Effect of Cold Plasma on the Germination and Seedling Growth of Durum Wheat Genotypes
Abstract
1. Introduction
2. Materials and Methods
2.1. Cold Atmospheric Plasma Sources
2.1.1. Microwave Plasma Torch
2.1.2. Underwater Diaphragm Discharge
2.2. Preliminary Experiment
2.3. Experiment for Evaluation of Seedling Growth and Osmotic Stress Tolerance after the Cold Plasma Treatment of Seeds
3. Results and Discussion
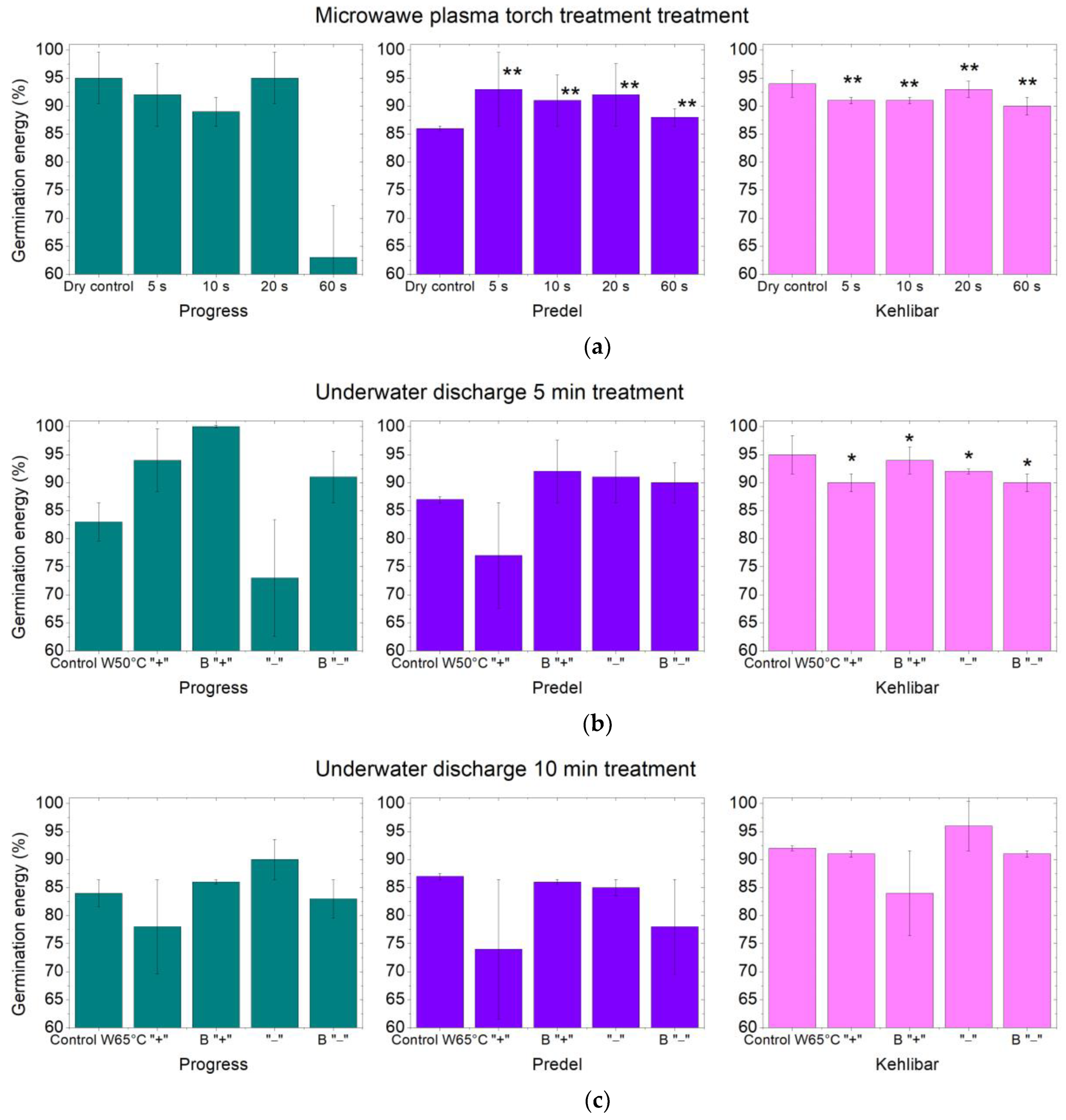
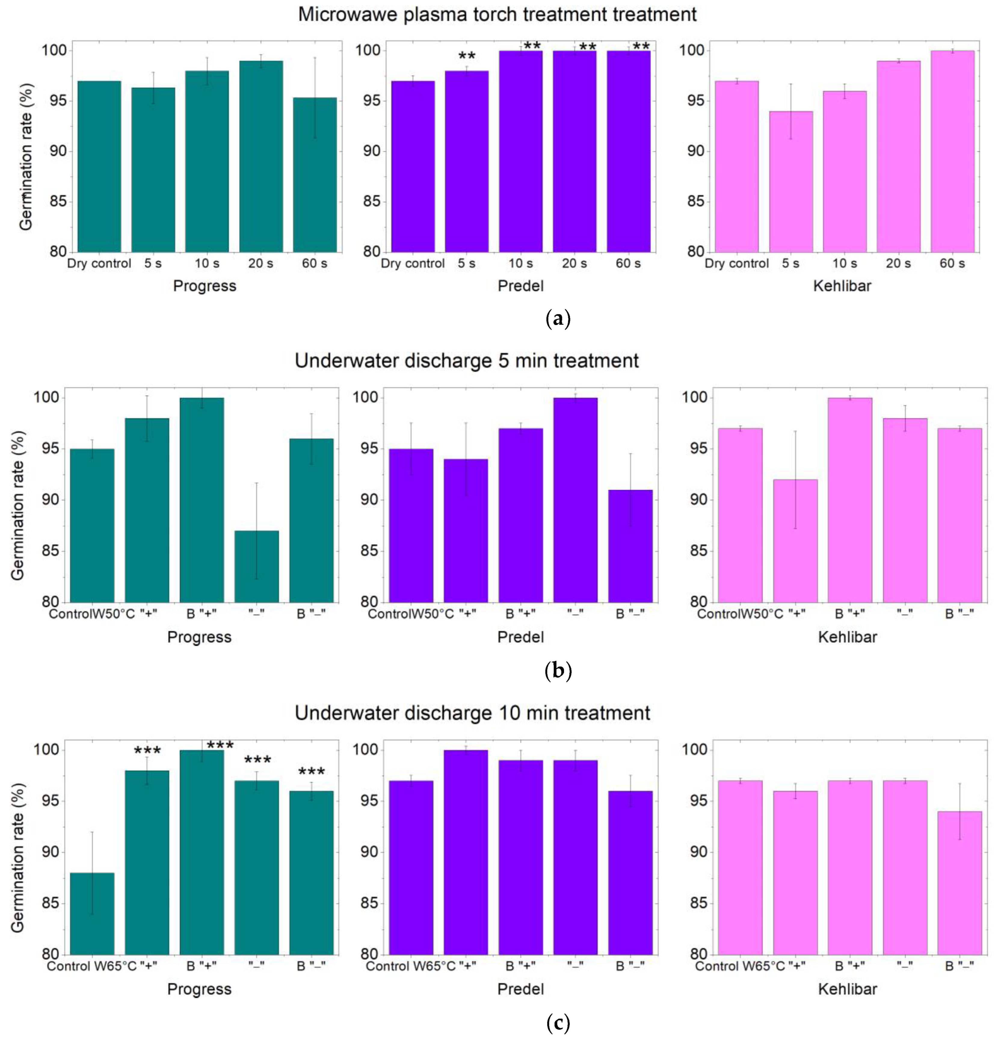
3.1. Preliminary Experiments to Achieve a Positive Effect on Seed Germination by the Most Appropriate Combinations of Plasma Source and Duration of Treatment
3.2. Experiment for Evaluation of Seedling Growth and Osmotic Stress Tolerance after the Cold Plasma Treatment of Seeds
4. Conclusions
Author Contributions
Funding
Data Availability Statement
Acknowledgments
Conflicts of Interest
References
- Simek, M.; Homola, T. Plasma-assisted agriculture: History, presence, and prospects—A review. Eur. Phys. J. D 2021, 75, 210. [Google Scholar] [CrossRef]
- Staric, P.; Vogel-Mikuš, K.; Mozetic, M.; Junkar, I. Effects of Nonthermal Plasma on Morphology, Genetics and Physiology of Seeds: A Review. Plants 2020, 9, 1736. [Google Scholar] [CrossRef] [PubMed]
- Krcma, F.; Stara, Z.; Prochazkova, J. Diaphragm discharge in liquids: Fundamentals and applications. J. Phys. Conf. Ser. 2010, 207, 012010. [Google Scholar] [CrossRef]
- Tong, J.Y.; He, R.; Zhang, X.L.; Zhan, R.T.; Chen, W.W.; Yang, S.Z. Effects of atmospheric pressure air plasma pretreatment on the seed germination and early growth of Andrographis paniculata. Plasma Sci. Technol. 2014, 16, 260–266. [Google Scholar] [CrossRef]
- Dhayal, M.; Lee, S.Y.; Park, S.U. Using low-pressure plasma for Carthamus tinctorium L. seed surface modification. Vacuum 2006, 80, 499–506. [Google Scholar]
- Motrescu, I.; Ciolan, M.A.; Calistru, A.-E.; Jităreanu, G. Cold plasma processing of seeds as non-chemical, green technology for production stimulation. In Proceedings of the 13th International Conference—Processes in Isotopes and Molecules, Cluj Napoca, Romania, 22–24 September 2021. [Google Scholar]
