Modeling and Analysis of Distributed Control Systems: Proposal of a Methodology
Abstract
:1. Introduction
2. Modeling of Distributed Control Systems—Fundamental Concepts
2.1. Cyber-Physical Systems and Hybrid Systems
2.2. Modeling of Systems with Discrete Events
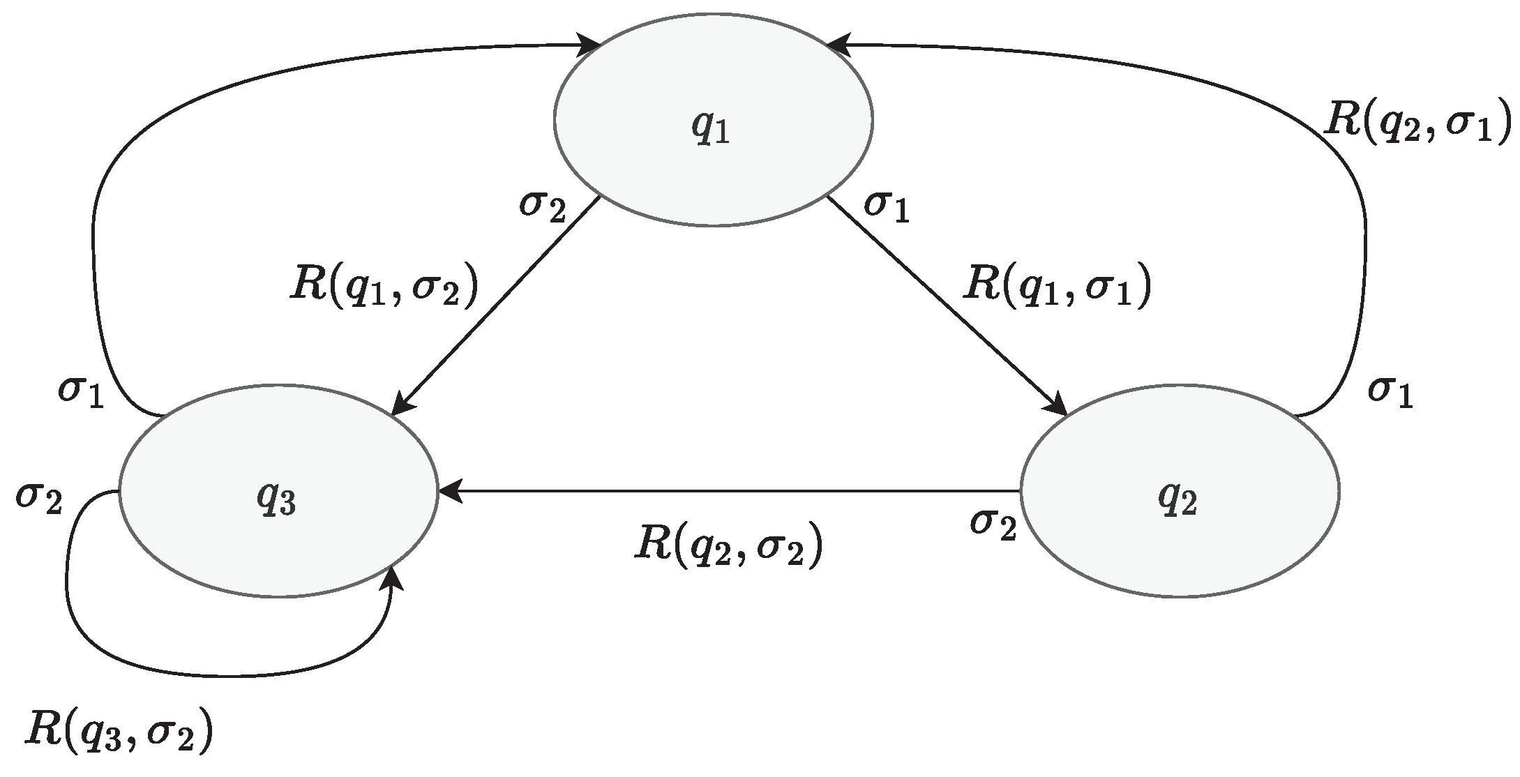
- Q is a finite set of discrete states of the system taking the values ;
 - is a finite set of discrete system inputs taking on values ;
 - is the initial state of the Finite-State Automaton;
 - determines the transition function, which determines the new state based on the ordered pair of the previous state and the input ;
 - is the set of final states of the automaton (can be empty).
