Numerical Simulation of the Hydrogen-Based Directly Reduced Iron Melting Process
Abstract
1. Introduction
2. Model Description
2.1. Characteristics of HDRI
2.2. Model Hypothesis
- (1)
- Ignoring the reaction between HDRI and slag, HDRI falls directly into the molten cell for melting;
- (2)
- The heat transfer process is a controlled link within which the influence of carbon content is not considered;
- (3)
- Heat inside HDRI is transferred to a porous medium;
- (4)
- The temperature and properties of the molten steel pool in the unit are uniform and stable;
- (5)
- The liquid density and dynamic viscosity of the cell are regarded to be constant relative to the temperature.
2.3. Control Equation
2.4. Model Parameter
3. Results and Discussion
3.1. HDRI Melting and Its Heat Transfer Process
3.2. Binding Phenomena in the HDRI Melting Process
3.2.1. The Bonding Phenomenon of HDRI with Different Spacing
3.2.2. The Bonding Phenomenon of HDRIs at Different Molten Pool Temperatures
3.2.3. The Bonding Phenomenon of HDRIs at Different Preheating Temperatures
3.2.4. Effect of the Bonding Phenomenon on the Melting Time of HDRI
3.3. Effect of Different Melting Pool Temperatures on the Melting Process of HDRI
- (1)
- The time required to reach the maximum solidified steel layer thickness was shortened. When the molten tank temperatures were 1723 K, 1773 K, 1823 K, and 1873 K, the times required to reach the maximum solidified steel layer thickness were, respectively, 12.6 s, 2 s, 1.6 s, and 0.8 s. When the temperature decreased to 1723 K, the time required for the HDRI to produce a solidified steel layer of maximum thickness increased significantly (by about six times) to Tm = 1773 K.
- (2)
- The times required for the melting of the solidified steel layer were shortened. When the molten pool temperatures were 1723 K, 1773 K, 1823 K, and 1873 K, the melting times required for the solidified steel layer were 73.4 s, 3.6 s, 3.2 s, and 2 s, respectively, and when the temperature was reduced to 1723 K, the time required for the melting of the solidified steel layer greatly increased.
- (3)
- The times required for melting of the HDRI body were shortened. When the melting temperatures were 1873 K and 1823 K, the times required for the melting of the HDRI body were 4.2 s and 8.6 s, respectively. When the melting temperatures was reduced to 1773 K and 1723 K, the time required for the melting of the HDRI body increased to 45.4 s and 75 s, respectively. This was due to the temperature drop in the melting pool and the drop in the heat flow density. At the same time, as the melting time increases, the heat accumulated by the HDRI increases; the HDRI is heated to a higher temperature, meaning the temperature gradient between the HDRI and the molten pool decreases, the melting speed decreases, and the melting time of HDRI body is thus greatly increased.
