Analysis of the Effect of Structural Parameters on the Internal Flow Field of Composite Curved Inlet Body Hydrocyclone
Abstract
1. Introduction
- (1)
- In the straight section of the feed body, the multiphase flow is evenly distributed. Upon passing through the semi-cylindrical camber, a pressure differential between the upper and lower fluid regions promotes the relocation of finer particles towards the feed body wall, thereby increasing the proportion of fine particles that enter the cyclonic flow.
- (2)
- As particles transition into the involute section, the interplay of grading forces induces a transformation from irregular bulk flow to orderly settling, ultimately forming a stable particle layer. This process achieves effective pre-grading of the particles before they enter into the cyclone.
- (3)
- In the vortex line section, the minimal change in the curvature radius near the cyclone column, coupled with the tangential alignment of the vortex line to the column, reduces particle–wall impacts. This results in smoother particle motion and improved grading performance. By controlling both the flow field and particle dynamics, the composite curved-feed-body structure addresses the issue of “underflow pinch fine” and improves the cyclone’s classification accuracy. Thus, the proposed design offers a feasible solution for enhancing the cyclone’s efficiency and performance in particle separation processes.
2. Model Description
3. Numerical Method
3.1. Geometrical Structures and Meshing
3.2. Boundary Conditions
3.3. Model Validation
4. Results and Discussion
4.1. Influence of Overflow Pipe Diameter on Internal Flow Field of Composite Curved-Inlet Hydrocyclone
4.1.1. The Effect of Overflow Pipe Diameter on the Pressure Field
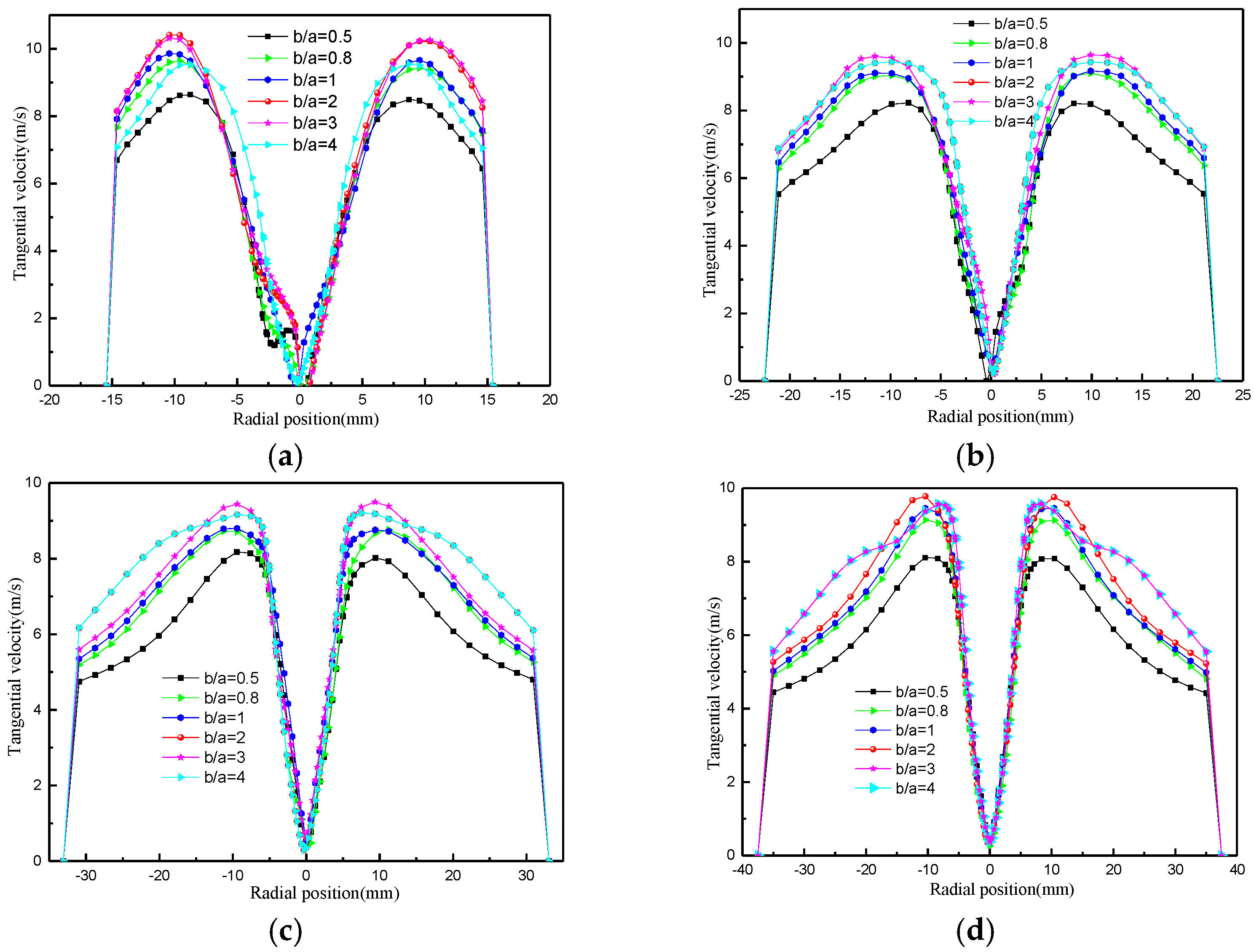
4.1.2. Impact of Overflow Pipe Diameter on Tangential Velocity
4.1.3. Effect of Overflow Pipe Diameter on Axial Velocity and LZVV (Zero-Speed Envelope Surface)
4.1.4. Effect of Overflow Pipe Diameter on Turbulent Kinetic Energy
