Next Article in Journal
Utilization of Metal-Functionalized ZSM-5 for Methanol and Low-Carbon Hydrocarbon Coupling Aromatization
Next Article in Special Issue
Study on the Influence of Geological Parameters of CO2 Plume Geothermal Systems
Previous Article in Journal
Nutritional Properties of Innovatively Prepared Plant-Based Vegan Snack
Previous Article in Special Issue
Accelerating Numerical Simulations of CO2 Geological Storage in Deep Saline Aquifers via Machine-Learning-Driven Grid Block Classification
 
 
Font Type:
Arial Georgia Verdana
Font Size:
Aa Aa Aa
Line Spacing:
Column Width:
Background:
Article

Thermodynamic Prediction of Scale Formation in Oil Fields During Water Injection: Application of SPsim Program Through Utilizing Advanced Visual Basic Excel Tool

1
Petroleum Systems Engineering, Faculty of Engineering and Applied Science, University of Regina, Regina, SK S4S 0A2, Canada
2
Department of Chemistry, School of Science, Alzahra University, Tehran 1993893973, Iran
3
Instituto Dom Luiz (IDL), Universidade de Lisboa, 1749-016 Lisbon, Portugal
*
Author to whom correspondence should be addressed.
Processes 2024, 12(12), 2722; https://doi.org/10.3390/pr12122722
Submission received: 2 November 2024 / Revised: 24 November 2024 / Accepted: 25 November 2024 / Published: 2 December 2024

Abstract

This study focuses on the design and validation of a computer program named “SPsim”, developed using Visual Basic coding and advanced Excel tools to predict the formation of sulfate mineral deposits during water injection in oil fields. Water injection for secondary oil recovery is an effective economic strategy, but it can be negatively impacted by the formation of sulfate minerals such as calcium sulfate, gypsum, barium sulfate, and strontium sulfate. The results of this study demonstrate that SPsim can accurately predict the formation of these mineral deposits based on the composition of the formation water and injection water under various temperature and pressure conditions. Specifically, the formation of barium sulfate and calcium sulfate is observed under certain conditions, which is a significant concern in oil fields. The study also highlights that calcium sulfate, barium sulfate, and strontium sulfate are among the most challenging mineral deposits in the studied fields, while the formation of gypsum deposits is less significant. The program was compared with results from other software tools, such as ScaleChem 3.2 and StimCad 2, as well as field observations. The findings indicate that SPsim provides a reliable and effective tool for predicting and managing sulfate scaling in water injection operations, making it a valuable resource for both industrial and academic applications.

1. Introduction

Oil field formation water contains cations such as calcium, sodium, and strontium, as well as anions including sulfate, chloride, and carbonate. Water injection can result in an incompatible combination of mineral ions in the formation of water, and injected water can be expected, causing the formation of mineral deposits containing calcium sulfate, barium sulfate, and strontium sulfate in oil field facilities [1,2,3,4,5]. For a deeper understanding of the mechanisms underlying mineral scale formation during water injection operations, readers are encouraged to refer to reference [5].
Different researchers have studied or simulated the formation of mineral deposits in petroleum systems as a result of the injection of water under different conditions. McElhiney et al. (2001) [6] conducted a laboratory study at 70 degrees Fahrenheit, atmospheric pressure, and a water injection speed of 0.31 m/s, based on an offshore oil field reservoir in West Africa. Their study indicated the formation of barium sulfate mineral deposits in a sandstone reservoir.
Using Northern Sea fields as a case study, Mackay et al. (2002) [7] examined the challenges associated with the formation of sulfate deposits in hydrocarbon reservoirs. Data collected from three North Sea fields and flow simulations performed in their research emphasize that mineral deposits may develop in deep reservoirs with negligible adverse effects on nearby wellbore oil production.
According to Abu-Khamsin and Ahmad (2005) [8], calcium sulfate precipitates are formed in sandstones when saline water containing calcium with sulfate-rich impurity water is mixed with calcium. In their study, factors such as pressure changes, temperature, and water injection speed have been investigated for the reactions between two incompatible waters. Their research has revealed a significant increase in the rate of accumulation and sedimentation of mineral deposits of calcium sulfate due to high injection speeds and temperatures.
Raju (2009) [9], in Saudi Aramco oil fields, indicated the formation of calcium carbonate deposits due to pressure drop and pH changes. In contrast, the injection of seawater and the mixture of two impure waters led to noticeable sulfate deposits. Haghtalab et al. (2014) [10] focused on predicting the formation of sulfate deposits, including barium sulfate, calcium sulfate, and strontium sulfate, based on the ENRTL activity coefficient model and optimizing its parameters. The results pointed to the formation of sulfate deposits, which can be expected in the studied oil fields. In order to study the formation of mineral deposits of barium sulfate and strontium sulfate in oil fields, Hashemi S.H and Hashemi S.A (2020) [1] studied the formation water analysis of the Nosrat oil field. Based on the results of their study, the formation of mineral deposits of calcium carbonate, magnesium carbonate, and barium sulfate in the Nusrat oil field can cause problems with the exploitation of oil reservoirs.
Considering the problems of mineral sediment formation due to water injection, Shabani et al. (2020) [11] emphasize the formation of carbonate mineral deposits in the lower part of water injection wells. According to their results, higher temperatures and higher salinity lead to the accumulation and formation of mineral deposits in well conditions. Zhang et al. (2021) [12] investigated the precipitation of mineral deposits in gas wells. According to their results, the accumulation and formation of carbonate sediments in the formation of water occurs at high temperatures and low pressures. They can be easily deposited both in horizontal and in inclined well sections.
Barite deposition is one of the most common deposits in the reservoir or in various equipment in the oil and gas industry, leading to a decrease in well productivity. This precipitation can be due to the mixing of incompatible brines, as studied by Al Jaberi et al. (2022) [13], which showed that the addition of EDTA controls barite precipitation and improves calcite reaction rate.
Hashemi et al.’s (2023) [14] research on the Reg-e Sefid oil and gas field focused on the challenging task of managing mineral deposits through water injection operations by evaluating the concentration of mineral cations and anions in the formation water. Their findings, analyzed using StimCad 2 software, indicated the potential formation of calcium sulfate and calcium carbonate based on mineral ion concentrations. Ion ratio assessments suggest optimal conditions for hydrocarbon production in the studied oil and gas field. Notably, the comparison of water and rock formations implies that, excluding calcium and magnesium ions, other ions trace back to ancient seawater as their source in the Reg-e Sefid oil and gas field.
Sulfate mineral deposits are among the most significant challenges in oil fields, forming due to the concentration of mineral ions in formation water and specific operational conditions [15,16]. As water injection operations become increasingly common in oil field management, addressing the formation of these deposits has become even more critical. One effective approach to managing mineral scale formation is the use of scale inhibitors [17,18,19,20]. However, it is essential to first conduct accurate predictions of scale formation to identify the extent and type of challenges posed by these deposits. This allows for proper planning and informed decisions regarding the application of such inhibitors, ensuring their optimal effectiveness in mitigating scale formation during operations. Consequently, in the present study, due to the quality and optimal use of the Excel calculation tool, the formation of mineral deposits is examined using a calculation program that employs the Extended UNIQUAC thermodynamic model. This study focuses on designing a computational program using Visual Basic tools in Excel to predict mineral deposits in the oil industry; it is noteworthy for its innovative and interesting approach. Software like ScaleChem and StimCad has been commonly used in the oil industry to predict mineral scale deposits. However, the computational program in this study aims to optimize the use of the Office suite in the industry without relying on Visual Studio-based design. Utilizing the Excel environment, this computational program does not require installation and allows for the source code to be hidden so that users cannot access it.

