Abstract
With the increasing popularity and development of electric vehicles, the demand for electric vehicle charging is also constantly increasing. To meet the diverse charging needs of electric vehicle users and improve the efficiency of charging infrastructure, this study proposes an optimization strategy for electric vehicle charging and discharging. This method considers both the user’s travel mode and the operational efficiency of the charging pile. Firstly, a probability model based on travel spatiotemporal variables and Monte Carlo algorithm were used to simulate the travel trajectory of electric vehicles, providing a data foundation for optimizing the charging and discharging schemes of electric vehicles. Then, with the dual objective of minimizing the operating costs of charging piles and user charging costs, a linear programming model was constructed to optimize the charging and discharging strategies of electric vehicles. Finally, the model was validated using an apartment building as an example. The results indicate that, under the normal travel habits of users, with the goal of minimizing company expenses, the annual cost of the company reaches its minimum at a certain number of charging piles. When the cost of electric vehicle users dominates the objective function, they will pay more attention to battery degradation, significantly reducing their willingness to participate in discharge.
1. Introduction
As the use of fossil fuels continues to rise, issues like environmental pollution and energy crises are increasingly emerging [1,2]. Against this backdrop, electric vehicles (EVs), as eco-friendly and low-carbon modes of transportation, have become significant alternatives to traditional fuel vehicles and a viable solution to alleviate the energy crisis [3,4,5,6]. EVs commonly utilize various types of batteries, including lead acid batteries, nickel hydrogen batteries, and lithium-ion batteries [7]. Additionally, the batteries in EVs can serve as distributed energy storage devices, helping to stabilize renewable energy generation, participate in electricity market auxiliary services, or manage demand-side electricity needs. Consequently, the development of the EV industry has become a global consensus for low-carbon development [8]. According to global forecasts, by 2040, the number of EVs worldwide is expected to increase from 3 million to 66 million [9]. Many EU countries use fiscal incentives to promote EVs to help cities decarbonize. At the same time, Germany has formulated some policy measures to promote EVs, for example, purchasing bonuses and tax incentives for EVs to support the replacement of traditional internal combustion engine vehicles [10,11].
However, with the widespread adoption of EVs, the inadequacy of public charging infrastructure and the uneven distribution of charging piles have become new challenges. Particularly for companies, communities, and schools, establishing a parking lot capable of powering EVs not only meets the changing needs of EV users but also leverages the energy storage potential of EV fleets during prolonged parking. With the support of bi-directional charging technology and in the context of real-time electricity pricing markets, the flexible load characteristics of EV charging and discharging can help operators in the electric grid to shave peak and fill valley demands, while also economically benefiting both operators and EV users. However, as a novel type of load, EV charging behavior is characterized by its randomness and intermittency. The large-scale integration of EVs into the grid presents significant load challenges. Disorganized charging of EVs can result in reduced charging efficiency and underutilization of charging piles, thereby compromising the safety, efficiency, and overall charging experience for EV users. Consequently, the pressing challenge lies in devising an effective scheduling approach for EV charging within the charging piles.
Many scholars have also conducted extensive research on the simulation of EV travel. These simulation methods include Monte Carlo simulation, Markov chain simulation, multi-agent reinforcement learning, etc. Liu and Lin [12] analyzed the uncertainty of market penetration of EVs by integrating nested polynomial logit and Monte Carlo simulation. Wang and Infield [13] simulated the usage patterns of EVs based on Markov chain Monte Carlo simulation, and analyzed the impact of EV charging on the power grid based on the usage patterns. This method can model the travel patterns of EVs based on uncertain travel data, while generating accurate travel patterns. Afshar et al. [14] simulated EV charging based on traffic flow analysis and Monte Carlo methods. The model can accurately calculate the charging needs of EVs in different time and space. Fu et al. [15] introduced a charging scheduling control strategy for EVs, leveraging multi-agent reinforcement learning. This method can improve the charging efficiency of EV charging piles while reducing the cost of EV charging. However, multi-agent reinforcement learning methods can simultaneously consider multiple objectives and avoid extreme biases on certain objectives. Simultaneously, it can handle intricate constraints while dynamically adjusting strategies based on diverse goals and limitations. However, in multi-agent systems, due to the constantly updating strategies of each agent, the environment in which each agent operates is unstable. This undermines the conditions for modeling the system as a Markov process, making it difficult for the method of independently training each agent to converge in complex scenarios [16]. Monte Carlo simulation can handle various complex mathematical models and uncertainty factors. This method is based on many random samplings, and through multiple simulation experiments, the probability distribution of EV travel and charging can be obtained, which can provide reliable results. The Monte Carlo method can improve computational efficiency through techniques such as parallel computing, making the simulation of EV travel and charging faster and more efficient. The advantages of the Monte Carlo method in simulating EV travel and charging mainly lie in its flexibility, reliability, and efficiency. These advantages give Monte Carlo methods broad application prospects in the field of EVs.
In the field of EV charging optimization, scholars have engaged in comprehensive research. For example, Wu et al. [17] developed a charging schedule strategy for EVs based on time-of-use electricity pricing, with the primary goal of minimizing user charging costs, constrained by the number of charging piles and the instantaneous power capacity of charging piles. Zhang et al. [18] introduced a strategy for orderly real-time charging that seeks to maximize the use of renewable energy and concurrently minimize the charging costs for EV users. Wu and Pang [19] crafted an optimal strategy for the orderly charging and discharging of EVs, aiming to minimize both operational costs and peak–valley load differences under variable electricity pricing regimes. Gharibi et al. [20], considering 24-h predicted electricity prices, battery aging, and charging costs, proposed a proactive day-ahead charging and discharging strategy for EVs. Zhang et al. [21] devised a two-stage EV charging and discharging optimization strategy using particle swarm optimization, focusing on minimizing vehicle expenses and maximizing charge volume while considering the cyclical costs of battery charging and discharging. These studies, primarily centered on the benefits to EV owners, often lack widespread applicability in real-world engineering contexts. Consequently, Fu et al. [22] expanded the scope to include the interests of both charging pile operators and EV users. They approached the issue as a non-cooperative game, aiming to optimize EV charging strategies that maximize charging pile benefits and minimize costs for EV users.
