Investigation on the Lubrication Heat Transfer Mechanism of the Multilevel Gearbox by the Lattice Boltzmann Method
Abstract
1. Introduction
2. Mathematical Model and Solution Method
2.1. Lattice Boltzmann Model
2.2. Large Eddy Turbulence Modeling
2.3. Heat–Fluid–Solid Coupling Solution Process
3. Numerical Model
3.1. Physical Object Model
3.2. Fluid Dynamics Modeling and Initial Boundary Conditions
4. Numerical Simulation Results
4.1. Fluid Distribution Analysis
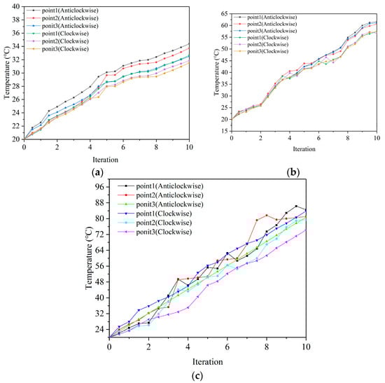
4.2. Effect of Speed and Steering on Heat Transfer in the Gearbox
4.3. Influence of Lubricant Dynamic Viscosity and Heat Transfer Coefficient on Heat Transfer in Gearboxes
5. Conclusions
- (1)
- The lubricating oil thoroughly lubricates the gear meshing area, and is uniformly distributed therein. Initially, some gears are immersed in oil, and gear rotation must overcome oil resistance, resulting in significant power loss. As the gear speed increases, oil splashing occurs gradually, and the degree of oil resistance that is overcome by gear rotation becomes smaller and smaller until a steady state is reached;
- (2)
- The temperature rise curve shows that the gears release more heat during operation, resulting in an increase in lubricant temperature. As the gear speed increases, the lubricant temperature rises significantly, and the overall temperature rises sharply under counterclockwise rotation conditions;
- (3)
- The characteristics of the lubricant itself also affect the heat transfer mechanism. As the lubricant dynamic viscosity decreases, the rate of fluid temperature rise increases slightly, but the degree of fluid kinetic energy enhancement decreases significantly. As the fluid heat transfer coefficient rises, the heat absorbed by the fluid increases, the temperature rises, and the increase in fluid kinetic energy decreases slightly. That is, under the premise of keeping the other properties unchanged, for a certain range of increase in the thermal conductivity of the lubricant, reducing the kinetic viscosity can effectively improve the lubricant’s heat dissipation effect on the gear.
Author Contributions
Funding
Data Availability Statement
Conflicts of Interest
References
- Tashakori-Asfestani, F. Effect of inter-particle forces on solids mixing in fluidized beds. Powder Technol. 2023, 415, 118098. [Google Scholar] [CrossRef]
- Li, L.; Li, Q.H.; Ni, Y.S.; Wang, C.Y.; Tan, Y.F.; Tan, D.P. Critical penetrating vibration evolution behaviors of the gas-liquid coupled vortex flow. Energy 2024, 292, 130236. [Google Scholar] [CrossRef]
- Yan, Q.; Fan, X.H.; Li, L.; Zheng, G.A. Investigations of the mass transfer and flow field disturbance regulation of the gas–liquid–solid flow of hydropower stations. J. Mar. Sci. Eng. 2024, 12, 84. [Google Scholar] [CrossRef]
- Wu, J.F.; Li, L.; Li, Z.; Wang, T.; Tan, Y.F.; Tan, D.P. Mass transfer mechanism of multiphase shear flows and interphase optimization solving method. Energy, 2024; in press. [Google Scholar] [CrossRef]
- Chen, J.; Ge, M.; Li, L.; Zheng, G. Material transport and flow pattern characteristics of gas–liquid–solid mixed flows. Processes 2023, 11, 2254. [Google Scholar] [CrossRef]
- Yin, Z.C.; Ni, Y.S.; Li, L.; Wang, T.; Wu, J.F.; Li, Z.; Tan, D.P. Numerical modelling and experiment investigation for two-phase sink vortex and its fluid-solid vibration characters. J. Zhejiang Univ. Sci. A 2024, 25, 47–62. [Google Scholar] [CrossRef]