2. Data and Methods

2.1. Water Composition

Sulfate deposits such as barium sulfate, strontium sulfate, gypsum, and calcium sulfate, with the presence of calcium, barium, strontium, magnesium, carbonate, and sulfate ions in oil field formation water, can cause problems in oil industry reservoirs and equipment. For this reason, in the current research, the design of the sulfate sediment prediction program is of interest. In this study, various waters from oil fields were used to validate the developed program, with detailed information available in reference [21].

2.2. SPsim Program

Managing the formation of mineral deposits in oil fields emphasizes the importance of computer program design in order to prevent its formation in production wells in the oil industry. For this reason, the SPsim program was designed based on advanced Excel tools in this study. In Figure 1, images of the coding sections and the user interface of the SPsim computer program are presented. Based on the concentration of mineral cations and anions in formation water, this program predicts the formation of mineral deposits such as barium sulfate, strontium sulfate, calcium sulfate, and gypsum under various operational conditions. Concentrations of mineral ions targeted in this software include sodium, potassium, magnesium, calcium, strontium, barium, chlorine, sulfate, carbonate, etc.
The prediction of saturation index such as calcium sulfate, barium sulfate, strontium sulfate, and gypsum, as well as the calculation of water activity and solution pH under different temperatures and pressures, are provided to the user as output results by this program, which utilizes thermodynamic equations.
The proposed program, which takes into account thermodynamic equations, is a robust and user-friendly tool that can be utilized to calculate the mineral formations that might occur in water injection processes. The program uses the concentration of mineral ions under various conditions of temperature and pressure to calculate the index of formation of sulfated mineral deposits.
The program was developed using Visual Basic scripting within Excel’s framework (https://www.microsoft.com/en-us/microsoft-365/excel, accessed on 20 January 2024). As a result of Excel’s unique features, the coding part is hidden from users, leaving only the main interface visible. Through this configuration, the proposed program can be used commercially and further developed without requiring the installation of extra software tools. With Excel, users are able to access and use the program conveniently.
The thermodynamic model of the Extended UNIQUAC activity coefficient is one of the suitable solutions for studying the thermodynamic properties of electrolyte systems. For this reason, in the source of this program, the optimized Extended UNIQUAC model was used to calculate the activity coefficient of inorganic cations and anions, which can be used to calculate the saturation index.
Considering the design approach of the program developed in this study, a comparison with the ScaleChem 3.2 (Parsippany, NJ, USA) and StimCad 2 (Houston, TX, USA) software tools highlights the following key points:
  • Computational Tools:
SPsim Program:
Uses Excel and advanced Visual Basic tools for solving equations. This approach is simpler for users familiar with Excel and allows seamless integration with project data.
ScaleChem 3.2 and StimCad 2:
A standalone software with an internal computational engine offering high processing power, but it may have a steeper learning curve and require initial training.
  • Data Input and Ease of Use:
SPsim Program:
Laboratory data (e.g., ion concentration analysis from formation water) is usually stored in Excel files. Since our program is also Excel-based, transferring data for saturation index calculations is straightforward, with no need for additional formatting or processing.
ScaleChem 3.2 and StimCad 2:
Data must be entered into specific formats required by the software. This can be time-consuming and may involve adapting data or adding unnecessary details.
  • Development and Updates:
SPsim Program:
It is in the early stages of development. Over time, feedback from users can help improve weaknesses and add new features, making development more flexible.
ScaleChem 3.2 and StimCad 2:
A mature product that has undergone multiple development phases. However, updates or customizations typically require the original developer’s involvement and can be costly.
  • Cost and Accessibility:
SPsim Program:
Has low development costs and does not require a license, making it ideal for users or organizations seeking affordable and straightforward solutions.
ScaleChem 3.2 and StimCad 2:
Requires purchasing a license, with potentially high annual maintenance or update costs. It is more suited to large companies and advanced industrial projects.
In addition to the above, the thermodynamic equations defined for solving mineral scale saturation differ between our program (SPsim) and ScaleChem 3.2 and StimCad 2 software.

