Constructing a Skeletal Iso-Propanol–Butanol–Ethanol (IBE)–Diesel Mechanism Using the Decoupling Method
Abstract
1. Introduction
2. Mechanism Construction
2.1. Strategy
2.2. Sub-Mechanism of Diesel
2.2.1. Sub-Mechanism of n-Dodecane, Iso-Octane, and Iso-Cetane
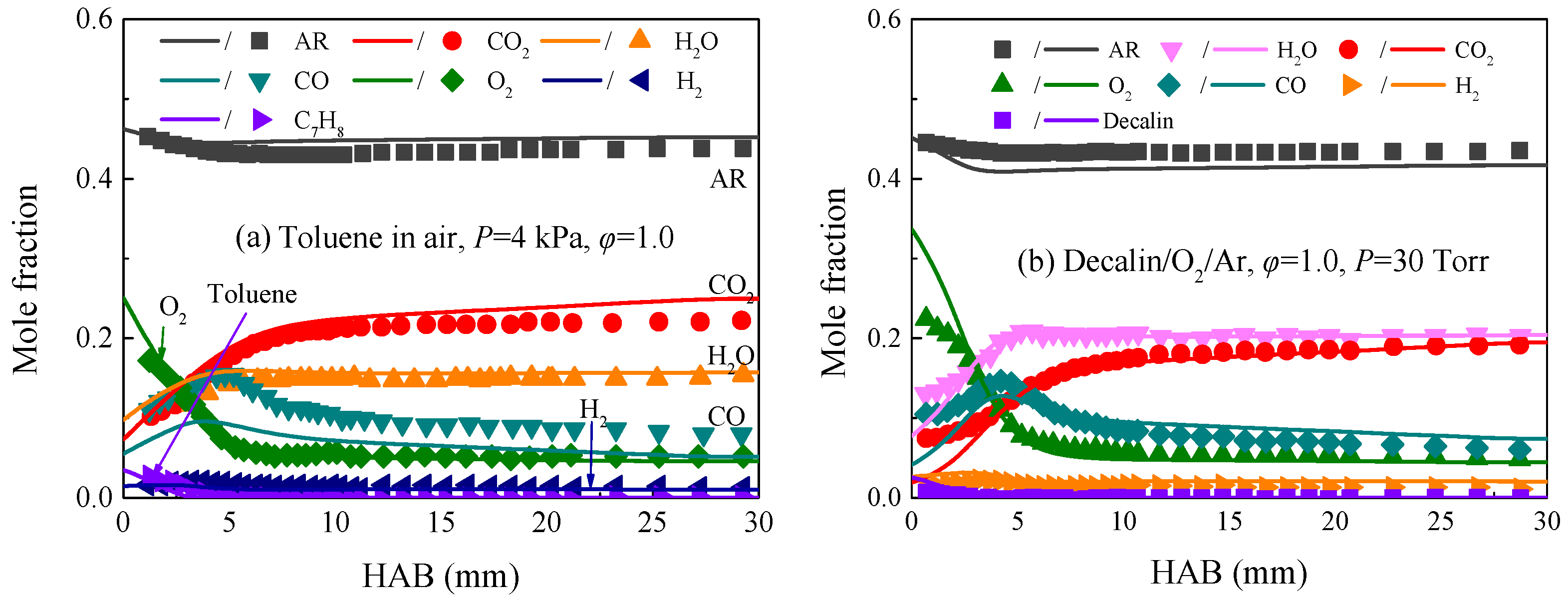
2.2.2. Sub-Mechanism of Decalin
2.2.3. Sub-Mechanism of Toluene
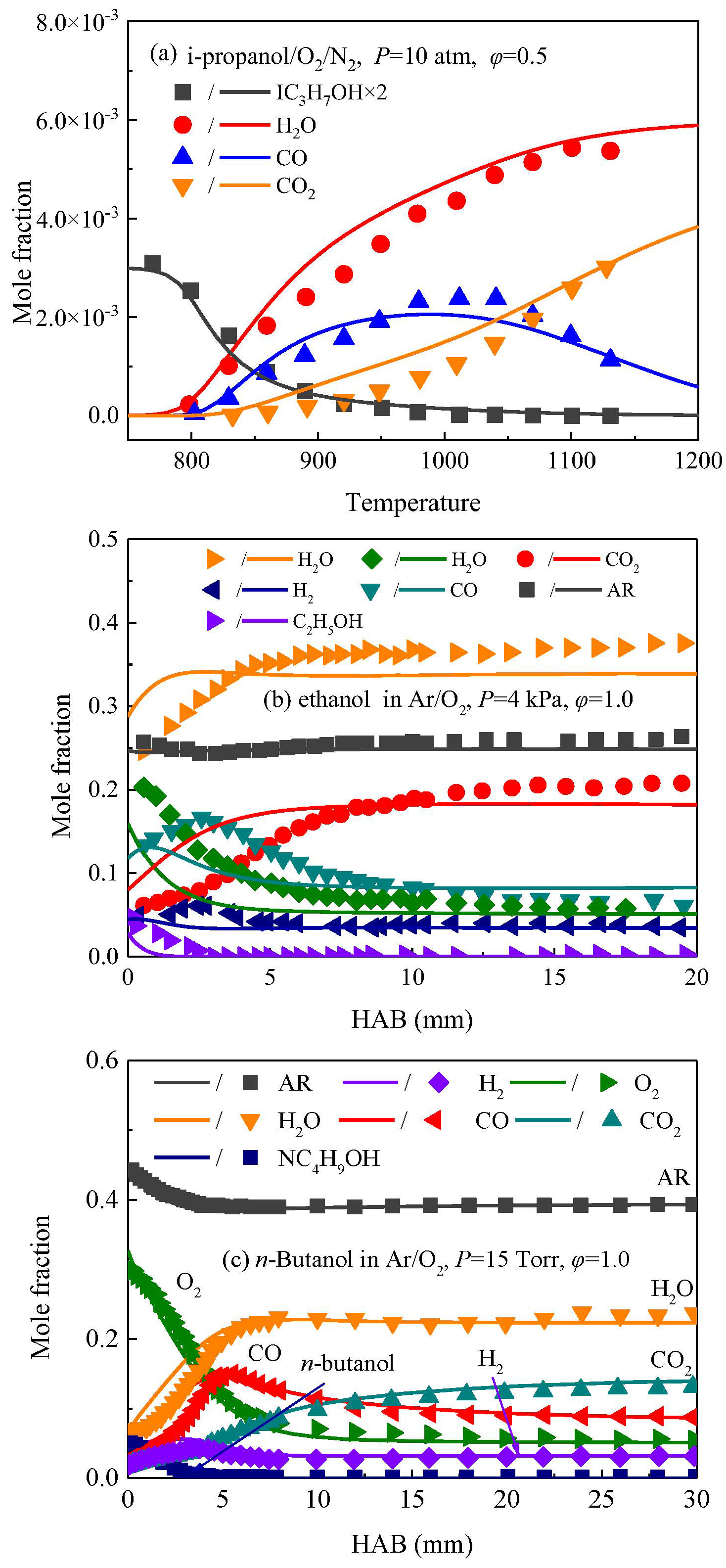
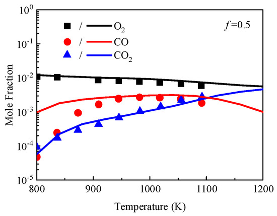
2.3. Sub-Mechanism of IBE
2.4. Soot and NOx Models
3. Mechanism Validation
3.1. Ignition Delay
3.2. Laminar Flame Speed
3.3. Premixed Flame Species Profile
3.4. Validation of Engine Combustion
4. Conclusions
Author Contributions
Funding
Data Availability Statement
Conflicts of Interest
References
- Meng, Z.; Chen, C.; Li, J.; Fang, J.; Tan, J.; Qin, Y.; Jiang, Y.; Qin, Z.; Bai, W.; Liang, K. Particle Emission Characteristics of DPF Regeneration from DPF Regeneration Bench and Diesel Engine Bench Measurements. Fuel 2020, 262, 116589. [Google Scholar] [CrossRef]
- Tan, Y.; Kou, C.; Jiaqiang, E.; Feng, C.; Han, D. Effect of Different Exhaust Parameters on Conversion Efficiency Enhancement of a Pd–Rh Three-Way Catalytic Converter for Heavy-Duty Natural Gas Engines. Energy 2024, 292, 130483. [Google Scholar] [CrossRef]
- Han, D.; Jiaqiang, E.; Feng, C.; Han, C.; Kou, C.; Tan, Y.; Peng, Y.; Wei, L. Experimental and Simulation Investigation on the Different Iron Content Beta Zeolite for Controlling the Cold-Start Hydrocarbon Emission from a Gasoline Vehicle. Energy 2024, 294, 130954. [Google Scholar] [CrossRef]
- Szwaja, S.; Naber, J.D. Combustion of n-Butanol in a Spark-Ignition IC Engine. Fuel 2010, 89, 1573–1582. [Google Scholar] [CrossRef]
- Lujaji, F.; Bereczky, A.; Janosi, L.; Novak, C.; Mbarawa, M. Cetane Number and Thermal Properties of Vegetable Oil, Biodiesel, 1-Butanol and Diesel Blends. J. Therm. Anal. Calorim. 2010, 102, 1175–1181. [Google Scholar] [CrossRef]
- Rakopoulos, D.C.; Rakopoulos, C.D.; Giakoumis, E.G.; Dimaratos, A.M.; Kyritsis, D.C. Effects of Butanol–Diesel Fuel Blends on the Performance and Emissions of a High-Speed DI Diesel Engine. Energy Convers. Manag. 2010, 51, 1989–1997. [Google Scholar] [CrossRef]
- Rakopoulos, D.C.; Rakopoulos, C.D.; Papagiannakis, R.G.; Kyritsis, D.C. Combustion Heat Release Analysis of Ethanol or n-Butanol Diesel Fuel Blends in Heavy-Duty DI Diesel Engine. Fuel 2011, 90, 1855–1867. [Google Scholar] [CrossRef]