4.2. Impact of Overflow Tube Insertion Depth on Internal Flow Field of Composite Curvilinear Inlet Body Hydrocyclone
4.2.1. The Effect of Overflow Tube Insertion Depth on the Pressure Field
4.2.2. Effect of Overflow Pipe Insertion Depth on Tangential Velocity
4.2.3. Effect of Overflow Tube Insertion Depth on Axial Velocity and LZVV
4.2.4. Effect of Overflow Pipe Insertion Depth on Turbulent Kinetic Energy
4.3. Effect of Underflow Orifice Diameter on Internal Flow Field of Composite Curved-Inlet-Body Hydrocyclone
4.3.1. Effect of Underflow Orifice Diameter on Pressure Field
4.3.2. The Effect of the Diameter of the Bottom Flow Port on the Tangent Velocity
4.3.3. Effect of Overflow Orifice Diameter on Axial Velocity and LZVV
4.3.4. Effect of Underflow Orifice Diameter on Turbulent Kinetic Energy
4.4. Effect of Inlet Aspect Ratio on Internal Flow Field of Composite Curved-Feed-Body Hydrocyclone
4.4.1. Effect of Inlet Aspect Ratio on Pressure Field
4.4.2. Effect of Inlet Aspect Ratio on Tangential Velocity
4.4.3. Effect of Inlet Aspect Ratio on Axial Velocity
4.4.4. Effect of Aspect Ratio on Turbulent Kinetic Energy
5. Conclusions
- (1)
- When the diameter of the overflow pipe is smaller than a certain critical value, the axial velocity is only the downward movement of the external cyclone, accompanied by a large number of circulations. The cyclone loses its classification significance. As the diameter of the overflow tube increases, the axial velocity of the inner cyclone gradually increases, and the LZVV gradually moves outward. The pressure drop, tangential velocity, splitting ratio, and turbulence intensity are greatly reduced.
- (2)
- The static pressure and tangential velocity are almost unaffected by the insertion depth of the overflow pipe, but the axial velocity decreases with increasing insertion depth while the LZVV migrates outward. The increase in insertion depth results in a slight decrease in the pressure drop and divergence ratio and a gradual increase in turbulence intensity.
