Synergistic Effect of Carbon Nanotubes, Zinc, and Copper Oxides on Rheological Properties of Fracturing Fluid: A Comparative Study
Abstract
1. Introduction
2. Materials and Methods
2.1. Materials
2.2. Synthesis of Nano-Zinc Oxides
2.3. Synthesis of Nano-Copper Oxides
2.4. Preparation of Frac Fluid
2.5. Characterizations
2.5.1. HR-Transmission Electron Microscope
- λ is the de Broglie wavelength (meters).
- h is Planck’s constant (6.626 × 10−34 m2 kg/s).
- P is the momentum of the electrons (kg m/s).
- m is the mass of the electron (9.109 × 10−3 kg).
- v is the velocity of the electron (m/s).
2.5.2. Dynamic Light Scattering (DLS)
- D is the diffusion coefficient.
- k is Boltzmann’s constant (1.38 × 10−23 m2⋅kg·s−2·K−1).
- T is the absolute temperature in Kelvin.
- η is the viscosity of the solvent in kg·m−1·s−1.
- a is the particle radius.
2.6. Frac Fluid Rheology Test
- η is viscosity, τ is shear stress, and γ is shear rate.
3. Results and Discussion
3.1. Characterization of Nanomaterials
3.1.1. HR-TEM Analysis
3.1.2. DLS Analysis
3.2. Rheological Measurements of Frac Fluid
4. Conclusions and Recommendations
Author Contributions
Funding
Data Availability Statement
Conflicts of Interest
References
- Barati, R.; Liang, J.T. A review of fracturing fluid systems used for hydraulic fracturing of oil and gas wells. J. Appl. Polym. Sci. 2014, 131, 1–11. [Google Scholar] [CrossRef]
- Rahm, D. Regulating hydraulic fracturing in shale gas plays: The case of Texas. Energy Policy 2011, 39, 2974–2981. [Google Scholar] [CrossRef]
- Thomas, L.; Tang, H.; Kalyon, D.M.; Aktas, S.; Arthur, J.D.; Blotevogel, J.; Carey, J.W.; Filshill, A.; Fu, P.; Hsuan, G.; et al. Toward better hydraulic fracturing fluids and their application in energy production: A review of sustainable technologies and reduction of potential environmental impacts. J. Pet. Sci. Eng. 2019, 173, 793–803. [Google Scholar] [CrossRef]
- Hurnaus, T.; Plank, J. Behavior of Titania Nanoparticles in Cross-linking Hydroxypropyl Guar Used in Hydraulic Fracturing Fluids for Oil Recovery. Energy Fuels 2015, 29, 3601–3608. [Google Scholar] [CrossRef]
- Liu, J.; Sheng, J.J.; Emadibaladehi, H.; Tu, J. Experimental study of the stimulating mechanism of shut-in after hydraulic fracturing in unconventional oil reservoirs. Fuel 2021, 300, 120982. [Google Scholar] [CrossRef]
- Huang, Q.; Liu, S.; Wang, G.; Cheng, W. Evaluating the changes of sorption and diffusion behaviors of Illinois coal with various water-based fracturing fluid treatments. Fuel 2021, 283, 118884. [Google Scholar] [CrossRef]
- Montgomery, C. Fracturing fluids. In Proceedings of the ISRM International Conference for Effective and Sustainable Hydraulic Fracturing, Brisbane, Australia, 20–22 May 2013; OnePetro: Richardson, TX, USA, 2013. [Google Scholar]
- Wanniarachchi, W.; Ranjith, P.; Perera, M. Shale gas fracturing using foam-based fracturing fluid: A review. Environ. Earth Sci. 2017, 76, 91. [Google Scholar] [CrossRef]
- Faroughi, S.A.; Pruvot, A.J.-C.J.; McAndrew, J. The rheological behavior of energized fluids and foams with application to hydraulic fracturing: Review. J. Pet. Sci. Eng. 2018, 163, 243–263. [Google Scholar] [CrossRef]