Based on the analysis, we observe that many scholars have conducted research related to operational strategies for EVs. With the growing popularity of EVs, many businesses have started to use EVs owned by their employees as mobile energy storage units, integrating them into the company’s own electricity usage. As shown in Figure 1, the destinations of EVs consist of working and non-working areas. According to user travel data, users within a company have similar habits when using EVs. At present, lithium-ion batteries are the mainstream batteries for EVs, mainly composed of a positive electrode, negative electrode, electrolyte, and separator. This type of battery achieves energy storage and release through the insertion and removal of lithium ions and is widely used in EVs, smartphones, laptops, and other fields. How to consider the interrelated dynamics among businesses, operators, and EV users, and how to optimize the operation of EV charging and discharging strategies to reduce the corporate cost of purchasing electricity has become a current hot topic of research. Therefore, the main contributions of this paper are as follows:
Figure 1.
Electric vehicle motion path and its battery structure.
(1) The study comprehensively considers the electrical load demands of the company and the willingness of employees to engage in the scheduling of EV charging and discharging. It sets out with dual objectives: to minimize the electricity purchasing costs for the company and to reduce the charging expenses for employees who own EVs. The paper delves into how the company’s and employees’ annual costs fluctuate under scenarios featuring various quantities of charging piles.
(2) The research considers the diverse patterns of EV usage by employees across various typical days. It focuses on harmonizing the interplay among the quantity of charging piles, the profitability of operators, and the benefits to employees. To achieve this, it establishes an optimization model for EV charging and discharging, dedicated to refining and enhancing the strategies for their charging and discharging processes.
2. Problem Description
This paper proposes an optimization method for EV charging and discharging for companies with EV users. This method is based on EV travel data, company electricity demand, and electricity market prices to guide companies in determining the scale of EV charging piles. It further optimizes the charging and discharging scheduling strategies of these charging piles to maximize company profits while minimizing the costs for EV users. The framework of the proposed method is shown in Figure 2, which is divided into several parts: (1) data preprocessing, (2) modeling of EV travel patterns, (3) optimization models, and (4) model solving and analysis.
Figure 2.
The framework of optimization methods for electric vehicle (EV) charging and discharging.
The first part involves filtering the required data, including people’s travel data, company load data, and electricity market price data. The second part establishes a travel time variable probability distribution model, a conditional probability model for travel distance, and spatial transfer probability based on population travel data. This culminates in the development of an EV travel model for both weekdays and weekends. In the third part, considering the constraints of charging and discharging of EVs, a linear programming model is established to minimize the costs for both the company and the EV users. The stakeholders of the charging pile are categorized into two groups: companies and EV users. Distinct objective functions are proposed for each group of stakeholders. For companies, the objective function is to minimize the combined cost of electricity and investment fees. For EV users, the goal is to minimize the total cost of electricity and battery degradation. Additionally, the performance constraints of charging piles and EVs, travel-habit constraints of EV owners, and electricity prices in the electricity market are also considered. The final part uses the Gurobi solver to solve the model and compares the results from the perspectives of both company and user interests under different scenarios.
3. EV Travel Simulation Based on Improved Probability Model and Monte Carlo Algorithm
The precision of the travel mode and probability distribution model for EV users plays a crucial role in influencing the simulation and prediction of EVcharging load. This paper uses the 2009 US National Household Travel Survey (NHTS) dataset as an example, and simulates the charging load of EVs based on an improved probability model and the Monte Carlo algorithm [23]. Lithium-ion batteries in EVs are a key energy component, mainly composed of positive electrode, negative electrode, separator, and electrolyte [24]. Positive electrode materials are usually transition metal oxides or polyanionic compounds with high electrode potential and structural stability. The negative electrode material is mainly carbon material, used for storing lithium ions. The diaphragm is located between the positive and negative electrodes to prevent direct contact and allow lithium ions to pass through. Electrolyte is the medium for ion transport, usually composed of organic solvents and lithium salts. During charging, lithium-ion batteries function by allowing lithium ions to migrate from the positive electrode to the negative electrode through the electrolyte, while electrons flow from the positive to the negative electrode via an external circuit, thus storing energy. Conversely, during discharging, the ions migrate from the negative to the positive electrode, and the electrons flow in the opposite direction, releasing electrical energy. During this process, lithium ions move back and forth between the positive and negative electrodes, achieving the storage and release of electrical energy. The state of charge (SOC) of an EV refers to the ratio of the current remaining charge of a lithium-ion battery to its total capacity. SOC directly affects the range of EVs and the charging needs of users. Frequent deep discharge and charging can affect the lifespan of lithium-ion batteries. Therefore, intelligent charging strategies should adjust the charging rate and charging cutoff voltage based on SOC to extend battery life. The operating status of EVs includes driving speed, acceleration, deceleration, and road conditions. High speed driving and high-power demand can lead to an increase in battery discharge current, which in turn causes the battery temperature to rise. High temperature can accelerate the chemical reactions inside the battery, which may lead to a decrease in battery performance or even thermal runaway. The thermal management system of lithium-ion batteries should be considered in the mechanism to ensure that the battery can operate within a safe temperature range under various operating conditions. Driving behavior includes modes such as acceleration, deceleration, cruising, and parking. Frequent acceleration and deceleration can cause the battery to withstand significant charging and discharging cycles, which can increase the internal friction and aging rate of the battery. The charging speed and efficiency of lithium-ion batteries directly affect the charging time and range of EVs. Meanwhile, its lifespan determines the service life and cost of EVs. The lifespan of a battery is influenced by various factors, including charging and discharging times, charging and discharging depth, charging and discharging rate, temperature, etc. These factors may all affect the capacity and performance of batteries, thereby affecting the range and service life of EVs. Because most EVs in China run on lithium-ion batteries, we conducted a unified study on the charging and discharging behavior of EVs based on lithium-ion batteries.