- (3)
- The underflow orifice diameter has a significant effect on the cyclone flow field. With an increase in the underflow orifice diameter, the pressure drop and turbulence intensity are reduced, and the divergence ratio gradually increases. A change in the bottom orifice diameter has a small effect on the tangential velocity and the axial velocity of the external cyclone, but the axial velocity of the internal cyclone increases with an increase in the bottom orifice diameter.
- (4)
- The inlet aspect ratio has a direct influence on the stability of the flow field. With an increase in the aspect ratio, the static pressure and tangential velocity gradually increase, while the pressure drop and diversion ratio gradually decrease. Increasing the aspect ratio also causes the axial velocity of the internal cyclone to gradually increase. Too small an aspect ratio is prone to causing flow field fluctuations, increased turbulence intensity, and irregular changes in the LZVV.
Author Contributions
Funding
Data Availability Statement
Acknowledgments
Conflicts of Interest
References
- Rajamani, R.K.; Milin, L. Fluid-flow model of the hydrohydrocyclone for concentrated slurry classification. In Hydrohydrocyclone, Analysis and Application: 4th International Conference, Southampton, UK, 23–25 September 1992; Springer: Dordrecht, The Netherlands, 1992; pp. 95–108. [Google Scholar]
- Vakamalla, T.R.; Kumbhar, K.S.; Gujjula, R.; Mangadoddy, N. Computational and experimental study of the effect of inclination on hydrohydrocyclone performance. Sep. Purif. Technol. 2014, 138, 104–117. [Google Scholar] [CrossRef]
- Brennan, M. CFD simulations of hydrohydrocyclones with an air core: Comparison between large eddy simulations and a second moment closure. Chem. Eng. Res. Des. 2006, 84, 495–505. [Google Scholar] [CrossRef]
- Wang, S.; Wang, L.; Huang, W. Bismuth-based photocatalysts for solar energy conversion. J. Mater. Chem. A 2020, 8, 24307–24352. [Google Scholar] [CrossRef]
- Li, F.; Liu, P.; Yang, X.; Zhang, Y. Numerical simulation on the effects of different feeding body structures on the flow field and separation performance in a hydrohydrocyclone. Powder Technol. 2020, 373, 254–266. [Google Scholar] [CrossRef]
- Misiulia, D.; Andersson, A.G.; Lundström, T.S. Effects of theinlet angleonthe flow pattern and pressure drop of a hydrocyclone with helical-roof inlet. Chem. Eng. Res. Des. 2015, 102, 307–321. [Google Scholar] [CrossRef]
- Motin, A.; Tarabara, V.V.; Petty, C.A.; Bénard, A. Hydrodynamics within flooded hydrohydrocyclones during excursion in the feed rate: Understanding of turndown ratio. Sep. Purif. Technol. 2017, 185, 41–53. [Google Scholar] [CrossRef]
- Farzanegan, A.; Khorasanizadeh, N.; Sheikhzadeh, G.A.; Khorasanizadeh, H. Laboratory and CFD investigations of the two-phase flow behavior in flotation columns equipped with vertical baffle. Int. J. Miner. Process. 2017, 166, 79–88. [Google Scholar] [CrossRef]
- Pandey, S.; Wasilewski, M.; Mukhopadhyay, A.; Prakash, O.; Ahmad, A.; Brar, L.S. Multi-Objective Optimization of Cyclone Separators Based on Geometrical Parameters for Performance Enhancement. Appl. Sci. 2024, 14, 2034. [Google Scholar] [CrossRef]