- Tummala, S.B.; Welker, N.E.; Papoutsakis, E.T. Design of Antisense RNA Constructs for Downregulation of the Acetone Formation Pathway of Clostridium Acetobutylicum. J. Bacteriol. 2003, 185, 2973. [Google Scholar] [CrossRef]
- Dusséaux, S.; Croux, C.; Soucaille, P.; Meynial-Salles, I. Metabolic Engineering of Clostridium Acetobutylicum ATCC 824 for the High-Yield Production of a Biofuel Composed of an Isopropanol/Butanol/Ethanol Mixture. Metab. Eng. 2013, 18, 1–8. [Google Scholar] [CrossRef]
- Bankar, S.B.; Jurgens, G.; Survase, S.A.; Ojamo, H.; Granström, T. Enhanced Isopropanol–Butanol–Ethanol (IBE) Production in Immobilized Column Reactor Using Modified Clostridium Acetobutylicum DSM792. Fuel 2014, 136, 226–232. [Google Scholar] [CrossRef]
- Jang, Y.; Malaviya, A.; Lee, J.; Im, J.A.; Lee, S.Y.; Lee, J.; Eom, M.; Cho, J.; Seung, D.Y. Metabolic Engineering of Clostridium Acetobutylicum for the Enhanced Production of Isopropanol-butanol-ethanol Fuel Mixture. Biotechnol. Prog. 2013, 29, 1083–1088. [Google Scholar] [CrossRef]
- Li, Y.; Meng, L.; Nithyanandan, K.; Lee, T.H.; Lin, Y.; Lee, C.F.; Liao, S. Combustion, Performance and Emissions Characteristics of a Spark-Ignition Engine Fueled with Isopropanol-n-Butanol-Ethanol and Gasoline Blends. Fuel 2016, 184, 864–872. [Google Scholar] [CrossRef]
- Li, Y.; Chen, Y.; Wu, G.; Liu, J. Experimental Evaluation of Water-Containing Isopropanol-n-Butanol-Ethanol and Gasoline Blend as a Fuel Candidate in Spark-Ignition Engine. Appl. Energy 2018, 219, 42–52. [Google Scholar] [CrossRef]
- Li, G.; Liu, Z.; Lee, T.H.; Lee, C.F.; Zhang, C. Effects of Dilute Gas on Combustion and Emission Characteristics of a Common-Rail Diesel Engine Fueled with Isopropanol-Butanol-Ethanol and Diesel Blends. Energy Convers. Manag. 2018, 165, 373–381. [Google Scholar] [CrossRef]
- Lee, T.H.; Hansen, A.C.; Li, G.; Lee, T. Effects of Isopropanol-Butanol-Ethanol and Diesel Fuel Blends on Combustion Characteristics in a Constant Volume Chamber. Fuel 2019, 254, 115613. [Google Scholar] [CrossRef]
- Hu, J.; Abubakar, S.; Li, Y. A Novel Reduced I-Propanol-n-Butanol-Ethanol (IBE)/Diesel Mechanism for Engine Combustion and Emissions Prediction. Fuel 2020, 278, 118291. [Google Scholar] [CrossRef]
