APSO-SL: An Adaptive Particle Swarm Optimization with State-Based Learning Strategy
Abstract
1. Introduction
- (1)
- Population distribution evaluation mechanism (PDEM) is put forward. In PDEM, instead of using iterations to just population state, APSO-SL only uses the population center position and best position for calculation. Thus, the whole population diversity can be improved without significantly increasing the calculation complexity. Our method can evaluate the population state accurately without increasing computational complexity.
- (2)
- Adaptive learning strategy (ALS) is put forward in this paper. In ALS, different learning strategies are used according to the population state, to ensure the whole population diversity. In this way, the whole population can achieve a balance between exploration and exploitation.
- (3)
- An efficient PSO variant, APSO-SL, is proposed, which combines PDEM and ALS, and outperforms 6 competitive optimization approaches. Therefore, APSO-SL is an efficient optimization algorithm.
2. Particle Swarm Optimization (PSO)
3. APSO-SL
| Algorithm 1. APSO-SL |
| 01. Objective function: f(x) |
| 02. Input: , ,,, pbest, gbest, D, d, t, Tmax, r1, r2, U, L, w, c1, c2; |
| 03. Output: Optimal solution; |
| 04. Initialization: = + rand×(), = + rand×(); |
| 05. while (t <= Tmax) |
| 06. for i = 1:N do |
| 07. Calculate the center position of the population based on Equation (4); |
| 08. Judging the Euclidean distance in space using Equation (5); |
| 09. Determine the evolutionary state of the population based on Equation (6); |
| 10. Case 1: |
| 11. Update particles in the population using Equations (1) and (2); |
| 12. Case 2: |
| 13. Update particles in the population using Equations (7) and (2); |
| 14. Case 3: |
| 15. Keep the population updating method unchanged. |
| 16. t = t + 1; |
| 17. end for |
| 18. end while |
3.1. Population Distribution Evaluation Mechanism (PDEM)
3.2. Adaptive Learning Strategy (ALS)
4. Experiments
4.1. Experimental Fundamentals
4.2. Experimental Analysis on CEC2013
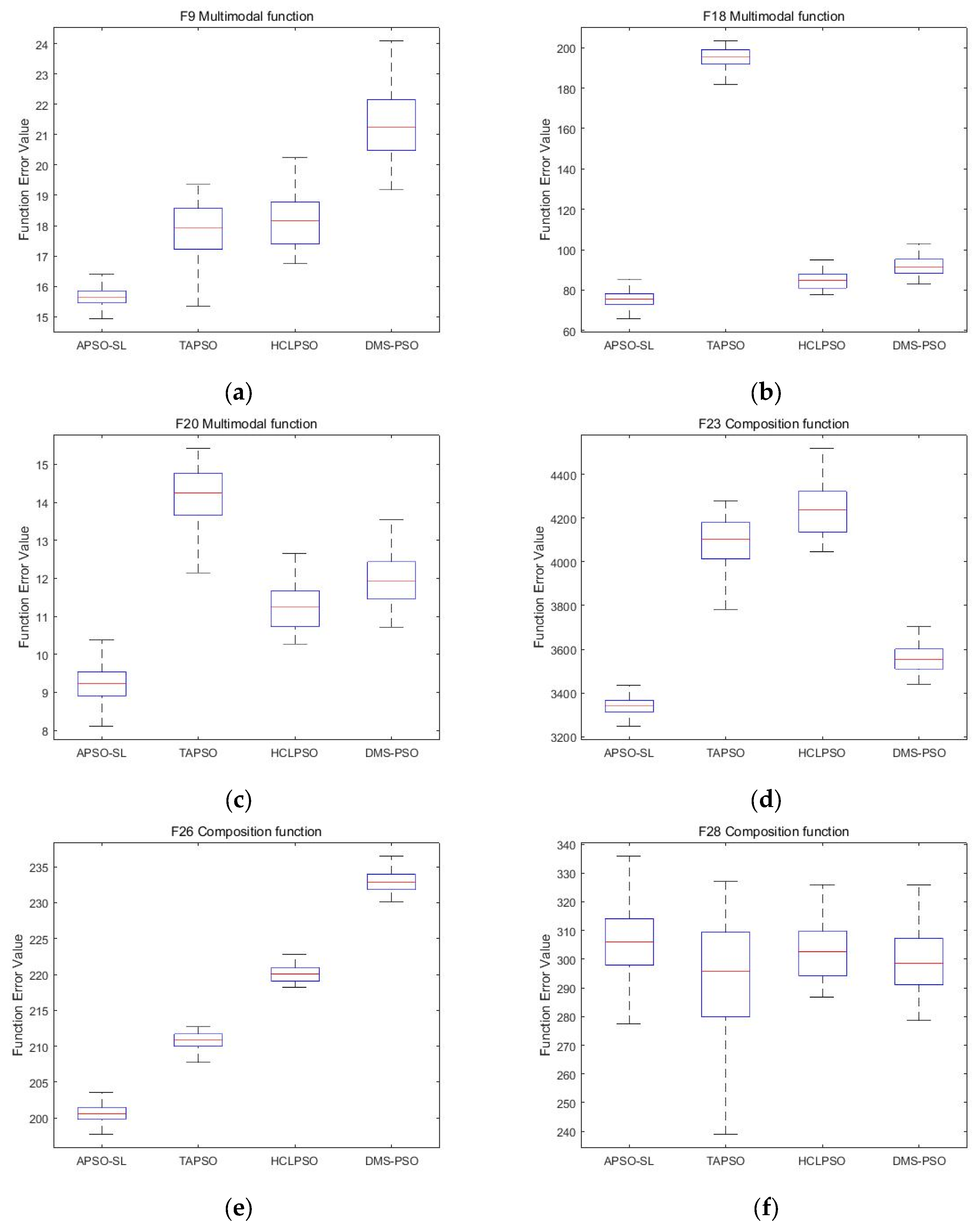
4.2.1. Accuracy Analysis
4.2.2. Convergence Analysis
4.2.3. Statistical Analysis
4.3. Results on CEC2017
4.4. APSO-SL for Engineering Application Problem
5. Conclusions
Supplementary Materials
Author Contributions
Funding
Data Availability Statement
Conflicts of Interest
References
- Yuan, Q.; Sun, R.; Du, X. Path Planning of Mobile Robots Based on an Improved Particle Swarm Optimization Algorithm. Processes 2022, 11, 26. [Google Scholar] [CrossRef]
- Yang, X.; Li, H. Multi-sample learning particle swarm optimization with adaptive crossover operation. Math. Comput. Simul. 2023, 208, 246–282. [Google Scholar] [CrossRef]
- Ali, Y.A.; Awwad, E.M.; Al-Razgan, M.; Maarouf, A. Hyperparameter Search for Machine Learning Algorithms for Optimizing the Computational Complexity. Processes 2023, 11, 349. [Google Scholar] [CrossRef]
- Azrag, M.A.K.; Zain, J.M.; Kadir, T.A.A.; Yusoff, M.; Jaber, A.S.; Abdlrhman, H.S.M.; Ahmed, Y.H.Z.; Husain, M.S.B. Estimation of Small-Scale Kinetic Parameters of Escherichia coli (E. coli) Model by Enhanced Segment Particle Swarm Optimization Algorithm ESe-PSO. Processes 2023, 11, 126. [Google Scholar] [CrossRef]
- Chen, H.; Cheng, R.; Pedrycz, W.; Jin, Y. Solving Many-Objective Optimization Problems via Multistage Evolutionary Search. IEEE Trans. Syst. Man Cybern. Syst. 2019, 51, 3552–3564. [Google Scholar] [CrossRef]