- Kocira, S.; Pérez-Pizá, M.C.; Bohata, A.; Bartos, P.; Szparaga, A. Cold Plasma as a Potential Activator of Plant Biostimulants. Sustainability 2022, 14, 495. [Google Scholar] [CrossRef]
- Šerá, B.; Stranák, V.; Šerý, M.; Tichy, M.; Špatenka, P. Germination of Chenopodium Album in response to microwave plasma treatment. Plasma Sci. Technol. 2008, 10, 506–511. [Google Scholar] [CrossRef]
- Šerá, B.; Spatenka, P.; Sery, M.; Vrchotova, N.; Hruskova, I. Influence of Plasma Treatment on Wheat and Oat Germination and Early Growth. IEEE Trans. Plasma Sci. 2010, 38, 2963–2968. [Google Scholar] [CrossRef]
- Ryplova, R.; Sera, B.; Bicanova, L.; Landova, T.; Petraskova, K.; Rakosnikova, T. The Response of Rape Seedlings to Cold Plasma Treatment of Seeds. In Proceedings of the 12th Scientific and Technical Seminar on Seed and Seedlings, Czech University of Life Sciences Prague (CULS), Prague, Czech Republic, 6-8 February 2015. [Google Scholar]
- Li, L.; Jiang, J.; Li, J.; Shen, M.; He, X.; Shao, H.; Dong, Y. Effects of cold plasma treatment on seed germination and seedling growth of soybean. Sci. Rep. 2014, 4, 5859. [Google Scholar]
- Chen, H.H.; Chen, Y.K.; Chang, H.C. Evaluation of physicochemical properties of plasma treated brown rice. Food Chem. 2012, 135, 74–79. [Google Scholar] [CrossRef]
- Henselová, M.; Slováková, L.; Martinka, M.; Zahoranová, A. Growth, anatomy and enzyme activity changes in maize roots induced by treatment of seeds with low-temperature plasma. Biol. Sect. Bot. 2012, 67, 490–497. [Google Scholar] [CrossRef]
- Motrescu, I.; Hara, T.; Ogino, A.; Tanaka, S.; Fujiwara, T.; Kawagishi, H.; Kodani, S.; Popa, G.; Nagatsu, M. Investigation of low temperature plasma capabilities to modify the structure and function of bio-polymers. J. Autom. Mob. Robot. Intell. Syst. 2009, 3, 150–152. [Google Scholar]