- Li, Y.; Lou, B.; Abubakar, S.; Wu, G. Skeletal Mechanism for I-Propanol-n-Butanol-Ethanol (IBE) and n-Butanol Combustion in Diesel Engine. Fuel 2021, 302, 121136. [Google Scholar] [CrossRef]
- Farrell, J.T.; Cernansky, N.P.; Dryer, F.L.; Law, C.K.; Friend, D.G.; Hergart, C.A.; McDavid, R.M.; Patel, A.K.; Mueller, C.J.; Pitsch, H. Development of an Experimental Database and Kinetic Models for Surrogate Diesel Fuels; SAE International: Warrendale, PA, USA, 2007. [Google Scholar]
- Pitz, W.J.; Mueller, C.J. Recent Progress in the Development of Diesel Surrogate Fuels. Prog. Energy Combust. Sci. 2011, 37, 330–350. [Google Scholar] [CrossRef]
- Luo, J.; Yao, M.; Liu, H.; Yang, B. Experimental and Numerical Study on Suitable Diesel Fuel Surrogates in Low Temperature Combustion Conditions. Fuel 2012, 97, 621–629. [Google Scholar] [CrossRef]
- Weber, J.; Won, H.W.; Peters, N. Experimental Validation of a Surrogate Fuel for Diesel; SAE International: Warrendale, PA, USA, 2007. [Google Scholar]
- Yu, W.; Zhao, F.; Yang, W.; Tay, K.; Xu, H. Development of an Optimization Methodology for Formulating Both Jet Fuel and Diesel Fuel Surrogates and Their Associated Skeletal Oxidation Mechanisms. Fuel 2018, 231, 361–372. [Google Scholar] [CrossRef]
- Chang, Y.; Jia, M.; Li, Y.; Liu, Y.; Xie, M.; Wang, H.; Reitz, R.D. Development of a Skeletal Mechanism for Diesel Surrogate Fuel by Using a Decoupling Methodology. Combust. Flame 2015, 162, 3785–3802. [Google Scholar] [CrossRef]
- Dong, X.; Chang, Y.; Niu, B.; Jia, M. Development of a Practical Reaction Model of Polycyclic Aromatic Hydrocarbon (PAH) Formation and Oxidation for Diesel Surrogate Fuel. Fuel 2020, 267, 117159. [Google Scholar] [CrossRef]
- Dagaut, P.; Cathonnet, M. The Ignition, Oxidation, and Combustion of Kerosene: A Review of Experimental and Kinetic Modeling. Prog. Energy Combust. Sci. 2006, 32, 48–92. [Google Scholar] [CrossRef]
- Ranzi, E.; Cavallotti, C.; Cuoci, A.; Frassoldati, A.; Pelucchi, M.; Faravelli, T. New Reaction Classes in the Kinetic Modeling of Low Temperature Oxidation of n-Alkanes. Combust. Flame 2015, 162, 1679–1691. [Google Scholar] [CrossRef]
- Fan, W.; Jia, M.; Chang, Y.; Xie, M. Understanding the Relationship between Cetane Number and the Ignition Delay in Shock Tubes for Different Fuels Based on a Skeletal Primary Reference Fuel (n-Hexadecane/Iso-Cetane) Mechanism. Energy Fuels 2015, 29, 3413–3427. [Google Scholar] [CrossRef]
