Catalytic Acetone Oxidation over MnOx Catalysts: Regulating Their Crystal Structures and Surface Properties
Abstract
1. Introduction
2. Materials and Methods
2.1. Preparation of Catalysts
2.2. Characterization
2.3. Performance Evaluation of Catalytic Oxidation
3. Results and Discussion
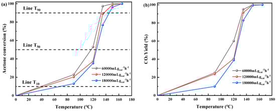
3.1. Catalytic Performance
3.2. Stability and Catalytic Oxidation of Other Typical VOCs
3.3. Structural Characterization
3.3.1. Textural Properties, Crystalline Structures, and Morphologies of the Catalysts
3.3.2. Surface Properties of the Catalysts
3.4. Reaction Path
4. Conclusions
Supplementary Materials
Author Contributions
Funding
Data Availability Statement
Conflicts of Interest
References
- Kamal, M.S.; Razzak, S.A.; Hossain, M.M. Catalytic oxidation of volatile organic compounds (VOCs)—A review. Atmos. Environ. 2016, 140, 117–134. [Google Scholar] [CrossRef]
- Lerner, J.E.C.; Sanchez, E.Y.; Sambeth, J.E.; Porta, A.A. Characterization and health risk assessment of VOCs in occupational environments in Buenos Aires, Argentina. Atmos. Environ. 2012, 55, 440–447. [Google Scholar] [CrossRef]
- Mellouki, A.; Wallington, T.J.; Chen, J. Atmospheric chemistry of oxygenated volatile organic compounds: Impacts on air quality and climate. Chem. Rev. 2015, 115, 3984–4014. [Google Scholar] [CrossRef]
- Cavalcante, R.M.; Campelo, C.S.; Barbosa, M.J.; Silveira, E.R.; Carvalho, T.V.; Nascimento, R.F. Determination of carbonyl compounds in air and cancer risk assessment in an academic institute in Fortaleza, Brazil. Atmos. Environ. 2006, 40, 5701–5711. [Google Scholar] [CrossRef]
- Hu, C.Q.; Zhu, Q.S.; Jiang, Z.; Chen, L.; Wu, R.F. Catalytic combustion of dilute acetone over Cu-doped ceria catalysts. Chem. Eng. J. 2009, 152, 583–590. [Google Scholar] [CrossRef]
- Gupta, V.K.; Verma, N. Removal of volatile organic compounds by cryogenic condensation followed by adsorption. Chem. Eng. Sci. 2002, 57, 2679–2696. [Google Scholar] [CrossRef]
- Yang, K.; Sun, Q.; Xue, F.; Lin, D.H. Adsorption of volatile organic compounds by metal–organic frameworks MIL-101: Influence of molecular size and shape. J. Hazard. Mater. 2011, 195, 124–131. [Google Scholar] [CrossRef] [PubMed]
- Li, J.J.; Xu, X.Y.; Jiang, Z.; Hao, Z.P.; Hu, C. Nanoporous silica-supported nanometric palladium: Synthesis, characterization, and catalytic deep oxidation of benzene. Environ. Sci. Technol. 2005, 39, 1319–1323. [Google Scholar] [CrossRef] [PubMed]
- Muñoz, R.; Daugulis, A.J.; Hernández, M.; Quijano, G. Recent advances in two-phase partitioning bioreactors for the treatment of volatile organic compounds. Biotechnol. Adv. 2012, 30, 1707–1720. [Google Scholar] [CrossRef] [PubMed]
- Mustafa, M.F.; Fu, X.D.; Liu, Y.J.; Abbas, Y.; Wang, H.T.; Lu, W.J. Volatile organic compounds (VOCs) removal in non-thermal plasma double dielectric barrier discharge reactor. J. Hazard. Mater. 2018, 347, 317–324. [Google Scholar] [CrossRef] [PubMed]
- He, C.; Cheng, J.; Zhang, X.; Douthwaite, M.; Pattisson, S.; Hao, Z.P. Recent advances in the catalytic oxidation of volatile organic compounds: A review based on pollutant sorts and sources. Chem. Rev. 2019, 119, 4471–4568. [Google Scholar] [CrossRef] [PubMed]
- Huang, H.B.; Xu, Y.; Feng, Q.Y.; Leung, D.Y.C. Low temperature catalytic oxidation of volatile organic compounds: A review. Catal. Sci. Technol. 2015, 5, 2649–2669. [Google Scholar] [CrossRef]