- Castillo, O.; Melin, P.; Ontiveros, E.; Peraza, C.; Ochoa, P.; Valdez, F.; Soria, J. A high-speed interval type 2 fuzzy system approach for dynamic parameter adaptation in metaheuristics. Eng. Appl. Artif. Intell. 2021, 85, 666–680. [Google Scholar] [CrossRef]
- Li, X.; Mao, K.; Lin, F.; Zhang, X. Particle swarm optimization with state-based adaptive velocity limit strategy. Neurocomputing 2021, 447, 64–79. [Google Scholar] [CrossRef]
- Yang, X.; Li, H.; Yu, X. Adaptive heterogeneous comprehensive learning particle swarm optimization with history information and dimensional mutation. Multimed. Tools Appl. 2022, 82, 9785–9817. [Google Scholar] [CrossRef]
- Xia, X.; Gui, L.; Zhan, Z.-H. A multi-swarm particle swarm optimization algorithm based on dynamical topology and purposeful detecting. Appl. Soft Comput. 2018, 67, 126–140. [Google Scholar] [CrossRef]
- Sun, G.; Yang, B.; Yang, Z.; Xu, G. An adaptive differential evolution with combined strategy for global numerical optimization. Soft Comput. 2019, 24, 6277–6296. [Google Scholar] [CrossRef]
- Jiang, L.; Wang, X. Research on the Participation of Household Battery Energy Storage in the Electricity Peak Regulation Ancillary Service Market. Processes 2023, 11, 794. [Google Scholar] [CrossRef]
- Li, L.; Li, Y.; Lin, Q.; Ming, Z.; Coello, C.A.C. A convergence and diversity guided leader selection strategy for many-objective particle swarm optimization. Eng. Appl. Artif. Intell. 2022, 115, 105249. [Google Scholar] [CrossRef]
- Kennedy, J.; Eberhart, R. Particle Swarm Optimization. In Proceedings of the ICNN’95—International Conference on Neural Networks, Perth, WA, Australia, 27 November–1 December 1995. [Google Scholar]
- Hancer, E.; Xue, B.; Zhang, M.; Karaboga, D.; Akay, B. Pareto front feature selection based on artificial bee colony optimization. Inf. Sci. 2018, 422, 462–479. [Google Scholar] [CrossRef]
- Karaboga, D.; Basturk, B. A powerful and efficient algorithm for numerical function optimization: Artificial bee colony (ABC) algorithm. J. Glob. Optim. 2007, 39, 459–471. [Google Scholar] [CrossRef]
- Rosso, M.M.; Aloisio, A.; Cucuzza, R.; Asso, R.; Marano, G.C. Structural Optimization with the Multistrategy PSO-ES Unfeasible Local Search Operator. In Proceedings of the International Conference on Data Science and Applications: ICDSA 2022, Kolkata, India, 26–27 March 2022; pp. 215–229. [Google Scholar]
- Marano, G.C.; Cucuzza, R. Structural Optimization Through Cutting Stock Problem. In Italian Workshop on Shell and Spatial Structures; Springer: Cham, Switzerland, 2023; pp. 210–220. [Google Scholar]
- Xia, X.; Xing, Y.; Wei, B.; Zhang, Y.; Li, X.; Deng, X.; Gui, L. A fitness-based multi-role particle swarm optimization. Swarm Evol. Comput. 2019, 44, 349–364. [Google Scholar] [CrossRef]
- Chen, K.; Zhou, F.; Yin, L.; Wang, S.; Wang, Y.; Wan, F. A hybrid particle swarm optimizer with sine cosine acceleration coefficients. Inf. Sci. 2018, 422, 218–241. [Google Scholar] [CrossRef]
- Lin, J.C.-W.; Yang, L.; Fournier-Viger, P.; Hong, T.-P.; Voznak, M. A binary PSO approach to mine high-utility itemsets. Soft Comput. 2016, 21, 5103–5121. [Google Scholar] [CrossRef]
- Tian, D.; Zhao, X.; Shi, Z. Chaotic particle swarm optimization with sigmoid-based acceleration coefficients for numerical function optimization. Swarm Evol. Comput. 2019, 51, 100573. [Google Scholar] [CrossRef]