- Dagaut, P.; Ristori, A.; Frassoldati, A.; Faravelli, T.; Dayma, G.; Ranzi, E. Experimental and Semi-Detailed Kinetic Modeling Study of Decalin Oxidation and Pyrolysis over a Wide Range of Conditions. Proc. Combust. Inst. 2013, 34, 289–296. [Google Scholar] [CrossRef]
- Man, X.; Tang, C.; Zhang, J.; Zhang, Y.; Pan, L.; Huang, Z.; Law, C.K. An Experimental and Kinetic Modeling Study of n-Propanol and i-Propanol Ignition at High Temperatures. Combust. Flame 2014, 161, 644–656. [Google Scholar] [CrossRef]
- Mittal, G.; Burke, S.M.; Davies, V.A.; Parajuli, B.; Metcalfe, W.K.; Curran, H.J. Autoignition of Ethanol in a Rapid Compression Machine. Combust. Flame 2014, 161, 1164–1171. [Google Scholar] [CrossRef]
- Chang, Y.; Jia, M.; Xiao, J.; Li, Y.; Fan, W.; Xie, M. Construction of a Skeletal Mechanism for Butanol Isomers Based on the Decoupling Methodology. Energy Convers. Manag. 2016, 128, 250–260. [Google Scholar] [CrossRef]
- Zhang, P.; Klippenstein, S.J.; Law, C.K. Ab Initio Kinetics for the Decomposition of Hydroxybutyl and Butoxy Radicals of n -Butanol. J. Phys. Chem. A 2013, 117, 1890–1906. [Google Scholar] [CrossRef]
- Sarathy, S.M.; Vranckx, S.; Yasunaga, K.; Mehl, M.; Oßwald, P.; Metcalfe, W.K.; Westbrook, C.K.; Pitz, W.J.; Kohse-Höinghaus, K.; Fernandes, R.X.; et al. A Comprehensive Chemical Kinetic Combustion Model for the Four Butanol Isomers. Combust. Flame 2012, 159, 2028–2055. [Google Scholar] [CrossRef]
- Tao, F.; Reitz, R.D.; Foster, D.E.; Liu, Y. Nine-Step Phenomenological Diesel Soot Model Validated over a Wide Range of Engine Conditions. Int. J. Therm. Sci. 2009, 48, 1223–1234. [Google Scholar] [CrossRef]
- Vishwanathan, G.; Reitz, R.D. Development of a Practical Soot Modeling Approach and Its Application to Low-Temperature Diesel Combustion. Combust. Sci. Technol. 2010, 182, 1050–1082. [Google Scholar] [CrossRef]
- Bergman, M.; Golovitchev, V.I. Application of Transient Temperature vs. Equivalence Ratio Emission Maps to Engine Simulations; SAE International: Warrendale, PA, USA, 2007. [Google Scholar]
- Vasu, S.S.; Davidson, D.F.; Hong, Z.; Vasudevan, V.; Hanson, R.K. N-Dodecane Oxidation at High-Pressures: Measurements of Ignition Delay Times and OH Concentration Time-Histories. Proc. Combust. Inst. 2009, 32, 173–180. [Google Scholar] [CrossRef]