- Motrescu, I.; Hara, T.; Ogino, A.; Nagatsu, M.; Popa, G. Structural modification of amino acids and peptides using low-pressure microwave plasma. In Proceedings of the IEEE International Conference on Plasma Science, Norfolk, VA, USA, 20–24 June 2010. [Google Scholar]
- Zhou, Z.W.; Huang, Y.F.; Yang, S.Z.; Chen, W. Introduction of a new atmospheric pressure plasma device and application on tomato seeds. Agri. Sci. 2011, 2, 23–27. [Google Scholar] [CrossRef]
- Filatova, I.; Azharonok, V.; Kadyrov, M.; Beljavsky, V.; Gvozdov, A.; Shik, A.; Antonuk, A. The effect of plasma treatment of seeds of some grains and legumes on their sowing quality and productivity. Rom. J. Phys. 2011, 56, 139–143. [Google Scholar]
- Bormashenko, E.; Grynyov, R.; Bormashenko, Y.; Drori, E. Cold radiofrequency plasma treatment modifies wettability and germination speed of plant seeds. Sci. Rep. 2012, 2, 741–748. [Google Scholar] [CrossRef] [PubMed]
- Wu, Z.H.; Chi, L.H.; Bian, S.F.; Xu, K.Z. Effects of plasma treatment on maize seeding resistance. J. Maize Sci. 2007, 15, 111–113. [Google Scholar]
- Yin, M.Q.; Huang, M.J.; Ma, B.Z.; Ma, T.C. Stimulating effects of seed treatment by magnetized plasma on tomato growth and yield. Plasma Sci. Technol. 2005, 7, 3143–3147. [Google Scholar]
- Moisan, M.; Beaudry, C.; Leprince, P. A new HF device for the production of long plasma columns at a high electron density. Phys. Lett. A 1974, 50, 125–126. [Google Scholar] [CrossRef]
- Moisan, M.; Beaudry, C.; Leprince, P. A small microwave plasma source for long column production without magnetic field. IEEE Trans. Plasma Sci. 1975, 3, 55–59. [Google Scholar] [CrossRef]
- Moisan, M.; Leprince, P.; Beaudry, C.; Bloyet, E. Devices and Methods of Using HF Wave to Energize a Column of Gas Enclosed in an Insulating Casing. U.S. Patent No. 4049940, 20 September 1977. [Google Scholar]
- Moisan, M.; Nowakowska, H. Contribution of surface-wave (SW) sustained plasma columns to the modeling of RF and microwave discharges with new insight into some of their features. A survey of other types of SW discharges. Plasma Sources Sci. Technol. 2018, 27, 073001. [Google Scholar] [CrossRef]
