Study on the Inner Mechanisms of Gas Transport in Matrix for Shale Gas Recovery with In Situ Heating Technology
Abstract
1. Introduction
2. Materials and Methods
2.1. Experimental Samples
2.2. Experimental Equipment and Method
3. Results and Discussion
3.1. Experimental Results and Analyses
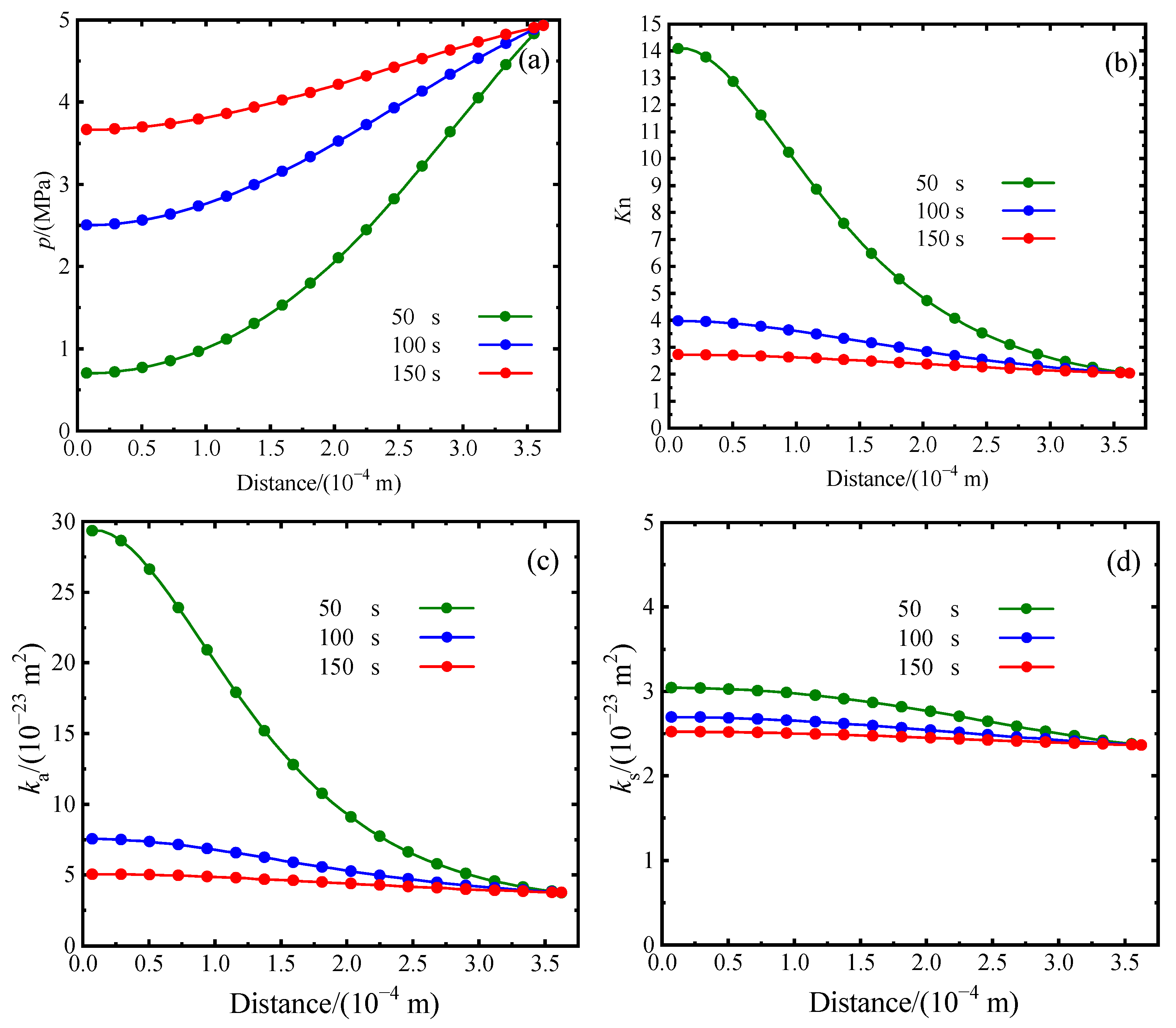
3.2. Influence of Heating Temperature on Shale Matrix Transport
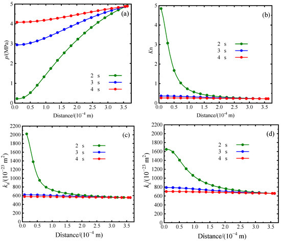
3.3. Dynamic Transport in Heated Shale Matrix
4. Conclusions
Author Contributions
Funding
Data Availability Statement
Conflicts of Interest
References
- Liu, J.; Bai, X.; Elsworth, D. Evolution of pore systems in low-maturity oil shales during thermal upgrading—Quantified by dynamic SEM and machine learning. Pet. Sci. 2023, in press. [CrossRef]
 - Liu, Y.; Yao, C.; Liu, B.; Xuan, Y.; Du, X. Performance Prediction and Heating Parameter Optimization of Organic-Rich Shale In Situ Conversion Based on Numerical Simulation and Artificial Intelligence Algorithms. ACS Omega 2024, 9, 15511–15526. [Google Scholar] [CrossRef] [PubMed]
 - Yang, F.; Xu, S.; Hao, F.; Hu, B.; Zhang, B.; Shu, Z.; Long, S.J.M.; Geology, P. Petrophysical characteristics of shales with different lithofacies in Jiaoshiba area, Sichuan Basin, China: Implications for shale gas accumulation mechanism. Mar. Pet. Geol. 2019, 109, 394–407. [Google Scholar] [CrossRef]
 - Zhijun, J.; Rukai, Z.; Liang, X.; Yunqi, S. Several issues worthy of attention in current lacustrine shale oil exploration and development. Pet. Explor. Dev. 2021, 48, 1471–1484. [Google Scholar]
 - Bauman, J.H.; Deo, M. Simulation of a conceptualized combined pyrolysis, in situ combustion, and CO2 storage strategy for fuel production from Green River oil shale. Energy Fuels 2012, 26, 1731–1739. [Google Scholar] [CrossRef]
 - Qi, C.; Liu, J.; Liu, K.; Tuo, J.; Sun, L.; Huang, W.; Li, S.; Regenauer-Lieb, K. Thermal pyrolysis-induced shale micro-cracks: 3D characterization and implication for reservoir stimulation. Gas Sci. Eng. 2023, 118, 205107. [Google Scholar] [CrossRef]
 - Hu, H.; Zhang, T.; Wiggins-Camacho, J.D.; Ellis, G.S.; Lewan, M.D.; Zhang, X. Experimental investigation of changes in methane adsorption of bitumen-free Woodford Shale with thermal maturation induced by hydrous pyrolysis. Mar. Pet. Geol. 2015, 59, 114–128. [Google Scholar] [CrossRef]
 - Liu, J.; Liang, X.; Xue, Y.; Yao, K.; Fu, Y. Numerical evaluation on multiphase flow and heat transfer during thermal stimulation enhanced shale gas recovery. Appl. Therm. Eng. 2020, 178, 115554. [Google Scholar] [CrossRef]