- Chen, K.; Zhou, F.; Wang, Y.; Yin, L. An ameliorated particle swarm optimizer for solving numerical optimization problems. Appl. Soft Comput. 2018, 73, 482–496. [Google Scholar] [CrossRef]
- Liang, H.; Kang, F. Adaptive mutation particle swarm algorithm with dynamic nonlinear changed inertia weight. Optik 2016, 127, 8036–8042. [Google Scholar] [CrossRef]
- Rosso, M.M.; Cucuzza, R.; Aloisio, A.; Marano, G.C. Enhanced Multi-Strategy Particle Swarm Optimization for Constrained Problems with an Evolutionary-Strategies-Based Unfeasible Local Search Operator. Appl. Sci. 2022, 12, 2285. [Google Scholar] [CrossRef]
- Rosso, M.M.; Cucuzza, R.; Di Trapani, F.; Marano, G.C. Nonpenalty Machine Learning Constraint Handling Using PSO-SVM for Structural Optimization. Adv. Civ. Eng. 2021, 2021, 6617750. [Google Scholar] [CrossRef]
- Jiyue, E.; Liu, J.; Wan, Z. A novel adaptive algorithm of particle swarm optimization based on the human social learning intelligence. Swarm Evol. Comput. 2023, 80, 101336. [Google Scholar] [CrossRef]
- Lynn, N.; Suganthan, P.N. Ensemble particle swarm optimizer. Appl. Soft Comput. 2017, 55, 533–548. [Google Scholar] [CrossRef]
- Liang, J.J.; Qin, A.K.; Suganthan, P.N.; Baskar, S. Comprehensive learning particle swarm optimizer for global optimization of multimodal functions. IEEE Trans. Evol. Comput. 2006, 10, 281–295. [Google Scholar] [CrossRef]
- Lynn, N.; Suganthan, P.N. Heterogeneous comprehensive learning particle swarm optimization with enhanced exploration and exploitation. Swarm Evol. Comput. 2015, 24, 11–24. [Google Scholar] [CrossRef]
- Xia, X.; Gui, L.; Yu, F.; Wu, H.; Wei, B.; Zhang, Y.-L.; Zhan, Z.-H. Triple Archives Particle Swarm Optimization. IEEE Trans. Cybern. 2020, 50, 4862–4875. [Google Scholar] [CrossRef]
- Li, W.; Jing, J.; Chen, Y.; Chen, Y. A cooperative particle swarm optimization with difference learning. Inf. Sci. 2023, 643, 119238. [Google Scholar] [CrossRef]
- Xia, X.; Gui, L.; He, G.; Wei, B.; Zhang, Y.; Yu, F.; Wu, H.; Zhan, Z.-H. An expanded particle swarm optimization based on multi-exemplar and forgetting ability. Inf. Sci. 2020, 508, 105–120. [Google Scholar] [CrossRef]
- Shankar, R.; Ganesh, N.; Čep, R.; Narayanan, R.C.; Pal, S.; Kalita, K. Hybridized Particle Swarm—Gravitational Search Algorithm for Process Optimization. Processes 2022, 10, 616. [Google Scholar] [CrossRef]
- Ghorbanpour, S.; Jin, Y.; Han, S. Differential Evolution with Adaptive Grid-Based Mutation Strategy for Multi-Objective Optimization. Processes 2022, 10, 2316. [Google Scholar] [CrossRef]
- Yang, X.; Li, H.; Huang, Y. An adaptive dynamic multi-swarm particle swarm optimization with stagnation detection and spatial exclusion for solving continuous optimization problems. Eng. Appl. Artif. Intell. 2023, 123, 106215. [Google Scholar] [CrossRef]
- Yang, X.; Li, H. Evolutionary-state-driven multi-swarm cooperation particle swarm optimization for complex optimization problem. Inf. Sci. 2023, 646, 119302. [Google Scholar] [CrossRef]
- Yang, X.; Li, H.; Yu, X. A dynamic multi-swarm cooperation particle swarm optimization with dimension mutation for complex optimization problem. Int. J. Mach. Learn. Cybern. 2022, 13, 2581–2608. [Google Scholar] [CrossRef]
- Liang, J.; Suganthan, P. Dynamic Multi-Swarm Particle Swarm Optimizer with Local Search. In Proceedings of the 2005 IEEE Congress on Evolutionary Computation, Scotland, UK, 2–5 September 2005. [Google Scholar]