 
- S is a finite set of places taking on the values ;
 - T is a finite set of transitions taking the values , where ;
 - is the set of edges (arcs), i.e., the union of sets of edges oriented from places to transitions and from transitions to places;
 - is a function for evaluating network edges with positive weights;
 - is a function determining the maximum capacity of tokens in individual places;
 - is the initial distribution of tokens in the network respecting the constraint for .
 
3. Considered Distributed Control Systems
3.1. The Infrastructure of the Detector Control System of the ALICE Experiment
3.2. Applications of Mobile Robotics within the DCS Infrastructure at the CMCT&II
4. Methodology for Modeling and Analysis of Distributed Control Systems
- A1—Decomposition of the Distributed Control System—in this submodule, the DCS is broken down into elementary communication interfaces and computational processes that can be modeled independently.
 - A2—Analysis of communication interfaces—in this submodule, the functionality of communication interfaces is analyzed in terms of data-flow and the principle of their operation.
 - A3—Analysis of the functionality of system components—in this submodule, the functionality of computational and technical processes is analyzed in terms of data processing complexity.
 
- M1—Creation of a model of communication interfaces—in this submodule, models of communication networks are created in form of Colored Timed Petri nets, based on the analysis of functionality performed in the A2 submodule.
 - M2—Creation of a model of system processes—in this submodule, models of computational and technical processes are created in form of Finite-State Automata, based on the analysis of functionality performed in the A3 submodule.
 - M3—Identification of model parameters—in this submodule, parameters are determined for the created models in terms of data transfer duration or subprocesses execution, based on the analysis performed in submodules A2 and A3, and on the experimentally obtained data.
 - M4—Completion of the system model—in this submodule, a complex model of the DCS, composed of models of communication interfaces and computational processes, is created and the interconnections of individual models are defined based on the analysis performed in A1 submodule.
 
- E1—Validation of the model with experimentally obtained data—in this submodule, the resulting DCS model is validated against the experimentally obtained data. This submodule can be applied if the DCS has already been implemented, at least in part.
 - E2—Evaluation of the model and creation of analyses—in this submodule, the resulting model is used to perform analyses of the DCS, such as determining the throughput and response of the system with respect to various supplied inputs.
 
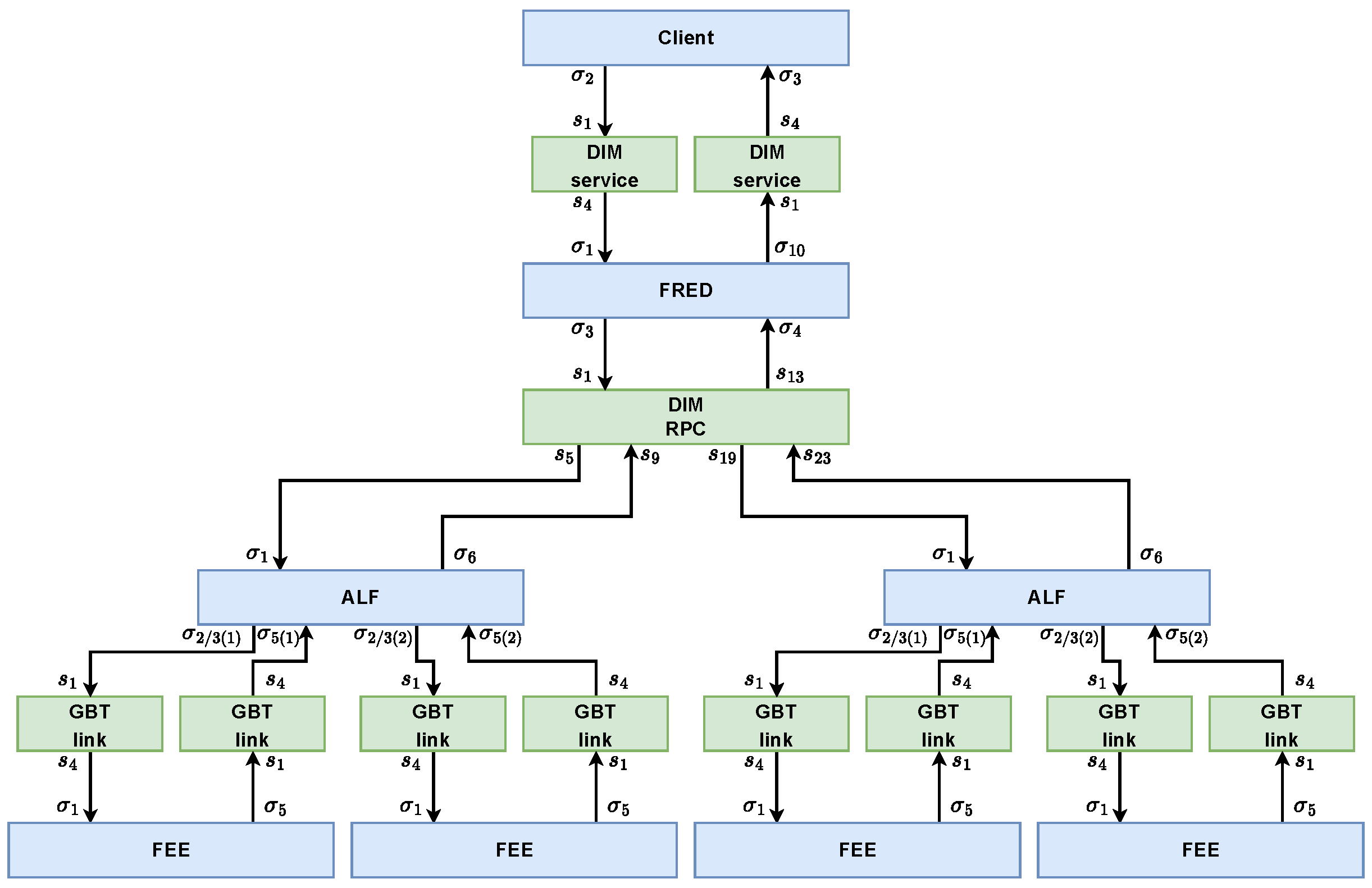
4.1. Scenario 1: ALFRED System Throughput Modeling and Analysis
4.2. Scenario 2: Modeling and Analyzing the Response of a Mobile Robotics Application
5. Conclusions
Author Contributions
Funding
Data Availability Statement
Acknowledgments
Conflicts of Interest
Abbreviations
| input of the system with continuous dynamics | |
| input of the system with discrete dynamics | |
| output of the system with continuous dynamics | |
