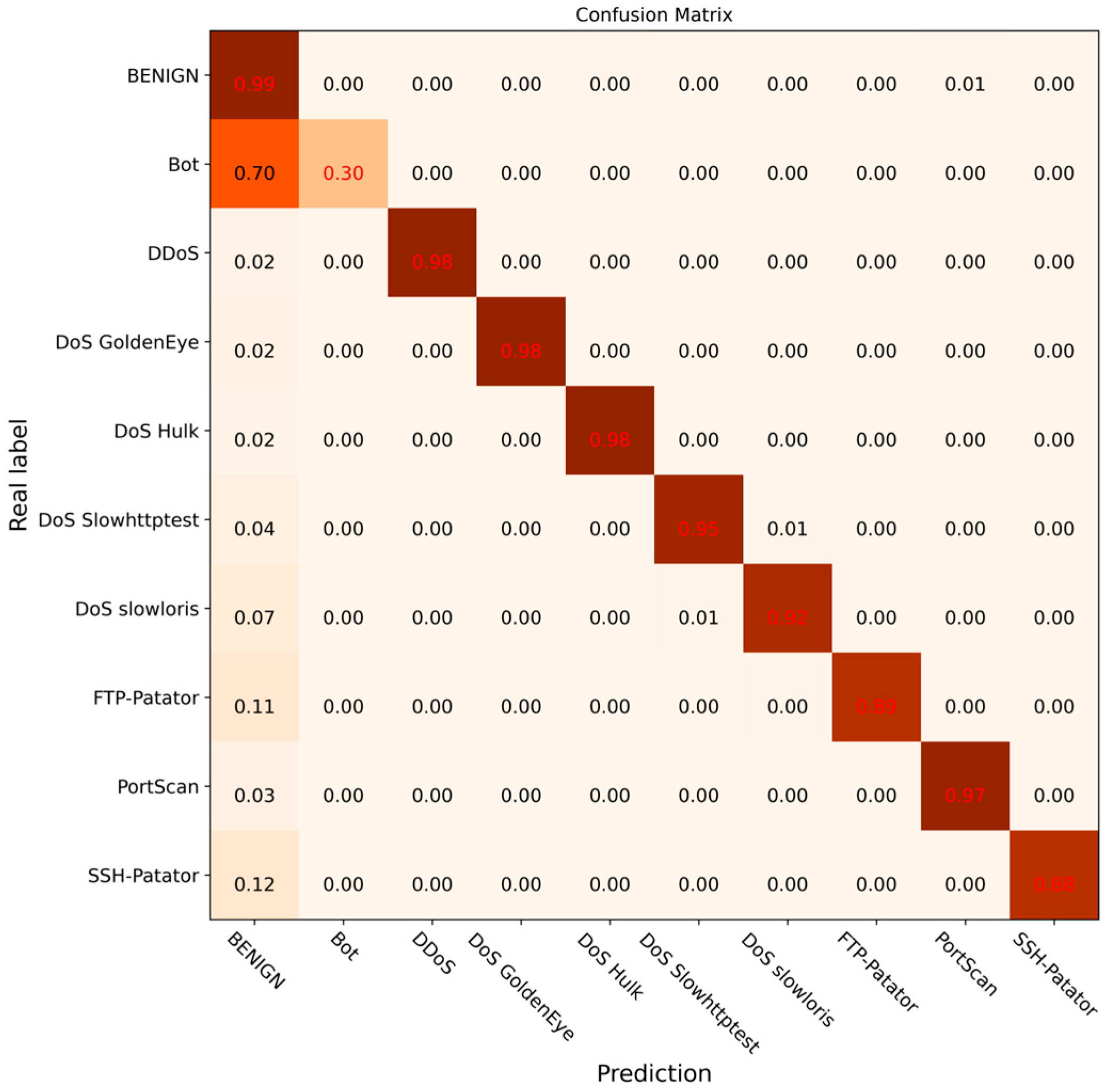
4.5. Model Effect Verification
5. Discussion
Author Contributions
Funding
Data Availability Statement
Conflicts of Interest
References
- Anderson, J.P.J.T.R.; James, P. Computer Security Threat Monitoring and Surveillance; Anderson Company: Washington, DC, USA, 1980. [Google Scholar]
- Lu, X.; Liu, P.; Lin, J. Network traffic anomaly detection based on information gain and deep learning. In Proceedings of the 2019 3rd International Conference on Information System and Data Mining, Houston, TX, USA, 6–8 April 2019; pp. 11–15. [Google Scholar]
- Gao, S.G.; Li, S.M.; Li, Q.Y.; Yu, J.W. Convolutional neural network web anomaly traffic detection method based on DAPA. Inf. Technol. Netw. Secur. 2020, 39, 8–12. (In Chinese) [Google Scholar]
- Hang, M.; Chen, W.; Zhang, R.J. Abnormal flow detection based on improved one-dimensional convolutional neural network. Comput. Appl. 2021, 41, 433. (In Chinese) [Google Scholar]
- Stiawan, D.; Heryanto, A.; Bardadi, A.; Rini, D.P.; Subroto, I.M.I.; Idris, M.Y.B.; Abdullah, A.H.; Kerim, B.; Budiarto, R. An approach for optimizing ensemble intrusion detection systems. IEEE Access 2020, 9, 6930–6947. [Google Scholar] [CrossRef]
- Xu, B.; Chen, S.; Zhang, H.; Wu, T. Incremental k-NN SVM method in intrusion detection. In Proceedings of the 2017 8th IEEE International Conference on Software Engineering and Service Science (ICSESS), Beijing, China, 24–26 November 2017; pp. 712–717. [Google Scholar]
- Halim, Z.; Yousaf, M.N.; Waqas, M.; Sulaiman, M.; Abbas, G.; Hussain, M.; Ahmad, I.; Hanif, M.J.C. An effective genetic algorithm-based feature selection method for intrusion detection systems. Comput. Secur. 2021, 110, 102448. [Google Scholar] [CrossRef]
- Singh, S. Poly logarithmic naive bayes intrusion detection system using linear stable PCA feature extraction. Wirel. Pers. Commun. 2022, 125, 3117–3132. [Google Scholar] [CrossRef]
- Gu, J.; Lu, S. An effective intrusion detection approach using SVM with naïve Bayes feature embedding. Comput. Secur. 2021, 103, 102158. [Google Scholar] [CrossRef]
- Li, Y.; Zhang, B. An Intrusion detection Algorithm based on Deep CNN. Comput. Appl. Softw. 2020, 37, 324–328. (In Chinese) [Google Scholar]
- Khan, R.U.; Zhang, X.; Kumar, R. Analysis of ResNet and GoogleNet models for malware detection. J. Comput. Virol. Hacking Tech. 2019, 15, 29–37. [Google Scholar] [CrossRef]
- Wang, Z.; Wang, Z.; Yi, F.; Zeng, C. Attack traffic detection based on LetNet-5 and GRU hierarchical deep neural network. In Proceedings of the International Conference on Wireless Algorithms, Systems, and Applications, Nanjing, China, 25–27 June 2021; pp. 327–334. [Google Scholar]