- Campbell, M.F.; Davidson, D.F.; Hanson, R.K. Ignition Delay Times of Very-Low-Vapor-Pressure Biodiesel Surrogates behind Reflected Shock Waves. Fuel 2014, 126, 271–281. [Google Scholar] [CrossRef]
- Fieweger, K.; Blumenthal, R.; Adomeit, G. Self-Ignition of S.I. Engine Model Fuels: A Shock Tube Investigation at High Pressure. Combust. Flame 1997, 109, 599–619. [Google Scholar] [CrossRef]
- Davidson, D.F.; Gauthier, B.M.; Hanson, R.K. Shock Tube Ignition Measurements of Iso-Octane/Air and Toluene/Air at High Pressures. Proc. Combust. Inst. 2005, 30, 1175–1182. [Google Scholar] [CrossRef]
- Oehlschlaeger, M.A.; Steinberg, J.; Westbrook, C.K.; Pitz, W.J. The Autoignition of Iso-Cetane at High to Moderate Temperatures and Elevated Pressures: Shock Tube Experiments and Kinetic Modeling. Combust. Flame 2009, 156, 2165–2172. [Google Scholar] [CrossRef]
- Shen, H.-P.S.; Vanderover, J.; Oehlschlaeger, M.A. A Shock Tube Study of the Auto-Ignition of Toluene/Air Mixtures at High Pressures. Proc. Combust. Inst. 2009, 32, 165–172. [Google Scholar] [CrossRef]
- Westbrook, C.K.; Pitz, W.J.; Herbinet, O.; Curran, H.J.; Silke, E.J. A Comprehensive Detailed Chemical Kinetic Reaction Mechanism for Combustion of n-Alkane Hydrocarbons from n-Octane to n-Hexadecane. Combust. Flame 2009, 156, 181–199. [Google Scholar] [CrossRef]
- Gowdagiri, S.; Wang, W.; Oehlschlaeger, M.A. A Shock Tube Ignition Delay Study of Conventional Diesel Fuel and Hydroprocessed Renewable Diesel Fuel from Algal Oil. Fuel 2014, 128, 21–29. [Google Scholar] [CrossRef]
- Dunphy, M.P.; Simmie, J.M. High-Temperature Oxidation of Ethanol. Part 1—Ignition Delays in Shock Waves. J. Chem. Soc. Faraday Trans. 1991, 87, 1691–1696. [Google Scholar] [CrossRef]
- Heufer, K.A.; Fernandes, R.X.; Olivier, H.; Beeckmann, J.; Röhl, O.; Peters, N. Shock Tube Investigations of Ignition Delays of n-Butanol at Elevated Pressures between 770 and 1250K. Proc. Combust. Inst. 2011, 33, 359–366. [Google Scholar] [CrossRef]
- Vranckx, S.; Heufer, K.A.; Lee, C.; Olivier, H.; Schill, L.; Kopp, W.A.; Leonhard, K.; Taatjes, C.A.; Fernandes, R.X. Role of Peroxy Chemistry in the High-Pressure Ignition of n-Butanol—Experiments and Detailed Kinetic Modelling. Combust. Flame 2011, 158, 1444–1455. [Google Scholar] [CrossRef]
- Hui, X.; Sung, C.-J. Laminar Flame Speeds of Transportation-Relevant Hydrocarbons and Jet Fuels at Elevated Temperatures and Pressures. Fuel 2013, 109, 191–200. [Google Scholar] [CrossRef]