- Wang, L.J.; Zhang, S.; Cui, T. Kinetic characteristics of a bionic screen with continuous variable amplitude from front to rear and behaviour of maize mixture on the screen. Powder Technol. 2023, 424, 118370. [Google Scholar] [CrossRef]
- Naderi, V.; Farsadizadeh, D.; Lin, C.; Gaskin, S. A 3D Study of an Air-Core Vortex Using HSPIV and Flow Visualization. Arab. J. Sci. Eng. 2019, 44, 8573–8584. [Google Scholar] [CrossRef]
- Ezure, T.; Kimura, N.; Miyakosh, H.; Kamide, H. Experimental investigation on bubble characteristics entrained by surface vortex. Nucl. Eng. Des. 2011, 241, 4575–4584. [Google Scholar] [CrossRef]
- Saleem, A.S.; Cheema, T.A.; Ahmad, S.M.; Chatta, J.A.; Akbar, B.; Park, C.W. Parametric study of single-stage gravitational water vortex turbine with cylindrical basin. Energy 2020, 200, 117464. [Google Scholar] [CrossRef]
- Miad, Y.; Marios, C.S. A novel approach for modeling the multiscale thermo-fluids of geared systems. Int. J. Heat Mass Transf. 2014, 72, 517–530. [Google Scholar]
- Simon, V.V. Improvements in the mixed elastohydrodynamic lubrication and in the efficiency of hypoid gears. Proc. Inst. Mech. Eng. Part J. Eng. Tribol. 2020, 234, 795–810. [Google Scholar] [CrossRef]
- Deshpande, S.; Joshi, H.; Madhavan, J. Two-Way Coupled CFD Approach for Predicting Gear Temperature of Oil Jet Lubricated Transmissions. SAE Int. J. Commer. Veh. 2018, 11, 163–170. [Google Scholar] [CrossRef]
- Yang, Z.K.; Mu, B.R.; Zhang, X.X. Simulation study on the flow field of high-speed train gearbox. Locomot. Electr. Transm. 2017, 02, 57–59. [Google Scholar]
- Bao, H.Y.; Fan, Y.; Zhu, R.P. Simulation and analysis of flow field and temperature field of gearbox immersion oil lubrication. J. Cent. South Univ. 2019, 50, 1840–1847. [Google Scholar]
- Hep, C.L.; Muy, T. Lattice Boltzmann method simulation of ice melting process in the gas diffusion layer of fuel cell. Int. J. Heat Mass Transf. 2020, 149, 119121. [Google Scholar]
- Javadzadegan, A.; Joshaghani, M.; Moshfegh, A.; Akbari, O.A.; Afrouzi, H.H.; Toghraie, D. Accurate meso-scale simulation of mixed convective heat transfer in a porous media for a vented square with hot elliptic obstacle: An LBM approach. Phys. A Stat. Mech. Its Appl. 2020, 537, 122439. [Google Scholar] [CrossRef]
- Arab, A.; Javadi, M.; Anbarsooz, M.; Moghiman, M. A numerical study on the aerodynamic performance and the self-starting characteristics of a Darrieus wind turbine considering its moment of inertia. Renew. Energy 2017, 107, 298–311. [Google Scholar] [CrossRef]
- Kim, D.; Kim, D. Free-surface vortex formation and aeration by a submerged rotating disk. Chem. Eng. Sci. 2021, 243, 116787. [Google Scholar] [CrossRef]
- Chen, J.C.; Li, T.Y.; You, T. Global-and-Local Attention-Based Reinforcement Learning for Cooperative Behaviour Control of Multiple UAVs. IEEE Trans. Veh. Technol. 2023; in press. [Google Scholar] [CrossRef]
- Du, X.Z.; Zhang, M.; Chang, H.; Wang, Y.; Yu, H. Micro windmill piezoelectric energy harvester based on vortex- induced vibration in tunnel. Energy 2022, 238, 121734. [Google Scholar] [CrossRef]
- Jin, Z.; He, D.; Wei, Z. Intelligent fault diagnosis of train axle box bearing based on parameter optimization VMD and improved DBN. Eng. Appl. Artif. Intell. 2022, 110, 104713. [Google Scholar] [CrossRef]
