Thermal Oxidation Characteristics and Kinetics of Micron Aluminum Powder in Different Ambient Oxygen Concentration Atmospheres
Abstract
1. Introduction
2. Materials and Methods
2.1. Materials and Characterization Techniques
2.2. Experimental Equipment and Analytical Method
3. Results
3.1. Analysis of the Evolutionary Properties of Aluminum Powder Oxidation Products
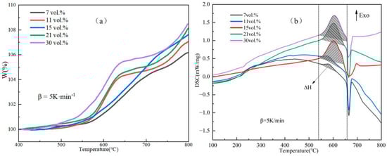
3.2. Analysis of Oxidation Characteristics of Micron-Grade Aluminum Powder
4. Discussion
4.1. Analysis of the Effect of Oxygen Concentration on the Oxidation Process
4.2. Analysis of the Kinetic Effect of Ambient Oxygen Concentration on the Aluminum Oxidation Reaction
5. Conclusions
Author Contributions
Funding
Data Availability Statement
Acknowledgments
Conflicts of Interest
References
- Zhuk, E.I.; Vlaskin, A.Z.; Vlaskin, M.S. Aluminum as energy carrier: Feasibility analysis and current technologies overview. Renew. Sustain. Energy Rev. 2011, 15, 4611–4623. [Google Scholar] [CrossRef]
- Trowell, K.A.; Goroshin, S.; Frost, D.L.; Bergthorson, J.M. Aluminum and its role as a recyclable, sustainable carrier of renewable energy. Appl. Energy 2020, 275, 115112. [Google Scholar] [CrossRef]
- Jing, Q.; Wang, D.; Liu, Q.; Ren, L.; Wang, Y.; Liu, C.; Shen, Y.; Wang, Z. Study on transient reaction mechanism and explosion intensity parameters of micron-sized flake aluminum dust in air. Chem. Eng. Sci. 2021, 246, 116884. [Google Scholar] [CrossRef]
- Benkiewicz, K.; Hayashi, A.K. Parametric Studies of an Aluminum Combustion Model for Simulations of Detonation Waves. AIAA J. 2006, 44, 608–619. [Google Scholar] [CrossRef]
- Liu, W.; Bai, C.; Liu, Q.; Yao, J.; Zhang, C. Effect of metal dust fuel at a low concentration on explosive/air explosion characteristics. Combust. Flame 2020, 221, 41–49. [Google Scholar] [CrossRef]
- Zhang, Y.; Xu, K.; Ge, J.; Liu, B. Study on hydrogen evolution risk and suppression methods of Mg–Al/Mg–Zn alloy waste dust in wet dust collector. Process Saf. Environ. Prot. 2022, 163, 321–329. [Google Scholar] [CrossRef]
- Jones, D.E.G.; Brousseau, P.; Fouchard, R.C.; Turcotte, A.M.; Kwok, Q.S.M. Thermal Characterization of Passivated Nanometer Size Aluminium Powders. J. Therm. Anal. Calorim. 2000, 61, 805–818. [Google Scholar] [CrossRef]
- DesJardin, P.E.; Felske, J.D.; Carrara, M.D. Mechanistic Model for Aluminum Particle Ignition and Combustion in Air. J. Propuls. Power 2005, 21, 478–485. [Google Scholar] [CrossRef]
- Trunov, M.A.; Schoenitz, M.; Dreizin, E.L. Effect of polymorphic phase transformations in alumina layer on ignition of aluminium particles. Combust. Theory Model. 2006, 10, 603–624. [Google Scholar] [CrossRef]
- Trunov, M.A.; Umbrajkar, S.M.; Schoenitz, M.; Mang, J.T.; Dreizin, E.L. Oxidation and Melting of Aluminum Nanopowders. J. Phys. Chem. B 2006, 110, 13094–13099. [Google Scholar] [CrossRef]
- Li, Q.; Wang, K.; Zheng, Y.; Mei, X.; Lin, B. Explosion severity of micro-sized aluminum dust and its flame propagation properties in 20 L spherical vessel. Powder Technol. 2016, 301, 1299–1308. [Google Scholar] [CrossRef]
- Savel, A.M.; Yagodnikov, D.A. Numerical simulation of the ignition of aluminum nanoparticles in oxygen-containing gases taking into consideration polymorphic transformations in an oxide film. Combust. Flame 2023, 253, 112777. [Google Scholar] [CrossRef]
- Li, Y.; Kalia, R.K.; Nakano, A.; Vashishta, P. Size effect on the oxidation of aluminum nanoparticle: Multimillion-atom reactive molecular dynamics simulations. J. Appl. Phys. 2013, 114, 134312. [Google Scholar] [CrossRef]
- Zhu, B.; Li, F.; Sun, Y.; Wu, Y.; Shi, W.; Han, W. Enhancing ignition and combustion characteristics of micron-sized aluminum powder in steam by adding sodium fluoride. Combust. Flame 2019, 205, 68–79. [Google Scholar] [CrossRef]