3.1. Probability Distribution Model of Travel Time Variables
To enhance the accuracy of the travel variable probability distribution model, algorithms such as Weibull, Stable, Normal, Lognormal, Generalized Extreme Value (GEV), Exponential, Inverse Gaussian, Gamma, Burr Type XII, Birnbaum–Saunders, Logistic, Loglogistic, t Location-Scale (tLS), Nakagami and Rician distributions were utilized. The diverse distribution shapes of these algorithms can more accurately fit the probability distribution of various travel variables.
Each distribution model mentioned above is applied to fit a specific variable, with the objective of identifying the most effective model. The model demonstrating the optimal fit is then chosen as the definitive model for implementation. To evaluate the accuracy of the model, the coefficient of determination and the adjusted coefficient of determination are utilized, as shown in Equations (1) and (2):
where represents the i sample value (out of n samples) of the dataset y to be fitted; is the mean value of the samples; is the fitted value of ; and p is the number of parameters in the probability distribution model used.
3.1.1. First Travel Start Time
In order to fit the probability distribution model of the first travel start time, we tried all of the distribution models mentioned above and obtained the fitting accuracy when using different models according to the determination coefficient and adjusted determination coefficient in Equations (1) and (2). Finally, the Inverse Gaussian model is used to fit the probability distribution of the first travel start time, as shown in Figure 3, and its probability density function is shown in Equation (3):
where is the mean parameter of the distribution, is the shape parameter of the distribution, and represents the start time of the first trip.
Figure 3.
Probability distribution of first travel start time.
3.1.2. Driving Time of EVs
Depending on the type of place in the dataset, it can be divided into W (for working area), H (for home/residential area), and O (for other area). This paper mainly considers the vehicle track passing through the working area, so the driving type is divided into working area and non-working area (H and O areas). Based on location (two types of starting areas/two types of ending areas) and day type (workday/weekend), driving time of vehicles is classified into eight categories. The probability distribution model for eight types of driving time is shown in Table 1 and Figure 4 and Figure 5.
Table 1.
Probability distribution of driving time.
Figure 4.
Probability distribution of driving time on workday.
Figure 5.
Probability distribution of driving time on weekend.
3.1.3. Parking Time of EVs
According to the parking location and type of day, the parking time of vehicles is classified into six categories. The probability distribution model for six types of parking time is shown in Table 2 and Figure 6 and Figure 7.
Table 2.
Probability distribution of dwell time.
Figure 6.
Probability distribution of parking time on workday.
Figure 7.
Probability distribution of parking time on weekend.
3.2. Probability Distribution Model for Driving Distance Conditions
Consider the driving distance d as a probability distribution that follows the condition of driving time. Driving distance and driving time are classified in the same way, and are classified into eight categories. According to the driving time, the driving distance under each type is divided into four time windows, which are 0–15 min, 15–30 min, 30–45 min, and more than 45 min. The normal distribution is used to fit the eight types of driving distances in the i time window. The probability distribution of driving distance is shown in Table 3 and Figure 8, Figure 9, Figure 10, Figure 11, Figure 12, Figure 13, Figure 14 and Figure 15. The conditional probability density function is shown in Equation (4):
where is the i time window of the driving time; is the standard deviation of the distance traveled in the i time window; is the average distance traveled in the i time window.
Table 3.
Probability distribution of driving distance.
Figure 8.
Probability distribution of driving distance of W to non-W travel type on workday.
Figure 9.
Probability distribution of driving distance of non-W to non-W travel type on workday.
Figure 10.
Probability distribution of driving distance of non-W to W travel type on workday.
Figure 11.
Probability distribution of driving distance of W to W travel type on workday.
Figure 12.
Probability distribution of driving distance of W to non-W travel type on weekend.
Figure 13.
Probability distribution of driving distance of non-W to non-W travel type on weekend.
Figure 14.
Probability distribution of driving distance of non-W to W travel type on weekend.
Figure 15.
Probability distribution of driving distance of W to W travel type on weekend.
3.3. Space Transfer Probability
The spatial transfer probability refers to the probability of a vehicle traveling from destination to the next destination within a given time. If the current destination is only related to the previous destination and is not related to an earlier destination, the spatial transition probability is shown in Equation (5):
By discretizing the vehicle travel start time of all time intervals, the spatial transition probability can be transformed into an M × N × N three-dimensional matrix. M is the number of discrete time intervals; N is the number of destination types. The spatial transition probability matrix under a given time interval is an N × N two-dimensional matrix, as shown in Equation (6):
where represents the probability of departing from the current area to the next destination within time interval . The sum of probabilities for the same column in the matrix is 1. The diagonal element may not necessarily be 0, indicating the presence of a portion of round-trip travel.
