Study on the Dynamic Characteristics of Single Cavitation Bubble Motion near the Wall Based on the Keller–Miksis Model
Abstract
1. Introduction
2. Theoretical Background and Numerical Methods
2.1. Cavitation Bubble Dynamics Model
2.2. Translational Motion Equations of Near-Wall Cavitation Bubble
2.3. Numerical Solution Methods
3. Model Reliability Validation
4. Results
4.1. Analysis of the Velocity Field of Bubbles in the Near-Wall
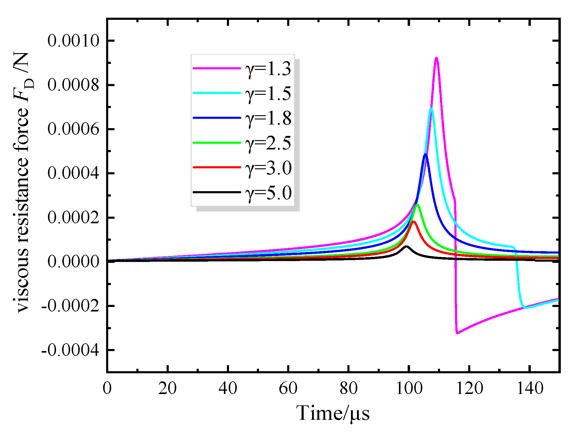
4.2. Analysis of Bubble Dynamics Characteristics in the Near-Wall
4.3. Analysis of Bubble Acoustic Pressure Radiated in Near a Wall
5. Conclusions
- (1)
- Under near-wall conditions, as the dimensionless distance γ between the bubble and the wall decreases, the time for the bubble to collapse increases, and the minimum radius gradually decreases in a linear fashion.
- (2)
- The movement of the bubble’s center of mass varies significantly with different values of γ. During the initial stages of collapse, the bubble’s center of mass remains nearly unchanged. However, towards the end of collapse, the bubble’s center of mass rapidly moves towards the wall, with a larger displacement observed for smaller values of γ.
- (3)
- The peak velocity of bubble translation decreases with increasing γ values, and the peak velocity aligns with the time when the bubble collapses to its minimum radius. For conditions γ = 1.2 and γ = 1.5, the bubble exhibits a phenomenon of moving away from the wall during the rebound phase, with maximum velocities of 22.27 m/s and 7.79 m/s, respectively.
- (4)
- As γ decreases, the secondary Bjerknes force during the initial stage of bubble collapse gradually increases in the form of attraction. Subsequently, during the later stages of collapse and rebound, the secondary Bjerknes force alternates between attraction and repulsion. However, averaging over the entire computational period reveals that bubbles in the near-wall region are primarily subject to attraction, causing them to move towards the wall.
- (5)
- In analyzing the radiated sound pressure at the wall, it was observed that the radiated sound pressure of the bubble decreases in an inverse function trend with the increase in the dimensionless parameter γ. In the case where γ equals 1.3, the radiated sound pressure at the wall is 33.73 times the ambient pressure. Moreover, this paper introduces a radiated sound pressure coefficient to characterize the radial vibration behavior of the bubble. It was found that the distance to the wall has a minor influence on the radiated sound pressure coefficient, providing a basis for future research on bubbles of different scales.
Author Contributions
Funding
Data Availability Statement
Conflicts of Interest
References
- Fox, F.E.; Herzfeld, K.F. Gas bubbles with organic skin as cavitation nuclei. J. Acoust. Soc. Am. 1954, 26, 984–989. [Google Scholar] [CrossRef]
- Rayleigh, L. On the pressure developed in a liquid during the collapse of a spherical cavity. Philos. Mag. 1917, 34, 94–98. [Google Scholar] [CrossRef]
- Plesset, M.S. The dynamics of cavitation bubbles. J. Appl. Mech.-Trans. ASME 1949, 16, 277–282. [Google Scholar] [CrossRef]
- Gilmore, F.R. The Growth or Collapse of a Spherical Bubble in a Viscous Compression Liquid; California Institute of Technology: Pasadena, CA, USA, 1952; pp. 26–41. [Google Scholar]
- Keller, J.B.; Miksis, M. Bubble oscillations of large amplitude. J. Acoust. Soc. Am. 1980, 68, 628–633. [Google Scholar] [CrossRef]
- Sochard, S.; Wilhelm, A.M.; Delmas, H. Modelling of free radicals production in a collapsing gas-vapour bubble. Ultrason. Sonochem. 1997, 4, 77–84. [Google Scholar] [CrossRef] [PubMed]
- Ida, M.; Naoe, T.; Futakawa, M. Suppression of cavitation inception by gas bubble injection: A numerical study focusing on bubble-bubble interaction. Phys. Review. E Stat. Nonlinear Soft Matter Phys. 2007, 76 Pt 2, 046309. [Google Scholar] [CrossRef] [PubMed]
- Qinghim; Naranmandula. Influence of large bubbles on cavitation effect of small bubbles in cavitation multi-bubbles. Acta Phys. Sin. 2019, 68, 167–175. [Google Scholar]
- Best, J.P.; Blake, J.R. An estimate of the Kelvin impulse of a transient cavity. J. Fluid Mech. 1994, 261, 75–93. [Google Scholar] [CrossRef]
- Li, W.; Li, Z.; Han, W.; Tan, S.; Yan, S.; Wang, D.; Yang, S. Time-mean equation and multi-field coupling numerical method for low-Reynolds-number turbulent flow in ferrofluid. Phys. Fluids 2023, 35, 125145. [Google Scholar] [CrossRef]