- Tan, Y.F.; Ni, Y.S.; Xu, W.X.; Xie, Y.S.; Li, L.; Tan, D.P. Key technologies and development trends of the soft abrasive flow finishing method. J. Zhejiang Univ. Sci. 2023, 24, 1064. [Google Scholar] [CrossRef]
- Wang, X.Y.; Gong, L.; Li, Y.; Yao, J. Developments and applications of the CFD-DEM method in particle-fluid numerical simulation in petroleum engineering: A review. Appl. Therm. Eng. 2022, 222, 119865. [Google Scholar] [CrossRef]
- Wu, J.; Xu, S.; Zhao, N. A hybrid method for multiphase flows with large density ratio. Chin. J. Comput. Phys. 2013, 30, 1–10. [Google Scholar]
- Li, L.; Gu, Z.H.; Xu, W.X.; Tan, Y.F.; Fan, X.H.; Tan, D.P. Mixing mass transfer mechanism and dynamic control of gas-liquid-solid multiphase flow based on VOF-DEM coupling. Energy 2023, 272, 127015. [Google Scholar] [CrossRef]
- Wang, K.; Sun, W. An updated Lagrangian LBM–DEM–FEM coupling model for dual-permeability fissured porous media with embedded discontinuities. Comput. Methods Appl. Mech. Eng. 2019, 344, 276–305. [Google Scholar] [CrossRef]
- Wang, Y.D.; Chung, T.; Armstrong, R.T. ML-LBM: Predicting and accelerating steady state flow simulation in porous media with convolutional neural networks. Transp. Porous Media 2021, 138, 49–75. [Google Scholar] [CrossRef]
- Son, J.H.; Park, I.S. Prevention of air entrainment during liquid draining using disc-type vortex suppressor. J. Mech. Sci. Technol. 2018, 32, 4675–4682. [Google Scholar] [CrossRef]
- Koda, Y.; Lien, F.S. The lattice Boltzmann method implemented on the GPU to simulate the turbulent flow over a square cylinder confined in a channel. Flow Turbul. Combust. 2015, 94, 495–512. [Google Scholar] [CrossRef]
- Yu, J.H.; Wang, S.; Kong, D.L. Coal-fueled chemical looping gasification: A CFD-DEM study. Fuel 2023, 345, 128119. [Google Scholar] [CrossRef]
- Kou, B.; Hou, Y.Q.; Fu, W.Q.; Yang, N.; Liu, J.C.; Xie, G. Simulation of multi-phase flow in autoclaves using a coupled CFD-DPM approach. Processes 2023, 11, 890. [Google Scholar] [CrossRef]
- Wu, P.F.; Munoz, D.H.; Constantinescu, G.; Qian, Z.D. Two-phase flow DES and URANS simulations of pump-intake bay vortices. J. Hydraul. Res. 2020, 58, 120–132. [Google Scholar] [CrossRef]
- Kim, H.S.; Kim, B.W.; Lee, K.; Sung, H.G. Application of Average Sea-state Method for Fast Estimation of Fatigue Damage of Offshore Structure in Waves with Various Distribution Types of Occurrence Probability. Ocean Eng. 2022, 246, 110601. [Google Scholar] [CrossRef]
- Liu, L.; Zhang, X.T.; Tian, X.L.; Li, X. Numerical investigation on dynamic performance of vertical hydraulic transport in deepsea mining. Appl. Ocean. Res. 2023, 130, 103443. [Google Scholar] [CrossRef]
- Li, L.; Xu, W.X.; Tan, Y.F.; Yang, Y.S.; Yang, J.G.; Tan, D.P. Fluid-induced vibration evolution mechanism of multiphase free sink vortex and the multi-source vibration sensing method. Mech. Syst. Signal Process 2023, 189, 110058. [Google Scholar] [CrossRef]
- Wang, J.; Ku, X.K. Numerical simulation of biomass steam gasification in an internally interconnected fluidized bed using a two-grid MP-PIC model. Chem. Eng. Sci. 2023, 272, 119608. [Google Scholar] [CrossRef]
