Global Modeling of Heat-Integrated Distillation Column Based on Limited Local Measurements
Abstract
1. Introduction
2. Nonlinear Modeling Based on Mass Transfer Mechanisms
2.1. Mechanistic Model of an HIDiC
2.2. The Nonlinear Wave Model of the HIDiC
2.3. Nonlinear Modeling Based on Mass Transfer Mechanisms
3. Global Online Observer Design Based on Limited Measurements
3.1. Estimating Concentrations Based on Tray Temperatures
3.2. Selection of the First q Measuring Positions Based on PCA (Principal Component Analysis)
3.2.1. The Method for Selecting the Initial Observation Position
3.2.2. Selection Method of the 2nd to the q-th Measurement Positions
3.2.3. Selection for More Measurement Positions
3.2.4. Online Observation Design
4. Global Model and Dynamic Simulation Based on Limited Measurements
4.1. Global Model Based on Limited Measurements
- (1)
- Assuming the current moment is k, based on the tray information provided by the measurement points, the parameters (, , , , ) in the concentration curve distribution function can be solved using Equation (45), denoted as , where ;
- (2)
- Substituting the parameters obtained in (1) into Equations (29) and (30), and assigning values to tray number j, can yield the concentration information for the corresponding tray. Consequently, various tray information, such as temperature, vapor–liquid molar flow, and more, can be obtained using Equations (1)–(10);
- (3)
- Based on the model variables obtained in (2) and the proposed nonlinear model, the parameters for the concentration distribution function at the next step, denoted as , can be predicted. Calculate the estimation error from the previous time step can be calculated and error compensation can be performed:
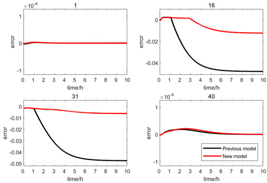
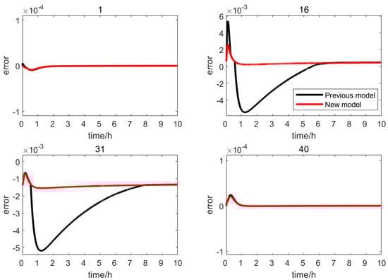
4.2. Dynamic Simulation Results
5. Conclusions
Author Contributions
Funding
Data Availability Statement
Conflicts of Interest
References
- Jana, A.K. Heat integrated distillation operation. Appl. Energ. 2010, 87, 1477–1494. [Google Scholar] [CrossRef]
- Kiss, A.A. Distillation technology-still young and full of breakthrough opportunities. J. Chem. Technol. Biot. 2014, 89, 479–498. [Google Scholar] [CrossRef]
- Tan, H.Y.; Cong, L. Modeling and Control Design for Distillation Columns Based on the Equilibrium Theory. Processes 2023, 11, 607. [Google Scholar] [CrossRef]
- Zhao, Y.; Ma, K.; Bai, W.; Du, D.; Zhu, Z.; Wang, Y.; Gao, J. Energy-saving thermally coupled ternary extractive distillation process by combining with mixed entrainer for separating ternary mixture containing bioethanol. Energy 2018, 148, 296–308. [Google Scholar] [CrossRef]
- Carrasco, B.; Avila, E.; Viloria, A.; Ricaurte, M. Shrinking-Core Model Integrating to the Fluid-Dynamic Analysis of Fixed-Bed Adsorption Towers for H2S Removal from Natural Gas. Energies 2021, 14, 5576. [Google Scholar] [CrossRef]
- Liu, X.G.; Qian, J.X. Modeling, control, and optimization of ideal internal thermally coupled distillation columns. Chem. Eng. Technol. 2000, 23, 235–241. [Google Scholar] [CrossRef]
- Zhu, Y.; Liu, X.G. Dynamics and control of high purity heat integrated distillation columns. Ind. Eng. Chem. Res. 2005, 44, 8806–8814. [Google Scholar] [CrossRef]