2.3. Saturation Index Calculation

The prediction of the formation of mineral deposits in electrolyte solutions is based on the following equation [22]:
S I = l o g 10 a M   a X K s p
Based on Equation (1), the saturation index of mineral deposits is related to the activity coefficient of mineral cations and anions as well as the equilibrium constant. Also, according to this equation, if the numerical value of the saturation index is greater than zero, the formation of mineral deposits can be expected. On the other hand, if the mentioned value is less than zero, the formation of mineral deposits can be ignored.
To calculate the activity coefficient of ions in this program, the equation of the activity coefficient of Extended UNIQUAC is used. The Extended UNIQUAC model is based on the combination of the UNIQUAC model with the extended Debye–Hoeckel law, in which the UNIQUAC equation depends on the sizes and shapes of molecules along with the intermolecular forces. In general, for Extended UNIQUAC, it can be expressed as Equation (2) [23,24,25]:
ln γ i = ln i x i + 1 i x i z 2 · q i ln i θ i + 1 i θ i l n r i r w + 1 r i r w z 2 · q i ln r i q w r w q i + 1 r i q w r w q i + q i 1 ln k θ k φ l k k θ k φ i k θ l φ l k q i 1 ln φ w i φ i w Z i 2 A I 1 / 2 1 + b I 1 / 2
where i , θ i , and φ i j in Equation (2) are defined as Equation (3), Equation (4), and Equation (5), respectively.
i = x i r i l x l r l
θ i = x i q i l x l q l
where ri and qi are the volume and surface area.
φ i j = exp u i j u i i T
uii represents energy interaction between similar ions in a solid–liquid equilibrium system, while uij represents energy interaction between different ions in such a system. These interactions are temperature-dependent functions:
u i j = u i j ° + u i j t T 298.15
Parameters such as ri, qi, uij, and uii have a significant effect on the optimization results. Also, based on Equation (1) for the effect of the pressure parameter on the equilibrium constant, we have [24]
ln K s p = ln K s p T , P o + α P P o + β ( P P o ) 2
This is while for Ksp(T,Po) parameter for CaSO4, CaSO4.2H2O, and SrSO4, we can write [26]
ln K S P T , P 0 = ln K S P 0 H 0 R 1 T 1 T 0 + C p 0 R [ ln T T 0 + T 0 T 1 ]
The following equation is also used for BaSO4 [27]:
L o g 10   K S p B a s o 4 = 136.035 7680.41 T o K 48.595 l o g 10 T o K + 0.349 0.0001119 T o C P a t m 500
In this study, optimized r, q, and u parameters for Na+, Ba2+, Ca2+, Sr2+, Mg2+, H+, Cl, SO42−, HCO3, OH, CO32− are used based on Garcia et al.’s study [24,28]. However, optimization of all three parameters (r, q, and u) has been performed specifically for K+ and Fe2+ ions. Moreover, α and β have been specifically optimized in this study. The genetic algorithm is used to optimize the parameters of the model, and the experimental results and field results are considered as a reference to optimize the equations. Optimizing the parameters in this study is crucial as properly tuned parameters can contribute to better convergence of the overall equations, leading to excellent and acceptable results. For instance, potassium and iron ions in the system interact with other ions such as sodium, barium, strontium, calcium, sulfate, chloride, etc. Therefore, optimizing the parameters, such as r, q, uij, and uii, for these two ions is essential. Failure to optimize these parameters might negatively impact the entire computational process, affecting the molecular interactions and, consequently, the overall outcome.
It should be noted that the calculation of pH is based on the concentration and activity coefficient of H+, and its values are obtained according to the optimized equations in the source of the designed program.