| output of the system with discrete dynamics | |
| state of the system with continuous dynamics | |
| state of the system with discrete dynamics | |
| X | set of states of the system with continuous dynamics | 
| Q | set of states of the system with discrete dynamics | 
| set of inputs to the system with discrete dynamics | |
| R | set of transitions of the finite state automaton | 
| S | set of places in the Petri net | 
| T | set of transitions in the Petri net | 
| Petri net place | |
| Petri net transition | |
| ALF | ALICE Low-Level Front End | 
| ALFRED | ALICE Low-Level Front End Device | 
| ALICE | A Large Ion Collider Experiment | 
| ALICE-DCS | ALICE Detector Control System | 
| CANALF | CANbus ALICE Low-Level Front End | 
| CERN | Conseil Européen pour la Recherche Nucléaire | 
| (European Organization for Nuclear Research) | |
| CMCT&II | Center of Modern Control Techniques and Industrial Informatics | 
| CPS | Cyber-Physical System | 
| DCS | Distributed Control System | 
| DIM | Distributed Information Management System | 
| FRED | Front End Device | 
| GBT | GigaBit Transceiver | 
| HMI | Human–Machine Interface | 
| ITS | Inner Tracking System | 
| LHC | Large Hadron Collider | 
| RPC | Remote Procedure Call | 
| SCADA | Supervisory Control And Data Acquisition | 
| SWT | Single Word Transaction (communication protocol) | 
| WinCC OA | SCADA and HMI system from Siemens | 
References
- Zhang, X.M.; Han, Q.L.; Ge, X.; Ding, D.; Ding, L.; Yue, D.; Peng, C. Networked control systems: A survey of trends and techniques. IEEE/CAA J. Autom. Sin. 2019, 7, 1–17. [Google Scholar] [CrossRef]
 - Tomura, T.; Uehiro, K.; Kanai, S.; Yamamoto, S. Developing simulation models of open distributed control system by using object-oriented structural and behavioral patterns. In Proceedings of the Fourth IEEE International Symposium on Object-Oriented Real-Time Distributed Computing, ISORC 2001, Magdeburg, Germany, 2–4 May 2001; pp. 428–437. [Google Scholar]
 - Koziorek, J. Design of Distributed Control Systems Based on New International Standards. IFAC Proc. Vol. 2004, 37, 313–318. [Google Scholar] [CrossRef]
 - Cruz, E.M.; Carrillo, L.R.G.; Salazar, L.A.C. Structuring Cyber-Physical Systems for Distributed Control with IEC 61499 Standard. IEEE Lat. Am. Trans. 2023, 21, 251–259. [Google Scholar] [CrossRef]
 - Ge, X.; Yang, F.; Han, Q.L. Distributed networked control systems: A brief overview. Inf. Sci. 2017, 380, 117–131. [Google Scholar] [CrossRef]
 - Himrane, O.; Ourghanlian, A.; Amari, S. Response time evaluation of industrial-scale distributed control systems by discrete event systems formalisms. Int. J. Control 2022, 95, 419–431. [Google Scholar] [CrossRef]
 - Yang, Y.; Zhou, X. Cyber-physical systems modeling based on extended hybrid automata. In Proceedings of the 2013 International Conference on Computational and Information Sciences, Shiyang, China, 21–23 June 2013; pp. 1871–1874. [Google Scholar]
 - Sanfelice, R.G. Analysis and design of cyber-physical systems. A hybrid control systems approach. In Cyber-Physical Systems: From Theory to Practice; CRC Press: Boca Raton, FL, USA, 2016; pp. 1–29. [Google Scholar]