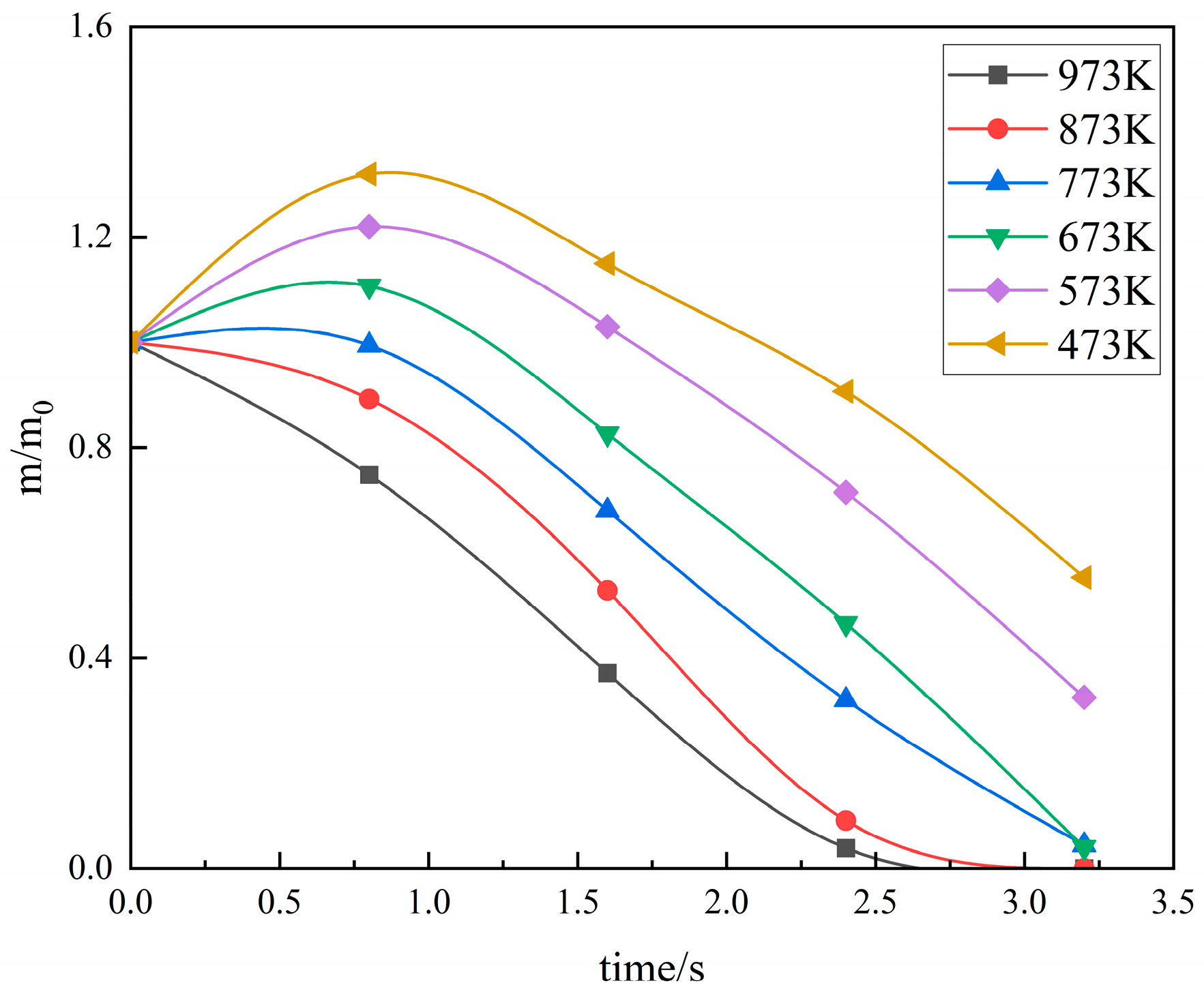
3.4. Effect of Different Preheating Temperatures on the Melting Process of HDRI
- (1)
- The times required to reach the maximum solidified steel layer were shortened. When the preheating temperatures were 473 K, 573 K, 673 K, 773 K, 873 K, and 973 K, the times required to reach the maximum solidified steel layer thickness were, respectively: 0.8 s, 0.6 s, 0.5 s, 0.4 s, 0.2 s, and 0.1 s. When the initial temperature rose to 973 K, the time the HDRI takes to form a solidified steel layer was very short.
- (2)
- The melting times of the solidified steel layer was shortened. When the preheating temperatures were 473 K, 573 K, 673 K, 773 K, 873 K, 873 K, and 973 K, the melting times of the solidified steel layer were 1.2 s, 1.0 s, 0.6 s, 0.4 s, 0.4 s, and 0.1 s, respectively. When the initial temperature T0 was 773 K, the maximum solidified steel layer thickness formed by the HDRI was less than the maximum thickness of solidified steel layer when T0 = 673 K, but the melting time was the same. This is because when T0 = 673 K, the temperature gradient between the HDRI and the melting pool is larger and the heat transfer occurs faster; as a consequence, the solidified steel layer melts more rapidly.