- Liotta, L.F. Catalytic oxidation of volatile organic compounds on supported noble metals. Appl. Catal. B Environ. 2010, 100, 403–412. [Google Scholar] [CrossRef]
- Li, W.B.; Gong, H. Recent progress in the removal of volatile organic compounds by catalytic combustion. Acta Phys. Chim. Sin. 2010, 26, 885–894. (In Chinese) [Google Scholar] [CrossRef]
- Tang, W.X.; Liu, G.; Li, D.Y.; Liu, H.D.; Wu, X.F.; Han, N.; Chen, Y.F. Design and synthesis of porous non-noble metal oxides for catalytic removal of VOCs. Sci. China Chem. 2015, 58, 1359–1366. [Google Scholar] [CrossRef]
- Sun, H.; Li, L.; Chen, Y.; Kim, H.; Xu, X.; Guan, D.; Hu, Z.; Zhang, L.; Shao, Z.; Jung, W. Boosting ethanol oxidation by NiOOH-CuO nano-heterostructure for energy-saving hydrogen production and biomass upgrading. Appl. Catal. B Environ. 2023, 325, 122388. [Google Scholar] [CrossRef]
- Mu, X.T.; Ding, H.L.; Pan, W.G.; Zhou, Q.; Du, W.; Qiu, K.N.; Ma, J.C.; Zhang, K. Research progress in catalytic oxidation of volatile organic compound acetone. J. Environ. Chem. Eng. 2021, 9, 105650. [Google Scholar] [CrossRef]
- Cheng, L.; Wang, J.G.; Zhang, C.; Jin, B.; Men, Y. Boosting acetone oxidation efficiency over MnO2 nanorods by tailoring crystal phases. New J. Chem. 2019, 43, 19126–19136. [Google Scholar] [CrossRef]
- Lu, Y.Q.; Deng, H.; Pan, T.T.; Zhang, C.B.; He, H. Thermal annealing induced surface oxygen vacancy clusters in alpha-MnO2 nanowires for catalytic ozonation of VOCs at ambient temperature. ACS Appl. Mater. Interfaces 2023, 15, 9362–9372. [Google Scholar] [CrossRef]
- Nagaraju, P.; Alsalme, A.; Alswieleh, A.; Jayavel, R. Facile in-situ microwave irradiation synthesis of TiO2 graphene nanocomposite for high-performance supercapacitor applications. J. Electroanal. Chem. 2018, 808, 90–100. [Google Scholar] [CrossRef]
- Zhao, Q.; Zheng, Y.F.; Song, C.F.; Liu, Q.L.; Ji, N.; Ma, D.G.; Lu, X.B. Novel monolithic catalysts derived from in-situ decoration of Co3O4 and hierarchical Co3O4@MnOx on Ni foam for VOC oxidation. Appl. Catal. B Environ. 2020, 265, 118552. [Google Scholar] [CrossRef]
- Xiang, L.; Lin, F.W.; Cai, B.H.; Li, G.B.; Zhang, L.Y.; Wang, Z.H.; Yan, B.B.; Wang, Y.; Chen, G.Y. Catalytic ozonation of CH2Cl2 over hollow urchin-like MnO2 with regulation of active oxygen by catalyst modification and ozone promotion. J. Hazard. Mater. 2022, 436, 129217. [Google Scholar] [CrossRef] [PubMed]
- Li, G.B.; Shen, K.; Wu, P.; Zhang, Y.P.; Hu, Y.Q.; Xiao, R.; Wang, B.; Zhang, S.L. SO2 poisoning mechanism of the multi-active center catalyst for chlorobenzene and NOx synergistic degradation at dry and humid environments. Environ. Sci. Technol. 2021, 55, 13186–13197. [Google Scholar] [CrossRef] [PubMed]
- Zhai, G.J.; Wang, J.G.; Chen, Z.M.; Yang, S.F.; Men, Y. Highly enhanced soot oxidation activity over 3DOM Co3O4-CeO2 catalysts by synergistic promoting effect. J. Hazard. Mater. 2019, 363, 214–226. [Google Scholar] [CrossRef] [PubMed]
- Chen, Z.M.; Wang, J.G.; Zhai, G.J.; An, W.; Men, Y. Hierarchical yolk-shell WO3 microspheres with highly enhanced photoactivity for selective alcohol oxidations. Appl. Catal. B Environ. 2017, 218, 825–832. [Google Scholar] [CrossRef]