- Yekeen, N.; Padmanabhan, E.; Idris, A.K. A review of recent advances in foam-based fracturing fluid application in unconventional reservoirs. J. Ind. Eng. Chem. 2018, 66, 45–71. [Google Scholar] [CrossRef]
- Yehia, S.T.F.; Noah, A.Z.; Abou Heleik, M.M.; Kabel, K.I. Hydraulic Fracturing Process Systems and Fluids: An Overview. Pet. Petrochem. Eng. J. 2022, 6, 000306. [Google Scholar] [CrossRef]
- Daneshfar, R.; Mohammadzadeh, H.; Kamranfar, P.; Shahbazi, K. Hydraulic Fracturing Fluids: A Comprehensive Review Focusing on Nanoparticle-Enhanced Fluids. In Proceedings of the National Conference of Fundamental and Engineering Sciences, Schaumburg, IL, USA, 13–15 October 2017. [Google Scholar]
- Khalil, M.; Jan, B.M.; Tong, C.W.; Berawi, M.A. Advanced nanomaterials in oil and gas industry: Design, application and challenges. Appl. Energy 2017, 191, 287–310. [Google Scholar] [CrossRef]
- Li, W.; Liu, J.; Zeng, J.; Tian, J.; Li, L.; Zhang, M.; Jia, J.; Li, Y.; Peng, H.; Zhao, X. A critical review of the application of nanomaterials in frac fluids: The state of the art and challenges. In Proceedings of the SPE Middle East Oil and Gas Show and Conference, Manama, Bahrain, 18–21 March 2019; OnePetro: Richardson, TX, USA, 2019. [Google Scholar]
- Boul, P.J.; Ajayan, P.M. Nanotechnology research and development in upstream oil and gas. Energy Technol. 2020, 8, 1901216. [Google Scholar] [CrossRef]
- Liu, J.; Wang, S.; Wang, C.; Zhao, F.; Lei, S.; Yi, H.; Guo, J. Influence of nanomaterial morphology of guar-gum fracturing fluid, physical and mechanical properties. Carbohydr. Polym. 2020, 234, 115915. [Google Scholar] [CrossRef] [PubMed]
- Li, L.; Al-Muntasheri, G.A.; Liang, F. Nanomaterials-enhanced high-temperature fracturing fluids prepared with untreated seawater. In Proceedings of the SPE Annual Technical Conference and Exhibition, Dubai, United Arab Emirates, 26–28 September 2016; OnePetro: Richardson, TX, USA, 2016. [Google Scholar]
- Zhou, B.; You, Q.; Li, Y.; Chu, Z.; Zhang, L.; Wang, P.; Liu, C.; Dai, C. Preparation and performance evaluation of an active nanofluid for enhanced oil recovery in ultra-low permeability reservoirs. J. Mol. Liq. 2022, 347, 118331. [Google Scholar] [CrossRef]
- Liu, C.; Li, Y.; Wang, P.; Jiao, H.; Yao, X.; Zhao, G.; Dai, C.; You, Q. Preparation and performance evaluation of nano-composite fracturing fluid with good oil displacement ability in tight reservoir. J. Mol. Liq. 2022, 367, 120494. [Google Scholar] [CrossRef]
- Mao, Z.; Cheng, L.; Liu, D.; Li, T.; Zhao, J.; Yang, Q. Nanomaterials and technology applications for hydraulic fracturing of unconventional oil and gas reservoirs: A state-of-the-art review of recent advances and perspectives. ACS Omega 2022, 7, 29543–29570. [Google Scholar] [CrossRef] [PubMed]
- Abid, N.; Khan, A.M.; Shujait, S.; Chaudhary, K.; Ikram, M.; Imran, M.; Haider, J.; Khan, M.; Khan, Q.; Maqbool, M. Synthesis of nanomaterials using various top-down and bottom-up approaches, influencing factors, advantages, and disadvantages: A review. Adv. Colloid Interface Sci. 2022, 300, 102597. [Google Scholar] [CrossRef] [PubMed]