- Chen, H.S.; Huang, K.J.; Wang, S.F. A novel simplified configuration for an ideal heat-integrated distillation column (ideal HIDiC). Sep. Purif. Technol. 2010, 73, 230–242. [Google Scholar] [CrossRef]
- Jana, A.K. Performance analysis of a heat integrated column with heat pumping. Sep. Purif. Technol. 2019, 209, 18–25. [Google Scholar] [CrossRef]
- Gu, J.; Lu, S.; Shi, F.; Wang, X.; You, X. Economic and Environmental Evaluation of Heat-Integrated Pressure-Swing Distillation by Multiobjective Optimization. Ind. Eng. Chem. Res. 2022, 61, 9004–9014. [Google Scholar] [CrossRef]
- Zhu, Z.; Li, S.; Dai, Y.; Yang, X.; Wang, Y.; Gao, J. Control of a pressure-swing distillation process for benzene/isopropanol/water separation with and without heat integration. Sep. Purif. Technol. 2020, 236, 116311. [Google Scholar] [CrossRef]
- Wang, N.; Ye, Q.; Ren, X.; Chen, L.; Zhang, H.; Fan, Y.; Cen, H.; Zhong, J. Performance Enhancement of Heat Pump with Preheater-Assisted Pressure-Swing Distillation Process. Ind. Eng. Chem. Res. 2020, 59, 4742–4755. [Google Scholar] [CrossRef]
- Zhu, S.; Yang, A.; Kong, Z.Y.; Sun, S.; Bai, M.; Sunarso, J. Control of heat-integrated indirect triple-column extractive distillation for separating ternary azeotropic mixture tetrahydrofuran-ethyl acetate-water. Sep. Purif. Technol. 2023, 308, 122951. [Google Scholar] [CrossRef]
- Ye, Q.; Wang, Y.; Pan, H.; Zhou, W.; Yuan, P. Design and Control of Extractive Dividing Wall Column for Separating Dipropyl Ether/1-Propyl Alcohol Mixture. Processes 2022, 10, 665. [Google Scholar] [CrossRef]
- Cantero, C.A.T.; Perez Zuniga, R.; Martinez Garcia, M.; Ramos Cabral, S.; Calixto-Rodriguez, M.; Valdez Martinez, J.S.; Mena Enriquez, M.G.; Perez Estrada, A.J.; Ortiz Torres, G.; Sorcia Vazquez, F.d.J.; et al. Design and Control Applied to an Extractive Distillation Column with Salt for the Production of Bioethanol. Processes 2022, 10, 1792. [Google Scholar] [CrossRef]
- Shi, T.; Chun, W.; Yang, A.; Su, Y.; Jin, S.; Ren, J.; Shen, W. Optimization and control of energy saving side-stream extractive distillation with heat integration for separating ethyl acetate-ethanol azeotrope. Chem. Eng. Sci. 2019, 215, 115373. [Google Scholar] [CrossRef]
- Zhang, P.K.; Liang, J.Y.; Yang, Y.H.; Wang, L. A new heating system for the air pre-purification of air separation units. Appl. Therm. Eng. 2023, 226, 120194. [Google Scholar] [CrossRef]
- Cong, L.; Chang, L.; Liu, X.; Deng, X.; Chen, H. Analysis of CO2 Emission and Economic Feasibility for a Heat-Integrated Air Separation System. Chem. Eng. Technol. 2018, 41, 1639–1648. [Google Scholar] [CrossRef]
- Chang, L.; Liu, X. Non-equilibrium stage based modeling of heat integrated air separation columns. Sep. Purif. Technol. 2014, 134, 73–81. [Google Scholar] [CrossRef]
- Cong, L.; Li, X. Reduced-Order Modeling and Control of Heat-Integrated Air Separation Column Based on Nonlinear Wave Theory. Processes 2023, 11, 2918. [Google Scholar] [CrossRef]
- Hsiao, T.-L.; Weng, K.-C.; Lee, H.-Y. Design and control of hybrid heat-integrated configuration for an ideal indirect reactive distillation process. J. Taiwan. Inst. Chem. E. 2017, 73, 37–49. [Google Scholar] [CrossRef]
- Jana, A.K.; Maiti, D. An ideal internally heat integrated batch distillation with a jacketed still with application to a reactive system. Energy 2013, 57, 527–534. [Google Scholar] [CrossRef]