- Zhu, X.L.; Liu, Y.B. Bubble behaviors of geldart B particle in a pseudo two-dimensional pressurized fluidized bed. Particuology 2023, 79, 121–132. [Google Scholar] [CrossRef]
- Nazir, K.; Sohn, C.H. Effect of water temperature on air-core generation and disappearance during draining. J. Mech. Sci. Technol. 2018, 32, 703–708. [Google Scholar] [CrossRef]
- Zheng, M.R.; Han, D.; Peng, T. Numerical investigation on flow induced vibration performance of flow-around structures with different angles of attack. Energy 2022, 244, 122607. [Google Scholar] [CrossRef]
- Mulligan, S.; De, C.G.; Casserly, J.; Sherlock, R. Understanding turbulent free-surface vortex flows using a Taylor-Couette flow analogy. Sci. Rep. 2018, 8, 824. [Google Scholar] [CrossRef] [PubMed]
- Afra, B.; Karimnejad, S.; Delouei, A.A.; Tarokh, A. Flow control of two tandem cylinders by a highly flexible filament: Lattice spring IB-LBM. Ocean. Eng. 2022, 250, 111025. [Google Scholar] [CrossRef]
- Conzalez, J.F.; Sanson, L.Z. Linear stability of monopolar vortices over isolated topography. J. Fluid Mech. 2023, 959, A23. [Google Scholar] [CrossRef]
- Su, R.A.; Gao, Z.Y.; Chen, Y.Y.; Zhang, C.Q. Large-eddy simulation of the influence of hairpin vortex on pressure coefficient of an operating horizontal axis wind turbine. Energy Convers. Manag. 2022, 267, 115864. [Google Scholar] [CrossRef]
- Deloue, A.A.; Karimnejad, S.; He, F.L. Direct Numerical Simulation of pulsating flow effect on the distribution of non-circular particles with increased levels of complexity: IB-LBM. Comput. Math. Appl. 2022, 121, 115–130. [Google Scholar] [CrossRef]
- Chen, J.; Han, P.; Zhang, Y.; You, T.; Zheng, P. Scheduling energy consumption-constrained workflows in heterogeneous multi-processor embedded systems. J. Syst. Archit. 2023, 142, 102938. [Google Scholar] [CrossRef]
- Liu, Z.B.; Wang, S.; Chen, Z.R. Electromechanical coupling characteristics analysis of vertical stirred mill based on ECS-MBD-DEM. Powder Technol. 2024, 433, 119245. [Google Scholar] [CrossRef]
- Ni, D.; Zhang, N.; Gao, B.; Li, Z.; Yang, M.G. Dynamic measurements on unsteady pressure pulsations and flow distributions in a nuclear reactor coolant pump. Energy 2020, 198, 117305. [Google Scholar] [CrossRef]
- Wang, Q.; Wang, L.Y.; Li, H.X.; Jiang, J.W.; Zhu, X.W.; Guo, Z.C.; He, J.C. Suppression mechanism and method of vortex during steel teeming process in ladle. Acta Metall. Sin. 2018, 7, 959–968. [Google Scholar]
- Kang, Q.Q.; He, D.P.; Zhao, N.; Feng, X.; Wang, J.T. Hydrodynamics in unbaffled liquid-solid stirred tanks with free surface studied by DEM-VOF method. Chem. Eng. J. 2020, 386, 122846. [Google Scholar] [CrossRef]
- Ge, M.; Zheng, G.A. Fluid-solid mixing transfer mechanism and flow patterns of the double-layered impeller stirring tank by the CFD-DEM method. Energies, 2024; in press. [Google Scholar]
- Yan, W.J.; Feng, Z.Q.; Yang, W.; Yuen, K.V. Bayesian inference for the dynamic properties of long-span bridges under vortex-induced vibration with Scanlan’s model and dense optical flow scheme. Mech. Syst. Signal Process 2022, 174, 109078. [Google Scholar] [CrossRef]
- Yang, Y.; Bashir, M.; Li, C.; Michailides, C.; Wang, J. Mitigation of coupled wind-wave-earthquake responses of a 10 MW fixed-bottom offshore wind turbine. Renew Energy 2020, 157, 1171–1184. [Google Scholar] [CrossRef]