- Peram, T.; Veeramachaneni, K.; Mohan, C.K. Fitness-Distance-Ratio Based Particle Swarm Optimization. In Proceedings of the 2003 IEEE Swarm Intelligence Symposium, Indianapolis, IN, USA, 24–26 April 2003. [Google Scholar]
- Lu, J.; Zhang, J.; Sheng, J. Enhanced multi-swarm cooperative particle swarm optimizer. Swarm Evol. Comput. 2021, 69, 100989. [Google Scholar] [CrossRef]
- Jing, L.; Bo-Yang, Q.; Suganthan, P.N. Problem Definitions and Evaluation Criteria for the CEC 2013 Special Session on Real-Parameter Optimization. Appl. Math. Sci. 2013, 7, 281–295. [Google Scholar]
- Awad, N.H.; Ali, M.Z.; Suganthan, P.N.; Liang, J. Problem Definitions and Evaluation Criteria for the CEC 2017 Special Session and Competition on Single Objective Real-Parameter Numerical Optimization; Technical Report; Nanyang Technological University: Singapore, 2016. [Google Scholar]




| Algorithm | Year | Parameters Settings |
|---|---|---|
| PSO [13] | 1995 | w = 0.729, c1 = c2 = 1.49445 |
| HCLPSO [29] | 2015 | w = 0.729, c = 3–1.5, c1 = 2.5–0.5, c2 = 0.5–2.5, a = 0, b = 0.25 |
| TAPSO [30] | 2020 | w = 0.7298, pc = 0.5, pm = 0.01, sg = 7 |
| CLPSO [28] | 2006 | w = 0.9–0.2, c = 1.49445, G = 5 |
| DMS-PSO [38] | 2006 | w = 0.729, c1 = c2 = 1.49445 |
| EPSO [27] | 2017 | ensemble wPSO, CLPSO, FDRPSO, HPSO-TVAC and LIPS |
| APSO-SL | 2023 | w = 0.729, c1 = c2 = 1.49445 |
| PSO | CLPSO | EPSO | HCLPSO | DMS-PSO | TAPSO | APSO-SL | |
|---|---|---|---|---|---|---|---|
| F1 | 1.20 × 102 1.88 × 102 | 2.20 × 10−13 4.21 × 10−13 | 2.24 × 10−13 4.33 × 10−13 | 2.69 × 10−13 1.20 × 10−13 | 1.72 × 10−13 1.09 × 10−13 | 3.77 × 10−15 1.62 × 10−13 | 0.00 × 100 0.00 × 100 |
| F2 | 1.32 × 107 1.28 × 107 | 1.30 × 106 7.26 × 105 | 2.38 × 105 1.35 × 105 | 8.69 × 105 3.79 × 105 | 1.31 × 106 6.20 × 105 | 1.40 × 106 2.88 × 106 | 1.25 × 105 7.85 × 104 |
| F3 | 2.44 × 108 2.11 × 108 | 4.51 × 107 4.22 × 107 | 1.16 × 108 1.39 × 108 | 2.90 × 107 2.80 × 107 | 2.38 × 107 3.92 × 107 | 1.99 × 106 1.85 × 106 | 7.95 × 106 1.21 × 106 |
| F4 | 2.41 × 102 2.22 × 102 | 5.45 × 103 2.52 × 103 | 3.49 × 102 2.44 × 102 | 1.75 × 103 1.31 × 103 | 4.40 × 103 1.54 × 103 | 1.71 × 102 1.18 × 102 | 1.10 × 102 1.02 × 102 |
| F5 | 7.11 × 10−13 2.45 × 10−12 | 3.20 × 10−13 8.68 × 10−13 | 2.50 × 10−13 5.69 × 10−13 | 3.99 × 10−13 8.44 × 10−13 | 1.31 × 10−13 2.09 × 10−13 | 4.19 × 10−13 1.21 × 10−13 | 3.79 × 10−13 1.02 × 10−13 |
| F6 | 4.49 × 101 2.69 × 101 | 2.55 × 101 2.29 × 101 | 1.51 × 101 5.63 × 100 | 1.70 × 101 2.41 × 100 | 2.11 × 101 2.10 × 101 | 2.66 × 101 2.45 × 101 | 7.88 × 10−1 2.23 × 100 |
| F7 | 6.11 × 101 2.22 × 101 | 3.77 × 101 1.66 × 101 | 3.72 × 101 1.77 × 101 | 2.21 × 101 7.66 × 100 | 1.11 × 101 5.92 × 100 | 3.84 × 100 2.81 × 100 | 1.86 × 101 4.72 × 100 |
| F8 | 2.09 × 101 5.78 × 10−2 | 2.09 × 101 5.61 × 10−2 | 2.09 × 101 6.44 × 10−2 | 2.09 × 101 2.62 × 10−2 | 2.09 × 101 4.50 × 10−2 | 2.09 × 101 2.38 × 10−2 | 2.09 × 101 0.00 × 100 |
| F9 | 2.49 × 101 4.11 × 100 | 2.20 × 101 4.55 × 100 | 2.51 × 101 3.40 × 100 | 1.81 × 101 3.62 × 100 | 2.41 × 101 3.20 × 100 | 1.77 × 101 2.32 × 101 | 1.44 × 101 4.26 × 100 |
| F10 | 3.77 × 10−1 3.44 × 10−1 | 1.82 × 10−1 8.43 × 10−2 | 2.11 × 10−1 1.20 × 10−1 | 2.45 × 10−1 1.23 × 10−1 | 2.62 × 10−1 1.45 × 10−1 | 1.20 × 10−1 4.88 × 10−2 | 6.17 × 10−2 3.77 × 10−2 |
| F11 | 3.31 × 101 1.44 × 101 | 2.53 × 101 6.34 × 100 | 3.29 × 10−2 1.82 × 10−1 | 3.95 × 10−2 1.86 × 10−1 | 3.33 × 101 1.34 × 101 | 1.16 × 101 3.66 × 100 | 1.34 × 101 5.35 × 100 |