- Gao, X.; Yang, Y.; Chen, M.; Cheng, Q.; Lu, K. Study on a novel reactive internally heat integrated distillation process for the synthesis of ethyl acetate and its column configuration. Sep. Purif. Technol. 2022, 300, 121755. [Google Scholar] [CrossRef]
- Gao, X.; Weng, X.; Yang, Y.; Zhou, Z. Partial heat-integrated reactive distillation process for producing n-propyl acetate using a heat exchanger network. Energy Sources Part A Recovery Util. Environ. Eff. 2024, 46, 2284–2298. [Google Scholar] [CrossRef]
- Kiss, A.A.; Olujic, Z. A review on process intensification in internally heat-integrated distillation columns. Chem. Eng. Process.-Process Intensif. 2014, 86, 125–144. [Google Scholar] [CrossRef]
- Nakaiwa, M.; Huang, K.; Endo, A.; Ohmori, T.; Akiya, T.; Takamatsu, T. Internally heat-integrated distillation columns: A review. Chem. Eng. Res. Des. 2003, 81, 162–177. [Google Scholar] [CrossRef]
- Cong, L.; Liu, X. Nonlinear-Model-Based Control of a Heat Integrated Distillation Column Using Model Updating Based on Distributed Wave Velocity. Ind. Eng. Chem. Res. 2019, 58, 20758–20768. [Google Scholar] [CrossRef]
- Luyben, W.L. Control of heat-integrated extractive distillation processes. Comput. Chem. Eng. 2018, 111, 267–277. [Google Scholar] [CrossRef]
- Huang, K.; Nakaiwa, M.; Akiya, T.; Aso, K.; Takamatsu, T. A numerical consideration on dynamic modeling and control of ideal heat integrated distillation columns. J. Chem. Eng. Jpn. 1996, 29, 344–351. [Google Scholar] [CrossRef]
- Eyvazi-Abhari, N.; Khalili-Garakani, A.; Kasiri, N. Reaction/distillation matrix algorithm development to cover sequences containing reactive HIDiC: Validation in optimized process of dimethyl carbonate production. Energy 2023, 276, 127493. [Google Scholar] [CrossRef]
- Gao, X.; Wang, F.; Li, H.; Li, X. Heat-integrated reactive distillation process for TAME synthesis. Sep. Purif. Technol. 2014, 132, 468–478. [Google Scholar] [CrossRef]
- Wang, Y.; Qi, P.; Yang, X.; Zhu, Z.; Gao, J.; Zhang, F. Exploration of a heat-integrated pressure-swing distillation process with a varied-diameter column for binary azeotrope separation. Chem. Eng. Commun. 2019, 206, 1689–1705. [Google Scholar] [CrossRef]
- Li, X.; Geng, X.; Cui, P.; Yang, J.; Zhu, Z.; Wang, Y.; Xu, D. Thermodynamic efficiency enhancement of pressure-swing distillation process via heat integration and heat pump technology. Appl. Therm. Eng. 2019, 154, 519–529. [Google Scholar] [CrossRef]
- Wang, X.; Xie, L.; Tian, P.; Tian, G. Design and control of extractive dividing wall column and pressure-swing distillation for separating azeotropic mixture of acetonitrile/N-propanol. Chem. Eng. Process.-Process Intensif. 2016, 110, 172–187. [Google Scholar] [CrossRef]
- Quarshie, A.W.K.; Swartz, C.L.E.; Madabhushi, P.B.; Cao, Y.N.; Wang, Y.J.; Flores-Cerrillo, J. Modeling, simulation, and optimization of multiproduct cryogenic air separation unit startup. AIChE J. 2023, 69, e17953. [Google Scholar] [CrossRef]
- Mora, C.A.; Orjuela, A. Modeling, validation and exergy evaluation of a thermally-integrated industrial cryogenic air separation plant in Colombia. Chem. Eng. Res. Des. 2022, 185, 73–86. [Google Scholar] [CrossRef]
- Yan, Z.B.; Liu, X.G. Modeling and Behavior Analyses of Internal Thermally Coupled Air Separation Columns. Chem. Eng. Technol. 2011, 34, 201–207. [Google Scholar] [CrossRef]