3. Results and Discussion

3.1. Saturation Index (SI) and Mineral Deposits

Water injection for secondary oil recovery is a viable economic strategy, but several factors may adversely affect its achievement, including the formation of sulfate mineral deposits in oil fields. In this regard, in the present study, a calculation program based on an advanced Excel tool has been designed to predict the formation of calcium sulfate, gypsum, barium sulfate, and strontium sulfate mineral deposits as a result of water injection operations in several samples of oil fields.
In Table 1, the prediction results of mineral deposits based on the composition of formation water and injection water according to different concentrations of mineral ions such as sodium, calcium, barium, strontium, sulfate, bicarbonate, chloride, etc., are presented. The results of the SPsim program with ScaleChem 3.2 and StimCad 2 software and other results such as field observations and the findings of the previous studies, including the research conducted by Haghtalab et al. (2014) [10], Vetter et al. (1982) [29], and Yuan and Todd (1991) [21] are considered in Table 2.
As shown in Table 1, a temperature of 100 °C and a pressure of 200 bars, and based on the water composition of FW-1 and SW-1, the formation of mineral deposits of barium sulfate and calcium sulfate can be expected, and all the compared methods emphasize this point. Based on the composition of the water in FW-1 and SW-2, these conditions are slightly different when compared with a temperature of 100 °C and a pressure of 200 bar. Apart from ScaleChem 3.2 and StimCad 2, all other methods refer to calcium sulfate formation. On the other hand, for the precipitation of barium sulfate, all methods emphasize the formation of the mineral. It should be noted that contrary to the methods presented in Table 1 (prediction of mineral deposits based on the saturation index), the calculations of mineral deposition prediction in the StimCad 2 software are presented as a percentage of the saturation index. As a matter of fact, 100% is expected to form scale, and the values less than 100% refer to no scale formation.
In Table 2, the prediction results of mineral deposits such as calcium sulfate, barium sulfate, strontium sulfate, and gypsum based on the composition of Forties FW and North SW water according to different concentrations and temperatures of 25 °C and 100 °C and pressure of 1 bar and 300 bars are presented. Based on this table, the results of the proposed program with the results obtained from ScaleChem 3.2 as well as StimCad 2 software tools, field observations, and the findings presented in other research studies conducted by Haghtalab et al. (2014) and Yuan and Todd (1991) are compared.
Based on the results presented in Table 2, according to the different temperatures and pressures and the water composition of Forties FW and North SW, the formation of mineral deposits of barium sulfate and strontium sulfate is significant, which can be seen in all the compared methods. Based on the results obtained in Table 1 and Table 2, mineral deposits of calcium sulfate, barium sulfate, and strontium sulfate are among the most important and challenging deposits created in the studied oil fields, and the formation of gypsum mineral deposits is insignificant.
Table 3 compares the prediction of mineral deposits of strontium sulfate and calcium sulfate with experimental results based on the concentration of mineral ions such as sodium, strontium, calcium, sulfate, and chloride. According to the results obtained, the program designed in this study predicts the formation of mineral deposits of calcium sulfate and strontium sulfate fairly effectively. Accordingly, in 0.35 M sodium chloride, 47.5 mM calcium and sulfate, as well as 5 mM strontium, the saturation index (SI) of calcium sulfate and strontium sulfate precipitation is 0.962 and 0.027 (formation of mineral deposits), respectively. Similarly, based on the experimental results, the saturation rate (SR) of mineral deposits of calcium sulfate and strontium sulfate are 1.5 and 45.9, respectively, and these two values indicate the formation of sediment.
It is worth mentioning that the numerical values of saturation index and saturation rate are not considered as a comparison criterion for predicting mineral sediment. Therefore, to compare each model with another or with experimental results, the qualitative description of the saturation index and saturation rate should be considered to investigate the formation of mineral deposits.
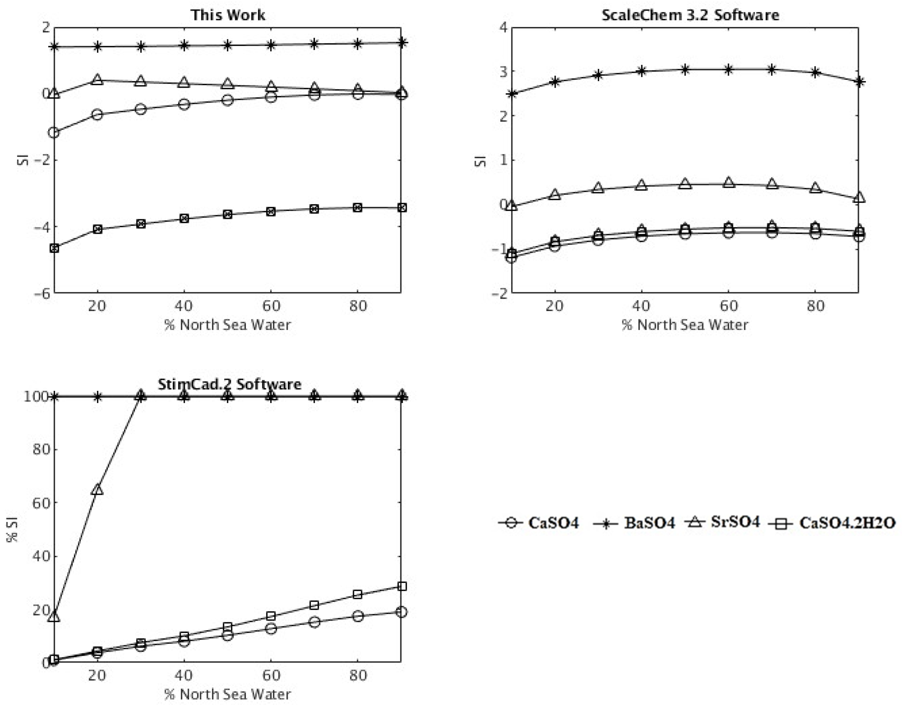
The prediction of the formation of sulfate deposits based on the combination of Forties FW and North SW water at a temperature of 25 °C and a pressure of 1 bar according to the SPsim program and StimCad 2 and ScaleChem 3.2 software tools is shown in Figure 2. Based on the results presented in this figure, by injection of North SW water and mixing with Forties FW water, the formation of mineral deposits of barium sulfate and strontium sulfate can be expected.
However, according to the concentration of mineral ions and the temperature of 25 °C as well as the pressure of 1 bar, the conditions for the formation of calcium sulfate and gypsum mineral deposits are not significant, which is indicated by the results of the SPsim program and StimCad 2 and ScaleChem 3.2 software tools.
Figure 3 presents the predicted formation of sulfate deposits based on the combination of Forties FW and North SW water at a temperature of 100 °C and a pressure of 1 bar according to the SPsim program and StimCad 2 and ScaleChem 3.2 software tools. Based on the results presented in this figure, the formation of barium sulfate and strontium sulfate mineral deposits, for the case of North SW water injection, can cause challenges in the surface and subsurface facilities with Forties FW. However, based on the SPsim program and the ScaleChem 3.2 software tools, the formation of calcium sulfate mineral deposits can be expected in some injection percentages, such as 40 to 80%. As shown in Figure 3, there is no evidence for the formation of gypsum.

3.2. pH

Thermodynamic properties of electrolyte systems in oil fields, such as pH, activity coefficient of mineral ions, and water activity due to electrostatic forces between ions and short-range forces between ions and solvents, can cause non-ideal behaviors in the equilibrium system. Although laboratory data are necessary for the thermodynamic properties of electrolyte systems, measuring the thermodynamic properties of electrolyte systems (solid–liquid equilibrium systems) is very time-consuming. For this reason, thermodynamic models can be considered as a suitable method for better understanding of intermolecular interaction and better separation of water and ions. Therefore, the prediction of pH and water activity (in order to predict the solubility or saturation index of gypsum) of the solid–liquid equilibrium system based on changes in ion concentration and temperature and pressure conditions is programmed in the SPsim program. Table 4 compares the prediction of pH according to the SPsim program and StimCad 2 and ScaleChem 3.2 software, based on the composition of formation water and injected water studied.
Based on the results obtained in Table 4, the designed program has good results in calculating the pH of the solution in the presence of mineral ions such as sodium, calcium, barium, strontium, potassium, sulfate, bicarbonate, and chloride, with changing in temperature and pressure conditions. The results of the SPsim program compared with StimCad 2 and ScaleChem 3.2 software emphasize this issue. At a temperature of 25 °C and a pressure of 1 bar for the combination of Forties FW and North SW water, the pH results of the solution according to the SPsim program and the StimCad 2 software, and the ScaleChem 3.2 software are 6.836, 6.75, and 6.876, respectively.
This condition is also true for predicting the solution pH for the combination of two FW waters with two SW-1 and SW-2 waters. Based on the results obtained in Table 4, with the increase in temperature, the amount of changes in pH of the solution is associated with a decreasing trend, which is mentioned in the results of the compared methods in this table.
A comparison of pH prediction results with experimental findings based on the water analysis for Eastern and Western Marcellus is presented in Table 5. According to the obtained results, the designed program yields satisfactory performance, as evidenced by the value of the average error.