- Benova, E.; Marinova, P.; Tafradjiiska-Hadjiolova, R.; Sabit, Z.; Bakalov, D.; Valchev, N.; Traikov, L.; Hikov, T.; Tsonev, I.; Bogdanov, T. Characteristics of 2.45 GHz Surface-Wave-Sustained Argon Discharge for Bio-Medical Applications. Appl. Sci. 2022, 12, 969. [Google Scholar] [CrossRef]
- Stara, Z.; Krcma, F.; Prochazkova, J. Physical aspects of diaphragm discharge creation using constant DC high voltage in electrolyte solution. Acta Tech. CSAV 2008, 53, 277–286. [Google Scholar]
- Todorovska, E.; Bozhanova, V.; Dechev, D.; Valkova, N. Osmoregulation capacity in Bulgarian durum wheat. Biotechnol. Biotechnol. Equip. 2014, 28, 786–797. [Google Scholar] [CrossRef] [PubMed]
- Blum, A.; Sinmena, B.; Ziv, O. An evaluation of seed and seedling drought tolerance screening tests in wheat. Euphytica 1980, 29, 727–736. [Google Scholar] [CrossRef]
- Marcek, T.; Kovac, T.; Jukic, K.; Loncaric, A.; Izakovic, M. Application of High Voltage Electrical Discharge Treatment to Improve Wheat Germination and Early Growth under Drought and Salinity Conditions. Plants 2021, 10, 2137. [Google Scholar] [CrossRef]
- Li, L.; Li, J.; Shen, M.; Zhang, C.; Dong, Y. Cold plasma treatment enhances oilseed rape seed germination under drought stress. Sci. Rep. 2015, 5, 13033. [Google Scholar]











| No | Type of Plasma Treatment | Plasma Treatment Time | 
|---|---|---|
| 1 | Plasma torch | 5 s | 
| 2 | Plasma torch | 10 s | 
| 3 | Plasma torch | 20 s | 
| 4 | Plasma torch | 60 s | 
| 5 | Underwater “+” | 5 min | 
| 6 | Underwater B “+” | 5 min | 
| 7 | Underwater “−“ | 5 min | 
| 8 | Underwater B “−“ | 5 min | 
| 9 | Underwater “+” | 10 min | 
| 10 | Underwater B “+” | 10 min | 
| 11 | Underwater “–“ | 10 min | 
| 12 | Underwater B “−“ | 10 min | 
| 13 | Control W 50 °C | 0 | 
| 14 | Control W 65 °C | 0 | 
| 15 | Control | 0 | 
| Traits | Source of Variation and % of Total Variation | |||||