- Li, W.; Li, Z.; Han, W.; Yan, S.; Zhao, Q.; Chen, F. Measured viscosity characteristics of Fe3O4 ferrofluid in magnetic and thermal fields. Phys. Fluids 2023, 35, 012002. [Google Scholar] [CrossRef]
- Li, W.; Li, Z.; Qin, Z.; Yan, S.; Wang, Z.; Peng, S. Influence of the solution pH on the design of a hydro-mechanical magneto-hydraulic sealing device. Eng. Fail. Anal. 2022, 135, 106091. [Google Scholar] [CrossRef]
- Ding, Q.; Li, X.; Cui, Y.; Lv, J.; Shan, Y.; Liu, Y. Study on Non-Spherical Deformation Velocity of a Single Cavitation Bubble. Processes 2024, 12, 553. [Google Scholar] [CrossRef]
- Fourest, T.; Deletombe, E.; Faucher, V.; Arrigoni, M.; Dupas, J.; Laurens, J.M. Comparison of Keller-Miksis model and finite element bubble dynamics simulations in a confined medium. Application to the Hydrodynamic Ram. Eur. J. Mech.-B/Fluids 2018, 68, 66–75. [Google Scholar] [CrossRef]
- Brennen, C.E. Cavitation and Bubble Dynamics; Oxford University Press: Oxford, UK, 1993. [Google Scholar]
- Mettin, R.; Akhatov, I.; Parlitz, U.; Ohl, C.D.; Lauterborn, W. Bjerknes forces between small cavitation bubbles in a strong acoustic field. Phys. Rev. E 1997, 56, 2924–2931. [Google Scholar] [CrossRef]
- Moo, J.G.S.; Mayorga-Martinez, C.C.; Wang, H.; Teo, W.Z.; Tan, B.H.; Luong, T.D.; Gonzalez-Avila, S.R.; Ohl, C.D.; Pumera, M. Bjerknes Forces in Motion: Long-Range Translational Motion and Chiral Directionality Switching in Bubble-Propelled Micromotors via an Ultrasonic Pathway. Adv. Funct. Mater. 2018, 28, 1702618. [Google Scholar] [CrossRef]
- Cheng, F.; Ji, W. Numerical and experimental study on dynamic characteristics of cavitation bubbles. Ind. Lubr. Tribol. 2018, 70, 1119–1126. [Google Scholar] [CrossRef]
- Li, F.; Cai, J.; Huai, X.; Liu, B. Interaction Mechanism of Double Bubbles in Hydrodynamic Cavitation. J. Therm. Sci. 2013, 22, 242–249. [Google Scholar] [CrossRef]
- Faissole, F. Formally-Verified Round-Off Error Analysis of Runge-Kutta Methods. J. Autom. Reason. 2024, 68, 1–33. [Google Scholar] [CrossRef]
- Devin, C. Survey of Thermal, Radiation, and Viscous Damping of Pulsating Air Bubbles in Water. J. Acoust. Soc. Am. 1959, 31, 1654–1667. [Google Scholar] [CrossRef]
- Nie, J.-D.; Su, Y.-S.; Yang, G.-M. Numerical Modeling of Noise Generation During Collapse of Single Bubble. Ordnance Ind. Autom. 2009, 28, 23–24. [Google Scholar]
- Deng, Y.; Jin, T.; Chi, H.; Zhou, J. Collapse of laser induced bubbles and generated sound pressure waves. High Power Laser Part. Beams 2013, 25, 2793–2798. [Google Scholar] [CrossRef]















| Parameter | Numerical Value |
|---|---|
| Liquid Density ρ/(kg/m³) | 1000 |
| Surface Tension Coefficient S/(N/m) | 0.072 |
| Dynamic Viscosity Coefficient /Pa·s | 1.02 × 10−3 |
| Gas Polytropic Index | 5/3 |
| Speed of Sound c/(m/s) | 1450 |
| Ambient Pressure /Pa | 1 × 105 |
| Initial Bubble Radius R0/mm | 1 |
| Gas Partial Pressure /Pa | 3000 |
| Initial Bubble Velocity /(m/s) | 0 |
Disclaimer/Publisher’s Note: The statements, opinions and data contained in all publications are solely those of the individual author(s) and contributor(s) and not of MDPI and/or the editor(s). MDPI and/or the editor(s) disclaim responsibility for any injury to people or property resulting from any ideas, methods, instructions or products referred to in the content. |
© 2024 by the authors. Licensee MDPI, Basel, Switzerland. This article is an open access article distributed under the terms and conditions of the Creative Commons Attribution (CC BY) license (https://creativecommons.org/licenses/by/4.0/).
Share and Cite
Han, W.; Gu, Z.; Li, R.; Mi, J.; Bai, L.; Deng, W. Study on the Dynamic Characteristics of Single Cavitation Bubble Motion near the Wall Based on the Keller–Miksis Model. Processes 2024, 12, 826. https://doi.org/10.3390/pr12040826
Han W, Gu Z, Li R, Mi J, Bai L, Deng W. Study on the Dynamic Characteristics of Single Cavitation Bubble Motion near the Wall Based on the Keller–Miksis Model. Processes. 2024; 12(4):826. https://doi.org/10.3390/pr12040826
Chicago/Turabian StyleHan, Wei, Zhenye Gu, Rennian Li, Jiandong Mi, Lu Bai, and Wanquan Deng. 2024. "Study on the Dynamic Characteristics of Single Cavitation Bubble Motion near the Wall Based on the Keller–Miksis Model" Processes 12, no. 4: 826. https://doi.org/10.3390/pr12040826
APA StyleHan, W., Gu, Z., Li, R., Mi, J., Bai, L., & Deng, W. (2024). Study on the Dynamic Characteristics of Single Cavitation Bubble Motion near the Wall Based on the Keller–Miksis Model. Processes, 12(4), 826. https://doi.org/10.3390/pr12040826