- Li, L.; Shi, J.W.; Tian, M.J.; Chen, C.W.; Wang, B.R.; Ma, M.D.; He, C. In situ fabrication of robust three dimensional ordered macroporous γ-MnO2/LaMnO3.15 catalyst for chlorobenzene efficient destruction. Appl. Catal. B Environ. 2021, 282, 119565. [Google Scholar] [CrossRef]
- Yi, H.H.; Xie, X.Z.; Song, L.L.; Zhao, S.Z.; Du, C.C.; Miao, L.L.; Tang, X.L. Promotion of rapid microwave-assisted synthesized porous manganese-cobalt catalyst on low-temperature toluene oxidation. J. Environ. Chem. Eng. 2022, 10, 107086. [Google Scholar] [CrossRef]
- Zhao, B.H.; Ran, R.; Wu, X.D.; Weng, D. Phase structures, morphologies, and NO catalytic oxidation activities of single-phase MnO2 catalysts. Appl. Catal. A Gen. 2016, 514, 24–34. [Google Scholar] [CrossRef]
- Luo, S.P.; Zhou, W.T.; Xie, A.J.; Wu, F.Q.; Yao, C.; Li, X.Z.; Zuo, S.X.; Liu, T.H. Effect of MnO2 polymorphs structure on the selective catalytic reduction of NOx with NH3 over TiO2–Palygorskite. Chem. Eng. J. 2016, 286, 291–299. [Google Scholar] [CrossRef]
- Lin, F.W.; Wang, Z.H.; Ma, Q.; Yang, Y.; Whiddon, R.; Zhu, Y.Q.; Cen, K.F. Catalytic deep oxidation of NO by ozone over MnOx loaded spherical alumina catalyst. Appl. Catal. B Environ. 2016, 198, 100–111. [Google Scholar] [CrossRef]
- He, C.; Wang, Y.C.; Li, Z.Y.; Huang, Y.J.; Liao, Y.H.; Xia, D.H.; Lee, S.C. Facet engineered alpha-MnO2 for efficient catalytic ozonation of odor CH3SH: Oxygen vacancy-induced active centers and catalytic mechanism. Environ. Sci. Technol. 2020, 54, 12771–12783. [Google Scholar] [CrossRef] [PubMed]
- Chen, G.Y.; Wang, Z.; Lin, F.W.; Zhang, Z.M.; Yu, H.D.; Yan, B.B.; Wang, Z.H. Comparative investigation on catalytic ozonation of VOCs in different types over supported MnOx catalysts. J. Hazard. Mater. 2020, 391, 122218. [Google Scholar] [CrossRef] [PubMed]
- Wang, J.G.; Liang, H.; Zhang, C.; Jin, B.; Men, Y. Bi2WO6−x nanosheets with tunable Bi quantum dots and oxygen vacancies for photocatalytic selective oxidation of alcohols. Appl. Catal. B Environ. 2019, 256, 117874. [Google Scholar] [CrossRef]
- Rong, S.P.; Zhang, P.Y.; Liu, F.; Yang, Y.J. Engineering crystal facet of α-MnO2 nanowire for highly efficient catalytic oxidation of carcinogenic airborne formaldehyde. ACS Catal. 2018, 8, 3435–3446. [Google Scholar] [CrossRef]
- Wang, T.; Chen, S.; Wang, H.Q.; Liu, Z.; Wu, Z.B. In-plasma catalytic degradation of toluene over different MnO2 polymorphs and study of reaction mechanism. Chin. J. Catal. 2017, 38, 793–803. [Google Scholar] [CrossRef]
- Weng, X.L.; Long, Y.; Wang, W.L.; Shao, M.; Wu, Z.B. Structural effect and reaction mechanism of MnO2 catalysts in the catalytic oxidation of chlorinated aromatics. Chin. J. Catal. 2019, 40, 638–646. [Google Scholar] [CrossRef]
- Weng, X.L.; Sun, P.F.; Long, Y.; Meng, Q.J.; Wu, Z.B. Catalytic oxidation of chlorobenzene over MnxCe1−xO2/HZSM-5 catalysts: A study with practical implications. Environ. Sci. Technol. 2018, 52, 8986. [Google Scholar] [CrossRef] [PubMed]
- Dong, L.H.; Tang, Y.X.; Li, B.; Zhou, L.Y.; Gong, F.Z.; He, H.X.; Sun, B.Z.; Tang, C.J.; Gao, F.; Dong, L. Influence of molar ratio and calcination temperature on the properties of TixSn1−xO2 supporting copper oxide for CO oxidation. Appl. Catal. B Environ. 2016, 180, 451–462. [Google Scholar] [CrossRef]