 - Oumeziane, F.A.; Ourghanlian, A.; Amari, S. Analysis of distributed control systems using timed automata with guards and dioid algebra. In Proceedings of the 2020 25th IEEE International Conference on Emerging Technologies and Factory Automation (ETFA), Vienna, Austria, 8–11 September 2020; Volume 1, pp. 1373–1376. [Google Scholar]
 - Li, J.; Wang, Z.; Sun, L.; Wang, W. Modeling and analysis of network control system based on hierarchical coloured Petri net and Markov chain. Discret. Dyn. Nat. Soc. 2021, 2021, 9948855. [Google Scholar] [CrossRef]
 - Baldellon, O.; Fabre, J.C.; Roy, M. Modeling distributed real-time systems using adaptive petri nets. Actes 1re J. 2011, 10, 7–8. [Google Scholar]
 - ALICE Collaboration. Performance of the ALICE experiment at the CERN LHC. Int. J. Mod. Phys. A 2014, 29, 1430044. [Google Scholar] [CrossRef]
 - Augustinus, A.; Chochula, P.; Jirdén, L.; Lechman, M.; Rosinský, P.; Pinazza, O.; De Cataldo, G.; Kurepin, A.; Moreno, A. Computing architecture of the ALICE detector control system. In Proceedings of the 13th International Conference on Accelerator and Large Experimental Physics Control Systems—ICALEPCS 2011, Grenoble, France, 10–14 October 2011; pp. 156–158. [Google Scholar]
 - Bernardini, M.; Foraz, K. Long shutdown 2@ lhc. CERN Yellow Rep. 2016, 2, 290. [Google Scholar]
 - Jadlovský, J.; Jadlovská, A.; Jadlovská, S.; Oravec, M.; Vošček, D.; Kopčík, M.; Čabala, J.; Tkáčik, M.; Chochula, P.; Pinazza, O. Communication architecture of the Detector Control System for the Inner Tracking System. In Proceedings of the 16th International Conference on Accelerator and Large Experimental Physics Control Systems (ICALEPCS 2017), Barcelona, Spain, 8–13 October 2017; p. THPHA208. [Google Scholar] [CrossRef]
 - Chochula, P.; Augustinus, A.; Kurepin, A.; Lechman, M.; Pinazza, O.; Rosinský, P.; Kurepin, A.N.; Pinazza, O. Operational experience with the ALICE Detector Control System. In Proceedings of the 14th International Conference on Accelerator & Large Experimental Physics Control Systems, ICALEPCS, San Francisco, CA, USA, 6–11 October 2013. [Google Scholar]
 - Jadlovská, A.; Jadlovská, S.; Vošček, D. Cyber-physical system implementation into the distributed control system. IFAC-PapersOnLine 2016, 49, 31–36. [Google Scholar] [CrossRef]
 - Jadlovský, J.; Čopík, M.; Papcun, P. Distributed Control Systems (In Slovak: Distribuované Systémy Riadenia); Elfa: Košice, Slovakia, 2013. [Google Scholar]
 - Frey, G.; Hussain, T. Modeling techniques for distributed control systems based on the IEC 61499 standard-current approaches and open problems. In Proceedings of the 2006 8th International Workshop on Discrete Event Systems, Ann Arbor, MI, USA, 10–12 July 2006; pp. 176–181. [Google Scholar]
 - Luder, A.; Hundt, L.; Biffl, S. On the suitability of modeling approaches for engineering distributed control systems. In Proceedings of the 2009 7th IEEE International Conference on Industrial Informatics, Cardiff, UK, 23–26 June 2009; pp. 440–445. [Google Scholar]
 - Jazdi, N. Cyber physical systems in the context of Industry 4.0. In Proceedings of the 2014 IEEE International Conference on Automation, Quality and Testing, Robotics, Cluj-Napoca, Romania, 22–24 May 2014; pp. 1–4. [Google Scholar]