- Vaseghi, Z.; Nematollahzadeh, A. Nanomaterials: Types, synthesis, and characterization. In Green Synthesis of Nanomaterials for Bioenergy Applications; Wiley: Hoboken, NJ, USA, 2020; pp. 23–82. [Google Scholar]
- Kolahalam, L.A.; Viswanath, I.K.; Diwakar, B.S.; Govindh, B.; Reddy, V.; Murthy, Y. Review on nanomaterials: Synthesis and applications. Mater. Today Proc. 2019, 18, 2182–2190. [Google Scholar] [CrossRef]
- Li, H.; Yang, B.-S. Model evaluation of particle breakage facilitated process intensification for Mixed-Suspension-Mixed-Product-Removal (MSMPR) crystallization. Chem. Eng. Sci. 2019, 207, 1175–1186. [Google Scholar] [CrossRef]
- Adam, R.E.; Pozina, G.; Willander, M.; Nur, O. Synthesis of ZnO nanoparticles by co-precipitation method for solar driven photodegradation of Congo red dye at different pH. Photonics Nanostruct.-Fundam. Appl. 2018, 32, 11–18. [Google Scholar] [CrossRef]
- Phiwdang, K.; Suphankij, S.; Mekprasart, W.; Pecharapa, W. Synthesis of CuO nanoparticles by precipitation method using different precursors. Energy Procedia 2013, 34, 740–745. [Google Scholar] [CrossRef]
- Ghorbani, H.R.; Mehr, F.P.; Pazoki, H.; Rahmani, B.M. Synthesis of ZnO nanoparticles by precipitation method. Orient. J. Chem. 2015, 31, 1219–1221. [Google Scholar] [CrossRef]
- Tang, W.; Zou, C.; Peng, H.; Wang, Y.; Shi, L. Influence of nanoparticles and surfactants on stability and rheological behavior of polymeric nanofluids and the potential applications in fracturing fluids. Energy Fuels 2021, 35, 8657–8671. [Google Scholar] [CrossRef]
- Ismail, A.; Aftab, A.; Ibupoto, Z.; Zolkifile, N. The novel approach for the enhancement of rheological properties of water-based drilling fluids by using multi-walled carbon nanotube, nanosilica and glass beads. J. Pet. Sci. Eng. 2016, 139, 264–275. [Google Scholar] [CrossRef]
- Alkalbani, A.M.; Chala, G.T.; Zar Myint, M.T. Insightful study on the effect of zinc oxide nanoparticle diameter on the rheology of water base mud at elevated temperature. J. Pet. Sci. Eng. 2022, 217, 110878. [Google Scholar] [CrossRef]
- Ahmed Mansoor, H.H.; Devarapu, S.R.; Samuel, R.; Sangwai, J.S.; Ponmani, S. Investigation of chia based copper oxide nanofluid for water based drilling fluid: An experimental approach. J. Nat. Gas Sci. Eng. 2022, 107, 104775. [Google Scholar] [CrossRef]
- William, J.K.M.; Ponmani, S.; Samuel, R.; Nagarajan, R.; Sangwai, J.S. Effect of CuO and ZnO nanofluids in xanthan gum on thermal, electrical and high pressure rheology of water-based drilling fluids. J. Pet. Sci. Eng. 2014, 117, 15–27. [Google Scholar] [CrossRef]
- Al-saba, M.T.; Al Fadhli, A.; Marafi, A.; Hussain, A.; Bander, F.; Al Dushaishi, M.F. Application of Nanoparticles in Improving Rheological Properties of Water Based Drilling Fluids. In Proceedings of the SPE Kingdom of Saudi Arabia Annual Technical Symposium and Exhibition, Dammam, Saudi Arabia, 23–26 April 2018. [Google Scholar]