 - Wang, Y.; Liao, B.; Qiu, L.; Wang, D.; Xue, Q. Numerical simulation of enhancing shale gas recovery using electrical resistance heating method. Int. J. Heat Mass Transf. 2019, 128, 1218–1228. [Google Scholar] [CrossRef]
 - Chen, T.; Zheng, X.; Qiu, X.; Feng, X.-T.; Elsworth, D.; Cui, G.; Jia, Z.; Pan, Z. Experimental study on the feasibility of microwave heating fracturing for enhanced shale gas recovery. J. Nat. Gas Sci. Eng. 2021, 94, 104073. [Google Scholar] [CrossRef]
 - Hu, L.; Li, H.; Babadagli, T.; Xie, X.; Deng, H. Thermal stimulation of shale formations by electromagnetic heating: A clean technique for enhancing oil and gas recovery. J. Clean. Prod. 2020, 277, 123197. [Google Scholar] [CrossRef]
 - Pan, Y.; Zheng, L.; Liu, Y.; Wang, Y.; Yang, S. A review of the current status of research on convection-heated in situ extraction of unconventional oil and gas resources (oil shale). J. Anal. Appl. Pyrolysis 2023, 175, 106200. [Google Scholar] [CrossRef]
 - Kang, Y.; Chen, M.; You, L.; Li, X. Laboratory measurement and interpretation of the changes of physical properties after heat treatment in tight porous media. J. Chem. 2015, 2015, 341616. [Google Scholar] [CrossRef]
 - Zhao, X.; Rui, Z.; Liao, X.; Zhang, R. The qualitative and quantitative fracture evaluation methodology in shale gas reservoir. J. Nat. Gas Sci. Eng. 2015, 27, 486–495. [Google Scholar] [CrossRef]
 - Kang, Y.; Chen, M.; Chen, Z.; You, L.; Hao, Z. Investigation of formation heat treatment to enhance the multiscale gas transport ability of shale. J. Nat. Gas Sci. Eng. 2016, 35, 265–275. [Google Scholar] [CrossRef]
 - Liu, J.; Wang, J.; Leung, C.; Gao, F. A fully coupled numerical model for microwave heating enhanced shale gas recovery. Energies 2018, 11, 1608. [Google Scholar] [CrossRef]
 - Fianu, J.; Gholinezhad, J.; Hassan, M. Thermal simulation of shale gas recovery involving the use of microwave heating. J. Pet. Sci. Eng. 2020, 186, 106768. [Google Scholar] [CrossRef]
 - Wang, Y.-D.; Wang, X.-Y.; Xing, Y.-F.; Xue, J.-K.; Wang, D.-S. Three-dimensional numerical simulation of enhancing shale gas desorption by electrical heating with horizontal wells. J. Nat. Gas Sci. Eng. 2017, 38, 94–106. [Google Scholar] [CrossRef]
 - Wei, Z.; Sheng, J. Study of thermally-induced enhancement in nanopores, microcracks, porosity and permeability of rocks from different ultra-low permeability reservoirs. J. Pet. Sci. Eng. 2022, 209, 109896. [Google Scholar] [CrossRef]