3.4. Simulation of Electric Vehicle Travel Trajectory
Step 1:
The 2009 American Household Travel Survey (AHTS) dataset is used as input, distinguishing between day types and regional types. A probabilistic model of the user’s spatio-temporal travel variables (i.e., first trip start time, trip length, stop length, and trip distance) is established.
Step 2:
Taking the above travel probability model as input, the travel habits of EV users are simulated by the Monte Carlo method. The probability model includes continuous probability distribution of spatio-temporal variables and a discrete spatial transfer probability matrix. Each variable is extracted sequentially to obtain the travel trajectory of each user for a day, and the detailed method is as follows:
- (1)
- Taking home as the starting area of the first trip, the departure time of the first trip is extracted according to the corresponding probability distribution.
- (2)
- The destinations are extracted with corresponding spatial transfer probabilities based on the obtained departure times and known starting areas.
- (3)
- After obtaining the destination of the trip, the driving duration is extracted based on the probability distribution corresponding to the starting point and destination. The end time of the trip is calculated based on the start time and duration of the trip.
- (4)
- Under the condition of the obtained driving duration, the driving distance is extracted according to the corresponding probability distribution.
- (5)
- The stopping duration is extracted based on the probability distribution corresponding to the stopping location. Based on the driving end time and the stopping duration, the departure time for the next leg of the trip is calculated to start the simulation of the next trip.
Step 3:
By using the exhaustion method to fix the number of charging piles, the maximum number of vehicles that can be served by the charging station at the same time can be obtained. According to the travel habits of each EV user, the vehicle travel trajectory through the working area is screened. Finally, according to the following rules, the charging station can accommodate the charging and discharging of vehicles passing through the working area to the maximum extent.
Firstly, among the vehicles passing through the working area, it is necessary to coordinate and arrange the charging of vehicles that can use the same charging pile. Secondly, vehicles that can be parked at the charging pile for a long time are arranged to increase the time they contribute to the company’s peak shaving and valley filling. Finally, vehicles with a higher state of charge when parked for the first time are arranged to increase the potential of vehicles to contribute to the company’s load shaving and valley filling. The charging and discharging strategies for EVs parked in the company’s parking lot are optimized to minimize the company’s expenses and minimize the expenses of EV users.
4. Optimization Model for Charging and Discharging Strategies of EVs
In this section, the impact of the number of charging piles on the company’s annual spending was first determined. Secondly, a charging and discharging strategy is established for vehicles parked at charging piles, considering the interests of the company (charging pile builders and operators) and employees (EV users). By comparing the results of different objective functions, the optimal EV charging and discharging strategy is ultimately obtained.
4.1. Objective Function
This study compared two objective functions. The first objective function is to minimize the company’s expenses, and the second objective function is to minimize the expenses of EV owners. Firstly, the charging price for EVs in the parking lot is (CNY/kWh) and the discharge subsidy is (CNY/kWh). (CNY/kWh) is the service fee for EV charging using the company’s charging pile in the parking lot, and the electricity market has a time of use electricity price of (CNY/kWh).
It is worth noting that when charging an EV, the user hands over of directly to the grid and to the company. When the EV is discharged, the company will provide all subsidies to EV users.
4.1.1. The Optimization Goal Is to Minimize Company Expenses
When a company operates and builds its own charging pile, the cost consists of three parts: (1) the company’s daily load, (2) the construction cost of charging piles, and (3) providing emission subsidies for EV users. The company’s revenue is the charging service fee paid for vehicle charging. When considering the annual cost of charging pile investment, the company will settle the initial one-time investment cost of charging piles in equal installments. The annual cost of investment in charging piles is shown in Equations (8)–(10):
where is the one-time investment amount for the charging pile in CNY. is the unit price of the charging pile (including infrastructure renovation costs, installation costs, and maintenance costs, etc.) in CNY, taken as 9000 here; is the number of charging piles in CNY; is the annual investment amount for charging piles in CNY; j is the compound interest factor, which is expected to be paid multiple times in equal amounts within n years. Here, 8% compound interest is taken and settled within 10 years; is the daily investment amount for the charging pile in CNY.
The daily expenses of the company are shown in Equation (11):
where is the company’s regular load in kWh, is the EV charging power in kWh, and is the EV discharge power in kWh.
4.1.2. The Optimization Goal Is to Minimize Employees’ Expenses
The expenses of employees using EVs are divided into two parts: (1) the charging electricity cost during car charging () and (2) the cost of charging and discharging losses for EV batteries. The employee’s income is the subsidy obtained from the discharge of EVs (). Equation (12) represents the overall expenses of employees:
where represents the battery loss cost of the i EV within 1 h at time t. c is a parameter taken based on the type of battery, where the vehicle battery is a lithium battery with a value of 0.0157; is the average charging/discharging power of the i vehicle during time t, with charging at and discharging at . This is also equivalent to the total charging/discharging amount within 1 h at time t, in kWh; is the cost of battery replacement, calculated based on a battery capacity of 1000 CNY/kWh, where 40,000 CNY is taken; is the maximum capacity of the battery; here it is 40 kWh.
4.2. Energy Balance Constraint
The energy balance constraint requires that the output of the company’s electricity within time t must be equal to the input. The power balance is shown in Equation (14). On the left side is the daily load of the company at time t, and on the right side is the sum of the electricity provided by the power grid at time t and the electricity discharged by all EVs at time t. represents the total number of EVs:
4.3. Electric Vehicle Travel Constraints
The constraint relationship mainly includes the constraints of EV battery charging and discharging parameters and the constraints of EV travel behavior. The constraint on the charging and discharging power of EV batteries is shown in Equation (15):
where is the maximum discharge power of the battery. is the maximum value of battery charging power. The specified discharge power is negative and the charging power is positive.