- Yang, M.; Liu, S.; Xu, W.H. Numerical and experimental studies of an oil slick recovery method that uses a free surface vortex. ACS Omega 2020, 5, 31332–31341. [Google Scholar] [CrossRef] [PubMed]
- Chen, Y.C.; Huang, S.L.; Li, Z.Y. A bathtub vortex under the influence of a protruding cylinder in a rotating tank. J. Fluid Mech. 2013, 733, 134–157. [Google Scholar] [CrossRef]













| G1 | G2 | G3 | G4 | |
|---|---|---|---|---|
| Number of teeth | 30 | 60 | 30 | 120 |
| Tooth width (mm) | 40 | 40 | 90 | 95 |
| Module (mm) | 3.5 | 3.5 | 3 | 3 |
| Pressure angle | 20 | 20 | 20 | 20 |
| Diameter of tooth top circle (mm) | 108 | 213 | 96 | 366 |
| Center distance (mm) | 157.5 | 225 | ||
| Item | Parameter |
|---|---|
| Input shaft speed (rpm) | 4000 |
| Gravity force (N) | 9.81 |
| Direction of gravity | z-axis negative direction |
| Initial oil level (m) | 0.21 |
| Initial speed (m/s) | 0 |
| Medium | Density (kg·m−3) | Specific Heat (J·kg−1·K−1) | Thermal Conductivity (W·m−1·K−1) | Kinetic Viscosity (Pa·s) |
|---|---|---|---|---|
| Oil | 870 | 1960 | 0.134 | 1.2 × 10−1 |
| Air | 1.225 | 1000 | 0.023 | 1.79 × 10−5 |
| 45# | 7850 | 488 | 50.2 | / |
| 40 Cr | 7850 | 460 | 32.6 | / |
| 2000 rpm | 4000 rpm | 8000 rpm | ||||
|---|---|---|---|---|---|---|
| Clockwise | Anticlockwise | Clockwise | Anticlockwise | Clockwise | Anticlockwise | |
| Point1/(°C) | 34.2 | 32.5 | 61.4 | 57.2 | 84.5 | 83.8 |
| Point2/(°C) | 33.6 | 31.7 | 61.0 | 57.1 | 81.1 | 79.5 |
| Point3/(°C) | 32.4 | 31.41 | 60.5 | 56.5 | 80.7 | 74.3 |
| Thermal Conductivity (W·m−1·K−1) | 0.13 | 0.15 | 0.17 |
|---|---|---|---|
| Point4 (°C) | 62.7 | 73.5 | 80.2 |
| Point5 (°C) | 59.5 | 69.5 | 75.6 |
| Dynamic Viscosity (Pa∙s) | 0.12 | 1.12 | 2.12 |
|---|---|---|---|
| Point4 (°C) | 59.5 | 59.2 | 59.0 |
| Point5 (°C) | 61.4 | 61.0 | 60.9 |
Disclaimer/Publisher’s Note: The statements, opinions and data contained in all publications are solely those of the individual author(s) and contributor(s) and not of MDPI and/or the editor(s). MDPI and/or the editor(s) disclaim responsibility for any injury to people or property resulting from any ideas, methods, instructions or products referred to in the content. |
© 2024 by the authors. Licensee MDPI, Basel, Switzerland. This article is an open access article distributed under the terms and conditions of the Creative Commons Attribution (CC BY) license (https://creativecommons.org/licenses/by/4.0/).
Share and Cite
Li, Q.; Xu, P.; Li, L.; Xu, W.; Tan, D. Investigation on the Lubrication Heat Transfer Mechanism of the Multilevel Gearbox by the Lattice Boltzmann Method. Processes 2024, 12, 381. https://doi.org/10.3390/pr12020381
Li Q, Xu P, Li L, Xu W, Tan D. Investigation on the Lubrication Heat Transfer Mechanism of the Multilevel Gearbox by the Lattice Boltzmann Method. Processes. 2024; 12(2):381. https://doi.org/10.3390/pr12020381
Chicago/Turabian StyleLi, Qihan, Pu Xu, Lin Li, Weixin Xu, and Dapeng Tan. 2024. "Investigation on the Lubrication Heat Transfer Mechanism of the Multilevel Gearbox by the Lattice Boltzmann Method" Processes 12, no. 2: 381. https://doi.org/10.3390/pr12020381
APA StyleLi, Q., Xu, P., Li, L., Xu, W., & Tan, D. (2024). Investigation on the Lubrication Heat Transfer Mechanism of the Multilevel Gearbox by the Lattice Boltzmann Method. Processes, 12(2), 381. https://doi.org/10.3390/pr12020381