3.3. Water Activity

In Table 6, the comparison of water activity prediction obtained from the designed program and ScaleChem 3.2 software is presented. The designed program provides reliable results when calculating water activity in the presence of mineral ions such as sodium, calcium, barium, strontium, potassium, sulfate, bicarbonate, and chloride, making it suitable for use in the calculation of the gypsum scale index. This indicates that the numerical results of the designed program and ScaleChem 3.2 vary only slightly, demonstrating a favorable prediction of the designed program.
Based on Table 6, at a temperature of 25 °C and pressure of 1 bar, in the injection of 50% of North SW water, the water activity values based on the SPsim program and ScaleChem 3.2 software are 0.917 and 0.963, respectively. Additionally, at a temperature of 100 °C with the same amount of water injection, the water activity values based on the SPsim program and ScaleChem 3.2 software are 0.929 and 0.965, respectively. Therefore, it can be concluded that with an increase in temperature, the value of the water activity of the system based on the concentration of mineral ions increases. It should be noted that the output results of StimCad 2 software do not include water activity; hence, it is not presented in Table 6.
In Table 7, the comparison of water activity prediction results based on the designed program and experimental results is presented.
Based on Table 7, the predicted water activity of the system, including sodium, potassium, magnesium, calcium, sulfate, chloride, and lithium, appears satisfactory. This results in an average error of 0.305, indicating acceptable performance of the program designed to calculate water activity. As observed, when the lithium values are close to zero, the final values predicted by the program are closer to the experimental results. It is worth noting that Li+ ion has not been reported in oil field formation water and is not among the ions of interest in the oil industry (it was not even targeted in industrial software such as ScaleChem 3.2 and StimCad 2); therefore, this ion is not defined in the designed program.
The experimental results in Table 7 do not pertain to oil formation and are intended solely for the purpose of validating the proposed program. Due to the absence of the Li+ ion in the SPsim program, its value is considered zero, and only a general comparison with the experimental results of the reference has been made for academic purposes.

4. Conclusions

During water injection operations, mineral deposits are a common problem in oil reservoirs and wells. This situation may result in increased repair costs and a reduction in production efficiency. To address this issue, a calculation program based on thermodynamic equations and advanced Excel tools has been developed to predict the saturation index of calcium sulfate, barium sulfate, strontium sulfate, and gypsum. Based on the comparison of this program with the results observed in the field, experimental findings, and StimCad 2 and ScaleChem 3.2 software, the predictions of the developed program indicate its high accuracy. For example, when combining the Forties formation water with North Sea water at a temperature of 25 degrees Celsius and a pressure of 300 bar, the SPsim program and StimCad 2 and ScaleChem 3.2 software indicate the formation of barium sulfate and strontium sulfate deposits, which are also observed in field results. According to the analysis of mineral ions in the studied oil fields, the formation of barium sulfate, strontium sulfate, and calcium sulfate is one of the major challenges in the oil production process. However, the gypsum mineral deposit seems to be less significant than the other three. Furthermore, water activity and pH have also been studied as two effective factors in electrolytic systems, and the obtained results demonstrate the high efficiency of the program designed for the calculations of these two parameters.

Author Contributions

Conceptualization, S.H.H. and Z.B.; methodology, S.H.H., Z.B. and F.T.; software, S.H.H., Z.B. and F.T.; validation, S.H.H., Z.B., F.T. and N.P.; formal analysis, S.H.H.; writing—original draft preparation, S.H.H. and Z.B.; writing—review and editing, F.T. and N.P.; supervision, F.T. All authors have read and agreed to the published version of the manuscript.

Funding

This research received no external funding.

Data Availability Statement

The data supporting the findings of this study are available upon request from the corresponding author.

Conflicts of Interest

The authors declare no conflicts of interest to declare.