- Chen, X.Y. Network intrusion detection based on convolutional neural networks with LSTM. Inf. Technol. Netw. Secur. 2021, 40, 42–46. (In Chinese) [Google Scholar]
- Ma, W.; Zhang, Y.; Guo, J. Abnormal traffic detection method based on LSTM and improved residual neural network optimization. J. Commun. 2021, 42, 23–40. (In Chinese) [Google Scholar]
- Xu, H.; Ma, Z.; Yi, H.; Zhang, L. Network Traffic Anomaly Detection Technology Based on Convolutional Recurrent Neural Network. Netinfo Secur. 2022, 21, 54–62. (In Chinese) [Google Scholar]
- Sun, H.; Chen, M.; Weng, J.; Liu, Z.; Geng, G. Anomaly detection for in-vehicle network using CNN-LSTM with attention mechanism. IEEE Trans. Veh. Technol. 2021, 70, 10880–10893. [Google Scholar] [CrossRef]
- Jia, Z.; Yao, Y.; Wang, Q.; Wang, X.; Liu, B.; Jiang, Z. Trojan traffic detection based on meta-learning. In Proceedings of the Computational Science–ICCS 2021: 21st International Conference, Krakow, Poland, 16–18 June 2021; Proceedings, Part II 21, 2021. pp. 167–180. [Google Scholar]
- Ji, C.P.; Yu, H.F.; Dai, W. Network Traffic Anomaly Detection based on Dilated Convolution and Channel Attention. In Proceedings of the 4th IFSA Winter Conference on Automation, Robotics & Communications for Industry 4.0/5.0, (ARCI’ 2024), Innsbruck, Austria, 7–9 February 2024; pp. 90–97. [Google Scholar]
- Li, C.; Qiu, Z.; Cao, X.; Chen, Z.; Gao, H.; Hua, Z. Hybrid dilated convolution with multi-scale residual fusion network for hyperspectral image classification. Micromachines 2021, 12, 545. [Google Scholar] [CrossRef] [PubMed]
- Zhang, X.J.; Wang, H.B. Research on intrusion detection algorithm based on CNN-GRU. J. Tianjin Univ. Technol. 2022, 38, 37–42. (In Chinese) [Google Scholar]

















| Experimental Environment | Hardware Configuration |
|---|---|
| Operating system | Windows11 64bit |
| CPU | Intel i7-12700H |
| GPU | NVIDIA GeForce RTX3070Ti |
| Programming languages | Python 3.6 |
| Application software | Pycharm 2020.1 |
| Confusion Matrix | Predicted Value | ||
| Positive Class | Minus Class | ||
| True value | Positive class | TP | FN |
| Minus class | FP | TN | |
| Flow Type | Precision | Recall | F1 |
|---|---|---|---|
| BENIGN | 99.8% | 99.5% | 99.7% |
| Bot | 93.4% | 62.7% | 75.1% |
| DDoS | 99.9% | 99.7% | 99.8% |
| DoS GoldenEye | 99.6% | 99.3% | 99.5% |
| DoS Hulk | 98.5% | 99.8% | 99.1% |
| DoS Slowhttptest | 97.7% | 98.7% | 98.2% |
| DoS slowloris | 99.1% | 98.6% | 98.8% |
| FTP-Patator | 99.8% | 99.5% | 99.7% |