- Baltrėnas, P.; Crivellini, A.; Leonavičienė, T.; Chlebnikovas, A. Investigation on particulate matter and gas motion processes in the advanced multi-channel cyclone-separator with secondary gas inlets. Environ. Eng. Res. 2022, 27, 200550. [Google Scholar] [CrossRef]
- Sun, Z.; Yang, H.; Zhang, K.; Wang, Z.; Hong, Z.; Yang, G. Self-cleaning effect and secondary swirling clean gas for suppressing particle deposition on vortex finder of gas cyclones. Particuology 2024, 90, 72–87. [Google Scholar] [CrossRef]
- Zhang, T.; Li, J.; Yang, D.; Wang, Z.; Zhao, W.; Fu, P.; Wang, H. High-efficiency microplastic removal in water treatment based based on short flow control of hydrocyclone: Mechanism and performance. Sep. Purif. Technol. 2024, 353, 128445. [Google Scholar] [CrossRef] [PubMed]
- Chang, Y.F.; Ilea, C.G.; Aasen, Ø.L.; Hoffmann, A.C. Particleflowina hydrohydrocyclone investigated by positron emission particle tracking. Chem. Eng. Sci. 2011, 66, 4203–4211. [Google Scholar] [CrossRef]
- Tang, B.; Xu, Y.; Song, X.; Sun, Z.; Yu, J. Numerical study on the relationship between high sharpness and configurations of the vortex finder of a hydrohydrocyclone by central composite design. Chem. Eng. J. 2015, 278, 504–516. [Google Scholar] [CrossRef]
- Li, F.; Liu, P.; Yang, X.; Zhang, Y.; Li, X.; Jiang, L.; Fu, W. Purification of granular sediments from wastewater using a novel hydrohydrocyclone. Powder Technol. 2021, 393, 751–763. [Google Scholar] [CrossRef]
- Chu, L.; Chen, W.; Lee, X. Effects of geometric and operating parameters and feed characters on the motion of solid particles in hydrohydrocyclones. Sep. Purif. Technol. 2002, 26, 237–246. [Google Scholar] [CrossRef]
- Kelsall, D.F. A further study of the hydraulic hydrocyclone. Chem. Eng. Sci. 1953, 2, 254–272. [Google Scholar] [CrossRef]
- Frachon, M.; Cilliers, J.J. A general model for hydrohydrocyclone partition curves. Chem. Eng. J. 1999, 73, 53–59. [Google Scholar] [CrossRef]
- Hsieh, K.T.; Rajamani, K. Phenomenological model of hydrohydrocyclone: Model development and verification for single-phase flow. Int. J. Miner. Process 1988, 22, 223–237. [Google Scholar] [CrossRef]
- Tian, J.; Ni, L.; Song, T.; Olson, J.; Zhao, J. An overview of operating parameters and conditions in hydrohydrocyclones for enhanced separations. Sep. Purif. Technol. 2018, 206, 268–285. [Google Scholar] [CrossRef]
- Bradley, D.A. The Hydrohydrocyclone; Pergamon Press: Oxford/London, UK, 1965. [Google Scholar]
- Yang, L.; Tian, J.-L.; Yang, Z.; Li, Y.; Fu, C.-H.; Zhu, Y.-H.; Pang, X.-L. Numerical analysis of non-Newtonian rheology effect on hydrohydrocyclone flow field. Petroleum 2015, 1, 68–74. [Google Scholar] [CrossRef]
- Rietema, K. Performance and design of hydrohydrocyclones-IV design of hydrohydrocyclones. Chem. Eng. Sci. 1961, 15, 320–325. [Google Scholar] [CrossRef]
- Zhao, W.; Li, J.P.; Zhang, T.; Wei, A.S.; Li, S.Y.; Yang, D.H.; Wang, H. Separation characters of dewatering hydrocyclone with annular vortex finder based on particle image velocimetry and experiments. Sep. Purif. Technol. 2025, 353, 128619. [Google Scholar] [CrossRef]
- Tripathy, S.K.; Bhoja, S.K.; Kumar, C.R.; Suresh, N. A short review on hydraulic classification and its development in mineral industry. Powder Technol. 2015, 270, 205–220. [Google Scholar] [CrossRef]