- Yang, L.; Jiao, Y.; Xu, X.; Pan, Y.; Su, C.; Duan, X.; Sun, H.; Liu, S.; Wang, S.; Shao, Z. Superstructures with Atomic-Level Arranged Perovskite and Oxide Layers for Advanced Oxidation with an Enhanced Non-Free Radical Pathway. Acs Sustain. Chem. Eng. 2022, 10, 1899–1909. [Google Scholar] [CrossRef]
- Piumetti, M.; Fino, D.; Russo, N. Mesoporous manganese oxides prepared by solution combustion synthesis as catalysts for the total oxidation of VOCs. Appl. Catal. B Environ. 2015, 163, 277–287. [Google Scholar] [CrossRef]
- Qu, Z.P.; Bu, Y.B.; Qin, Y.; Wang, Y.; Fu, Q. The improved reactivity of manganese catalysts by Ag in catalytic oxidation of toluene. Appl. Catal. B Environ. 2013, 132–133, 353–362. [Google Scholar] [CrossRef]
- Zheng, Y.F.; Su, Y.; Pang, C.H.; Yang, L.Z.; Song, C.F.; Ji, N.; Ma, D.G.; Lu, X.B.; Han, R.; Liu, Q.L. Interface-enhanced oxygen vacancies of CoCuOx catalysts in situ grown on monolithic Cu foam for VOC catalytic oxidation. Environ. Sci. Technol. 2022, 56, 1905–1916. [Google Scholar] [CrossRef]
- Dong, A.Q.; Gao, S.; Wan, X.; Wang, L.X.; Zhang, T.; Wang, L.; Lang, X.Y.; Wang, W.C. Labile oxygen promotion of the catalytic oxidation of acetone over a robust ternary Mn-based mullite GdMn2O5. Appl. Catal. B Environ. 2020, 271, 118932. [Google Scholar] [CrossRef]
- Zhang, C.; Wang, J.G.; Yang, S.F.; Liang, H.; Men, Y. Boosting total oxidation of acetone over spinel MCo2O4 (M = Co, Ni, Cu) hollow mesoporous spheres by cation-substituting effect. J. Colloid Interface Sci. 2019, 539, 65–75. [Google Scholar] [CrossRef]
- Qin, R.; Chen, J.H.; Gao, X.; Zhu, X.B.; Yu, X.N.; Cen, K.F. Catalytic oxidation of acetone over CuCeOx nanofibers prepared by an electrospinning method. RSC Adv. 2014, 4, 43874–43881. [Google Scholar] [CrossRef]
- Chen, J.H.; Yu, X.N.; Zhu, X.C.; Zheng, C.H.; Gao, X.; Cen, K.F. Electrospinning synthesis of vanadium-TiO2-carbon composite nanofibrous membranes as effective catalysts for the complete oxidation of low-concentration acetone. Appl. Catal. A 2015, 507, 99–108. [Google Scholar] [CrossRef]
- Song, R.Z.; Bai, Y.; Li, X.R.; Zhu, J.L.; Zhang, H.X.; Shi, Y.C.; Li, K.; Wang, B.; Zhang, H.S.; Yang, Y.F.; et al. Plasma Circular RNA DYM Related to Major Depressive Disorder and Rapid Antidepressant Effect Treated by Visual Cortical Repetitive Transcranial Magnetic Stimulation. J. Affect. Disord. 2020, 274, 486–493. [Google Scholar] [CrossRef] [PubMed]
- Wang, Z.W.; Li, S.; Xie, S.H.; Liu, Y.X.; Dai, H.X.; Guo, G.S.; Deng, J.G. Supported ultralow loading Pt catalysts with high H2O-, CO2-, and SO2-resistance for acetone removal. Appl. Catal. A Gen. 2019, 579, 106–115. [Google Scholar] [CrossRef]
- Xia, Y.S.; Xia, L.; Liu, Y.X.; Yang, T.; Deng, J.G.; Dai, H.X. Concurrent catalytic removal of typical volatile organic compound mixtures over Au-Pd/α-MnO nanotubes. J. Environ. Sci. 2018, 64, 276–288. [Google Scholar] [CrossRef]
- Zhao, Q.; Liu, Q.; Song, C.; Ji, N.; Ma, D.; Lu, X. Enhanced catalytic performance for VOCs oxidation on the CoAlO oxides by KMnO4 doped on facile synthesis. Chemosphere 2019, 218, 895–906. [Google Scholar] [CrossRef] [PubMed]
- Kondratowicz, T.; Drozdek, M.; Michalik, M.; Gac, W.; Gajewska, M.; Kustrowski, P. Catalytic activity of Pt species variously dispersed on hollow ZrO2 spheres in combustion of volatile organic compounds. Appl. Surf. Sci. 2020, 513, 145788. [Google Scholar] [CrossRef]
