Failure Prediction of Coal Mine Equipment Braking System Based on Digital Twin Models
Abstract
1. Introduction
2. Theoretical Foundation
2.1. Analysis of Forces on Disc Brakes
2.2. Equation of State for Disc Brakes
2.3. Modelling Analysis of Constant Deceleration Braking System
2.4. Proportional Directional Valve Modelling
2.5. Proportional Directional Valve Controlled Brake Modelling
3. Brake System Stuck Cylinder Simulation
3.1. Model Building
3.2. Simulation Results
4. Experimental Validation
5. Brake System Failure Prediction Based on CNN-LSTM Algorithm
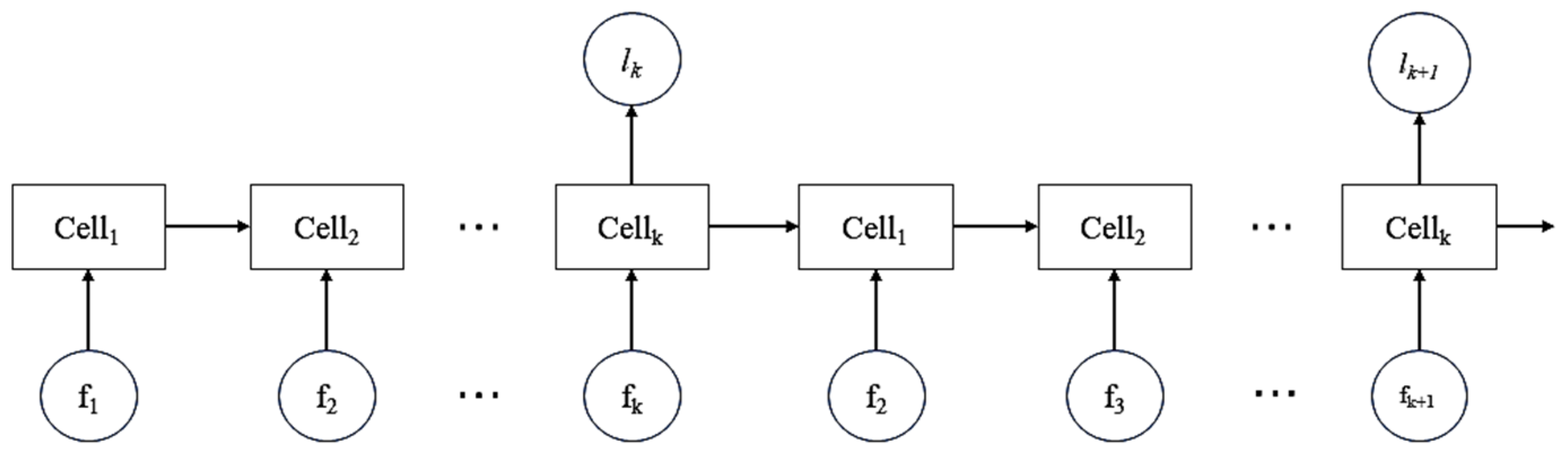
5.1. Principles of CNN-LSTM
5.2. Principles of CNN-LSTM
6. Conclusions
Author Contributions
Funding
Data Availability Statement
Acknowledgments
Conflicts of Interest
References
- Tao, F.; Zhang, H.; Liu, A.; Nee, A.Y.C. Digital Twin in Industry: State-of-the-Art. IEEE Trans. Ind. Inform. 2019, 15, 2405–2415. [Google Scholar] [CrossRef]
- Aivaliotis, P.; Arkouli, Z.; Georgoulias, K.; Makris, S. Degradation curves integration in physics-based models: Towards the predictive maintenance of industrial robots. Robot. Comput. Integr. Manuf. 2021, 71, 102177. [Google Scholar] [CrossRef]
- Boloz, L.; Bialy, W. Automation and Robotization of Underground Mining in Poland. Appl. Sci. 2020, 10, 7221. [Google Scholar] [CrossRef]
- Nakamatsu, K. Research Status and Trend Analysis of Coal Mine Electro-Mechanical Equipment Maintenance under the Background of Smart Mine Construction; Springer: Singapore, 2022; pp. 263–272. [Google Scholar]
- Aivaliotis, P.; Georgoulias, K.; Arkouli, Z.; Makris, S. Methodology for enabling Digital Twin using advanced physics-based modelling in predictive maintenance. Procedia CIRP 2019, 81, 417–422. [Google Scholar] [CrossRef]
- Zhang, R.; Wang, F.; Cai, J.; Wang, Y. Digital twin and its applications: A survey. Int. J. Adv. Manuf. Technol. 2022, 123, 4123–4136. [Google Scholar] [CrossRef]
- Wu, J.; Yang, Y.; Cheng, X.; Zuo, H.; Cheng, Z. The Development of Digital Twin Technology Review. In Proceedings of the 2020 Chinese Automation Congress (CAC), Shanghai, China, 6–8 November 2020. [Google Scholar]
- Li, L.; Aslam, S.; Wileman, A.; Perinpanayagam, S. Digital Twin in Aerospace Industry: A Gentle Introduction. IEEE Access 2022, 10, 9543–9562. [Google Scholar] [CrossRef]
- Qi, Q.; Tao, F.; Zuo, Y.; Zhao, D. Digital Twin Service towards Smart Manufacturing. Procedia CIRP 2018, 72, 237–242. [Google Scholar] [CrossRef]
- Ding, H.; Zhao, L.; Yan, J.; Feng, H.-Y. Implementation of Digital Twin in Actual Production: Intelligent assembly paradigm for large-scale industrial equipment. Machines 2023, 11, 1031. [Google Scholar]
- He, Y.; Gao, Z. Joint Optimization of Preventive Maintenance and Spare Parts Ordering Considering Imperfect Detection. Systems 2023, 11, 445. [Google Scholar] [CrossRef]