If each vehicle user travels up to three times per day, and the starting and ending points of the entire journey are home (H), then within a day, vehicle users can park at the work area (W) up to two times. If the initial state of charge (SOC) of the vehicle’s battery (starting from home) is 0.8, the SOC upon first arriving at the W area is calculated based on the driving distance and the vehicle’s power consumption rate. Considering that overcharging or over-discharging can lead to battery degradation, the lower limit for charging and discharging the SOC during parking is set to 0.2, and the upper limit is 0.8. Only when the vehicle leaves the company parking lot for the last time is the battery charged to a SOC greater than 0.85. Based on observations of vehicle trips passing through the work area, it is found that when vehicles park twice in the work area, the W-W trips are often short trips concentrated around the noon period. This may be due to vehicle owners going out for lunch. Therefore, when the vehicle trip includes a W-W segment, the SOC when departing from the work area should meet the power consumption requirements for the W-W trip. When returning to the W area, the vehicle’s battery SOC should not be less than 0.15. The SOC, except for the first arrival at the W area, is calculated by Equation (16). Equations (17) and (18) show that vehicle i only stops in the W area once:
where indicates that the vehicle only stops in the W area once a day, that is, any hour except the last hour during the time of parking in the company’s parking lot. represents the last hour when the vehicle is parked in the company parking lot. It should be noted that SOC is a state variable. When talking about t, SOC refers to the value of SOC at the last moment of the corresponding small time at t. The SOC at 2 refers to the SOC at 02:00.
Equations (19)–(22) show the constraint of SOC when vehicle i stops in the W area twice:
where indicates that the vehicle is parked in the W area twice a day, with the first time parked in the company parking lot, excluding any hour in the last hour. represents the SOC converted based on battery capacity to support the electricity required for vehicle W-W travel; represents the last hour when the vehicle first stops at the company parking lot; indicates that the vehicle is parked in the W area twice a day, with the second time parked in the company parking lot, excluding any hour in the last hour; represents the last hour of the vehicle’s second stop at the company parking lot.
5. Case Study
Firstly, this section introduces the input data of the model. Secondly, the impact of the number of charging piles on the company’s annual spending is explored. Finally, the scheduling of charging and discharging for vehicles parked in the parking lot is optimized. We compare and analyze the profit differences between companies and EV users under different objective functions.
5.1. Input Data
Based on the available time-of-use electricity pricing data and the residential electricity load data (substituting for the company’s power load data in this paper), the k-means clustering method is applied to obtain eight typical weekdays and four typical weekend days. The time span covers a whole year’s data, resulting in different typical days, which are used for calculating annual costs. The number of vehicles passing through the W area on the selected typical days is shown in Table 4. The parameters of EVs are shown in Table 5. Table 6 shows the electricity market price information used in this paper.
Table 4.
Number of typical daily vehicles.
Table 5.
Electric vehicle parameters.
Table 6.
Electricity market prices.
5.2. Results and Discussion
5.2.1. The Objective Function Only Considers the Economic Benefits of the Company
It is known that the expenses of the company consist of regular load electricity costs, discharge subsidies for EV users, charging service fees collected from EV users, and investment costs for charging piles. The participation of EV users can be categorized into full participation, 75% participation, and 50% participation. By minimizing the company’s spending objective function, we can establish a relationship between the annual spending of the company and the number of charging piles as depicted in Figure 16.
Figure 16.
Annual spending of the company and EV users considering only the company’s benefit.
As can be seen from Figure 16a, when the quantity of charging piles reaches 34, the company’s annual spending is the smallest. When the quantity of charging piles is less than 34, the more charging piles, the less the annual spending of the company. This is because, at this stage, the company’s revenue comes from collecting service fees paid by EV users, as well as using the low-cost electricity emitted by EVs during peak tariff periods. When the quantity of charging piles exceeds 34, the company’s annual fee increases with the quantity of charging piles. This is because the cost of investing in charging piles exceeds the charging service fees charged. As the quantity of charging piles increases, the total annual cost for EV users begins to grow rapidly and then levels off. This is because when the number of charging piles reaches a certain level, the number of vehicles that can be served increasingly approaches the total number of vehicles parked in the company’s parking lot. When the quantity of charging piles is greater than or equal to 44, the total annual cost of EV users remains unchanged and no longer increases with the increase in the quantity of charging piles. This is because the maximum number of vehicles in a typical day is 44, indicating that the number of charging piles is already sufficient to meet the charging/discharging needs of all vehicles.
5.2.2. The Objective Function Only Considers the Economic Benefits of the EV Users
The cost to EV users includes charging service fees, EV discharge subsidies issued, and the costs of battery degradation caused by charging and discharging. When the objective function considers only the minimization of EV users’ costs, the annual spending of the company increases with the number of charging piles, as shown in Figure 17. This is because, under this objective, EV users are no longer keen to earn discharging subsidies and only participate in the company’s scheduling plans. However, even with an increase in the number of dispatchable vehicles, the company can only earn limited charging service fees. The trend in annual total expenses for EV users is the same as the above example, but the annual spending for EV users has decreased compared to the above example. This is also the result of considering the cost of EV users in the objective function.
Figure 17.
Annual spending of the company and EV users considering only the EV users’ benefit.