 - Xu, S.; Sun, Y.; Yang, Q.; Wang, H.; Kang, S.; Guo, W.; Shan, X.; He, W. Product migration and regional reaction characteristics in the autothermic pyrolysis in-situ conversion process of low-permeability Huadian oil shale core. Energy 2023, 283, 128525. [Google Scholar] [CrossRef]
 - Li, X.; You, L.; Kang, Y.; Liu, J.; Chen, M.; Zeng, T.; Hao, Z. Investigation on the thermal cracking of shale under different cooling modes. J. Nat. Gas Sci. Eng. 2022, 97, 104359. [Google Scholar] [CrossRef]
 - Zhao, J.; Kang, Z. Permeability of oil shale under in situ conditions: Fushun oil shale (China) experimental case study. Nat. Resour. Res. 2021, 30, 753–763. [Google Scholar] [CrossRef]
 - Liu, J.; Xue, Y.; Zhang, Q.; Yao, K.; Liang, X.; Wang, S. Micro-cracking behavior of shale matrix during thermal recovery: Insights from phase-field modeling. Eng. Fract. Mech. 2020, 239, 107301. [Google Scholar] [CrossRef]
 - Liu, Z.; Sun, Y.; Guo, W.; Li, Q. Reservoir-scale study of oil shale hydration swelling and thermal expansion after hydraulic fracturing. J. Pet. Sci. Eng. 2020, 195, 107619. [Google Scholar] [CrossRef]
 - Wang, L.; Yang, D.; Kang, Z. Evolution of permeability and mesostructure of oil shale exposed to high-temperature water vapor. Fuel 2021, 290, 119786. [Google Scholar] [CrossRef]
 - Huang, L.; Zhou, W.; Xu, H.; Wang, L.; Zou, J.; Zhou, Q. Dynamic fluid states in organic-inorganic nanocomposite: Implications for shale gas recovery and CO2 sequestration. Chem. Eng. J. 2021, 411, 128423. [Google Scholar] [CrossRef]
 - Mohagheghian, E.; Hassanzadeh, H.; Chen, Z. Matrix-fracture transfer shape factor for modeling multimechanisitc multicomponent shale gas flow. Int. J. Heat Mass Transf. 2020, 158, 120022. [Google Scholar] [CrossRef]
 - Fan, K.; Dong, M.; Elsworth, D.; Li, Y.; Yin, C.; Li, Y. A dynamic-pulse pseudo-pressure method to determine shale matrix permeability at representative reservoir conditions. Int. J. Coal Geol. 2018, 193, 61–72. [Google Scholar] [CrossRef]
 - Heller, R.; Zoback, M. Laboratory measurements of matrix permeability and slippage enhanced permeability in gas shales. In Proceedings of the SPE/AAPG/SEG Unconventional Resources Technology Conference, Denver, CO, USA, 12–14 August 2013; URTEC: Houston, TX, USA, 2013; p. URTEC-1582659-MS. [Google Scholar]
 - Lu, T.; Xu, R.; Zhou, B.; Wang, Y.; Zhang, F.; Jiang, P. Improved method for measuring the permeability of nanoporous material and its application to shale matrix with ultra-low permeability. Materials 2019, 12, 1567. [Google Scholar] [CrossRef] [PubMed]
 - Qinhong, H.; Zhang, Y.; Xianghao, M.; Zheng, L.; Zhonghuai, X.; Maowen, L. Characterization of micro-nano pore networks in shale oil reservoirs of Paleogene Shahejie Formation in Dongying Sag of Bohai Bay Basin, East China. Pet. Explor. Dev. 2017, 44, 720–730. [Google Scholar]