- (3)
- The melting times required for the body of HDRI body did not much change. When the preheating temperatures were 473 K, 573 K, 673 K, 673 K, 773 K, 873 K, and 973 K, the times required for the melting stage of the HDRI body were 2.6 s, 2.7 s, 2.3 s, 2.4 s, 2.3 s, and 2.2 s, respectively. As the initial temperature increased, the time required for the melting stage of the HDRI body did not change significantly, which was due to the different degrees of heat accumulated in the first two stages. When the solidified steel layer was completely melted, HDRIs with a different initial temperatures can warm to a similar temperature.
4. Conclusions
- (1)
- The melting process of HDRI is controlled by heat transfer, which can be divided into three stages: formation of the solidified steel layer, melting of the condensing steel layer, and melting of the HDRI body. The main factors influencing this process include the melting tank temperature, the initial temperature of the HDRI, and the HDRI’s characteristics (i.e., stacking density).
- (2)
- Multiple pieces of HDRI bond easily during melting. The HDRI’s spacing, melting pool temperature, and preheating temperature are important aspects that can dictate whether or not the bonding phenomenon occurs.
- Increasing the spacing can reduce the phenomenon of HDRI bonding. When the melting pool temperature is Tm = 1873 K and the initial temperature of HDRI is T0 = 300 K, two HDRI spheres with spacing less than 6 mm will bond to form a whole until complete melting; two HDRI spheres with spacing greater than 6 mm will gradually come apart after melting; and when the spacing is 10 mm, the two HDRI spheres will not bond.
- Maintaining a high pool temperature can reduce the HDRI bonding phenomenon. When the pool temperature decreases to 1823 K, the thermodynamic conditions of HDRI melting deteriorate, the heat transfer speed decreases, and two HDRI spheres with a spacing of 10 mm still exhibit the bonding phenomenon.
- Increasing the preheating temperature can reduce the HDRI bonding phenomenon. At a pool temperature Tm of 1873 K, a spacing of 6mm can occur when the melting temperature reaches 973 K.
- (3)
- Increasing the melting pool temperature can promote the melting of HDRI. With the increase in the melting pool temperature and the improvement of thermodynamic conditions, the melting time of the three stages of HDRI melting can be shortened and the melting speed can be accelerated. Increasing the temperature of the melting pool can also effectively reduce the bonding phenomenon. With the increase in the melting pool temperature, the thickness of the solidified steel layer formed by the HDRI ball becomes smaller; the HDRI melts more rapidly, and the phenomenon of HDRI bonding is reduced.
- (4)
- Increasing the HDRI preheating temperature can speed up the HDRI melting. Its main function is to shorten the time required for the formation and melting of a solidified steel layer, but the melting time required for the body of HDRI body does not much change. Therefore, it is difficult to significantly shorten the time required for complete melting of the HDRI only by altering the preheating temperature.
- (5)
- HDRI produced in a shaft furnace can be melted or smelted in an electric furnace, and the final products, high-purity iron or high-end special steel, can be obtained. When smelting in an electric furnace, pieces of HDRI can easily bond with each other and become larger pieces, on occasion forming an “iceberg”; such a phenomenon adversely affects the smelting conditions. On the basis of our numerical simulation of the HDRI spacing, pool temperature, and HDRI preheating temperature combined with the specific size and heating conditions of our electric furnace equipment, we can determine the optimal preheating temperature for HDRI, calculate an appropriate feeding speed for different pool temperatures, and eliminate the bonding phenomenon of HDRI; this will allow us to improve the production efficiency of electric furnaces.