 - Rajkumar, R.; Lee, I.; Sha, L.; Stankovic, J. Cyber-physical systems: The next computing revolution. In Proceedings of the Design Automation Conference, Anaheim, CA, USA, 13–18 June 2010; pp. 731–736. [Google Scholar]
 - Holecko, P. Overview of distributed control systems formalisms. Adv. Electr. Electron. Eng. 2011, 7, 253–256. [Google Scholar]
 - IEC 62264-1:2013 Enterprise-Control System Integration—Part 1: Models and Terminology. Available online: https://webstore.iec.ch/publication/6675 (accessed on 8 October 2023).
 - Martinez, E.M.; Ponce, P.; Macias, I.; Molina, A. Automation pyramid as constructor for a complete digital twin, case study: A didactic manufacturing system. Sensors 2021, 21, 4656. [Google Scholar] [CrossRef] [PubMed]
 - Apilioğulları, L. Digital transformation in project-based manufacturing: Developing the ISA-95 model for vertical integration. Int. J. Prod. Econ. 2022, 245, 108413. [Google Scholar] [CrossRef]
 - Jadlovský, J.; Jadlovská, A.; Jadlovská, S.; Čerkala, J.; Kopčík, M.; Čabala, J.; Oravec, M.; Varga, M.; Vošček, D. Research activities of the center of modern control techniques and industrial informatics. In Proceedings of the 2016 IEEE 14th International Symposium on Applied Machine Intelligence and Informatics (SAMI), Herlany, Slovakia, 21–23 January 2016; pp. 279–285. [Google Scholar]
 - Van Der Schaft, A.J.; Schumacher, J.M. An Introduction to Hybrid Dynamical Systems; Springer: London, UK, 2000; Volume 251. [Google Scholar]
 - Lunze, J.; Lamnabhi-Lagarrigue, F. Handbook of Hybrid Systems Control: Theory, Tools, Applications; Cambridge University Press: Cambridge, UK, 2009. [Google Scholar]
 - Hopcroft, J.E.; Motwani, R.; Ullman, J.D. Introduction to automata theory, languages, and computation. ACM Sigact News 2001, 32, 60–65. [Google Scholar] [CrossRef]
 - Reisig, W. Petri Nets: An Introduction; Springer: Berlin/Heidelberg, Germany, 2012; Volume 4. [Google Scholar]
 - Jamro, M.; Rzonca, D.; Rząsa, W. Testing communication tasks in distributed control systems with SysML and Timed Colored Petri Nets model. Comput. Ind. 2015, 71, 77–87. [Google Scholar] [CrossRef]
 - Moreno, R.P.; Tardioli, D.; Salcedo, J.L.V. Distributed implementation of discrete event control systems based on Petri nets. In Proceedings of the 2008 IEEE International Symposium on Industrial Electronics, Cambridge, UK, 30 June–2 July 2008; pp. 1738–1745. [Google Scholar]
 - Ghanaim, A.; Borges, G.A.; Frey, G. Estimating delays in networked control systems using colored Petri nets and Markov chain models. In Proceedings of the 2009 IEEE Conference on Emerging Technologies & Factory Automation, Palma de Mallorca, Spain, 22–25 September 2009; pp. 1–6. [Google Scholar]
 - Louis, B.D.S.; Alain, O.; Saïd, A. Delays Evaluation of Networked Control System Switches using Timed Coloured Petri Nets and Formal Series. In Proceedings of the 2023 IEEE 28th International Conference on Emerging Technologies and Factory Automation (ETFA), Sinaia, Romania, 12–15 September 2023; pp. 1–8. [Google Scholar]
 - Aamodt, K.; Quintana, A.A.; Achenbach, R.; Acounis, S.; Adamová, D.; Adler, C.; Aggarwal, M.; Agnese, F.; Rinella, G.A.; Ahammed, Z.; et al. The ALICE experiment at the CERN LHC. J. Instrum. 2008, 3, S08002. [Google Scholar] [CrossRef]