- Franken, L.E.; Grünewald, K.; Boekema, E.J.; Stuart, M.C. A Technical Introduction to Transmission Electron Microscopy for Soft-Matter: Imaging, Possibilities, Choices, and Technical Developments. Small 2020, 16, 1906198. [Google Scholar] [CrossRef]
- Govender, K.; Boyle, D.S.; Kenway, P.B.; O’Brien, P. Understanding the factors that govern the deposition and morphology of thin films of ZnO from aqueous solution. J. Mater. Chem. 2004, 14, 2575–2591. [Google Scholar] [CrossRef]
- Nath, D.; Singh, F.; Das, R. X-ray diffraction analysis by Williamson-Hall, Halder-Wagner and size-strain plot methods of CdSe nanoparticles-a comparative study. Mater. Chem. Phys. 2020, 239, 122021. [Google Scholar] [CrossRef]
- Reimer, L. Transmission Electron Microscopy: Physics of Image Formation and Microanalysis; Springer: Berlin/Heidelberg, Germany, 2013; Volume 36. [Google Scholar]
- Priya, M.; Premkumar, V.K.; Vasantharani, P.; Sivakumar, G. Structural and electrochemical properties of ZnCo2O4 nanoparticles synthesized by hydrothermal method. Vacuum 2019, 167, 307–312. [Google Scholar] [CrossRef]
- Filippov, S.K.; Khusnutdinov, R.; Murmiliuk, A.; Inam, W.; Zakharova, L.Y.; Zhang, H.; Khutoryanskiy, V.V. Dynamic light scattering and transmission electron microscopy in drug delivery: A roadmap for correct characterization of nanoparticles and interpretation of results. Mater. Horiz. 2023, 10, 5354–5370. [Google Scholar] [CrossRef]
- Berne, B.J.; Pecora, R. Dynamic Light Scattering: With Applications to Chemistry, Biology, and Physics; Courier Corporation: Chelmsford, MA, USA, 2000. [Google Scholar]
- Bhattad, A.; Atgur, V.; Rao, B.N.; Banapurmath, N.; Yunus Khan, T.; Vadlamudi, C.; Krishnappa, S.; Sajjan, A.; Shankara, R.P.; Ayachit, N. Review on Mono and Hybrid Nanofluids: Preparation, Properties, Investigation, and Applications in IC Engines and Heat Transfer. Energies 2023, 16, 3189. [Google Scholar] [CrossRef]
- Mercan, H. Chapter 3—Thermophysical and rheological properties of hybrid nanofluids. In Hybrid Nanofluids for Convection Heat Transfer; Ali, H.M., Ed.; Academic Press: Cambridge, MA, USA, 2020; pp. 101–142. [Google Scholar]
- Santanna, V.C.; de Castro Dantas, T.N.; Neto, A.A.D. The Use of Microemusion Systems in Oil Industry. In Microemulsions: An Introduction to Properties and Applications; IntechOpen: London, UK, 2012; pp. 161–174. [Google Scholar]











| Chemicals | Additive Purposes | Weight |
|---|---|---|
| Synthesis of Nano-Zinc Oxides | ||
| Zinc acetate dihydrate | 13 g | |
| Methanol | 100 mL | |
| Ammonium hydroxide | 5 mL | |
| Synthesis of Copper Oxide Nanoparticles | ||
| Copper (II) acetate monohydrate | 2.5 g | |
| Methanol | 20 mL | |
| Fracking Fluid Preparation | ||
| Distilled water | 1 L | |
| Potassium chloride | Brine carrier | 40 g |
| Guar gum | Thickener | 4.2 g |
| Tween or NP9 | Surfactant | 1 mL |
| CNTs | 0.5 g | |
| CuO nanoparticles | 10 g | |
| ZnO nanoparticles | 1 g | |
| Ammonium persulphate | Breaker | 4 mL |
| Borex | Crosslinker | 3 mL |
| Sodium hydroxide | pH adjuster | 4 mL |
| Instruments/Equipment | Purpose |
|---|---|