| F12 | 8.20 × 101 2.49 × 101 | 7.32 × 101 2.22 × 101 | 7.31 × 101 2.35 × 101 | 6.33 × 101 1.87 × 101 | 3.41 × 101 9.76 × 100 | 3.92 × 101 1.90 × 101 | 3.13 × 101 1.23 × 101 |
| F13 | 1.70 × 102 3.15 × 101 | 1.31 × 102 3.11 × 101 | 1.21 × 102 3.79 × 101 | 1.29 × 102 2.99 × 101 | 5.48 × 101 1.67 × 101 | 1.22 × 102 5.11 × 101 | 7.08 × 101 2.58 × 101 |
| F14 | 1.61 × 103 3.33 × 102 | 1.19 × 103 2.38 × 102 | 1.66 × 101 2.84 × 101 | 1.75 × 101 4.25 × 101 | 2.42 × 103 4.35 × 102 | 1.31 × 103 4.66 × 102 | 1.49 × 101 9.94 × 100 |
| F15 | 3.70 × 103 6.22 × 102 | 3.81 × 103 9.71 × 102 | 3.62 × 103 4.55 × 102 | 3.58 × 103 5.71 × 102 | 3.38 × 103 2.59 × 102 | 3.23 × 103 1.78 × 103 | 2.99 × 103 5.02 × 102 |
| F16 | 1.70 × 100 3.40 × 10−1 | 1.24 × 100 4.75 × 10−1 | 1.51 × 100 2.81 × 10−1 | 1.42 × 100 2.51 × 10−1 | 1.31 × 100 1.77 × 10−1 | 1.29 × 100 2.62 × 10−1 | 1.18 × 100 1.18 × 10−1 |
| F17 | 7.24 × 101 1.66 × 101 | 6.81 × 101 1.33 × 101 | 3.51 × 101 1.78 × 100 | 3.18 × 101 1.90 × 101 | 6.31 × 101 9.96 × 100 | 6.16 × 101 4.55 × 101 | 2.55 × 101 1.33 × 100 |
| F18 | 9.29 × 101 2.15 × 101 | 7.66 × 101 1.51 × 101 | 1.34 × 102 5.59 × 101 | 8.45 × 101 1.75 × 101 | 9.11 × 101 7.49 × 100 | 1.96 × 102 8.66 × 100 | 7.35 × 101 2.71 × 100 |
| F19 | 3.95 × 100 1.67 × 100 | 3.29 × 100 7.41 × 10−1 | 1.96 × 100 3.51 × 10−1 | 1.71 × 100 2.66 × 10−1 | 3.19 × 100 7.60 × 10−1 | 2.45 × 100 5.11 × 10−1 | 2.13 × 100 3.00 × 10−1 |
| F20 | 1.37 × 101 7.55 × 10−1 | 1.40 × 101 1.22 × 100 | 1.21 × 101 1.76 × 100 | 1.12 × 101 8.85 × 10−1 | 1.19 × 101 5.77 × 10−1 | 1.51 × 101 1.30 × 100 | 8.99 × 100 4.77 × 10−1 |
| F21 | 8.24 × 102 4.62 × 102 | 2.95 × 102 9.38 × 101 | 2.31 × 102 3.72 × 101 | 2.42 × 102 4.67 × 101 | 2.91 × 102 7.77 × 101 | 2.18 × 102 8.22 × 101 | 2.09 × 102 7.22 × 101 |
| F22 | 1.52 × 103 4.90 × 102 | 8.45 × 102 2.19 × 102 | 1.21 × 102 5.61 × 101 | 1.08 × 102 2.55 × 101 | 1.90 × 103 5.42 × 102 | 9.11 × 101 2.88 × 101 | 8.98 × 101 7.44 × 100 |
| F23 | 4.62 × 103 8.51 × 102 | 4.11 × 103 6.71 × 102 | 4.24 × 103 5.59 × 102 | 4.23 × 103 5.66 × 102 | 3.56 × 103 2.58 × 102 | 4.11 × 103 2.20 × 103 | 3.32 × 103 2.51 × 102 |
| F24 | 2.79 × 102 1.11 × 101 | 2.49 × 102 1.42 × 101 | 2.56 × 102 1.22 × 101 | 2.51 × 102 9.77 × 100 | 2.19 × 102 8.22 × 100 | 2.20 × 102 1.69 × 101 | 2.28 × 102 8.72 × 100 |
| F25 | 3.23 × 102 1.20 × 101 | 2.78 × 102 1.30 × 101 | 2.88 × 102 7.51 × 100 | 2.83 × 102 1.52 × 101 | 2.71 × 102 1.17 × 101 | 2.59 × 102 7.22 × 100 | 2.44 × 102 6.11 × 100 |
| F26 | 2.50 × 102 7.41 × 101 | 2.31 × 102 4.90 × 101 | 2.34 × 102 2.80 × 101 | 2.20 × 102 2.55 × 10−2 | 2.33 × 102 4.55 × 101 | 2.11 × 102 4.91 × 101 | 2.00 × 102 2.11× 10−3 |
| F27 | 8.51 × 102 9.22 × 101 | 8.15 × 102 1.19 × 102 | 8.09 × 102 1.50 × 102 | 5.44 × 102 8.99 × 101 | 5.43 × 102 8.85 × 101 | 4.72 × 102 1.35 × 102 | 4.95 × 102 9.22 × 101 |
| F28 | 4.41 × 102 5.23 × 102 | 3.45 × 102 4.52 × 102 | 2.96 × 102 3.55 × 101 | 3.11 × 102 2.22 × 10−13 | 3.00 × 102 2.79 × 10−13 | 2.97 × 102 4.61 × 101 | 3.00 × 102 1.55 × 10−13 |
| PSO | CLPSO | EPSO | HCLPSO | DMS-PSO | TAPSO | APSO-SL | |
|---|---|---|---|---|---|---|---|
| F1 | 3.41 × 102 6.32 × 102 | 5.42 × 10−13 1.42 × 10−13 | 3.29 × 10−13 1.32 × 10−13 | 6.51 × 10−13 1.27 × 10−13 | 2.42 × 10−13 0.00 × 100 | 2.22 × 10−13 6.23 × 10−13 | 0.00 × 100 0.00 × 100 |