 - Chochula, P.; Jirden, L.; Augustinus, A.; De Cataldo, G.; Torcato, C.; Rosinsky, P.; Wallet, L.; Boccioli, M.; Cardoso, L. The ALICE detector control system. IEEE Trans. Nucl. Sci. 2010, 57, 472–478. [Google Scholar] [CrossRef]
 - Huang, J.; Saiz, P.; Betev, L.; Carminati, F.; Grigoras, C.; Schreiner, S.; Zhu, J. Grid Architecture and implementation for ALICE experiment. In Proceedings of the 16th International Conference on Advanced Communication Technology, Pyeongchang, Republic of Korea, 16–19 February 2014; pp. 253–261. [Google Scholar]
 - Moreira, P.; Ballabriga, R.; Baron, S.; Bonacini, S.; Cobanoglu, O.; Faccio, F.; Fedorov, T.; Francisco, R.; Gui, P.; Hartin, P.; et al. The GBT Project. In Proceedings of the Topical Workshop on Electronics for Particle Physics, Paris, France, 21–25 September 2009; pp. 342–346. [Google Scholar] [CrossRef]
 - Gaspar, C.; Dönszelmann, M.; Charpentier, P. DIM, a portable, light weight package for information publishing, data transfer and inter-process communication. Comput. Phys. Commun. 2001, 140, 102–109. [Google Scholar] [CrossRef]
 - Tkáčik, M.; Jadlovský, J.; Jadlovská, S.; Koska, L.; Jadlovská, A.; Donadoni, M. FRED—Flexible Framework for Frontend Electronics Control in ALICE Experiment at CERN. Processes 2020, 8, 565. [Google Scholar] [CrossRef]
 - Gaspar, C.; Franek, B. Tools for the automation of large distributed control systems. IEEE Trans. Nucl. Sci. 2006, 53, 974–979. [Google Scholar] [CrossRef]
 - De Cataldo, G.; Augustinus, A.; Boccioli, M.; Chochula, P.; Jirdén, L.S. Finite state machines for integration and control in ALICE. In Proceedings of the ICALEPCS07, Knoxville, TN, USA, 15–19 October 2007. [Google Scholar]
 - Chochula, P.; Augustinus, A.; Bond, P.; Kurepin, A.; Lechman, M.; Lã, J.; Pinazza, O. Challenges of the ALICE Detector Control System for the LHC RUN3. In Proceedings of the 16th International Conference on Accelerator and Large Experimental Physics Control Systems, ICALEPCS, Barcelona, Spain, 8–13 October 2017. [Google Scholar]
 - Santos, J.M.; Portugal, D.; Rocha, R.P. An evaluation of 2D SLAM techniques available in robot operating system. In Proceedings of the 2013 IEEE International Symposium on Safety, Security, and Rescue Robotics (SSRR), Linköping, Sweden, 21–26 October 2013; pp. 1–6. [Google Scholar]
 - Sechenev, S.; Ryadchikov, I.; Gusev, A.; Lampezhev, A.; Nikulchev, E. Development of a design methodology for cloud distributed control systems of mobile robots. J. Sens. Actuator Netw. 2021, 11, 1. [Google Scholar] [CrossRef]
 - Agrawal, S.; Jain, S.K.; Ibeke, E. An orchestrator for networked control systems and its application to collision avoidance in multiple mobile robots. Int. J. Eng. Syst. Model. Simul. 2021, 12, 103–110. [Google Scholar] [CrossRef]
 - Jadlovský, J.; Kopčík, M. Distributed control system for mobile robots with differential drive. In Proceedings of the 2016 Cybernetics & Informatics (K&I), Levoca, Slovakia, 2–5 February 2016; pp. 1–5. [Google Scholar]
 - Jadlovská, A.; Jadlovský, J.; Jadlovská, S.; Čerkala, J.; Kopčík, M.; Čabala, J.; Oravec, M.; Varga, M.; Vošček, D.; Tkáčik, M.; et al. Proposal of a methodology for modeling, control, simulation and non-destructive diagnosis of mobile robots (In Slovak: Návrh metodiky pre modelovanie, riadenie, simuláciu a nedeštruktívnu diagnostiku mobilných robotov). Strojárstvo/Strojírenství Eng. Mag. 2017, XXI, 1–9. [Google Scholar]