Author Contributions
Funding
Data Availability Statement
Conflicts of Interest
References
- Ren, M.; Lu, P.; Liu, X.; Hossain, M.S.; Fang, Y.; Hanaoka, T.; O’Gallachoir, B.; Glynn, J.; Dai, H. Decarbonizing China’s iron and steel industry from the supply and demand sides for carbon neutrality. Appl. Energy 2021, 298, 117209. [Google Scholar] [CrossRef]
- Eder, W. Environment-Climate-Energy: Quo Vadis, Industry? BHM Berg-Hüttenmännische Monatshefte 2017, 162, 494–497. [Google Scholar] [CrossRef]
- Spreitzer, D.; Schenk, J. Reduction of Iron Oxides with Hydrogen—A Review. Steel Res. Int. 2019, 90, 1900108. [Google Scholar] [CrossRef]
- Fruenhan, R. Oxygen versus EAF steelmaking in the 21st century. Trans. Indian Inst. Met. 2006, 59, 607–617. [Google Scholar]
- Miller, F.P.; Vandome, A.F.; Mcbrewster, J. Electric Arc Furnacel; Alphascript Publishing: Berlin, Germany, 2010. [Google Scholar]
- Toulouecski, Y.N.; Zinurov, I.Y. Fuel Arc Furnace (FAF) for Effective Scrapmelting; Springer Briefs in Applied Sciences and Technology: Singapore, 2017. [Google Scholar]
- Dworak, S.; Rechberger, H.; Fellner, J. How will tramp elements affect future steel recycling in Europe? A dynamic material flow model for steel in the EU-28 for the period 1910 to 2050. Resour. Conserv. Recycl. 2021, 179, 106072. [Google Scholar] [CrossRef]
- Tanaka, H. Resources trend and use of direct reduced iron in steelmaking process. Kobelco Technol. Rev. 2015, 33, 1–7. [Google Scholar]
- Deng, S.; Xu, A.; Yang, G.; Wang, H. Analyses and calculation of steel scrap melting in a multifunctional hot metal ladle. Steel Res. Int. 2019, 90, 1800435. [Google Scholar] [CrossRef]
- Shukla, A.K.; Deo, B.; Robertson, D.G.C. Modeling of Scrap Dissolution in Molten Iron for the CASE of Heat Transfer Controlled Process by Different Approaches and Comparison of Their Accuracies. J. Heat Transf. 2019, 142, 012101. [Google Scholar] [CrossRef]
- Liu, M.; Ma, G.; Zhang, X. Kinetics of Scrap Melting in Iron-Carbon Bath. In TMS 2020 149th Annual Meeting & Exhibition Supplemental Proceedings; The Minerals, Metals & Materials Series; Springer: Cham, Switzerland, 2020; pp. 1047–1059. [Google Scholar]
- Penz, F.M.; Schenk, J. A Review of Steel Scrap Melting in Molten Iron-Carbon Melts. Steel Res. Int. 2019, 90, 1900124. [Google Scholar] [CrossRef]
- Dharma-Rao, V.; Sarma, P.K. Direct contact heat transfer in spherical geometry associated with phase transformation—A closed-form solution. Int. J. Heat Mass Transf. 1985, 28, 1956–1958. [Google Scholar] [CrossRef]
- Vladimir, G. Fusion of Low Carbon Steel Scrap in the Middle Carbon Steel Melt. Kovine Zlitine Technol. 1996, 30, 527–530. [Google Scholar]
- Zhou, B.; Yang, Y.X. Study of Melting Behaviour of Aluminium Scraps in Molten Melts. In Proceedings of the TMS Fall 2002 Extraction and Processing Division Meeting on Recycling and Waste Treatment in Mineral and Metal Processing: Technical and Economic Aspects, Lulea, Sweden, 16–20 June 2002; pp. 1–11. [Google Scholar]
- Kazumi, M.; Hiroyuki, N. Study on the Rate of Scrap Melting in the Steel-making Process. Tetsu-to-Hagane 1969, 55, 347–354. [Google Scholar]