| F2 | 2.60 × 107 2.51 × 107 | 2.61 × 106 8.69 × 105 | 6.77 × 105 2.66 × 105 | 1.71 × 106 4.82 × 105 | 1.51 × 106 5.09 × 105 | 1.31 × 107 6.70 × 106 | 3.22 × 105 1.23 × 105 |
| F3 | 5.32 × 108 4.60 × 108 | 7.80 × 108 1.35 × 109 | 4.61 × 108 4.59 × 108 | 2.69 × 108 2.32 × 108 | 1.20 × 108 1.40 × 108 | 3.69 × 107 6.41 × 107 | 1.86 × 107 1.27 × 106 |
| F4 | 7.51 × 102 8.66 × 102 | 1.31 × 104 3.62 × 103 | 2.11 × 102 8.51 × 101 | 1.70 × 103 5.91 × 102 | 7.49 × 103 2.56 × 103 | 6.55 × 102 1.59 × 102 | 1.86 × 101 7.77 × 100 |
| F5 | 1.39 × 10−10 4.41 × 10−10 | 7.73 × 10−13 2.73 × 10−13 | 5.37 × 10−13 1.33 × 10−13 | 7.66 × 10−13 1.42 × 10−13 | 2.18 × 10−13 4.71 × 10−13 | 3.21 × 10−13 1.88 × 10−13 | 1.18 × 10−13 4.30 × 10−13 |
| F6 | 6.21 × 101 2.51 × 101 | 4.50 × 101 1.97 × 100 | 4.41 × 101 1.22 × 100 | 4.50 × 101 6.34 × 10−1 | 5.37 × 101 2.33 × 101 | 4.20 × 101 4.32 × 100 | 4.42 × 101 8.19 × 10−1 |
| F7 | 7.48 × 101 1.62 × 101 | 7.20 × 101 2.51 × 101 | 6.29 × 101 1.80 × 101 | 3.92 × 101 9.95 × 100 | 3.11 × 101 8.37 × 100 | 2.77 × 101 6.56 × 100 | 3.20 × 101 5.41 × 100 |
| F8 | 2.11 × 101 0.00 × 100 | 2.11 × 101 0.00 × 100 | 2.11 × 101 0.00 × 100 | 2.11 × 101 0.00 × 100 | 2.11 × 101 0.00 × 100 | 2.11 × 101 0.00 × 100 | 2.11 × 101 0.00 × 100 |
| F9 | 5.11 × 101 5.55 × 100 | 4.52 × 101 5.66 × 100 | 4.78 × 101 4.56 × 100 | 4.31 × 101 5.77 × 100 | 4.43 × 101 4.33 × 100 | 2.60 × 101 4.33 × 100 | 2.11 × 101 3.08 × 100 |
| F10 | 2.20 × 102 3.71 × 102 | 2.31 × 10−1 1.39 × 10−1 | 2.30 × 10−1 1.30 × 10−1 | 2.31 × 10−1 1.46 × 10−1 | 2.82 × 10−1 1.41 × 10−1 | 7.70 × 10−2 4.23 × 10−2 | 4.21 × 10−2 1.91 × 10−2 |
| F11 | 6.81 × 101 2.31 × 101 | 7.51 × 101 1.77 × 101 | 9.82 × 10−2 4.11 × 10−1 | 2.33 × 10−13 6.61 × 10−13 | 8.61 × 101 1.86 × 101 | 6.33 × 101 1.23 × 101 | 2.36 × 101 6.16 × 100 |
| F12 | 2.22 × 102 5.51 × 101 | 1.49 × 102 5.27 × 101 | 1.64 × 102 4.72 × 101 | 1.25 × 102 2.88 × 101 | 7.66 × 101 1.86 × 101 | 1.34 × 102 4.11 × 101 | 5.69 × 101 1.24 × 101 |
| F13 | 3.50 × 102 5.11 × 101 | 2.92 × 102 4.49 × 101 | 2.97 × 102 6.51 × 101 | 2.57 × 102 6.88 × 101 | 1.66 × 102 2.99 × 101 | 2.11 × 102 4.76 × 101 | 1.37 × 102 4.95 × 101 |
| F14 | 2.70 × 103 6.26 × 102 | 2.29 × 103 5.11 × 102 | 3.42 × 101 5.25 × 101 | 1.88 × 102 1.34 × 102 | 4.77 × 103 7.60 × 102 | 2.33 × 103 4.55 × 102 | 2.05 × 102 1.92 × 101 |
| F15 | 7.71 × 103 9.66 × 102 | 7.80 × 103 1.33 × 103 | 7.58 × 103 6.35 × 102 | 7.24 × 103 7.11 × 102 | 7.23 × 103 4.09 × 102 | 6.64 × 103 2.57 × 103 | 6.82 × 103 1.25 × 102 |
| F16 | 2.60 × 100 5.45 × 10−1 | 1.53 × 100 3.11 × 10−1 | 1.87 × 100 3.34 × 10−1 | 1.71 × 100 3.51 × 10−1 | 1.49 × 100 2.22 × 10−1 | 3.34 × 100 2.31 × 10−1 | 1.49 × 100 4.36 × 10−1 |
| F17 | 1.50 × 102 2.55 × 101 | 1.52 × 102 2.29 × 101 | 5.78 × 101 3.64 × 100 | 5.30 × 101 1.43 × 10−1 | 1.19 × 102 2.33 × 101 | 1.41 × 102 1.55 × 101 | 8.40 × 101 6.49 × 100 |
| F18 | 1.90 × 102 3.51 × 101 | 1.62 × 102 2.73 × 101 | 2.23 × 102 1.30 × 102 | 1.78 × 102 3.33 × 101 | 1.82 × 102 1.50 × 101 | 3.29 × 102 6.29 × 101 | 1.35 × 102 3.14 × 101 |
| F19 | 8.90 × 100 3.14 × 100 | 7.55 × 100 1.88 × 100 | 3.51 × 100 6.90 × 10−1 | 2.40 × 100 3.95 × 10−1 | 6.85 × 100 1.96 × 100 | 5.29 × 100 1.42 × 100 | 5.20 × 100 8.41 × 10−1 |
| F20 | 2.45 × 101 8.90 × 10−1 | 2.23 × 101 1.39 × 100 | 1.90 × 101 1.09 × 100 | 2.11 × 101 8.23 × 10−1 | 1.88 × 101 6.77 × 10−1 | 2.12 × 101 7.65 × 10−1 | 1.88 × 101 2.30 × 10−1 |