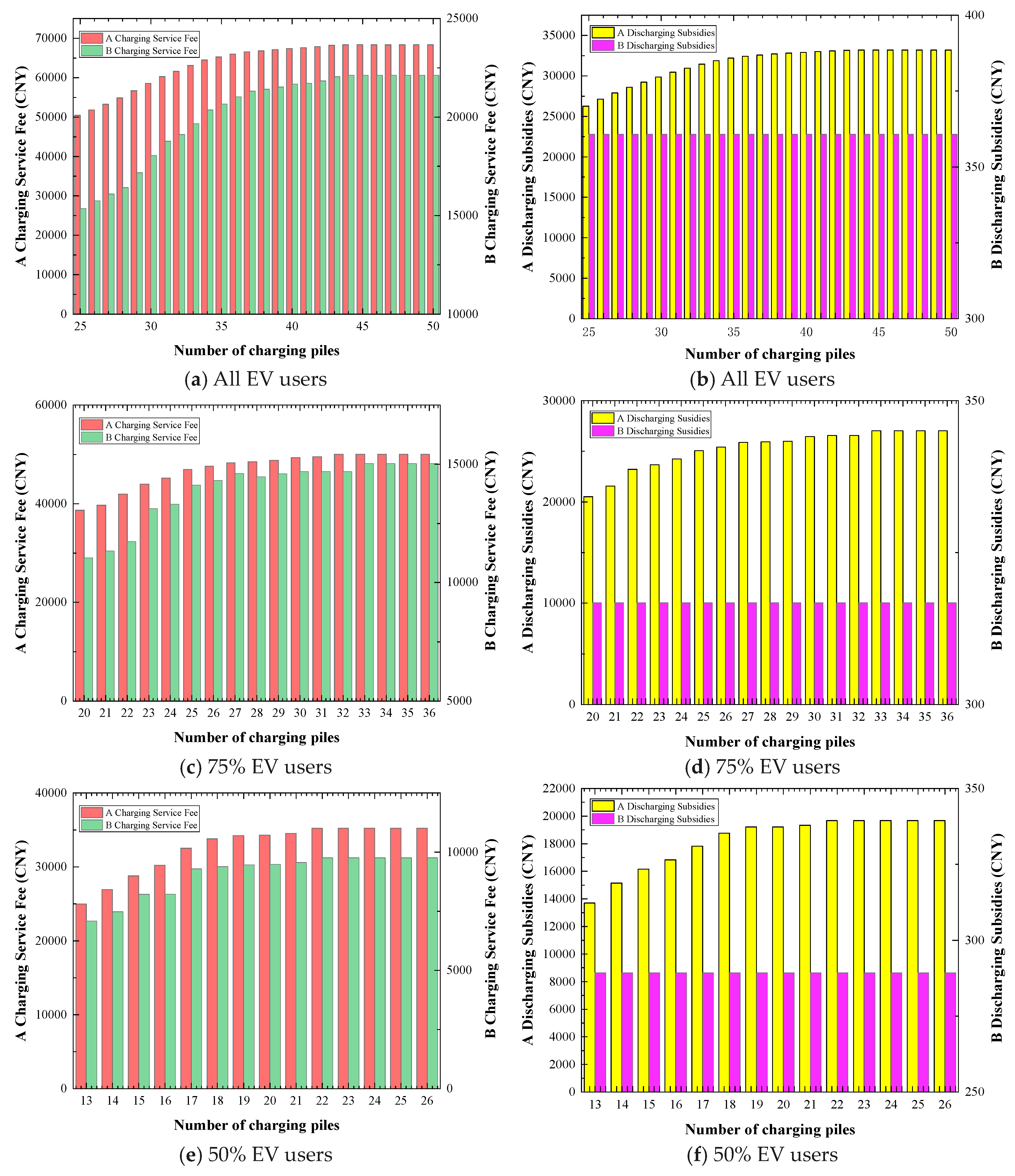
The charging service fees and the discharging subsidies for EVs under the two objective functions are shown in Figure 18. Here, Group A represents the results considering only the company’s costs, while Group B represents the results considering only EV users’ costs. From the figures, it is evident that when only user interests are considered, Evs do not frequently participate in the company’s charging and discharging scheduling. It can also be observed from the EV discharging subsidies in Group B, which show no significant fluctuation with the increase in the number of charging piles. Therefore, it can be inferred that when only considering the interests of EV users, without altering the electricity market prices and the vehicle charging and discharging prices, the willingness of EV users to participate in electricity scheduling remains unchanged.
Figure 18.
The charging service fees and discharging subsidies under two objective functions.
5.2.3. The Objective Function Considers Both the Interests of the Company and EV Users
The objective function is set to the sum of the company’s expenses and the EV users’ expenses under different weights, as shown in Equation (23):
where represents the weight of company expenses, and represents the weight of EV user expenses, .
Figure 19 and Figure 20 show the variation in costs for the company and EV users with the number of charging piles under objective functions with different weights. Through analysis of the figures, when the EV users’ costs are dominant in the objective function, both the annual costs for the company and the annual costs for EV users exhibit the same trend and almost equal values. This is because in the scenario where EV users’ costs are predominant, the charging and discharging scheduling strategies are essentially consistent, that is, minimizing battery degradation, only undertaking necessary charging, and participating in limited discharging plans. Also, since the electricity market prices remain constant, there are no additional incentives to motivate EV users to change this behavior.
Figure 19.
Annual spending of the company with different weights in the objective function.
Figure 20.
Annual spending of the EV users under different weights in the objective function.
In the case of not optimizing vehicle charging and discharging, that is, when the vehicle arrives at the station, it will start charging, and after charging to SOC to 0.8, the power will be transferred without affecting the subsequent travel, as shown in Figure 19 and Figure 20 below. With the participation of all EV users, when the objective function only considers the cost of the company, it can be concluded that the company annual spending of the optimized scheme is 0.725% less than that of the non-optimized scheme. If the objective function only considers EV cost, it can be concluded that the EV annual cost of the optimized scheme is 36.443% less than that of the non-optimized scheme.
