Lattice Boltzmann Simulation of Cavitating Flow in a Two-Dimensional Nozzle with Moving Needle Valve
Abstract
1. Introduction
2. Numerical Method
2.1. Lattice Boltzmann Method
2.1.1. Single-Relaxation-Time LBM
2.1.2. Cascaded Lattice Boltzmann Method
2.2. The Refilling Algorithms
2.3. Force Calculation of Fluid on Solid
2.4. Force Coefficient
2.5. Cavitation Number
2.6. Unit Conversion
2.7. Model Validation
2.8. Computation Domain and Boundaries
2.9. Grid-Independent Verification
3. Results and Discussion
3.1. Evolution of Density with Time at Cavitation at f = 1/50,000
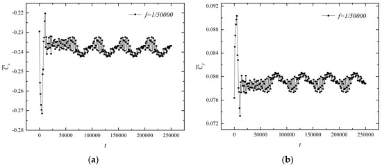
3.2. Relationship between the Force on a Solid as a Function of Time for f = 1/50,000
3.2.1. Forces on the Lower Boundary of the Sack Wall
3.2.2. The Force on the Top and Side Ends of the Needle Valve
3.3. Effect of Needle Valve Motion Frequency on the Flow Field
4. Conclusions and Prospects
Author Contributions
Funding
Data Availability Statement
Conflicts of Interest
Nomenclature
| the current position of the particle | |
| the discrete velocity | |
| the velocity vector’s discrete direction | |
| t | the lattice time |
| the time step | |
| the distribution function of the current particle at time t | |
| the equilibrium distribution function | |
| the non-equilibrium distribution function | |
| the relaxation time | |
| the fluid viscosity | |
| the weight coefficient | |
| the lattice sound speed | |
| the lattice speed | |
| the fluid density | |
| the forcing term in space | |
| the orthogonal matrix | |
| the diagonal matrix | |
| the shift matrix | |
| the unit matrix | |
| a force vector on the moment space | |
| the velocity at the lattice point of the stream | |
| the total combined force in the system | |
| the intermolecular force | |
| the force between the fluid and the wall | |
| the gravitational force | |
| the interaction intensity parameter between particles | |
| the velocity of the moving solid wall | |
| the fresh fluid lattice node | |
| , , | the three nearest fluid lattice nodes along the direction normal to the outside of the solid wall at the fresh node |
| the nearest solid grid point near the boundary | |
| the nearest fluid grid point near the boundary | |
| the indicator for judging the solid zone and the fluid zone | |
| the discrete velocity in the opposite direction to the discrete velocity | |
| Cx | the x direction force coefficient |
| Cy | the y direction force coefficient |
| the x direction force on the solid | |
| the y direction force on the solid | |
| the area of the force | |
| the calculation domain inlet pressure | |
| the inlet density | |
| the inlet velocity | |
| the corresponding saturated vapor pressure |
References
- Zhu, Z.; Fang, S. Numerical investigation of cavitation performance of ship propellers. J. Hydrodyn. 2012, 24, 347–353. [Google Scholar] [CrossRef]
- Guo, G.; Lu, K.; Xu, S.; Yuan, J.; Bai, T.; Yang, K.; He, Z. Effects of in-nozzle liquid fuel vortex cavitation on characteristics of flow and spray, Numerical research. Int. Commun. Heat Mass Transfer. 2023, 148, 107040. [Google Scholar] [CrossRef]
- Wei, Y.; Zhang, H.; Fan, L.; Li, B.; Leng, X.; He, Z. Experimental study on influence of pressure fluctuation and cavitation characteristics of nozzle internal flow on near field spray. Fuel 2023, 337, 126843. [Google Scholar] [CrossRef]
- Yang, X.; Dong, Q.; Wang, X.; Zhou, T.; Wei, D. An experimental study on the needle valve motion characteristics of high pressure natural gas and diesel co-direct injector. Energy 2023, 265, 1126257. [Google Scholar] [CrossRef]