- Ji, C.; Dames, E.; Wang, Y.L.; Wang, H.; Egolfopoulos, F.N. Propagation and Extinction of Premixed C5–C12 n-Alkane Flames. Combust. Flame 2010, 157, 277–287. [Google Scholar] [CrossRef]
- Davis, S.G.; Law, C.K. Laminar Flame Speeds and Oxidation Kinetics of Iso-Octane-Air and n-Heptane-Air Flames. Symp. Int. Combust. 1998, 27, 521–527. [Google Scholar] [CrossRef]
- Johnston, R.J.; Farrell, J.T. Laminar Burning Velocities and Markstein Lengths of Aromatics at Elevated Temperature and Pressure. Proc. Combust. Inst. 2005, 30, 217–224. [Google Scholar] [CrossRef]
- Li, G.; Yang, W.; Tay, K.L.; Yu, W.; Chen, L. A Reduced and Robust Reaction Mechanism for Toluene and Decalin Oxidation with Polycyclic Aromatic Hydrocarbon Predictions. Fuel 2020, 259, 116233. [Google Scholar] [CrossRef]
- Nakamura, H.; Suzuki, S.; Tezuka, T.; Hasegawa, S.; Maruta, K. Sooting Limits and PAH Formation of n-Hexadecane and 2,2,4,4,6,8,8-Heptamethylnonane in a Micro Flow Reactor with a Controlled Temperature Profile. Proc. Combust. Inst. 2015, 35, 3397–3404. [Google Scholar] [CrossRef]
- Dooley, S.; Won, S.H.; Heyne, J.; Farouk, T.I.; Ju, Y.; Dryer, F.L.; Kumar, K.; Hui, X.; Sung, C.-J.; Wang, H.; et al. The Experimental Evaluation of a Methodology for Surrogate Fuel Formulation to Emulate Gas Phase Combustion Kinetic Phenomena. Combust. Flame 2012, 159, 1444–1466. [Google Scholar] [CrossRef]
- Li, W.; Zhang, Y.; Mei, B.; Li, Y.; Cao, C.; Zou, J.; Yang, J.; Cheng, Z. Experimental and Kinetic Modeling Study of n-Propanol and i-Propanol Combustion: Flow Reactor Pyrolysis and Laminar Flame Propagation. Combust. Flame 2019, 207, 171–185. [Google Scholar] [CrossRef]
- Veloo, P.S.; Wang, Y.L.; Egolfopoulos, F.N.; Westbrook, C.K. A Comparative Experimental and Computational Study of Methanol, Ethanol, and n-Butanol Flames. Combust. Flame 2010, 157, 1989–2004. [Google Scholar] [CrossRef]
- van Lipzig, J.P.J.; Nilsson, E.J.K.; de Goey, L.P.H.; Konnov, A.A. Laminar Burning Velocities of n-Heptane, Iso-Octane, Ethanol and Their Binary and Tertiary Mixtures. Fuel 2011, 90, 2773–2781. [Google Scholar] [CrossRef]
- Egolfopoulos, F.N.; Du, D.X.; Law, C.K. A Study on Ethanol Oxidation Kinetics in Laminar Premixed Flames, Flow Reactors, and Shock Tubes. Symp. Int. Combust. 1992, 24, 833–841. [Google Scholar] [CrossRef]