References

  1. Hashemi, S.H.; Hashemi, S.A. Prediction of Scale formation according to water injection operations in Nosrat Oil Field. Model. Earth Syst. Environ. 2020, 6, 585–589. [Google Scholar] [CrossRef]
  2. Khormali, A.; Ahmadi, S. Prediction of barium sulfate precipitation in dynamic tube blocking tests and its inhibition for waterflooding application using response surface methodology. J. Petrol. Explor. Prod. Technol. 2023, 13, 2267–2281. [Google Scholar] [CrossRef]
  3. Zhao, R.; Wang, B.; Li, D.; Chen, Y.; Zhang, Q. Effect of sulfate-reducing bacteria from salt scale of water flooding pipeline on corrosion behavior of X80 steel. Eng. Fail. Anal. 2022, 142, 106788. [Google Scholar] [CrossRef]
  4. Jing, G.; Tang, S.; Li, X.; Wang, H. The analysis of scaling mechanism for water-injection pipe columns in the Daqing Oilfield. Arab. J. Chem. 2017, 10, S1235–S1239. [Google Scholar] [CrossRef]
  5. Binmerdhah, A.; Yassin, A. Scale Formation in Oil Reservoir During Water Injection at High-Salinity Formation Water. J. Appl. Sci. 2007, 7, 3198–3207. [Google Scholar] [CrossRef]
  6. McElhiney, E.; Sydansk, D.; Benzel, N.; Davidson, B. Determination of in-situ precipitation of barium sulfate during coreflooding. In Proceedings of the SPE Third International Symposium on Oilfield Scale SPE 68309, Aberdeen, UK, 30–31 January 2001. [Google Scholar]
  7. Mackay, E.J.; Jordan, M.M.; Torabi, F. Predicting Brine Mixing Deep Within the Reservoir, and the Impact on Scale Control in Marginal and Deepwater Developments. In Proceedings of the International Symposium and Exhibition on Formation Damage Control, Lafayette, Louisiana, 20–21 February 2002. [Google Scholar]
  8. Abu-Khamsin, S.; Ahmad, S. Laboratory Study on Precipitation of Calcium Sulphate in Berea Sandstone Cores. In Proceedings of the SPE Technical Symposium of Saudi Arabia Section, Dhahran, Saudi Arabia, 14–16 May 2005. SPE 106336.2005. [Google Scholar]
  9. Raju, K. Successful Scale Mitigation Strategies in Saudi Arabian Oil Fields. In Proceedings of the SPE International Symposium on Oilfield Chemistry, The Woodlands, TX, USA, 20–22 April 2009. SPE 121679.2009. [Google Scholar]
  10. Haghtalab, A.; Kamali, J.; Shahrabadi, A. Prediction mineral scale formation in oil reservoirs during water injection. Fluid Phase Equilibria 2014, 373, 43–54. [Google Scholar] [CrossRef]
  11. Shabani, A.; Sisakhti, H.; Sheikhi, S.; Barzega, F. A reactive transport approach for modeling scale formation and deposition in water injection wells. J. Pet. Sci. Eng. 2020, 190, 107031. [Google Scholar] [CrossRef]
  12. Zhang, L.; Yang, L.; Wang, Z.; Zhang, C.; Meng, W.; Ren, S. Experimental study on scaling and adhesion characteristics in water-producing gas wellbore. Nat. Gas Ind. B 2021, 8, 252–266. [Google Scholar] [CrossRef]
  13. Al Jaberi, J.; Ahmed, A.; Bageri, B.; Elsayed, M.; Mahmoud, M.; Patil Sh Al-Garadi, K.; Barri, A. Minimizing the Barite Scale in Carbonate Formations during the Filter Cake Removal Process. ACS Omega 2022, 7, 17976–17983. [Google Scholar] [CrossRef]
  14. Hashemi, S.H.; Niknam, A.; Karimian Torghabeh, A.; Pimentel, N. Thermodynamic and geochemical studies of formation water in Rag-e Sefid oil and gas field, Iran. AIMS Geosci. 2023, 9, 578–594. [Google Scholar] [CrossRef]
  15. Razavirad, F.; Heidari, S.; Shahrabadi, A. Evaluation of compatibility between formation and Injection water into the Reservoir Rock. Colloids Surf. A Physicochem. Eng. Asp. 2024, 690, 133787. [Google Scholar] [CrossRef]
  16. Bader, M.S.H. Sulfate scale problems in oil fields water injection operations. Desalination 2006, 201, 100–105. [Google Scholar] [CrossRef]
  17. Ardakani, S.F.G.; Hosseini, S.T.; Kazemzadeh, Y. A review of scale inhibitor methods during modified smart water injection. Can. J. Chem. Eng. 2024, 102, 3922. [Google Scholar] [CrossRef]
  18. Mpelwa, M.; Tang, S.F. State of the art of synthetic threshold scale inhibitors for mineral scaling in the petroleum industry: A review. Pet. Sci. 2019, 16, 830–849. [Google Scholar] [CrossRef]
  19. Azizi, J.; Shadizadeh, S.R.; Manshad, K.A.; Mohammadi, A.H. A dynamic method for experimental assessment of scale inhibitor efficiency in oil recovery process by water flooding. Petroleum 2019, 5, 303–314. [Google Scholar] [CrossRef]
  20. Khormali, A.; Petrakov, D.G.; Moghaddam, N.R. Study of adsorption/desorption properties of a new scale inhibitor package to prevent calcium carbonate formation during water injection in oil reservoirs. J. Pet. Sci. Eng. 2017, 153, 257–267. [Google Scholar] [CrossRef]
  21. Yuan, M.D.; Todd, A.C. Prediction of Sulfate Scaling Tendency in Oilfield Operations. SPE Prod. Eng. 1991, 6, 63–72. [Google Scholar] [CrossRef]
  22. Oddo, J.; Tomson, M. Why Scale Forms and How to Predict It. SPE Prod. Oper. 1994, 9, 47–54. [Google Scholar] [CrossRef]
  23. Mohammadi, A.; Manteghian, M.; Mohammadi, A.H.; Kamran-Pirzaman, A. Thermodynamic modeling of the dissociation conditions of hydrogen sulfide clathrate hydrate in the presence of aqueous solution of inhibitor (alcohol, salt or ethylene glycol). Chem. Eng. Res. Des. 2014, 92, 2283–2293. [Google Scholar] [CrossRef]
  24. Garcia, A.; Thomsen, K.; Stenby, E. Prediction of mineral scale formation in geothermal and oilfield operations using the extended UNIQUAC model Part I. Sulfate scaling minerals. Geothermics 2005, 34, 61–97. [Google Scholar] [CrossRef]
  25. Thomsen, K.; Rasmussen, P. Modeling of vapor-liquid-solid equilibrium in gas-aqueous electrolyte systems. Chem. Eng. Sci. 1999, 54, 1787–1802. [Google Scholar] [CrossRef]
  26. Prausnitz, J.M.; Lichtenthaler, R.N.; de Azevedo, E.G. Molecular Thermodynamics of Fluid Phase Equilibria, 3rd ed.; Prentice Hall PTR: Upper Saddle River, NJ, USA, 1999. [Google Scholar]
  27. Kan, A.T.; Mason, B.T. Scale Prediction for Oil and Gas Production. SPE J. 2012, 17, 362–378. [Google Scholar] [CrossRef]
  28. Villafafila Garcia, A. Measurement and Modeling of Scaling Minerals. Ph.D. Thesis, Technical University of Denmark, Kongens Lyngby, Denmark, August 2005. Available online: https://backend.orbit.dtu.dk/ws/portalfiles/portal/5459463/Ada%20Villafafila%20Garcia,%20ph.d..pdf (accessed on 20 January 2024).
  29. Vetter, J.O.; Kandarpa, V.; Harouaka, A. Prediction of scale problems due to injection of incompatible waters. J. Pet. Technol. 1982, 34, 273–284. [Google Scholar] [CrossRef]
  30. Alhseinat, E.; Jaoude, M.A.; Alkatheeri, A.; Darawsheh, I.; Safieh, A. Insights into the Composite Scale Formation and Coprecipitation Behavior of CaSO4 and SrSO4 at different salinity level. Surf. Interfaces 2021, 22, 100875. [Google Scholar] [CrossRef]
  31. Pamidimukkala, P.K. Analysis of Scaling Potentials in Marcellus Shale Gas Wells. Master’s Thesis, The Pennsylvania State University, University Park, PA, USA, 2012. Available online: https://etda.libraries.psu.edu/files/final_submissions/4998 (accessed on 20 January 2024).
  32. Lychnos, G.; Fletcher, J.P.; Davies, P.A. Properties of seawater bitterns with regard to liquid-desiccant cooling. Desalination 2010, 250, 172–178. [Google Scholar] [CrossRef]
Figure 1. (a) Home page of SPsim program; (b) coding part of SPsim program (based on Visual Basic Excel tool); (c) the section for calculating the initial concentration of ions based on the combined ratio of waters.