| F21 | 2.09 × 102 6.31 × 102 | 7.70 × 102 3.55 × 102 | 3.38 × 102 2.61 × 102 | 2.31 × 102 6.39 × 101 | 7.31 × 102 4.20 × 102 | 7.74 × 102 1.66 × 102 | 5.72 × 102 5.17 × 102 |
| F22 | 3.22 × 103 6.77 × 102 | 2.83 × 103 6.33 × 102 | 7.69 × 101 6.66 × 101 | 3.55 × 101 3.70 × 101 | 5.58 × 103 9.11 × 102 | 2.88 × 103 4.55 × 102 | 2.32 × 103 2.15 × 102 |
| F23 | 9.11 × 103 1.35 × 103 | 7.61 × 103 1.30 × 103 | 8.70 × 103 1.41 × 103 | 8.29 × 103 1.33 × 103 | 7.80 × 103 6.41 × 102 | 8.11 × 103 1.22 × 103 | 7.11 × 103 1.16 × 102 |
| F24 | 3.38 × 102 1.41 × 101 | 3.33 × 102 1.71 × 101 | 3.11 × 102 1.61 × 101 | 2.83 × 102 1.44 × 101 | 2.70 × 102 1.74 × 101 | 3.11 × 102 1.66 × 101 | 2.33 × 102 1.19 × 101 |
| F25 | 3.77 × 102 2.22 × 101 | 3.61 × 102 1.51 × 101 | 3.72 × 102 1.09 × 101 | 3.51 × 102 1.72 × 101 | 3.50 × 102 1.42 × 101 | 3.00 × 102 1.41 × 101 | 1.88 × 102 6.66 × 100 |
| F26 | 3.33 × 102 1.29 × 102 | 3.29 × 102 1.23 × 102 | 2.05 × 102 2.66 × 10−2 | 2.12 × 102 5.16 × 10−2 | 3.41 × 102 7.20 × 101 | 3.49 × 102 4.44 × 101 | 1.51 × 102 6.46 × 100 |
| F27 | 1.51 × 103 1.41 × 102 | 1.44 × 103 1.76 × 102 | 1.66 × 103 2.20 × 102 | 1.42 × 103 1.81 × 102 | 1.18 × 103 1.72 × 102 | 1.30 × 103 8.31 × 101 | 6.88 × 102 5.41 × 101 |
| F28 | 1.49 × 103 1.51 × 103 | 5.55 × 102 1.22 × 103 | 4.00 × 102 3.21 × 10−12 | 4.00 × 102 5.11 × 10−13 | 4.00 × 102 0.00 × 100 | 4.00 × 102 0.00 × 100 | 4.00 × 102 0.00 × 100 |
| Average Rank | All Method | Ranking | 30-D Method | Ranking | 50-D Method | Ranking |
|---|---|---|---|---|---|---|
| 1 | APSO-SL | 1.74 | APSO-SL | 1.55 | APSO-SL | 1.93 |
| 2 | TAPSO | 3.52 | TAPSO | 3.32 | HCLPSO | 3.54 |
| 3 | HCLPSO | 3.70 | HCLPSO | 3.86 | TAPSO | 3.71 |
| 4 | DMS-PSO | 3.96 | DMS-PSO | 3.98 | EPSO | 3.89 |
| 5 | EPSO | 4.04 | EPSO | 4.14 | DMS-PSO | 3.93 |
| 6 | CLPSO | 4.88 | CLPSO | 4.86 | CLPSO | 4.89 |
| 7 | PSO | 6.20 | PSO | 6.29 | PSO | 6.11 |
| PSO | CLPSO | EPSO | HCLPSO | DMS-PSO | TAPSO | APSO-SL | ||
|---|---|---|---|---|---|---|---|---|
| F1 | Mean | 4.86 × 107 | 3.29 × 103 | 1.20 × 102 | 8.77 × 101 | 2.82 × 103 | 1.92 × 103 | 1.34 × 10−1 |
| F3 | Mean | 4.79 × 101 | 2.09 × 102 | 5.57 × 10−11 | 7.33 × 10−4 | 1.72 × 101 | 3.33 × 10−2 | 1.13 × 100 |
| F4 | Mean | 6.77 × 101 | 7.41 × 101 | 2.10 × 101 | 7.46 × 101 | 5.39 × 101 | 1.22 × 102 | 3.26 × 101 |
| F5 | Mean | 6.69 × 101 | 5.78 × 101 | 4.41 × 101 | 3.77 × 101 | 2.92 × 101 | 7.69 × 101 | 2.07 × 101 |
| F6 | Mean | 2.71 × 10−1 | 6.69 × 10−4 | 4.33 × 10−13 | 3.77 × 10−13 | 3.34 × 10−4 | 5.24 × 100 | 2.61 × 10−13 |
| F7 | Mean | 1.20 × 102 | 9.48 × 101 | 7.39 × 101 | 8.39 × 101 | 5.88 × 101 | 1.19 × 102 | 9.11 × 101 |
| F8 | Mean | 6.71 × 101 | 5.55 × 101 | 5.01 × 101 | 4.33 × 101 | 2.77 × 101 | 8.67 × 101 | 1.94 × 101 |
| F9 | Mean | 6.21 × 101 | 2.52 × 101 | 2.31 × 101 | 1.20 × 101 | 1.38 × 100 | 5.77 × 102 | 0.00 × 100 |
| F10 | Mean | 3.52 × 103 | 2.77 × 103 | 1.58 × 103 | 2.11 × 103 | 2.74 × 103 | 2.69 × 103 | 2.46 × 103 |
| F11 | Mean | 7.41 × 101 | 4.66 × 101 | 4.75 × 101 | 5.55 × 101 | 2.66 × 101 | 1.20 × 101 | 9.11 × 101 |
| F12 | Mean | 1.41 × 106 | 3.33 × 104 | 2.50 × 104 | 3.33 × 104 | 2.97 × 104 | 2.40 × 104 | 4.20 × 103 |
| F13 | Mean | 1.47 × 104 | 1.58 × 104 | 1.34 × 103 | 4.22 × 102 | 8.20 × 103 | 6.54 × 102 | 4.20 × 102 |
| F14 | Mean | 6.32 × 102 | 1.51 × 104 | 3.70 × 103 | 5.83 × 103 | 2.66 × 103 | 2.45 × 103 | 1.94 × 103 |
| F15 | Mean | 7.76 × 102 | 5.77 × 103 | 6.20 × 102 | 2.35 × 102 | 3.90 × 103 | 6.81 × 102 | 5.11 × 102 |