- Vancoillie, J.; Christensen, M.; Nilsson, E.J.K.; Verhelst, S.; Konnov, A.A. Temperature Dependence of the Laminar Burning Velocity of Methanol Flames. Energy Fuels 2012, 26, 1557–1564. [Google Scholar] [CrossRef]
- Broustail, G.; Seers, P.; Halter, F.; Moréac, G.; Mounaim-Rousselle, C. Experimental Determination of Laminar Burning Velocity for Butanol and Ethanol Iso-Octane Blends. Fuel 2011, 90, 1–6. [Google Scholar] [CrossRef]
- Zeng, M.; Wullenkord, J.; Graf, I.; Kohse-Höinghaus, K. Influence of Dimethyl Ether and Diethyl Ether Addition on the Flame Structure and Pollutant Formation in Premixed Iso-Octane Flames. Combust. Flame 2017, 184, 41–54. [Google Scholar] [CrossRef]
- Mzé-Ahmed, A.; Hadj-Ali, K.; Dagaut, P.; Dayma, G. Experimental and Modeling Study of the Oxidation Kinetics of n-Undecane and n-Dodecane in a Jet-Stirred Reactor. Energy Fuels 2012, 26, 4253–4268. [Google Scholar] [CrossRef]
- Dagaut, P.; Hadj-Ali, K. Chemical Kinetic Study of the Oxidation of Isocetane (2,2,4,4,6,8,8-Heptamethylnonane) in a Jet-Stirred Reactor: Experimental and Modeling. Energy Fuels 2009, 23, 2389–2395. [Google Scholar] [CrossRef]
- Li, Y.; Cai, J.; Zhang, L.; Yuan, T.; Zhang, K.; Qi, F. Investigation on Chemical Structures of Premixed Toluene Flames at Low Pressure. Proc. Combust. Inst. 2011, 33, 593–600. [Google Scholar] [CrossRef]
- Zeng, M.; Li, Y.; Yuan, W.; Li, T.; Wang, Y.; Zhou, Z.; Zhang, L.; Qi, F. Experimental and Kinetic Modeling Study of Laminar Premixed Decalin Flames. Proc. Combust. Inst. 2017, 36, 1193–1202. [Google Scholar] [CrossRef]
- Skeen, S.A.; Yang, B.; Jasper, A.W.; Pitz, W.J.; Hansen, N. Chemical Structures of Low-Pressure Premixed Methylcyclohexane Flames as Benchmarks for the Development of a Predictive Combustion Chemistry Model. Energy Fuels 2011, 25, 5611–5625. [Google Scholar] [CrossRef]
- Mati, K.; Ristori, A.; Gaïl, S.; Pengloan, G.; Dagaut, P. The Oxidation of a Diesel Fuel at 1–10 Atm: Experimental Study in a JSR and Detailed Chemical Kinetic Modeling. Proc. Combust. Inst. 2007, 31, 2939–2946. [Google Scholar] [CrossRef]
- Togbé, C.; Dagaut, P.; Halter, F.; Foucher, F. 2-Propanol Oxidation in a Pressurized Jet-Stirred Reactor (JSR) and Combustion Bomb: Experimental and Detailed Kinetic Modeling Study. Energy Fuels 2011, 25, 676–683. [Google Scholar] [CrossRef]