- Wang, X.; Hu, X.; Ren, Z.; Tian, T.; Wan, J. Knowledge-graph-based multi-domain model integration method for digital-twin workshops. Int. J. Adv. Manuf. Technol. 2023, 128, 405–421. [Google Scholar] [CrossRef]
- Duan, J.; Ma, T.-Y.; Zhang, Q.-L.; Liu, Z.; Qin, J.-Y. Design and application of digital twin system for the blade-rotor test rig. J. Intell. Manuf. 2023, 34, 753–769. [Google Scholar] [CrossRef]
- Liu, S.; Qi, Y.; Gao, X.; Liu, L.; Ma, R. Transfer learning-based multiple digital twin-assisted intelligent mechanical fault diagnosis. Meas. Sci. Technol. 2024, 35, 25133. [Google Scholar] [CrossRef]
- Zhiyu, Z.; Xiangfeng, Z.; Hong, J. A time–frequency ridge extraction diagnostic method for composite faults of bearing gears in wind turbine gearboxes. Meas. Sci. Technol. 2024, 35, 26105. [Google Scholar] [CrossRef]
- Lin, H.; Lin, C.; Xie, D.; Acuna, P.; Liu, W. A Counter-Based Open-Circuit Switch Fault Diagnostic Method for a Single-Phase Cascaded H-Bridge Multilevel Converter. IEEE Trans. Power Electron. 2024, 39, 814–825. [Google Scholar] [CrossRef]
- Xie, D.; Lin, C.; Lin, H.; Liu, W.; Du, Y.; Basler, T. OC Switch Fault Diagnosis, Pre- and Postfault DC Voltage Balancing Control for a CHBMC Using SVM Concept. IEEE Trans. Power Electron. 2024, 39, 677–692. [Google Scholar] [CrossRef]
- Choksi, K.; Mirza, A.B.; Zhou, A.; Singh, D.; Hijikata, M.; Luo, F. Self-Evolving Digital Twin-Based Online Health Monitoring of Multiphase Boost Converters. IEEE Trans. Power Electron. 2023, 38, 16100–16117. [Google Scholar] [CrossRef]
- Li, J.; Jiang, S.; Li, M.; Xie, J. A Fault Diagnosis Method of Mine Hoist Disc Brake System Based on Machine Learning. Appl. Sci. 2020, 10, 1768. [Google Scholar] [CrossRef]
- Fan, J.; Zheng, P.; Lee, C.K.M. A Vision-Based Human Digital Twin Modeling Approach for Adaptive Human-Robot Collaboration. J. Manuf. Sci. Eng.-Trans. Asme 2023, 145, 121002. [Google Scholar] [CrossRef]
- Yin, C.; Yang, R.; Zou, X. Research of Command Entity Intelligent Decision Model based on Deep Reinforcement Learning. In Proceedings of the 2018 5th Ieee International Conference on Cloud Computing and Intelligence Systems (Ccis), Nanjing, China, 23–25 November 2018; pp. 552–556. [Google Scholar]
- Li, B.; Lv, X.; Zhou, F.; Yan, B. A life prediction method of rolling bearing based on signal reconstruction and fusion dual channel network. Meas. Sci. Technol. 2024, 35, 15137. [Google Scholar] [CrossRef]
- Bernstein, I.A.; Koornwinder, A.; Hwang, H.H.; Wang, S.Y. Automated Recognition of Visual Acuity Measurements in Ophthalmology Clinical Notes Using Deep Learning. Ophthalmol. Sci. 2024, 4, 100371. [Google Scholar] [CrossRef]
- Garshasbi, J.; Teimouri, M. CNNPRE: A CNN-Based Protocol Reverse Engineering Method. IEEE Access 2023, 11, 116255–116268. [Google Scholar] [CrossRef]