| F16 | Mean | 8.75 × 102 | 7.67 × 102 | 6.34 × 102 | 4.98 × 102 | 3.00 × 102 | 3.11 × 102 | 1.20 × 102 |
| F17 | Mean | 3.24 × 102 | 1.86 × 102 | 1.48 × 102 | 1.19 × 102 | 7.48 × 101 | 4.19 × 102 | 6.02 × 101 |
| F18 | Mean | 3.19 × 104 | 1.44 × 105 | 1.32 × 105 | 8.69 × 104 | 1.19 × 105 | 1.66 × 104 | 3.16 × 103 |
| F19 | Mean | 4.88 × 103 | 9.41 × 103 | 8.30 × 102 | 1.44 × 102 | 6.11 × 103 | 1.23 × 102 | 3.77 × 103 |
| F20 | Mean | 2.66 × 102 | 2.77 × 102 | 2.04 × 102 | 1.61 × 102 | 1.58 × 102 | 5.16 × 101 | 1.01 × 102 |
| F21 | Mean | 2.71 × 102 | 2.77 × 102 | 2.50 × 102 | 2.45 × 102 | 2.76 × 102 | 2.99 × 102 | 2.40 × 102 |
| F22 | Mean | 1.22 × 102 | 2.22 × 102 | 1.99 × 102 | 1.23 × 102 | 1.22 × 102 | 1.11 × 102 | 1.00 × 102 |
| F23 | Mean | 4.38 × 102 | 4.31 × 102 | 3.90 × 102 | 3.66 × 102 | 3.67 × 102 | 3.68 × 102 | 3.46 × 102 |
| F24 | Mean | 4.1 × 102 | 4.92 × 102 | 4.55 × 102 | 4.71 × 102 | 4.52 × 102 | 4.41 × 102 | 4.20 × 102 |
| F25 | Mean | 4.23 × 102 | 3.99 × 102 | 3.99 × 102 | 3.91 × 102 | 3.99 × 102 | 4.22 × 102 | 7.33 × 102 |
| F26 | Mean | 4.17 × 103 | 2.55 × 103 | 4.22 × 102 | 3.11 × 102 | 1.41 × 103 | 2.18 × 103 | 1.93 × 103 |
| F27 | Mean | 4.51 × 102 | 4.44 × 102 | 4.54 × 102 | 4.35 × 102 | 4.44 × 102 | 4.22 × 102 | 3.89 × 102 |
| F28 | Mean | 4.22 × 102 | 3.49 × 102 | 3.08 × 102 | 3.48 × 102 | 3.50 × 102 | 3.70 × 102 | 3.00 × 102 |
| F29 | Mean | 6.70 × 102 | 6.61 × 102 | 5.55 × 102 | 5.77 × 102 | 5.64 × 102 | 3.83 × 102 | 2.87 × 102 |
| F30 | Mean | 3.88 × 103 | 5.66 × 103 | 3.67 × 103 | 3.98 × 103 | 7.98 × 103 | 3.69 × 102 | 2.12 × 103 |
| Optimal Result | Optimal Cost | |||
|---|---|---|---|---|
| x1 | x2 | x3 | ||
| PSO | 0.051677 | 0.3567355 | 11.28898 | 0.012671 |
| CLPSO | 0.051799 | 0.3615000 | 11.00000 | 0.012655 |
| TAPSO | 0.051672 | 0.3567162 | 11.28855 | 0.012677 |
| DMS-PSO | 0.053017 | 0.3895322 | 9.600166 | 0.012701 |
| HCLPSO | 0.051689 | 0.3567160 | 11.28901 | 0.012665 |
| EPSO | 0.051709 | 0.3571073 | 11.27082 | 0.012672 |
| APSO-SL | 0.050010 | 0.3499867 | 11.84687 | 0.012233 |
Disclaimer/Publisher’s Note: The statements, opinions and data contained in all publications are solely those of the individual author(s) and contributor(s) and not of MDPI and/or the editor(s). MDPI and/or the editor(s) disclaim responsibility for any injury to people or property resulting from any ideas, methods, instructions or products referred to in the content. |
© 2024 by the authors. Licensee MDPI, Basel, Switzerland. This article is an open access article distributed under the terms and conditions of the Creative Commons Attribution (CC BY) license (https://creativecommons.org/licenses/by/4.0/).
Share and Cite
Gao, M.; Yang, X. APSO-SL: An Adaptive Particle Swarm Optimization with State-Based Learning Strategy. Processes 2024, 12, 400. https://doi.org/10.3390/pr12020400
Gao M, Yang X. APSO-SL: An Adaptive Particle Swarm Optimization with State-Based Learning Strategy. Processes. 2024; 12(2):400. https://doi.org/10.3390/pr12020400
Chicago/Turabian StyleGao, Mingqiang, and Xu Yang. 2024. "APSO-SL: An Adaptive Particle Swarm Optimization with State-Based Learning Strategy" Processes 12, no. 2: 400. https://doi.org/10.3390/pr12020400
APA StyleGao, M., & Yang, X. (2024). APSO-SL: An Adaptive Particle Swarm Optimization with State-Based Learning Strategy. Processes, 12(2), 400. https://doi.org/10.3390/pr12020400