 - Peng, S.; Loucks, B. Permeability measurements in mudrocks using gas-expansion methods on plug and crushed-rock samples. Mar. Pet. Geol. 2016, 73, 299–310. [Google Scholar] [CrossRef]
 - Hu, Z.; Deng, Y.; Li, J.; Wu, X.; Bai, J.; Tian, J. Modified experimental method to investigate micro transport in the shale matrix for shale gas production. Front. Energy Res. 2023, 11, 1260499. [Google Scholar] [CrossRef]
 - Wu, X.J.; Wang, Q.; Lyu, F.T.; Ning, Z.F.; Ren, Z.X. Experimental study on gas transport in shale matrix with real gas and Klinkenberg effects. Geofluids 2021, 2021, 5579307. [Google Scholar] [CrossRef]
 - Cui, X.; Bustin, A.M.M.; Bustin, R.M. Measurements of gas permeability and diffusivity of tight reservoir rocks: Different approaches and their applications. Geofluids 2010, 9, 208–223. [Google Scholar] [CrossRef]
 - Wu, X.; Ning, Z.; Qi, R.; Wang, Q.; Huang, L. Pore characterization and inner adsorption mechanism investigation for methane in organic and inorganic matters of shale. Energy Fuels 2020, 34, 4106–4115. [Google Scholar] [CrossRef]
 - Coppens, M.-O.; Dammers, A.J. Effects of heterogeneity on diffusion in nanopores—From inorganic materials to protein crystals and ion channels. Fluid Phase Equilibria 2006, 241, 308–316. [Google Scholar] [CrossRef]
 - Wu, K.; Li, X.; Wang, C.; Chen, Z.; Yu, W. Apparent permeability for gas flow in shale reservoirs coupling effects of gas diffusion and desorption. In Proceedings of the Unconventional Resources Technology Conference, Denver, CO, USA, 25–27 August 2014; Society of Exploration Geophysicists, American Association of Petroleum: Houston, TX, USA, 2014; pp. 2328–2345. [Google Scholar]
 - Liu, Z.; Yang, D.; Hu, Y.; Zhang, J.; Shao, J.; Song, S.; Kang, Z. Influence of in situ pyrolysis on the evolution of pore structure of oil shale. Energies 2018, 11, 755. [Google Scholar] [CrossRef]
 - Huang, H.; Yu, H.; Xu, W.; Lyu, C.; Micheal, M.; Xu, H.; Liu, H.; Wu, H. A coupled thermo-hydro-mechanical-chemical model for production performance of oil shale reservoirs during in-situ conversion process. Energy 2023, 268, 126700. [Google Scholar] [CrossRef]
 - Pan, Y.; Jia, Y.; Zheng, J.; Yang, S.; Bttina, H. Research progress of fracture development during in-situ cracking of oil shale. J. Anal. Appl. Pyrolysis 2023, 174, 106110. [Google Scholar] [CrossRef]