- Hansen, N.; Harper, M.R.; Green, W.H. High-Temperature Oxidation Chemistry of n-Butanol–Experiments in Low-Pressure Premixed Flames and Detailed Kinetic Modeling. Phys. Chem. Chem. Phys. 2011, 13, 20262. [Google Scholar] [CrossRef]




















| Engine Specifications | Operation Conditions | ||
|---|---|---|---|
| Type | 4-stroke diesel engine | Engine speed (rpm) | 1000 |
| Bore stroke (mm) | 81 × 88 | Amount of injected fuel (mg/cycle) | 17.9 |
| Displaced volume (L) | 2.7 | Pilot start of injection (°CA) | 344.5 |
| Compression ratio | 17.3:1 | Main start of injection (°CA) | 362.5 |
| Diesel injection system | Common rail | Pilot/main injection ratio | 1/12 |
| Number of injection holes | 6 | Intake valve close (°CA) | 210 |
| Diameter of injection holes (mm) | 0.127 | Exhaust valve open (°CA) | 490 |
Disclaimer/Publisher’s Note: The statements, opinions and data contained in all publications are solely those of the individual author(s) and contributor(s) and not of MDPI and/or the editor(s). MDPI and/or the editor(s) disclaim responsibility for any injury to people or property resulting from any ideas, methods, instructions or products referred to in the content. |
© 2024 by the authors. Licensee MDPI, Basel, Switzerland. This article is an open access article distributed under the terms and conditions of the Creative Commons Attribution (CC BY) license (https://creativecommons.org/licenses/by/4.0/).
Share and Cite
Ma, Y.; Zhao, S.; Zhao, J.; Fu, J.; Yuan, W. Constructing a Skeletal Iso-Propanol–Butanol–Ethanol (IBE)–Diesel Mechanism Using the Decoupling Method. Processes 2024, 12, 995. https://doi.org/10.3390/pr12050995
Ma Y, Zhao S, Zhao J, Fu J, Yuan W. Constructing a Skeletal Iso-Propanol–Butanol–Ethanol (IBE)–Diesel Mechanism Using the Decoupling Method. Processes. 2024; 12(5):995. https://doi.org/10.3390/pr12050995
Chicago/Turabian StyleMa, Yi, Shaomin Zhao, Junhong Zhao, Jun Fu, and Wenhua Yuan. 2024. "Constructing a Skeletal Iso-Propanol–Butanol–Ethanol (IBE)–Diesel Mechanism Using the Decoupling Method" Processes 12, no. 5: 995. https://doi.org/10.3390/pr12050995
APA StyleMa, Y., Zhao, S., Zhao, J., Fu, J., & Yuan, W. (2024). Constructing a Skeletal Iso-Propanol–Butanol–Ethanol (IBE)–Diesel Mechanism Using the Decoupling Method. Processes, 12(5), 995. https://doi.org/10.3390/pr12050995