- Huang, W.; Moon, S.; Ohsawa, K. Near-nozzle dynamics of diesel spray under varied needle lifts and its prediction using analytical model. Fuel 2016, 180, 292–300. [Google Scholar] [CrossRef]
- Yang, F.; Yang, H.; Yan, Y.; Guo, X.; Dai, R.; Liu, C. Simulation of natural convection in an inclined polar cavity using a finite difference lattice Boltzmann method. J. Mech. Sci. Technol. 2017, 31, 3053–3065. [Google Scholar] [CrossRef]
- Silva, D.P.F.; Coelho, R.C.V.; Pagonabarraga, I.; Succi, S.; da Gama, M.M.T.; Araújo, N.A.M. Lattice Boltzmann simulation of deformable fluid-filled bodies: Progress and perspectives. Soft Matter 2024, 20, 2419–2441. [Google Scholar] [CrossRef] [PubMed]
- Wang, L.; Liu, Z.; Rajamuni, M. Recent progress of lattice Boltzmann method and its applications in fluid-structure interaction. Proc. Inst. Mech. Eng. Part C J. Mech. Eng. Sci. 2023, 237, 2461–2484. [Google Scholar] [CrossRef]
- Shirbani, M.; Siavashi, M.; Bidabadi, M. Phase Change Materials Energy Storage Enhancement Schemes and Implementing the Lattice Boltzmann Method for Simulations: A Review. Energies 2023, 16, 1059. [Google Scholar] [CrossRef]
- Yang, X.; Yang, G.; Li, S.; Shen, Q.; Miao, H.; Yuan, J. Application and development of the Lattice Boltzmann modeling in pore-scale electrodes of solid oxide fuel cells. J. Power Sources 2024, 599, 234071. [Google Scholar] [CrossRef]
- Bocanegra, J.A.; Misale, M.; Borelli, D. A systematic literature review on Lattice Boltzmann Method applied to acoustics. Eng. Anal. Bound. Elem. 2024, 158, 405–429. [Google Scholar] [CrossRef]
- Hosseini, S.A.; Boivin, P.; Thévenin, D.; Karlin, I. Lattice Boltzmann methods for combustion applications. Prog. Energy Combust. Sci. 2024, 102, 101140. [Google Scholar] [CrossRef]
- Chau Pattnaik, A.; Samanta, R.; Chattopadhyay, H. A brief on the application of multiphase lattice Boltzmann method for boiling and evaporation. J. Therm. Anal. Calorim. 2023, 148, 2869–2904. [Google Scholar] [CrossRef]
- Peskin, S.C. Flow patterns around heart valves, A numerical method. J. Comput. Phys. 1972, 10, 252–271. [Google Scholar] [CrossRef]
- Fang, H.; Wang, Z.; Lin, Z.; Liu, M. Lattice Boltzmann method for simulating the viscous flow in large distensible blood vessels. Phys. Rev. E 2002, 65, 051925. [Google Scholar] [CrossRef] [PubMed]
- Lallemand, P.; Luo, L. Lattice Boltzmann method for moving boundaries. J. Comput. Phys. 2003, 184, 406–421. [Google Scholar] [CrossRef]
- Caiazzo, A. Analysis of Lattice Boltzmann nodes initialisation in moving boundary problems. Prog. Comput. Fluid Dyn. 2008, 8, 3–10. [Google Scholar] [CrossRef]
- Krithivasan, S.; Wahal, S.; Ansumali, S. Diffused bounce-back condition and refill algorithm for the Lattice Boltzmann Method. Phys. Rev. E 2014, 89, 033313. [Google Scholar] [CrossRef] [PubMed]
- Tao, S.; Hu, J.; Guo, Z. An investigation on momentum exchange methods and refilling algorithms for lattice Boltzmann simulation of particulate flows. Comput. Fluids 2016, 133, 1–14. [Google Scholar] [CrossRef]
- Andrew, K.G.; Daniel, H.; Rothman, S.Z.; Zanetti, G. Lattice Boltzmann model of immiscible fluids. Phys. Rev. A 1991, 43, 4320–4327. [Google Scholar]
- Yang, F.; Shao, X.; Wang, Y.; Lu, Y.; Cai, X. Resistance characteristics analysis of droplet logic gate based on lattice Boltzmann method. Eur. J. Mech. B. Fluids 2021, 86, 90–106. [Google Scholar] [CrossRef]
- Shan, X.; Chen, H. Lattice Boltzmann Model for Simulating Flows with Multiple Phases and Components. Phys. Rev. E 1993, 47, 1815–1819. [Google Scholar] [CrossRef] [PubMed]