| Magnetic hot plate stirrer | Preparation of nanomaterials and the concentrations of additives for frac fluid |
| Vacuum distillation system | To evaporate solvent |
| Ball mill | To reach the nano-size of prepared nanomaterials |
| Blender [Mixer] | Preparation of fracking fluid |
| High-resolution transmission electron microscopy (HR-TEM) | Characterization of nanomaterials |
| Dynamic light scattering (DLS) | |
| Anton Paar MCR 502 rheometer | Evaluation of the rheological behaviors of frac fluid |
| Materials | Size (d.nm) | Mean Number % | Standard Division Number % |
|---|---|---|---|
| CuO nanoparticles | 164.3 | 3.2 | 0.3 |
| 192.1 | 12.1 | 1 | |
| 219.7 | 21.9 | 1.1 | |
| 255.0 | 23.1 | 0.5 | |
| 295.3 | 19.1 | 0.3 | |
| 343.5 | 11.7 | 0.8 | |
| 396.5 | 5.6 | 0.9 | |
| 460.2 | 2.2 | 0.6 | |
| 535 | 0.6 | 0.2 | |
| ZnO nanoparticles | 164.2 | 3.3 | 0.3 |
| 190.1 | 12.7 | 1 | |
| 220.2 | 22 | 1.1 | |
| 255.0 | 23.6 | 0.5 | |
| 295.3 | 18.7 | 0.3 | |
| 342.0 | 11.7 | 0.8 | |
| 396.1 | 5.7 | 0.9 | |
| 458.7 | 1.9 | 0.6 | |
| 531.2 | 0.4 | 0.2 |
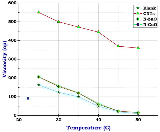
| Temperature | The Viscosity of Frac Fluid (cp) | |||
|---|---|---|---|---|
| CNTs | N-ZnO | N-CuO | Blank | |
| 25 | 550 | 206 | 206 | 163 |
| 30 | 500 | 160 | 155 | 124 |
| 35 | 472 | 121 | 120 | 100 |
| 40 | 445 | 65 | 60 | 50 |
| 45 | 370 | 24 | 24 | 20 |
| 50 | 360 | 17 | 16 | 10 |
Disclaimer/Publisher’s Note: The statements, opinions and data contained in all publications are solely those of the individual author(s) and contributor(s) and not of MDPI and/or the editor(s). MDPI and/or the editor(s) disclaim responsibility for any injury to people or property resulting from any ideas, methods, instructions or products referred to in the content. |
© 2024 by the authors. Licensee MDPI, Basel, Switzerland. This article is an open access article distributed under the terms and conditions of the Creative Commons Attribution (CC BY) license (https://creativecommons.org/licenses/by/4.0/).
Share and Cite
Yehia, F.; Gado, W.; Al-Gamal, A.G.; Nishu; Yang, C.; Liu, L.; Kabel, K.I. Synergistic Effect of Carbon Nanotubes, Zinc, and Copper Oxides on Rheological Properties of Fracturing Fluid: A Comparative Study. Processes 2024, 12, 611. https://doi.org/10.3390/pr12030611
Yehia F, Gado W, Al-Gamal AG, Nishu, Yang C, Liu L, Kabel KI. Synergistic Effect of Carbon Nanotubes, Zinc, and Copper Oxides on Rheological Properties of Fracturing Fluid: A Comparative Study. Processes. 2024; 12(3):611. https://doi.org/10.3390/pr12030611
Chicago/Turabian StyleYehia, Fatma, Walaa Gado, Abdalrahman G. Al-Gamal, Nishu, Chao Yang, Lihua Liu, and Khalid I. Kabel. 2024. "Synergistic Effect of Carbon Nanotubes, Zinc, and Copper Oxides on Rheological Properties of Fracturing Fluid: A Comparative Study" Processes 12, no. 3: 611. https://doi.org/10.3390/pr12030611
APA StyleYehia, F., Gado, W., Al-Gamal, A. G., Nishu, Yang, C., Liu, L., & Kabel, K. I. (2024). Synergistic Effect of Carbon Nanotubes, Zinc, and Copper Oxides on Rheological Properties of Fracturing Fluid: A Comparative Study. Processes, 12(3), 611. https://doi.org/10.3390/pr12030611