 - Tkáčik, M.; Březina, A.; Jadlovská, S. Design of a Prototype for a Modular Mobile Robotic Platform. IFAC-PapersOnLine 2019, 52, 192–197. [Google Scholar] [CrossRef]
 - Sahraoui, Z.; Labed, A. Methodology for fast prototyping of distributed real-time systems. In Proceedings of the 2022 5th International Symposium on Informatics and its Applications (ISIA), M’sila, Algeria, 29–30 November 2022; pp. 1–6. [Google Scholar]
 - Lora, M.; Muradore, R.; Reffato, R.; Fummi, F. Simulation alternatives for modeling networked cyber-physical systems. In Proceedings of the 2014 17th Euromicro Conference on Digital System Design, Verona, Italy, 27–29 August 2014; pp. 262–269. [Google Scholar]
 - Imama, K.G.; Ourghanlian, A.; Amari, S. Modeling Distributed Control Systems response time: From theory to measures. In Proceedings of the 2020 IEEE 16th International Conference on Control & Automation (ICCA), Singapore, 9–11 October 2020; pp. 696–701. [Google Scholar]
 - dit Sollier, L.B.; Ourghanlian, A.; Amari, S. Coloured Petri Nets for Temporal Performance Evaluation of Distributed Control Systems—Application to a FIFO Queue. IEEE Robot. Autom. Lett. 2022, 7, 11268–11274. [Google Scholar] [CrossRef]
 - Tkáčik, M. Methods and Tools for Design, Modeling and Realization of Distributed Control Systems of Large Physical Experiments (In Slovak: Metódy a Prostriedky Pre Návrh, Modelovanie a Realizáciu Distribuovaných Systémov Riadenia Vel’kých Fyzikálnych Experimentov). Ph.D. Thesis, Department of Cybernetics and Artificial Inteligence, Technical University of Košice, Košice, Slovakia, 2023. [Google Scholar]
 






















Disclaimer/Publisher’s Note: The statements, opinions and data contained in all publications are solely those of the individual author(s) and contributor(s) and not of MDPI and/or the editor(s). MDPI and/or the editor(s) disclaim responsibility for any injury to people or property resulting from any ideas, methods, instructions or products referred to in the content.  | 
© 2023 by the authors. Licensee MDPI, Basel, Switzerland. This article is an open access article distributed under the terms and conditions of the Creative Commons Attribution (CC BY) license (https://creativecommons.org/licenses/by/4.0/).
Share and Cite
Tkáčik, M.; Jadlovský, J.; Jadlovská, S.; Jadlovská, A.; Tkáčik, T. Modeling and Analysis of Distributed Control Systems: Proposal of a Methodology. Processes 2024, 12, 5. https://doi.org/10.3390/pr12010005
Tkáčik M, Jadlovský J, Jadlovská S, Jadlovská A, Tkáčik T. Modeling and Analysis of Distributed Control Systems: Proposal of a Methodology. Processes. 2024; 12(1):5. https://doi.org/10.3390/pr12010005
Chicago/Turabian StyleTkáčik, Milan, Ján Jadlovský, Slávka Jadlovská, Anna Jadlovská, and Tomáš Tkáčik. 2024. "Modeling and Analysis of Distributed Control Systems: Proposal of a Methodology" Processes 12, no. 1: 5. https://doi.org/10.3390/pr12010005
APA StyleTkáčik, M., Jadlovský, J., Jadlovská, S., Jadlovská, A., & Tkáčik, T. (2024). Modeling and Analysis of Distributed Control Systems: Proposal of a Methodology. Processes, 12(1), 5. https://doi.org/10.3390/pr12010005
        