In the case of 75%EV user participation, when the objective function only considers the company’s cost, it can be concluded that the company annual cost of the optimized scheme is 0.544% less than that of the non-optimized scheme. If the objective function only considers EV cost, it can be concluded that the EV annual cost of the optimized scheme is 60.793% less than that of the non-optimized scheme.
In the case of 50%EV user participation, when the objective function only considers the company’s cost, it can be concluded that the company annual cost of the optimized scheme is 0.419% less than that of the non-optimized scheme. If the objective function only considers EV cost, it can be concluded that the EV annual cost of the optimized scheme is 38.003% less than that of the non-optimized scheme.
The trends in EV battery loss, EV users’ charging service fees, and EV users’ discharging subsidies also clearly show that when EV users’ costs dominate the objective function, users’ enthusiasm for discharging significantly decreases, as shown in Figure 21, Figure 22 and Figure 23.
Figure 21.
EV battery loss under different weights in the objective function.
Figure 22.
EV users’ charging service fee under different weights in the objective function.
Figure 23.
EV users’ discharging subsidies under different weights in the objective function.
Investment return rate is a way to measure the economic return that a company receives from investment activities. The return on investment for the company in charging piles is shown in Equation (24). The company’s profit is the difference between the cost without installing charging piles and the cost with installing charging piles, where the cost without installing charging piles consists only of the company’s regular load electricity charges. The change in the company’s return on investment with the variation in the number of charging piles is shown in Figure 24. As the number of charging piles increases, the company’s return on investment decreases. This indicates the need to find a balance between the company’s return on investment and the annual expenditure of EV users, so that both the company and EV users can achieve good returns.
Figure 24.
Changes in the return of the company’s investment.
6. Conclusions
This paper presents an optimization model for EV charging and discharging strategies that considers both company and employee (EV user) benefits to minimize their combined annual costs. The relationship between the number of charging piles and the company’s and EV users’ benefits is discussed in depth to explore the optimal charging pile investment size for the company. Considering the different travel modes of employees using EVs, the EV charging and discharging strategies are optimized. Based on the research results, the following conclusions can be drawn:
- (1)
- With the regular number of EV trips and travel habits, when the goal is to minimize the company’s expenses, the company’s annual spending will reach a minimum at a certain determined number of charging piles, that is, the optimal charging pile investment size for the company.
- (2)
- When the expense of EV users dominates the objective function, EV users are more concerned about battery depletion and are significantly less motivated to participate in scheduling.
- (3)
- The responsiveness of EV users to participate in charge/discharge scheduling at a constant tariff does not change with an increase in EV users. Flexible incentives are needed to motivate EV users to deeply participate in charge/discharge scheduling.
This article studies the charging and discharging strategies for EVs based on considering the user’s travel mode and the operational efficiency of charging piles, but it still lacks comprehensive consideration. In future research, the micro factors that affect the charging and discharging of EVs can be further considered. The charging and discharging laws of EVs are influenced by battery materials, including cathode materials, anode materials, and electrolytes. To optimize the performance of EVs, it is necessary to choose appropriate battery materials to achieve a balance between energy density, charge and discharge rate, cycle life, and safety. At the same time, it is also necessary to optimize the battery management system to better control the charging and discharging process of the battery, and improve the efficiency and lifespan of the battery.
Author Contributions
Conceptualization, J.L. and X.Z.; methodology, J.L.; software, J.Z.; validation, S.H.; formal analysis, X.Z.; investigation, Y.L.; resources, S.H.; data curation, J.L.; writing—original draft preparation, J.L. and S.L.; writing—review and editing, S.L.; visualization, X.Z.; supervision, Y.L.; project administration, X.Z.; funding acquisition, S.H. All authors have read and agreed to the published version of the manuscript.
Funding
This work is supported by the project of the National Key Research Development Program of China under Grant 2022YFE0117600.
Data Availability Statement
The data presented in this study are not available due to privacy.
Conflicts of Interest
Author Jing Zhang was employed by the company State Grid Hubei Electric Power Co., Ltd. The remaining authors declare that the research was conducted in the absence of any commercial or financial relationships that could be construed as a potential conflict of interest.