- Chen, W.; Yang, F.; Yan, Y.; Guo, X.; Dai, R.; Cai, X. Lattice Boltzmann simulation of the spreading behavior of a droplet impacting on inclined solid wall. J. Mech. Sci. Technol. 2018, 32, 2637–2649. [Google Scholar] [CrossRef]
- Swift, M.R.; Osborn, W.R.; Yeomans, J.M. Lattice Boltzmann simulation of nonideal fluids. Phys. Rev. E. 1996, 54, 5041. [Google Scholar] [CrossRef] [PubMed]
- He, X.; Chen, S.; Doolen, G.D. A novel thermal model for the Lattice Boltzmann method in incompressible limit. J. Comput. Phys. 1998, 146, 282–300. [Google Scholar] [CrossRef]
- He, X.; Chen, S.; Zhang, R. A Lattice Boltzmann scheme for incompressible multiphase flow and its application in simulation of Rayleigh-Taylor instability. J. Comput. Phys. 1999, 152, 642–663. [Google Scholar] [CrossRef]
- He, X.; Peng, H. Modeling inception and evolution of near-wall vapor thermo-cavitation bubbles via a lattice Boltzmann method. Int. J. Hydrogen Energy 2024, 49, 828–849. [Google Scholar] [CrossRef]
- He, X.; Peng, H. Contact-point analysis of attached-wall cavitation evolution on chemically patterned surfaces using the lattice Boltzmann method. Chem. Eng. Sci. 2024, 287, 119753. [Google Scholar] [CrossRef]
- He, X.; Peng, H.; Zhang, J. A lattice Boltzmann investigation of liquid viscosity effects on the evolution of a cavitation bubble attached to chemically patterned walls. Phys. Fluids 2023, 35, 093303. [Google Scholar] [CrossRef]
- Liu, Y.; Peng, Y. Study on the collapse process of cavitation bubbles including heat transfer by lattice Boltzmann method. J. Mar. Sci. Eng. 2021, 9, 219. [Google Scholar] [CrossRef]
- Li, Y.; Ouyang, J.; Peng, Y.; Liu, Y. Numerical Simulation of Cavitation Bubble Collapse inside an Inclined V-Shape Corner by Thermal Lattice Boltzmann Method. Water 2024, 16, 161. [Google Scholar] [CrossRef]
- Saritha, G.; Banerjee, R. Development and application of a high density ratio pseudopotential based two-phase LBM solver to study cavitating bubble dynamics in pressure driven channel flow at low Reynolds number. Eur. J. Mech. B Fluids 2019, 75, 83–96. [Google Scholar] [CrossRef]
- Zhu, Y.; Shan, M.; Yang, Y.; Han, Q.; Zhu, C.; Zhang, X. Effect of wettability on collapsing cavitation bubble near solid surface studied by multi-relaxation-time lattice Boltzmann model. Appl. Sci. 2018, 8, 940. [Google Scholar] [CrossRef]
- Falcucci, G.; Ubertini, S.; Bella, G.; Succi, S. Lattice Boltzmann Simulation of Cavitating Flows. Commun. Comput. Phys. 2013, 13, 685–695. [Google Scholar] [CrossRef]
- Falcucci, G.; Jannelli, E.; Ubertini, S.; Succi, S. Direct numerical evidence of stress-induced cavitation. J. Fluid Mech. 2013, 728, 362–375. [Google Scholar] [CrossRef]
- Ezzatneshan, E. Study of surface wettability effect on cavitation inception by implementation of the Lattice Boltzmann method. Phys. Fluids 2017, 29, 113304. [Google Scholar] [CrossRef]
- Sun, Z.; Cao, H.; Shan, L.; Hu, X. Lattice-Boltzmann simulation of induced cavitation in protruding structure. Numer. Heat Transf. Part A Appl. 2019, 76, 465–478. [Google Scholar] [CrossRef]
- Fei, L.; Luo, K.H. Consistent forcing scheme in the cascaded Lattice Boltzmann method. Phys. Rev. E 2017, 96, 053307. [Google Scholar] [CrossRef] [PubMed]
- Jahanshaloo, L.; Azwadi, C.; Fazeli, A.; HA, M.P. An overview of boundary implementation in Lattice Boltzmann method for computational heat and mass transfer. Int. Commun. Heat Mass Transf. 2016, 78, 1–12. [Google Scholar] [CrossRef]
- Hoseyni, A.; Dadvand, A.; Rezazadeh, S.; Mohammadi, S.K. Enhancement of mixed convection heat transfer in a square cavity via a freely moving elastic ring. Theor. Comput. Fluid Dyn. 2023, 37, 83–104. [Google Scholar] [CrossRef]