Figure 1. (a) Home page of SPsim program; (b) coding part of SPsim program (based on Visual Basic Excel tool); (c) the section for calculating the initial concentration of ions based on the combined ratio of waters.
Processes 12 02722 g001
Figure 2. Prediction of the formation of sulfate deposits based on the combination of Forties FW and North SW water at a temperature of 25 °C and a pressure of 1 bar according to the SPsim program and StimCad 2 and ScaleChem 3.2 softwares.
Figure 2. Prediction of the formation of sulfate deposits based on the combination of Forties FW and North SW water at a temperature of 25 °C and a pressure of 1 bar according to the SPsim program and StimCad 2 and ScaleChem 3.2 softwares.
Processes 12 02722 g002
Figure 3. Prediction of the formation of sulfate deposits based on the combination of Forties FW and North SW water at a temperature of 100 °C and a pressure of 1 bar according to the SPsim program and StimCad 2 and ScaleChem 3.2 softwares.
Figure 3. Prediction of the formation of sulfate deposits based on the combination of Forties FW and North SW water at a temperature of 100 °C and a pressure of 1 bar according to the SPsim program and StimCad 2 and ScaleChem 3.2 softwares.
Processes 12 02722 g003
Table 1. Prediction results of mineral deposits based on the composition of studied formation water and injected water.
Table 1. Prediction results of mineral deposits based on the composition of studied formation water and injected water.
FW-1SW-1FW-1SW-2
Downhole Conditions
Temp. (°C)
100100
Pressure (bar)200200
This work
(SPsim Program)
SICasSO4 = 0.02
SIBasSO4 = 0.66
SISrSO4 = 1.46
SICasSO4·2H2O = −4.10
SICasSO4 = 0.18
SIBasSO4 = 1.06
SISrSO4 = 1.04
SICasSO4.2H2O = −3.85
ScaleChem 3.2 SoftwareSICasSO4 = 0.38
SIBasSO4 = 2.15
SISrSO4 = 0.36
SICasSO4.2H2O = −0.20
SICasSO4 = −0.046
SIBasSO4 = 1.79
SISrSO4 = −0.069
SICasSO4.2H2O = −0.56
StimCad 2 Software% SICasSO4 = 100
% SIBasSO4 = 100
% SISrSO4 = 81.25
% SICasSO4.2H2O = 12.64
% SICasSO4 = 61.22
% SIBasSO4 = 100
% SISrSO4 = 52.18
% SICasSO4.2H2O = 9.57
Haghtalab et al. (2014) [10]SICasSO4 = 3.29
SIBasSO4 = 9.21
SICasSO4.2H2O = 7.09
SICasSO4 = 2.07
SIBasSO4 = 7.93
SISrSO4 = 2.73
SICasSO4.2H2O = 3.29
Vetter et al. (1982) [29]BaSO4
CaSO4
BaSO4
CaSO4
Yuan and Todd (1991) [21]BaSO4
CaSO4
SrSO4
BaSO4
CaSO4
SrSO4
Field Observation [21]BaSO4
CaSO4
BaSO4
CaSO4
Table 2. Results of predicting mineral deposits based on the composition of formation water and injected water.
Table 2. Results of predicting mineral deposits based on the composition of formation water and injected water.
Field
Observation
[21]
Yuan and Todd
(1991) [21]
Haghtalab et al. (2014) [10]StimCad 2 SoftwareScaleChem 3.2 SoftwareThis Work
(SPsim Program)
P
(Bar)
T (°C)Brine
BaSO4
SrSO4
BaSO4
SrSO4
SIBasSO4 = 4.81
SISrSO4 = 0.6
% SICasSO4 = 10.54
% SIBasSO4 = 100
% SISrSO4 = 100
% SICasSO4.2H2O = 13.26
SICasSO4 = −0.658
SIBasSO4 = 3.046
SISrSO4 = 0.454
SICasSO4.2H2O = −0.55
SICasSO4 = −0.197
SIBasSO4 = 1.447
SISrSO4 = 0.248
SICasSO4.2H2O = −3.63
125Forties FW + North SW
BaSO4
SrSO4
BaSO4
SrSO4
SIBasSO4 = 3.94
SISrSO4 = 0.6
% SICasSO4 = 10.54
% SIBasSO4 = 100
% SISrSO4 = 100
% SICasSO4.2H2O =13.26
SICasSO4 = −0.801
SIBasSO4 = 2.835
SISrSO4 = 0.277
SICasSO4.2H2O = −0.67
SICasSO4 = −0.431
SIBasSO4 = 1.386
SISrSO4 = 0.254
SICasSO4.2H2O = −3.75
30025
BaSO4
SrSO4
BaSO4
SrSO4
SIBasSO4 = 4.37
SISrSO4 = 0.3
% SICasSO4 = 37.01
% SIBasSO4 = 100
% SISrSO4 = 100
% SICasSO4.2H2O = 6.04
SICasSO4 = 0.0767
SIBasSO4 = 2.461
SISrSO4 = 0.895
SICasSO4.2H2O = −0.38
SICasSO4 = 0.774
SIBasSO4 = 1.368
SISrSO4 = 0.374
SICasSO4.2H2O = −3.25
1100
BaSO4
SrSO4
BaSO4
SrSO4
SIBasSO4 = 0.89
SISrSO4 = 4.38
% SICasSO4 = 37.01
% SIBasSO4 = 100
% SISrSO4 = 100
% SICasSO4.2H2O = 6.04
SICasSO4 = −0.071
SIBasSO4 = 2.250
SISrSO4 = 0.725
SICasSO4.2H2O = −0.51
SICasSO4 = 0.523
SIBasSO4 = 1.30
SISrSO4 = 0.368
SICasSO4.2H2O = −3.38
300100
Table 3. Comparison of mineral scale formation results based on experimental results [30] and the results of the designed program.
Table 3. Comparison of mineral scale formation results based on experimental results [30] and the results of the designed program.
Batch
No.
NaCl
M
[Ca2+]
mM
[Sr2+]
mM
[SO42−]
mM
SR (Exp)SI (This Work)
CaSO4SrSO4CaSO4SrSO4
10.3547.5047.51.700.9650
20.547.5047.51.500.9540
31.547.5047.50.600.50
40.3547.5547.51.545.90.9620.027
50.547.5547.51.333.70.9510.17
61.547.5547.50.614.70.540.76
70.3547.52047.51.914.70.890.029
80.547.52047.51.613.40.840.169
91.547.52047.50.63.70.30.75
Table 4. Comparison of pH prediction according to SPsim program and StimCad 2 and ScaleChem 3.2 softwares based on the composition of formation water and injection water.
Table 4. Comparison of pH prediction according to SPsim program and StimCad 2 and ScaleChem 3.2 softwares based on the composition of formation water and injection water.
StimCad 2
Software
ScaleChem 3.2
Software
This Work
(SPsim Program)
P
(Bar)
T (°C)Brine
6.8766.756.836125Forties FW + North SW
6.8766.856.83730025
6.1126.336.3541100
6.1126.076.093300100
5.3975
6.09
5.18
5.88
5.76
6.46
200
200
100
25
FW-1 + SW-1
5.376
6.22
5.53
6.23
5.844
6.5
200
200
100
25
FW-1 + SW-2
Table 5. Comparison of pH prediction according to experimental results [31] and the results of the designed program.
Table 5. Comparison of pH prediction according to experimental results [31] and the results of the designed program.
Ions (mg/L)Sample 1Sample 2Sample 3Sample 4Sample 5
Na+498353016665865011,260
K+75108104199327
Mg2+8821027110415952222
Ca2+8510298136191
Ba2+1.61.41.92.26.6
Sr2+121154148281400
Fe2+1818152119
Cl900010,00012,00016,00024,000
SO42−763553473385200
pH (Exp)7.037.147.257.067.08
pH (This Work)7.0937.0967.1037.117.14
A v e r a g e   e r r o r = 1 N k = 1 N p H e x p p H c a l c p H e x p = 0.0102.
Table 6. Comparison of water activity prediction according to SPsim program and ScaleChem 3.2 software based on Forties FW and North SW.
Table 6. Comparison of water activity prediction according to SPsim program and ScaleChem 3.2 software based on Forties FW and North SW.
ScaleChem 3.2
Software
This Work
(SPsim Program)
ScaleChem 3.2
Software
This Work
(SPsim Program)
% North Sea Water
a H2O at 100 °Ca H2O at 25 °C
0.9510.9050.9490.8910
0.9540.91140.9530.89620
0.9580.9170.9560.90330
0.9620.9230.960.90940
0.9650.9290.9630.91750
0.9960.9350.9670.92360
0.9720.9410.9780.93170
0.9750.9470.9740.93880
0.9780.9530.9770.94590
0.9810.9590.9800.952100
Table 7. Comparison of aw prediction according to experimental results [32] and the results of the designed program.
Table 7. Comparison of aw prediction according to experimental results [32] and the results of the designed program.
Ions (mol/kg)Sample 1Sample 2Sample 3Sample 4Sample 5
Na+0.5481.740.161.9760.072
K+0.0120.3240.0820.3080.021
Mg2+0.0721.4443.2811.3733.733
Ca2+0.01180.004740.00140.005550.00153
Cl0.6564.3736.3464.2127.79
SO42−0.02730.4060.2980.5310.247
Li+0.000030.0005940.001880.0005650.0025
aw (Exp)0.9810.6680.4240.6580.346
aw (This Work)0.9460.7170.6630.7190.61
A v e r a g e   e r r o r = 1 N k = 1 N a w e x p a w c a l c a w e x p = 0.305.
Disclaimer/Publisher’s Note: The statements, opinions and data contained in all publications are solely those of the individual author(s) and contributor(s) and not of MDPI and/or the editor(s). MDPI and/or the editor(s) disclaim responsibility for any injury to people or property resulting from any ideas, methods, instructions or products referred to in the content.