- Watson, K.W.; Pantoya, M.L.; Levitas, V.I. Fast reactions with nano- and micrometer aluminum: A study on oxidation versus fluorination. Combust. Flame 2008, 155, 619–634. [Google Scholar] [CrossRef]
- Zhu, B.; Zhang, S.; Sun, Y.; Ji, Y.; Wang, J. Fluorinated graphene improving thermal reaction and combustion characteristics of nano-aluminum powder. Thermochim. Acta 2021, 705, 179038. [Google Scholar] [CrossRef]
- Li, L.B.; Chen, X.; Musa, O.; Zhou, C.S.; Zhu, M. The effect of pressure and oxygen concentration on the ignition and combustion of aluminum-magnesium fuel-rich propellant. Aerosp. Sci. Technol. 2018, 76, 394–401. [Google Scholar] [CrossRef]
- Zhu, X.Y.; Schoenitz, M.; Dreizin, E.L. Aluminum Powder Oxidation in CO2 and Mixed CO2/O2 Environments. J. Phys. Chem. C 2009, 113, 6768–6773. [Google Scholar] [CrossRef]
- Vorozhtsov, A.B.; Lerner, M.; Rodkevich, N.; Nie, H.; Abraham, A.; Schoenitz, M.; Dreizin, E.L. Oxidation of nano-sized aluminum powders. Thermochim. Acta 2016, 636, 48–56. [Google Scholar] [CrossRef]
- Zhang, S.; Bi, M.; Jiang, H.; Gao, W. Suppression effect of inert gases on aluminum dust explosion. Powder Technol. 2021, 388, 90–99. [Google Scholar] [CrossRef]
- Alexander, A.G.; Ulrich, F.B.; Ulrich, T. Aluminum nanopowders produced by electrical explosion of wires and passivated by non-inert coatings: Characterisation and reactivity with air and water. Powder Technol. 2006, 164, 111–115. [Google Scholar] [CrossRef]
- Arshad, U.; Taqvi, S.A.A.; Buang, A. Experimental analysis and data-driven machine learning modelling of the minimum ignition temperature (MIT) of aluminum dust. Fuel 2022, 324, 124569. [Google Scholar] [CrossRef]
- Trunov, M.A.; Schoenitz, M.; Zhu, X. Effect of polymorphic phase transformations in Al2O3 film on oxidation kinetics of aluminum powders. Combust. Flame 2005, 140, 310–318. [Google Scholar] [CrossRef]
- Castellanos, D.; Carreto, V.H.; Mashuga, C.V.; Trottier, R.; Mejia, A.F.; Mannan, M.S. The effect of particle size polydispersity on the explosibility characteristics of aluminum dust. Powder Technol. 2014, 254, 331–337. [Google Scholar] [CrossRef]
- Chen, Y.; Sun, Z.; Hou, Y.; Gao, D.; Li, Z. Hazard identification & risk control in aluminum production. Process Saf. Environ. Prot. 2022, 165, 336–346. [Google Scholar] [CrossRef]
- Sun, J.; Pantoya, M.L.; Simon, S.L. Dependence of size and size distribution on reactivity of aluminum nano-particles in reactions with oxygen and MoO3. Thermochim. Acta 2006, 444, 117–127. [Google Scholar] [CrossRef]
- Schoenitz, M.; Patel, B.; Agboh, O.; Dreizin, E.L. Oxidation of aluminum powders at high heating rates. Thermochim. Acta 2010, 507–508, 115–122. [Google Scholar] [CrossRef]
- Coulet, M.V.; Rufino, B.; Esposito, P.H.; Neisius, T.; Isnard, O.; Denoyel, R. Oxidation mechanism of aluminum nanopowders. J. Phys. Chem. C 2015, 119, 25063–25070. [Google Scholar] [CrossRef]
- Choudhary, K.; Liang, T.; Chernatynskiy, A.; Phillpot, S.R.; Sinnott, S.B. Charge optimized many-body (COMB) potential for Al2O3 materials, interfaces, and nanostructures. J. Phys. Condens. Matter 2015, 27, 305004. [Google Scholar] [CrossRef]
- Qu, J.; Deng, J.; Luo, Z.M.; Xiao, Y.; Shu, C.M. Thermal reaction characteristics and microstructure evolution of aluminium nano-powder in various mixtures of oxygen and nitrogen atmosphere. Process Saf. Environ. Prot. 2023, 170, 45–53. [Google Scholar] [CrossRef]
- Hasani, S.; Panjepour, M.; Shamanian, M. The Oxidation Mechanism of Pure Aluminum Powder Particles. Oxid. Met. 2012, 78, 179–195. [Google Scholar] [CrossRef]
- De Lucia, F.C.; Giri, L. Commercial aluminum powders, Part I: Particle size characterization and slow heating rate thermal analysis. Powder Technol. 2022, 399, 117162. [Google Scholar] [CrossRef]
