Oxidation Study and Mechanism Analysis of Desulfurization Ash in Dense-Phase Tower
Abstract
1. Introduction
2. Materials and Methods
2.1. Materials and Instruments
2.2. Methodology
3. Results and Discussion
3.1. Effect of Nitrogen-to-Oxygen Ratio on the Oxidation of CaSO3
3.2. Effect of Temperature on the Oxidation of CaSO3
3.3. Effect of Gas Flow Rate on the Oxidation of CaSO3
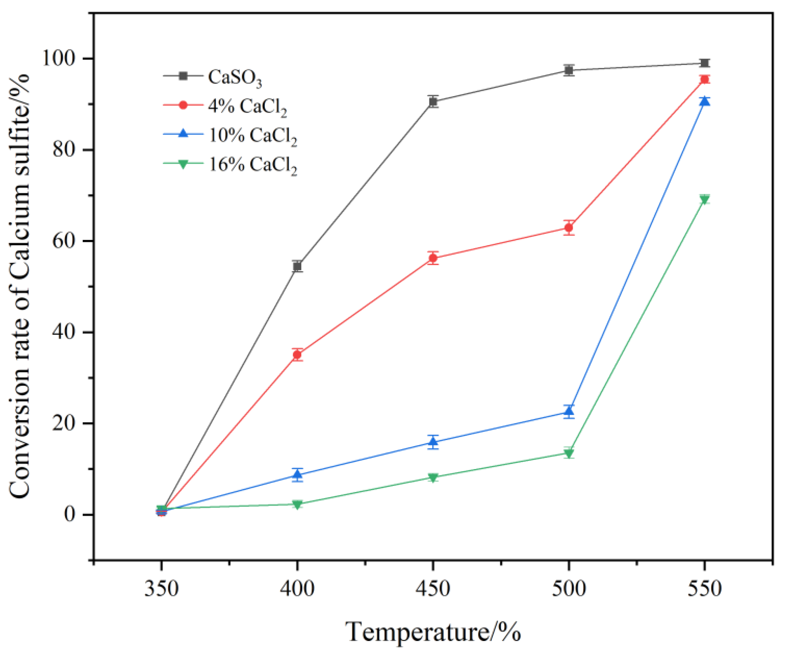
3.4. Effect of CaCl2 Content on the Oxidation of CaSO3
3.5. Thermodynamic Analysis of Desulfurization Ash Oxidation
4. Conclusions
- (1)
- The conversion of CaSO3 in dense-phase tower desulfurization ash was achieved through heating with oxygen-containing flue gas flowing in the main body of the equipment. The efficiency of this conversion process depended on the extent of gas contact, which was more uniform when the flow rate of gas was sufficient. Additionally, the conversion efficiency was influenced by the gradient change in the reactor’s reaction flow rate velocity cross-section. Research findings indicate that at a reaction temperature of 420 °C and a gas flow rate of 85 mL·min−1, the conversion efficiency exceeded 89%.
- (2)
- The oxidation rate of CaSO3 in desulfurization ash was influenced by the oxygen content, and the conversion rate increased with higher oxygen content. However, the effect of oxygen content had an upper limit and did not show an unlimited impact. Moreover, at low oxygen content, increasing the reaction temperature significantly enhanced the oxidation conversion rate of CaSO3.
- (3)
- The presence of chloride hindered the oxidation reaction of CaSO3, with a particularly pronounced inhibition effect when its percentage exceeded 10%. However, the inhibition effect diminished rapidly at reaction temperatures above 500 °C.
- (4)
- Through thermodynamic analysis, it was determined that the oxidation temperature of the desulfurization ash should be set below 550 °C during the actual industrial oxidation process, thus preventing the decomposition of calcium sulfate and calcium hydroxide.
Author Contributions
Funding
Data Availability Statement
Conflicts of Interest
References
- Xu, G.; Guo, Q.; Kaneko, T.; Kato, K. A new semi-dry desulfurization process using a powder-particle spouted bed. Adv. Environ. Res. 2000, 4, 9–18. [Google Scholar] [CrossRef]
- Chang, G.; Song, C.; Wang, L. A modeling and experimental study of flue gas desulfurization in a dense phase tower. J. Hazard. Mater. 2011, 189, 134–140. [Google Scholar] [CrossRef] [PubMed]
- Xining, L.; Cunyi, S.; Zhensong, T.; Nan, X. Humifying and cooling in tower of dense flow absorber semidry flue gas desulphurization and effects on desulfurization efficiency. J. Environ. Eng. 2015, 9, 2955–2962. [Google Scholar]
- Zaremba, T.; Mokrosz, W.; Hehlmann, J.; Szwalikowska, A.; Stapiński, G. Properties of the wastes produced in the semi-dry FGD installation. J. Therm. Anal. Calorim. 2008, 93, 439–443. [Google Scholar] [CrossRef]
- Lingchen, K.; Lijun, L.; Fuzhi, L.; Jingfang, T.; Yun, C.; Gaoming, C.; Bin, C. Study on chemical composition analysis method of semi-dry sintered flue gas desulfurization ash. Chem. Eng. Equip. 2016, 10, 210–212. [Google Scholar]
- Cheng, C.M.; Amaya, M.; Lin, S.; Su, Q.; Wu, M.C.; Butalia, T.; Wolfe, W. Leaching characterization of dry flue gas desulfurization materials produced from different flue gas sources in China. Fuel 2017, 204, 195–205. [Google Scholar] [CrossRef]
- Shi, L.; Xu, P.; Xie, K.; Tang, S.; Li, Y. Preparation of a modified flue gas desulphurization residue and its effect on pot sorghum growth and acidic soil amelioration. J. Hazard. Mater. 2011, 192, 978–985. [Google Scholar] [CrossRef] [PubMed]
- Bin, G.; Jingfeng, B.; Ailing, R. Study on oxidation of calciumsulfate in the desulfurization ash of semi-dry sintering flue gas. Environ. Pollut Control. 2009, 31, 1–4. [Google Scholar]
- Xinyu, Y. Ashes Based on its Characteristics A Preliminary Study on the Conversion of Semi-Dry FGD. Master’s Thesis, Huazhong University of Science and Technology, Wuhan, China, 2013. [Google Scholar]