- Yuan, P.; Schaefer, L. Equations of state in a Lattice Boltzmann model. Phys. Fluids 2006, 18, 042101. [Google Scholar] [CrossRef]
- Luo, T.; Xia, J. Lattice Boltzmann simulation of low-Reynolds-number cavitating contracting-nozzle flow interacting with a moving valve. AIP Adv. 2020, 10, 125203. [Google Scholar] [CrossRef]
- Salaheddine, C.; Mohammed, J.; Ahmed, M. Numerical study of the evolution of bubbles during nucleation and droplets during condensation on a surface of variable wettability using the pseudopotential MRT-LBM method. Numer. Heat Transf. Part B 2024, 85, 131–158. [Google Scholar]
- Salaheddine, C.; Mohammed, J.; Ahmed, M. Impact process of a droplet on solid surfaces: Influence of surface wettability using lattice Boltzmann method. Eur. J. Mech. B Fluids 2024, 105, 164–179. [Google Scholar]
- Ladd, A.J.C. Numerical simulations of particulate suspensions via a discretized Boltzmann equation Part I. Theoretical Foundation. J. Fluid Mech. 1994, 271, 285–309. [Google Scholar] [CrossRef]
- Yu, D.; Mei, R.; Luo, L.; Shyy, W. Viscous flow computations with the method of lattice Boltzmann equation. Prog. Aerosp. Sci. 2003, 39, 329–367. [Google Scholar] [CrossRef]
- Wang, S.; Tong, Z.; He, Y.; Liu, X. Unit conversion in pseudopotential lattice Boltzmann method for liquid–vapor phase change simulations. Phys. Fluids 2022, 34, 103305. [Google Scholar] [CrossRef]
- Bouzidi, M.; Firdaouss, M.; Lallemand, P. Momentum transfer of a lattice Boltzmann fluid with boundaries. Phys. Fluids 2001, 13, 3452–3459. [Google Scholar] [CrossRef]
- Zou, Q.; He, X. On pressure and velocity boundary conditions for the lattice Boltzmann BGK model. Phys. Fluids 1997, 9, 1591–1598. [Google Scholar] [CrossRef]



















| Parameter | Lattice Unit | Physics Unit | |
|---|---|---|---|
| Surface tension and EOS parameters | 0.08 | 639.33 | |
| 1 | 0.0025 | ||
| 4 | 461.5 | ||
| 0.0412 | 0.0229 | ||
| Basic quantities conversion parameters | 2.43 × 10−13 | ||
| 2.77 × 10−4 | |||
| 3.28 × 10−26 | |||
| 4.35 × 10−10 | |||
| Case Number | Grid Resolution | |
|---|---|---|
| 1 | 360 × 900 | 0 |
| 2 | 400 × 1000 | 1.84% |
| 3 | 440 × 1100 | 1.80% |
Disclaimer/Publisher’s Note: The statements, opinions and data contained in all publications are solely those of the individual author(s) and contributor(s) and not of MDPI and/or the editor(s). MDPI and/or the editor(s) disclaim responsibility for any injury to people or property resulting from any ideas, methods, instructions or products referred to in the content. |
© 2024 by the authors. Licensee MDPI, Basel, Switzerland. This article is an open access article distributed under the terms and conditions of the Creative Commons Attribution (CC BY) license (https://creativecommons.org/licenses/by/4.0/).
Share and Cite
Yang, F.; Dai, M.; Jin, H. Lattice Boltzmann Simulation of Cavitating Flow in a Two-Dimensional Nozzle with Moving Needle Valve. Processes 2024, 12, 813. https://doi.org/10.3390/pr12040813
Yang F, Dai M, Jin H. Lattice Boltzmann Simulation of Cavitating Flow in a Two-Dimensional Nozzle with Moving Needle Valve. Processes. 2024; 12(4):813. https://doi.org/10.3390/pr12040813
Chicago/Turabian StyleYang, Fan, Mengyao Dai, and Hu Jin. 2024. "Lattice Boltzmann Simulation of Cavitating Flow in a Two-Dimensional Nozzle with Moving Needle Valve" Processes 12, no. 4: 813. https://doi.org/10.3390/pr12040813
APA StyleYang, F., Dai, M., & Jin, H. (2024). Lattice Boltzmann Simulation of Cavitating Flow in a Two-Dimensional Nozzle with Moving Needle Valve. Processes, 12(4), 813. https://doi.org/10.3390/pr12040813