 - Gao, Q.; Cheng, Y.; Han, S.; Yan, C.; Li, Y.; Han, Z. Effect of shale matrix heterogeneity on gas transport during production: A microscopic investigation. J. Pet. Sci. Eng. 2021, 201, 108526. [Google Scholar] [CrossRef]
 - Javadpour, F.; Fisher, D.; Unsworth, M. Nanoscale Gas Flow in Shale Gas Sediments. J. Can. Pet. Technol. 2007, 46, 55–61. [Google Scholar] [CrossRef]
 - Civan, F. Effective correlation of apparent gas permeability in tight porous media. Transp. Porous Media 2010, 82, 375–384. [Google Scholar] [CrossRef]
 - Zhang, L.; Liang, H.; Zhao, Y.; Xie, J.; Peng, X.; Li, Q. Gas transport characteristics in shale matrix based on multiple mechanisms. Chem. Eng. J. 2020, 386, 124002. [Google Scholar] [CrossRef]
 - Wua, K.; Li, X.; Guo, C.; Chen, Z. Adsorbed gas surface diffusion and bulk gas transport in nanopores of shale reservoirs with real gas effect-adsorption-mechanical coupling. In Proceedings of the SPE Reservoir Simulation Symposium, Houston, TX, USA, 23–25 February 2015; Society of Petroleum Engineers: Richardson, TX, USA, 2015. [Google Scholar]
 










Disclaimer/Publisher’s Note: The statements, opinions and data contained in all publications are solely those of the individual author(s) and contributor(s) and not of MDPI and/or the editor(s). MDPI and/or the editor(s) disclaim responsibility for any injury to people or property resulting from any ideas, methods, instructions or products referred to in the content.  | 
© 2024 by the authors. Licensee MDPI, Basel, Switzerland. This article is an open access article distributed under the terms and conditions of the Creative Commons Attribution (CC BY) license (https://creativecommons.org/licenses/by/4.0/).
Share and Cite
Li, Z.; Hu, Z.; Li, Y.; Wu, X.; Tian, J.; Zhou, W. Study on the Inner Mechanisms of Gas Transport in Matrix for Shale Gas Recovery with In Situ Heating Technology. Processes 2024, 12, 1247. https://doi.org/10.3390/pr12061247
Li Z, Hu Z, Li Y, Wu X, Tian J, Zhou W. Study on the Inner Mechanisms of Gas Transport in Matrix for Shale Gas Recovery with In Situ Heating Technology. Processes. 2024; 12(6):1247. https://doi.org/10.3390/pr12061247
Chicago/Turabian StyleLi, Zhongkang, Zantong Hu, Ying Li, Xiaojun Wu, Junqiang Tian, and Wenjing Zhou. 2024. "Study on the Inner Mechanisms of Gas Transport in Matrix for Shale Gas Recovery with In Situ Heating Technology" Processes 12, no. 6: 1247. https://doi.org/10.3390/pr12061247
APA StyleLi, Z., Hu, Z., Li, Y., Wu, X., Tian, J., & Zhou, W. (2024). Study on the Inner Mechanisms of Gas Transport in Matrix for Shale Gas Recovery with In Situ Heating Technology. Processes, 12(6), 1247. https://doi.org/10.3390/pr12061247
        