- Ahsan, F.; Dana, N.H.; Sarker, S.K.; Li, L.; Muyeen, S.M.; Ali, F.; Tasneem, Z.; Hasan, M.; Abhi, S.H.; Islam, R.; et al. Data-driven next-generation smart grid towards sustainable energy evolution: Techniques and technology review. Prot. Control Mod. Power Syst. 2023, 8, 43. [Google Scholar] [CrossRef]
- Jiang, H.; Cai, Z.; Zhang, T.; Peng, C. Prediction of Boiler Combustion Energy Efficiency via Deep Reinforcement Learning. In Proceedings of the 2021 40th Chinese Control Conference (CCC), Shanghai, China, 26–28 July 2021. [Google Scholar]
- Qian, C.; Zhu, J.; Shen, Y.; Jiang, Q.; Zhang, Q. Deep Transfer Learning in Mechanical Intelligent Fault Diagnosis: Application and Challenge. Neural Process. Lett. 2022, 54, 2509–2531. [Google Scholar] [CrossRef]
- Guo, J.; Liu, P.; Xiao, B.; Deng, L.; Wang, Q. Surface defect detection of civil structures using images: Review from data perspective. Autom. Constr. 2024, 158, 105186. [Google Scholar] [CrossRef]
- Liu, J.; Ji, Q.; Zhou, H.; Du, C.; Liu, X.; Li, M. A multi-dimensional evolution modeling method for digital twin process model. Robot. Comput. Integr. Manuf. 2024, 86, 102667. [Google Scholar] [CrossRef]






















| Times | Hoist Action |
|---|---|
| 0~2 s | Air accumulator charging |
| 2~5 s | Brake opening |
| 5~8 s | Safety brake |
| 8~10 s | Elevator stop |
| Training Models | RMSE | MAE | MAPE |
|---|---|---|---|
| CNN-LSTM | 6.0062 | 3.4943 | 7.0451 |
| LSTM | 16.0224 | 4.6422 | 8.3186 |
| CNN | 14.2554 | 3.9905 | 8.3948 |
Disclaimer/Publisher’s Note: The statements, opinions and data contained in all publications are solely those of the individual author(s) and contributor(s) and not of MDPI and/or the editor(s). MDPI and/or the editor(s) disclaim responsibility for any injury to people or property resulting from any ideas, methods, instructions or products referred to in the content. |
© 2024 by the authors. Licensee MDPI, Basel, Switzerland. This article is an open access article distributed under the terms and conditions of the Creative Commons Attribution (CC BY) license (https://creativecommons.org/licenses/by/4.0/).
Share and Cite
Gao, P.; Zhao, S.; Zheng, Y. Failure Prediction of Coal Mine Equipment Braking System Based on Digital Twin Models. Processes 2024, 12, 837. https://doi.org/10.3390/pr12040837
Gao P, Zhao S, Zheng Y. Failure Prediction of Coal Mine Equipment Braking System Based on Digital Twin Models. Processes. 2024; 12(4):837. https://doi.org/10.3390/pr12040837
Chicago/Turabian StyleGao, Pubo, Sihai Zhao, and Yi Zheng. 2024. "Failure Prediction of Coal Mine Equipment Braking System Based on Digital Twin Models" Processes 12, no. 4: 837. https://doi.org/10.3390/pr12040837
APA StyleGao, P., Zhao, S., & Zheng, Y. (2024). Failure Prediction of Coal Mine Equipment Braking System Based on Digital Twin Models. Processes, 12(4), 837. https://doi.org/10.3390/pr12040837