Share and Cite

MDPI and ACS Style

Hashemi, S.H.; Besharati, Z.; Torabi, F.; Pimentel, N. Thermodynamic Prediction of Scale Formation in Oil Fields During Water Injection: Application of SPsim Program Through Utilizing Advanced Visual Basic Excel Tool. Processes 2024, 12, 2722. https://doi.org/10.3390/pr12122722

AMA Style

Hashemi SH, Besharati Z, Torabi F, Pimentel N. Thermodynamic Prediction of Scale Formation in Oil Fields During Water Injection: Application of SPsim Program Through Utilizing Advanced Visual Basic Excel Tool. Processes. 2024; 12(12):2722. https://doi.org/10.3390/pr12122722

Chicago/Turabian Style

Hashemi, Seyed Hossein, Zahra Besharati, Farshid Torabi, and Nuno Pimentel. 2024. "Thermodynamic Prediction of Scale Formation in Oil Fields During Water Injection: Application of SPsim Program Through Utilizing Advanced Visual Basic Excel Tool" Processes 12, no. 12: 2722. https://doi.org/10.3390/pr12122722

APA Style

Hashemi, S. H., Besharati, Z., Torabi, F., & Pimentel, N. (2024). Thermodynamic Prediction of Scale Formation in Oil Fields During Water Injection: Application of SPsim Program Through Utilizing Advanced Visual Basic Excel Tool. Processes, 12(12), 2722. https://doi.org/10.3390/pr12122722

Note that from the first issue of 2016, this journal uses article numbers instead of page numbers. See further details here.

Article Metrics

Back to TopTop