- Cárdenas, J.G.G.; Conejo, A.N.; Gnechi, G.G. Optimization of energy consumption in electric arc furnaces operated with 100% DRI. Metal 2007, 2007, 1–7. [Google Scholar]
- Kirschen, M.; Badr, K.; Pfeifer, H. Influence of direct reduced iron on the energy balance of the electric arc furnace in steel industry. Energy 2011, 36, 6146–6155. [Google Scholar] [CrossRef]
- Kirschen, M.; Hay, T.; Echterhof, T. Process Improvements for Direct Reduced Iron Melting in the Electric Arc Furnace with Emphasis on Slag Operation. Processes 2021, 9, 402. [Google Scholar] [CrossRef]
- Li, J.; Barati, M. Kinetics and Mechanism of Decarburization and Melting of Direct-Reduced Iron Pellets in Slag. Metall. Mater. Trans. B 2009, 40, 17–24. [Google Scholar] [CrossRef]
- Sharifi, E.; Barati, M. The Reaction Behavior of Direct Reduced Iron (DRI) in Steelmaking Slags: Effect of DRI Carbon and Preheating Temperature. Metall. Mater. Trans. B 2010, 41, 1018–1024. [Google Scholar] [CrossRef]
- Pfeiffer, A.; Wimmer, G.; Schenk, J. Investigations on the Interaction Behavior between Direct Reduced Iron and Various Melts. Materials 2022, 18, 5691. [Google Scholar] [CrossRef]
- Zhang, L.Y. Modelling on melting of sponge iron particles in iron-bath. Steel Res. 1996, 67, 466–473. [Google Scholar] [CrossRef]
- Zhang, L.Y.; Oeters, F. Mathematical modelling of alloy melting in steel melts. Steel Res. 1999, 70, 128–134. [Google Scholar] [CrossRef]
- Oeters, F.; Zhang, L.; Hauler, C.; Leitner, J. Laboratory experiments and process modelling of the melting and dissolution of low-density ferro-molybdenum in steel melts. Steel Res. 2000, 72, 71. [Google Scholar] [CrossRef]
- Hornby, S.; Madias, J.; Torre, F. Myths and realities of charging DRI/HBI in electric arc furnaces. In Proceedings of the AISTech 2015, Cleveland, OH, USA, 4–7 May 2015; pp. 81–90. [Google Scholar]
- Hay, T.; Echterhof, T.; Visuri, V.-V. Development of an Electric Arc Furnace Simulator Based on a Comprehensive Dynamic Process Model. Processes 2019, 7, 852. [Google Scholar] [CrossRef]
- Hay, T.; Reimann, A.; Echterhof, T. Improving the Modeling of Slag and Steel Bath Chemistry in an Electric Arc Furnace Process Model. Metall. Mater. Trans. B 2019, 50, 2377–2388. [Google Scholar] [CrossRef]
- Szekely, J.; Chuang, Y.K.; Hlinka, J.W. The melting and dissolution of low-carbon steels in iron-carbon melts. Metall. Mater. Trans. B 1972, 3, 2825–2833. [Google Scholar] [CrossRef]
- Penz, F.; Schenk, J.; Ammer, R.; Klösch, G.; Pastucha, K. Dissolution of Scrap in Hot Metal under Linz–Donawitz (LD) Steelmaking Conditions. Metals 2018, 8, 1078. [Google Scholar] [CrossRef]
- Penz, F.M.; Schenk, J.; Ammer, R.; Klösch, G.; Pastucha, K.; Reischl, M. Diffusive Steel Scrap Melting in Carbon-Saturated Hot Metal-Phenomenological Investigation at the Solid-Liquid Interface. Materials 2019, 12, 1358. [Google Scholar] [CrossRef] [PubMed]
- Penz, F.M.; Tavares, R.P.; Weiss, C.; Schenk, J.; Ammer, R.; Pastucha, K.; Klösch, G. Analytical and numerical determination of the heat transfer coefficient between scrap and hot metal based on small-scale experiments. Int. J. Heat Mass Transf. 2019, 138, 640–646. [Google Scholar] [CrossRef]