- Navarrete, I.; Vargas, F.; Martinez, P.; Paul, A.; Lopez, M. Flue gas desulfurization (FGD) fly ash as a sustainable, safe alternative for cement-based materials. J. Clean. Prod. 2021, 283, 124646. [Google Scholar] [CrossRef]
- Wansom, S.; Chintasongkro, P.; Srijampan, W. Water resistant blended cements containing flue-gas desulfurization gypsum, Portland cement and fly ash for structural applications. Cem. Concr. Compos. 2019, 103, 134–148. [Google Scholar] [CrossRef]
- Tzouvalas, G.; Rantis, G.; Tsimas, S. Alternative calcium-sulfate-bearing materials as cement retarders: Part II. FGD gypsum. Cem. Concr. Res. 2004, 34, 2119–2125. [Google Scholar] [CrossRef]
- Fu, B.H.; Ge, J.L.; Zheng, Y.H. Feasibility research on taking ash in DFGD as cement mixture and retarder. Electr. Power Environ. Prot. 2000, 16, 35–38. [Google Scholar]
- Iribarne, J.; Iribarne, A.; Blondin, J.; Anthony, E.J. Hydration of combustion ashes—A chemical and physical study. Fuel 2001, 80, 773–784. [Google Scholar] [CrossRef]
- Motzet, H.; Pöllmann, H. Synthesis and characterisation of sulfite-containing AFm phases in the system CaO-Al2O3-SO2-H2O. Cem. Concr. Res. 1999, 29, 1005–1011. [Google Scholar] [CrossRef]
- Renedo, M.J.; Fernández, J. Preparation, Characterization, and Calcium Utilization of Fly Ash/Ca(OH)2 Sorbents for Dry Desulfurization at Low Temperature. Ind. Eng. Chem. Res. 2002, 41, 2412–2417. [Google Scholar] [CrossRef]
- Yao, L. Study on Modification and Application of Semi-Dry Sintering Flue Gas Desulphurization Ash. Master’s Thesis, Chongqing University, Chongqing, China, 2016. [Google Scholar]
- GB/T 5484-2012; Methods for Chemical Analysis of Gypsum. State Administration for Market Regulation. Standardization Administration of the People’s Republic of China: Beijing, China, 2012.







| Element | CaO | SO3 | CO2 | Cl | K2O | MgO | N | Fe2O3 | SiO2 | Na2O | F | Al2O3 |
|---|---|---|---|---|---|---|---|---|---|---|---|---|
| Desulfurization ash | 51.9 | 27.75 | 15.54 | 3.7 | 1.79 | 1.07 | 0.83 | 0.69 | 0.54 | 0.52 | 0.33 | 0.39 |
| Particle Size Range (μm) | <3.02 | <5.03 | <7.07 | <11.79 | <27.64 |
|---|---|---|---|---|---|
| Proportion (%) | 27.40 | 49.82 | 66.14 | 86.52 | 99.77 |
| Experimental Methods | Agents | Specifications | Experimental Methods | Agents | Specifications |
|---|---|---|---|---|---|
| The iodometric method | Iodine | AR | Barium sulphate method | Potassium iodate | AR |
| Potassium iodide | AR | Hydrochloric acid | AR | ||
| Sodium hyposulfide | AR | Silver nitrate | AR | ||
| Sodium carbonate | AR | Ashless filter paper | - | ||
| Soluble starch | AR | Barium chloride | AR | ||
| Sodium acetate | AR | Nitric acid | AR | ||
| Acetic acid | AR | Sucrose method | Sucrose | AR | |
| Phosphoric acid | AR | High temperature oxidation test | Calcium chloride | AR |
Disclaimer/Publisher’s Note: The statements, opinions and data contained in all publications are solely those of the individual author(s) and contributor(s) and not of MDPI and/or the editor(s). MDPI and/or the editor(s) disclaim responsibility for any injury to people or property resulting from any ideas, methods, instructions or products referred to in the content. |
© 2024 by the authors. Licensee MDPI, Basel, Switzerland. This article is an open access article distributed under the terms and conditions of the Creative Commons Attribution (CC BY) license (https://creativecommons.org/licenses/by/4.0/).
Share and Cite
Lu, G.; Li, H.; Ma, H.; Leng, T. Oxidation Study and Mechanism Analysis of Desulfurization Ash in Dense-Phase Tower. Processes 2024, 12, 1008. https://doi.org/10.3390/pr12051008
Lu G, Li H, Ma H, Leng T. Oxidation Study and Mechanism Analysis of Desulfurization Ash in Dense-Phase Tower. Processes. 2024; 12(5):1008. https://doi.org/10.3390/pr12051008
Chicago/Turabian StyleLu, Gang, Hao Li, Hongzhi Ma, and Tingshuang Leng. 2024. "Oxidation Study and Mechanism Analysis of Desulfurization Ash in Dense-Phase Tower" Processes 12, no. 5: 1008. https://doi.org/10.3390/pr12051008
APA StyleLu, G., Li, H., Ma, H., & Leng, T. (2024). Oxidation Study and Mechanism Analysis of Desulfurization Ash in Dense-Phase Tower. Processes, 12(5), 1008. https://doi.org/10.3390/pr12051008