| PortScan | 96.5% | 99.1% | 97.8% |
| SSH-Patator | 97.1% | 98.0% | 97.5% |
| Method | Acc | Pre | Recall | F1 | Time |
|---|---|---|---|---|---|
| KNN | 96.3% | 96.1% | 96.3% | 96.2% | 201.68 s |
| ID3 | 98.3% | 98.4% | 98.5% | 98.1% | 192.38 s |
| MLP | 76.6% | 77.2% | 83.3% | 76.8% | 215.91 s |
| RF | 96.7% | 97.2% | 88.3% | 92.9% | 206.31 s |
| CNN | 95.3% | 97.6% | 97.7% | 97.3% | 200.19 s |
| AFM-ICNN-1D | 96.3% | 98.3% | 98.4% | 98.3% | 230.81 s |
| CNN-GRU | 96.1% | 96.2% | 96.6% | 96.2% | 252.19 s |
| DCGCANet | 99.6% | 99.6% | 99.6% | 99.6% | 273.13 s |
| DataSets | Pre | Recall | F1 | |||
|---|---|---|---|---|---|---|
| LSTM | DCGCANet | LSTM | DCGCANet | LSTM | DCGCANet | |
| P1 | 73.6% | 99.3% | 75.5% | 99.4% | 76.6% | 99.4% |
| P2 | 73.1% | 99.4% | 73.2% | 99.5% | 73.1% | 99.3% |
| P3 | 76.1% | 99.6% | 75.7% | 99.7% | 76.1% | 99.7% |
| P4 | 68.3% | 99.6% | 70.3% | 99.6% | 68.3% | 99.6% |
| Attack Categories | Acc | Pre | Recall | F1 |
|---|---|---|---|---|
| DoS | 99.1% | 99.2% | 98.3% | 97.9% |
| Normal | 95.3% | 95.6% | 92.7% | 93.3% |
| R2L | 97.3% | 97.3% | 98.4% | 98.0% |
| Probe | 93.1% | 93.2% | 96.6% | 95.2% |
| U2R | 97.6% | 97.6% | 97.5% | 97.6% |
Disclaimer/Publisher’s Note: The statements, opinions and data contained in all publications are solely those of the individual author(s) and contributor(s) and not of MDPI and/or the editor(s). MDPI and/or the editor(s) disclaim responsibility for any injury to people or property resulting from any ideas, methods, instructions or products referred to in the content. |
© 2024 by the authors. Licensee MDPI, Basel, Switzerland. This article is an open access article distributed under the terms and conditions of the Creative Commons Attribution (CC BY) license (https://creativecommons.org/licenses/by/4.0/).
Share and Cite
Ji, C.; Yu, H.; Dai, W. Network Traffic Anomaly Detection Based on Spatiotemporal Feature Extraction and Channel Attention. Processes 2024, 12, 1418. https://doi.org/10.3390/pr12071418
Ji C, Yu H, Dai W. Network Traffic Anomaly Detection Based on Spatiotemporal Feature Extraction and Channel Attention. Processes. 2024; 12(7):1418. https://doi.org/10.3390/pr12071418
Chicago/Turabian StyleJi, Changpeng, Haofeng Yu, and Wei Dai. 2024. "Network Traffic Anomaly Detection Based on Spatiotemporal Feature Extraction and Channel Attention" Processes 12, no. 7: 1418. https://doi.org/10.3390/pr12071418
APA StyleJi, C., Yu, H., & Dai, W. (2024). Network Traffic Anomaly Detection Based on Spatiotemporal Feature Extraction and Channel Attention. Processes, 12(7), 1418. https://doi.org/10.3390/pr12071418