- Wei, G.; Zhu, R.; Tang, T.; Dong, K. Study on the melting characteristics of steel scrap in molten steel. Ironmak. Steelmak. 2019, 46, 609–617. [Google Scholar] [CrossRef]
- Shukla, A.; Deo, B.; Robertson, D. Scrap dissolution in molten iron containing carbon for the case of coupled heat and mass transfer control. Metall. Mater. Trans. B 2013, 44, 1407–1427. [Google Scholar] [CrossRef]
- Xi, X.; Chen, S.; Yang, S.; Ye, M.; Li, J. Melting characteristics of multipiece steel scrap in liquid steel. ISIJ Int. 2021, 61, 190–199. [Google Scholar] [CrossRef]
- Gao, M.; Gao, J.T.; Zhang, Y.L.; Yang, S.F. Two-dimensional temperature distribution and heat transfer during scrap melting. JOM 2020, 72, 1943–1952. [Google Scholar] [CrossRef]
- GB/T 6730.65-2009; Iron Ores—Determination of Total Iron Content—Titanium(III) Chloride Reduction Potassium Dichromate Titration Methods (Routine Methods). China Iron and Steel Association: Beijing, China, 2009.
















| TFe 1 | FeO | Fe | C | S | SiO2 | P | Cu | Pb | As |
|---|---|---|---|---|---|---|---|---|---|
| 92.42 | 6.60 | 84.94 | 0.29 | 0.002 | 4.290 | ~0.05 | 0.00 | 0.00 | 0.00 |
| Parameters of Properties | Value | Unit |
|---|---|---|
| Porosity of HDRI | 0.4 | 1 |
| Density of HDRI | 3000 | kg/m3 |
| Density of liquid steel | 7100 | kg/m3 |
| Heat capacity of HDRI | 450 | J/(kg·K) |
| Heat capacity of liquid steel | 500 | J/(kg·K) |
| Thermal conductivity of HDRI | 35 | W/(m·K) |
| Thermal conductivity of liquid steel | 30 | W/(m·K) |
| Phase transition latent heat | 205 | kJ/kg |
| Viscosity of liquid steel | 0.0065 | Pa·s |
| Melting pool temperature | 1723~1873 | K |
| Initial temperature of HDRI | 300, 473~973 | K |
| Spacing of HDRI | 0~10 | mm |
Disclaimer/Publisher’s Note: The statements, opinions and data contained in all publications are solely those of the individual author(s) and contributor(s) and not of MDPI and/or the editor(s). MDPI and/or the editor(s) disclaim responsibility for any injury to people or property resulting from any ideas, methods, instructions or products referred to in the content. |
© 2024 by the authors. Licensee MDPI, Basel, Switzerland. This article is an open access article distributed under the terms and conditions of the Creative Commons Attribution (CC BY) license (https://creativecommons.org/licenses/by/4.0/).
Share and Cite
Lin, X.; Ni, B.; Shangguan, F. Numerical Simulation of the Hydrogen-Based Directly Reduced Iron Melting Process. Processes 2024, 12, 537. https://doi.org/10.3390/pr12030537
Lin X, Ni B, Shangguan F. Numerical Simulation of the Hydrogen-Based Directly Reduced Iron Melting Process. Processes. 2024; 12(3):537. https://doi.org/10.3390/pr12030537
Chicago/Turabian StyleLin, Xiaoping, Bing Ni, and Fangqin Shangguan. 2024. "Numerical Simulation of the Hydrogen-Based Directly Reduced Iron Melting Process" Processes 12, no. 3: 537. https://doi.org/10.3390/pr12030537
APA StyleLin, X., Ni, B., & Shangguan, F. (2024). Numerical Simulation of the Hydrogen-Based Directly Reduced Iron Melting Process. Processes, 12(3), 537. https://doi.org/10.3390/pr12030537