|---|---|---|---|---|---|---|
| Genotype (G) | Treatment (T) | Interaction (GxT) | ||||
| MS | η2,% | MS | η2,% | MS | η2,% | |
| Germination energy | 267.0 ** | 8.24 | 114.4 * | 24.7 | 77.2 | 33.3 | 
| Shoot length | 144.2 *** | 16.9 | 23.8 ** | 19.6 | 28.7 * | 47.08 | 
| Root length | 134.1 *** | 8.98 | 74 *** | 34.7 | 52.4 *** | 49.4 | 
| Seedling weight | 1.659 *** | 41.95 | 0.0646 * | 11.47 | 0.0925 ** | 32.7 | 
| Disclaimer/Publisher’s Note: The statements, opinions and data contained in all publications are solely those of the individual author(s) and contributor(s) and not of MDPI and/or the editor(s). MDPI and/or the editor(s) disclaim responsibility for any injury to people or property resulting from any ideas, methods, instructions or products referred to in the content. | 
© 2024 by the authors. Licensee MDPI, Basel, Switzerland. This article is an open access article distributed under the terms and conditions of the Creative Commons Attribution (CC BY) license (https://creativecommons.org/licenses/by/4.0/).
Share and Cite
Bozhanova, V.; Marinova, P.; Videva, M.; Nedjalkova, S.; Benova, E. Effect of Cold Plasma on the Germination and Seedling Growth of Durum Wheat Genotypes. Processes 2024, 12, 544. https://doi.org/10.3390/pr12030544
Bozhanova V, Marinova P, Videva M, Nedjalkova S, Benova E. Effect of Cold Plasma on the Germination and Seedling Growth of Durum Wheat Genotypes. Processes. 2024; 12(3):544. https://doi.org/10.3390/pr12030544
Chicago/Turabian StyleBozhanova, Violeta, Plamena Marinova, Maria Videva, Spasimira Nedjalkova, and Evgenia Benova. 2024. "Effect of Cold Plasma on the Germination and Seedling Growth of Durum Wheat Genotypes" Processes 12, no. 3: 544. https://doi.org/10.3390/pr12030544
APA StyleBozhanova, V., Marinova, P., Videva, M., Nedjalkova, S., & Benova, E. (2024). Effect of Cold Plasma on the Germination and Seedling Growth of Durum Wheat Genotypes. Processes, 12(3), 544. https://doi.org/10.3390/pr12030544
 
        


 
       