- Ghodrat, M.; Yu, A.B.; Vince, A.; Barnett, G.D. Numerical analysis of hydrohydrocyclones with different conical section designs. Engineering 2014, 62, 74–84. [Google Scholar]
- Kuang, S.B.; Chu, K.W.; Yu, A.B.; Vince, A. Numerical study of liquid-gas-solid flow in classifying hydrohydrocyclones:Effect of feed solids concentration. Miner. Eng. 2021, 31, 17–31. [Google Scholar] [CrossRef]
- Delgadillo, J.A.; Rajamani, R.K. Exploration of hydrohydrocyclone designs using computational fluid dynamics. Int. J. Miner. Process 2007, 84, 252–261. [Google Scholar] [CrossRef]
- Cui, B.; Wei, D.; Gao, S.; Liu, W.; Feng, Y. Numerical and experimental studies of flowfield in hydrohydrocyclone with air core. Trans. Nonferrous Met. Soc. China 2014, 24, 2642–2649. [Google Scholar] [CrossRef]
- Yu, A.B.; Standish, N. A study of particle size distributions. Powder Technol. 1990, 62, 101–118. [Google Scholar] [CrossRef]
































| Designation | Size/mm |
|---|---|
| Height of column section | 120 |
| Height of cone section | 180 |
| Overflow pipe diameter | 25 |
| Overflow pipe insertion depth | 75 |
| Bottom flow opening diameter | 7.5 |
| Thickness of deflector plate | 1 |
| Bump height | 10 |
| Size Interval/um | Mean Size/um | Volume Fraction/% |
|---|---|---|
| 0–1 | 0.5 | 0.41 |
| 1–3 | 2 | 0.56 |
| 3–5 | 4 | 0.62 |
| 5–7 | 6 | 0.81 |
| 7–10 | 7.5 | 0.62 |
| 10–20 | 15 | 0.53 |
| 20–30 | 25 | 0.72 |
| 30–50 | 40 | 0.31 |
| 50–70 | 60 | 0.42 |
Disclaimer/Publisher’s Note: The statements, opinions and data contained in all publications are solely those of the individual author(s) and contributor(s) and not of MDPI and/or the editor(s). MDPI and/or the editor(s) disclaim responsibility for any injury to people or property resulting from any ideas, methods, instructions or products referred to in the content. |
© 2024 by the authors. Licensee MDPI, Basel, Switzerland. This article is an open access article distributed under the terms and conditions of the Creative Commons Attribution (CC BY) license (https://creativecommons.org/licenses/by/4.0/).
Share and Cite
Wang, Y.; Han, H.; Liang, Z.; Yang, H.; Li, F.; Zhang, W.; Zhao, Y. Analysis of the Effect of Structural Parameters on the Internal Flow Field of Composite Curved Inlet Body Hydrocyclone. Processes 2024, 12, 2654. https://doi.org/10.3390/pr12122654
Wang Y, Han H, Liang Z, Yang H, Li F, Zhang W, Zhao Y. Analysis of the Effect of Structural Parameters on the Internal Flow Field of Composite Curved Inlet Body Hydrocyclone. Processes. 2024; 12(12):2654. https://doi.org/10.3390/pr12122654
Chicago/Turabian StyleWang, Yanchao, Hu Han, Zhitao Liang, Huanbo Yang, Feng Li, Wen Zhang, and Yanrui Zhao. 2024. "Analysis of the Effect of Structural Parameters on the Internal Flow Field of Composite Curved Inlet Body Hydrocyclone" Processes 12, no. 12: 2654. https://doi.org/10.3390/pr12122654
APA StyleWang, Y., Han, H., Liang, Z., Yang, H., Li, F., Zhang, W., & Zhao, Y. (2024). Analysis of the Effect of Structural Parameters on the Internal Flow Field of Composite Curved Inlet Body Hydrocyclone. Processes, 12(12), 2654. https://doi.org/10.3390/pr12122654