- Zhao, Q.; Ge, Y.L.; Fu, K.X.; Zheng, Y.F.; Liu, Q.L.; Song, C.F.; Ji, N.; Ma, D.G. Catalytic performance of the Pd/TiO2 modified with MnOx catalyst for acetone total oxidation. Appl. Surf. Sci. 2019, 496, 143579. [Google Scholar] [CrossRef]
- Zheng, Y.F.; Zhao, Q.; Shan, C.P.; Lu, S.C.; Su, Y.; Han, R.; Song, C.F.; Ji, N.; Ma, D.G.; Liu, Q.L. Enhanced Acetone Oxidation over the CeO2/Co3O4 Catalyst Derived from Metal-Organic Frameworks. ACS Appl. Mater. Interfaces 2020, 12, 28139–28147. [Google Scholar] [CrossRef] [PubMed]
- Wang, L.; Sun, Y.; Zhu, Y.; Zhang, J.; Ding, J.; Gao, J.; Ji, W.; Li, Y.; Wang, L.; Ma, Y. Revealing the mechanism of high water resistant and excellent active of CuMn oxide catalyst derived from Bimetal-Organic framework for acetone catalytic oxidation. J. Colloid Interface Sci. 2022, 622, 577–590. [Google Scholar] [CrossRef] [PubMed]










| Catalyst | T10 (°C) | T50 (°C) | T90 (°C) |
|---|---|---|---|
| α-MnO2 | 44 | 154 | 175 |
| β-MnO2 | 101 | 169 | 209 |
| γ-MnO2 | 49 | 179 | 222 |
| MnO2-WK | 40 | 126 | 147 |
| MnO2-WN | 35 | 117 | 132 |
| Catalyst | Crystallite Size (nm) | BET Surface Area a (m2/g) | Total Pore Volume b (cm3/g) | Avg. Pore Diameter b (nm) |
|---|---|---|---|---|
| α-MnO2 | 15 | 45.68 | 0.15 | 13.7 |
| β-MnO2, | 27 | 13.29 | 0.05 | 14.8 |
| γ-MnO2 | 21 | 36.11 | 0.25 | 18.1 |
| MnO2-WN | 19 | 90.03 | 0.22 | 10.1 |
| MnO2-WK | 17 | 126.37 | 0.25 | 8.0 |
| Catalyst | Mn3+ (%) | Mn4+ (%) | AOS | Oads. (%) | Olatt. (%) |
|---|---|---|---|---|---|
| α-MnO2 | 62.8 | 37.2 | 3.65 | 20.7 | 79.3 |
| MnO2-WK | 64.5 | 35.5 | 3.55 | 44.1 | 55.9 |
| MnO2-WN | 69.5 | 30.5 | 3.42 | 36.0 | 64.0 |
| MnO2-WN-S | 65.9 | 34.1 | 3.52 | 58.5 | 41.5 |
| Catalyst | H2 | O2 |
|---|---|---|
| α-MnO2 | 16674491 | 6596 |
| MnO2-WK | 17237837 | 8896 |
| MnO2-WN | 17549969 | 9119 |
Disclaimer/Publisher’s Note: The statements, opinions and data contained in all publications are solely those of the individual author(s) and contributor(s) and not of MDPI and/or the editor(s). MDPI and/or the editor(s) disclaim responsibility for any injury to people or property resulting from any ideas, methods, instructions or products referred to in the content. |
© 2024 by the authors. Licensee MDPI, Basel, Switzerland. This article is an open access article distributed under the terms and conditions of the Creative Commons Attribution (CC BY) license (https://creativecommons.org/licenses/by/4.0/).
Share and Cite
Cai, B.; Lin, F.; Guo, X.; Li, Y. Catalytic Acetone Oxidation over MnOx Catalysts: Regulating Their Crystal Structures and Surface Properties. Processes 2024, 12, 326. https://doi.org/10.3390/pr12020326
Cai B, Lin F, Guo X, Li Y. Catalytic Acetone Oxidation over MnOx Catalysts: Regulating Their Crystal Structures and Surface Properties. Processes. 2024; 12(2):326. https://doi.org/10.3390/pr12020326
Chicago/Turabian StyleCai, Bohang, Fawei Lin, Xuan Guo, and Yongtao Li. 2024. "Catalytic Acetone Oxidation over MnOx Catalysts: Regulating Their Crystal Structures and Surface Properties" Processes 12, no. 2: 326. https://doi.org/10.3390/pr12020326
APA StyleCai, B., Lin, F., Guo, X., & Li, Y. (2024). Catalytic Acetone Oxidation over MnOx Catalysts: Regulating Their Crystal Structures and Surface Properties. Processes, 12(2), 326. https://doi.org/10.3390/pr12020326