References
- Saint Akadiri, S.; Alkawfi, M.M.; Uğural, S.; Akadiri, A.C. Towards achieving environmental sustainability target in Italy. The role of energy, real income and globalization. Sci. Total Environ. 2019, 671, 1293–1301. [Google Scholar] [CrossRef]
- Shafique, M.; Luo, X. Environmental life cycle assessment of battery electric vehicles from the current and future energy mix perspective. J. Environ. Manag. 2022, 303, 114050. [Google Scholar] [CrossRef]
- Shafique, M.; Azam, A.; Rafiq, M.; Luo, X. Life cycle assessment of electric vehicles and internal combustion engine vehicles: A cas e study of Hong Kong. Res. Transp. Econ. 2022, 91, 101112. [Google Scholar] [CrossRef]
- Jeong, S.; Jang, Y.J.; Kum, D.; Lee, M.S. Charging automation for electric vehicles: Is a smaller battery good for the wireless chargin g electric vehicles? IEEE Trans. Autom. Sci. Eng. 2019, 16, 486–497. [Google Scholar] [CrossRef]
- Said, D.; Mouftah, H.T. A novel electric vehicles charging/discharging management protocol based on queuing model. IEEE Trans. Intell. Veh. 2020, 5, 100–111. [Google Scholar] [CrossRef]
- Wei, Z.; Li, Y.; Cai, L. Electric vehicle charging scheme for a park-and-charge system considering battery degradation costs. IEEE Trans. Intell. Veh. 2018, 3, 361–373. [Google Scholar] [CrossRef]
- Mohammadi, F.; Saif, M. A comprehensive overview of electric vehicle batteries market. E-Prime-Adv. Electr. Eng. Electron. Energy 2023, 3, 100127. [Google Scholar] [CrossRef]
- Zhao, X.; Yu, Q.; Ma, J.; Wu, Y.; Yu, M.; Ye, Y. Development of a representative EV urban driving cycle based on a k-means and SVM hybrid clustering algorithm. J. Adv. Transp. 2018, 2018, 1890753. [Google Scholar] [CrossRef]
- De Lima, T.D.; Franco, J.F.; Lezama, F.; Soares, J. A specialized long-term distribution system expansion planning method with the integration of distributed energy resources. IEEE Access 2022, 10, 19133–19148. [Google Scholar] [CrossRef]
- Gil Ribeiro, C.; Silveira, S. The impact of financial incentives on the total cost of ownership of electric light commercial veh icles in EU countries. Transp. Res. Part A Policy Pract. 2024, 179, 103936. [Google Scholar] [CrossRef]
- Cao Van, T.L.; Barthelmes, L.; Gnann, T.; Speth, D.; Kagerbauer, M. Enhancing electric vehicle market diffusion modeling: A German case study on environmental policy integration. Energy Strategy Rev. 2023, 50, 101244. [Google Scholar] [CrossRef]
- Liu, C.; Lin, Z. How uncertain is the future of electric vehicle market: Results from Monte Carlo simulations using a nested log it model. Int. J. Sustain. Transp. 2017, 11, 237–247. [Google Scholar] [CrossRef]
- Wang, Y.; Infield, D. Markov Chain Monte Carlo simulation of electric vehicle use for network integration studies. Int. J. Electr. Power Energy Syst. 2018, 99, 85–94. [Google Scholar] [CrossRef]
- Afshar, M.; Mohammadi, M.R.; Abedini, M. A novel spatial–temporal model for charging plug hybrid electrical vehicles based on traffic-flow analysis and Monte Carlo method. ISA Trans. 2021, 114, 263–276. [Google Scholar] [CrossRef] [PubMed]
- Fu, L.; Wang, T.; Song, M.; Zhou, Y.; Gao, S. Electric vehicle charging scheduling control strategy for the large -scale scenario with non-cooperative game-based multi-agent reinforcement learning. Int. J. Electr. Power Energy Syst. 2023, 153, 109348. [Google Scholar] [CrossRef]
- Du, X.; Chen, H.; Xing, Y.; Yu, P.S.; He, L. A Contrastive-Enhanced Ensemble Framework for Efficient Multi-Agent Reinforcement Learning. Expert Syst. Appl. 2024, 245, 123158. [Google Scholar] [CrossRef]
- Wu, J.; Su, H.; Meng, J.; Lin, M. Electric vehicle charging scheduling considering infrastructure constraints. Energy 2023, 278, 127806. [Google Scholar] [CrossRef]
- Zhang, G.; Dai, M.; Zhao, S.; Zhu, X. Orderly automatic real-time charging scheduling scenario strategy for electric vehicles considering renewable energy consumption. Energy Rep. 2023, 9, 72–84. [Google Scholar] [CrossRef]
- Wu, S.; Pang, A. Optimal scheduling strategy for orderly charging and discharging of electric vehicles based on spatio—Temporal characteristics. J. Clean. Prod. 2023, 392, 136318. [Google Scholar] [CrossRef]
- Gharibi, M.A.; Nafisi, H.; Askarian-abyaneh, H.; Hajizadeh, A. Deep learning framework for day-ahead optimal charging scheduling of electric vehicles in parking lot. Appl. Energy 2023, 349, 121614. [Google Scholar] [CrossRef]
- Zhang, L.; Sun, C.; Cai, G.; Koh, L.H. Charging and discharging optimization strategy for electric vehicles considerin g elasticity demand response. eTransportation 2023, 18, 100262. [Google Scholar] [CrossRef]
- Pan, K.; Liang, C.-D.; Lu, M. Optimal scheduling of electric vehicle ordered charging and discharging based on improved gravitational search and particle swarm optimization algorithm. Int. J. Electr. Power Energy Syst. 2024, 157, 109766. [Google Scholar] [CrossRef]
- Zhang, J.; Yan, J.; Liu, Y.; Zhang, H.; Lv, G. Daily electric vehicle charging load profiles considering demographics of vehicle users. Appl. Energy 2020, 274, 115063. [Google Scholar] [CrossRef]
- Kainat, S.; Anwer, J.; Hamid, A.; Gull, N.; Khan, S.M. Electrolytes in Lithium-Ion Batteries: Advancements in the Era of Twenties (2020’s). Mater. Chem. Phys. 2024, 313, 128796. [Google Scholar] [CrossRef]
Disclaimer/Publisher’s Note: The statements, opinions and data contained in all publications are solely those of the individual author(s) and contributor(s) and not of MDPI and/or the editor(s). MDPI and/or the editor(s) disclaim responsibility for any injury to people or property resulting from any ideas, methods, instructions or products referred to in the content. |
© 2024 by the authors. Licensee MDPI, Basel, Switzerland. This article is an open access article distributed under the terms and conditions of the Creative Commons Attribution (CC BY) license (https://creativecommons.org/licenses/by/4.0/).