- Cong, L.; Liu, X.; Deng, X.; Chen, H. Development of a partially accurate model and application to a reduced-order control scheme for heat integrated distillation column. Sep. Purif. Technol. 2019, 229, 115809. [Google Scholar] [CrossRef]
- Marquardt, W.; Amrhein, M. Development of a Linear Distillation Model from Design-Data for Process-Control. Comput. Chem. Eng. 1994, 18, S349–S353. [Google Scholar] [CrossRef]






| Stage number (n) | 40 | Feed thermal condition (q) | 0.501 |
| Feed stage (f) | 21 | Feed flow rate [kmol/h] (F) | 100 |
| Feed composition in mole fraction (Zf) | 0.5 | Liquid holdup in each stage [kmol] (H) | 1.5 |
| Heat transfer rate in each stage [W/K] (UA) | 9803 | Relative volatility without mismatch () | 2.317 |
| Antoine equation constants (a) | 15.9008 | Latent heat of vaporization [J/kmol] () | 30001.1 |
| Antoine equation constants (b) | 2788.51 | Pressure of rectifying section [MPa] (Pr) | 0.3387 |
| Antoine equation constants (c) | −52.36 | Pressure of stripping section [MPa] (Ps) | 0.1013 |
|
Measurement Number | 3 | 4 | 5 | 6 | 7 | 20 | |
|---|---|---|---|---|---|---|---|
| Section | |||||||
| Rectifying column | 5.3 × 10−2 | 1.5 × 10−2 | 6.7 × 10−3 | 3.9 × 10−3 | 3.8 × 10−3 | 3.5 × 10−3 | |
| Stripping column | 6.9 × 10−2 | 2.2 × 10−2 | 8.4 × 10−3 | 3.3 × 10−3 | 3.3 × 10−3 | 3.2 × 10−3 | |
|
Measurement Number | 3 | 4 | 5 | 6 | 7 | 20 | |
|---|---|---|---|---|---|---|---|
| Section | |||||||
| Rectifying column | 4.3 × 10−2 | 1.1 × 10−2 | 5.6 × 10−3 | 2.7 × 10−3 | 2.7 × 10−3 | 2.6 × 10−3 | |
| Stripping column | 4.9 × 10−2 | 1.6 × 10−2 | 7.4 × 10−3 | 2.5 × 10−3 | 2.5 × 10−3 | 2.5 × 10−3 | |
| Ranking | 1st | 2nd | 3rd | 4th | 5th | 6th | |
|---|---|---|---|---|---|---|---|
| Column | |||||||
| Rectifying column | 1 | 20 | 19 | 16 | 8 | 13 | |
| Stripping column | 40 | 31 | 26 | 29 | 23 | 37 | |
Disclaimer/Publisher’s Note: The statements, opinions and data contained in all publications are solely those of the individual author(s) and contributor(s) and not of MDPI and/or the editor(s). MDPI and/or the editor(s) disclaim responsibility for any injury to people or property resulting from any ideas, methods, instructions or products referred to in the content. |
© 2024 by the authors. Licensee MDPI, Basel, Switzerland. This article is an open access article distributed under the terms and conditions of the Creative Commons Attribution (CC BY) license (https://creativecommons.org/licenses/by/4.0/).
Share and Cite
Cong, L.; Liu, D.; Ling, H. Global Modeling of Heat-Integrated Distillation Column Based on Limited Local Measurements. Processes 2024, 12, 484. https://doi.org/10.3390/pr12030484
Cong L, Liu D, Ling H. Global Modeling of Heat-Integrated Distillation Column Based on Limited Local Measurements. Processes. 2024; 12(3):484. https://doi.org/10.3390/pr12030484
Chicago/Turabian StyleCong, Lin, Dengpan Liu, and Huaizhi Ling. 2024. "Global Modeling of Heat-Integrated Distillation Column Based on Limited Local Measurements" Processes 12, no. 3: 484. https://doi.org/10.3390/pr12030484
APA StyleCong, L., Liu, D., & Ling, H. (2024). Global Modeling of Heat-Integrated Distillation Column Based on Limited Local Measurements. Processes, 12(3), 484. https://doi.org/10.3390/pr12030484