- Din, R.U.; Piotrowska, K.; Gudla, V.C.; Jellesen, M.S.; Ambat, R. Steam assisted oxide growth on aluminium alloys using oxidative chemistries: Part I Microstructural investigation. Appl. Surf. Sci. 2015, 355, 820–831. [Google Scholar] [CrossRef]
- Finke, J.; Sewerin, F. Combining a population balance approach with detailed chemistry to model the condensation of oxide smoke during aluminum combustion in spatially homogeneous reactors. Combust. Flame 2023, 248, 112510. [Google Scholar] [CrossRef]
- Sun, Y.; Sun, R.; Zhu, B.; Mao, K.; Wu, Y. Thermal reaction mechanisms of nano- and micro-scale aluminum powders in carbon dioxide at low heating rate. J. Therm. Anal. Calorim. 2016, 124, 1727–1734. [Google Scholar] [CrossRef]
- Pisharath, S.; Zhang, F.; Ang, H.G. Influence of passivation on ageing of nano-aluminum: Heat flux calorimetry and microstructural studies. Thermochim. Acta 2016, 635, 59–69. [Google Scholar] [CrossRef]
- Shancita, I.; Altman, I.; Burnett, D.; Zorrilla, E.G.; Garcia, A.R.; Hill, K. Demonstrating an altered metal oxidation reaction mechanism correlated with variations in surface energy. Thermochim Acta 2023, 725, 179521. [Google Scholar] [CrossRef]
- Hasani, S.; Panjepour, M.; Shamanian, M. Non-Isothermal Kinetic Analysis of Oxidation of Pure Aluminum Powder Particles. Oxid Met. 2014, 81, 299–313. [Google Scholar] [CrossRef]







| Index | Oxygen Concentration (vol.%) | Δm (%) | Ts (°C) | (dm/dt)max (%·min−1) |
|---|---|---|---|---|
| 1# | 7 | 6.35 | 568.7 | 0.25 |
| 2# | 11 | 7.46 | 565.9 | 0.29 |
| 3# | 15 | 7.96 | 558.9 | 0.32 |
| 4# | 21 | 8.30 | 564.1 | 0.39 |
| 5# | 30 | 9.10 | 551.6 | 0.41 |
| Experimental Sample | Friedman R2 | Ea (kJ·mol−1) (By Friedman) | LogA (log(s−1)) (By Friedman) |
|---|---|---|---|
| Al + 30 vol%O2 | 0.9948 | 316 | 14.6 |
| Al + 21 vol%O2 | 0.9978 | 320 | 15.7 |
| Al + 15 vol%O2 | 0.9866 | 338 | 18.3 |
| Al + 11 vol%O2 | 0.9983 | 347 | 18.4 |
| Al + 7 vol%O2 | 0.9869 | 348 | 18.7 |
Disclaimer/Publisher’s Note: The statements, opinions and data contained in all publications are solely those of the individual author(s) and contributor(s) and not of MDPI and/or the editor(s). MDPI and/or the editor(s) disclaim responsibility for any injury to people or property resulting from any ideas, methods, instructions or products referred to in the content. |
© 2024 by the authors. Licensee MDPI, Basel, Switzerland. This article is an open access article distributed under the terms and conditions of the Creative Commons Attribution (CC BY) license (https://creativecommons.org/licenses/by/4.0/).
Share and Cite
Zhang, X.; Guo, R.; Feng, X.; Fang, J.; Xu, J.; Wang, X.; Zhang, J. Thermal Oxidation Characteristics and Kinetics of Micron Aluminum Powder in Different Ambient Oxygen Concentration Atmospheres. Processes 2024, 12, 2408. https://doi.org/10.3390/pr12112408
Zhang X, Guo R, Feng X, Fang J, Xu J, Wang X, Zhang J. Thermal Oxidation Characteristics and Kinetics of Micron Aluminum Powder in Different Ambient Oxygen Concentration Atmospheres. Processes. 2024; 12(11):2408. https://doi.org/10.3390/pr12112408
Chicago/Turabian StyleZhang, Xiaoliang, Ronghan Guo, Xiao Feng, Jiawei Fang, Jiaqiang Xu, Xuehui Wang, and Jun Zhang. 2024. "Thermal Oxidation Characteristics and Kinetics of Micron Aluminum Powder in Different Ambient Oxygen Concentration Atmospheres" Processes 12, no. 11: 2408. https://doi.org/10.3390/pr12112408
APA StyleZhang, X., Guo, R., Feng, X., Fang, J., Xu, J., Wang, X., & Zhang, J. (2024). Thermal Oxidation Characteristics and Kinetics of Micron Aluminum Powder in Different Ambient Oxygen Concentration Atmospheres. Processes, 12(11), 2408. https://doi.org/10.3390/pr12112408

