Transfer Learning and Interpretable Analysis-Based Quality Assessment of Synthetic Optical Coherence Tomography Images by CGAN Model for Retinal Diseases
Abstract
1. Introduction
- (1)
- A modified CGAN network is adopted to synthesize retinal OCT images for data augmentation.
- (2)
- Transfer learning is innovatively used as a quality evaluation mechanism for the generated image of CGAN.
- (3)
- Interpretable analysis approaches (GardCAM, LIME, and occlusion) are introduced for assessing the quality of retinal OCT pictures created by CGAN.
- (4)
- Theoretical results demonstrate that high-quality retinal OCT pictures generated by CGAN may function as a medical dataset.
2. Theoretical Background
Conditional Generative Adversarial Networks
3. Proposed Framework
3.1. Data Pre-Processing
3.2. Modified CGAN
4. Model Experiment
4.1. Retinal Dataset
4.2. Experiment Results
5. CGAN Synthetic Image Quality Assessment
5.1. Transfer Learning-Based OCT Image Quality Assessment of Synthetic Retinal Diseases
5.1.1. Quality Assessment Models Based on Transfer Learning
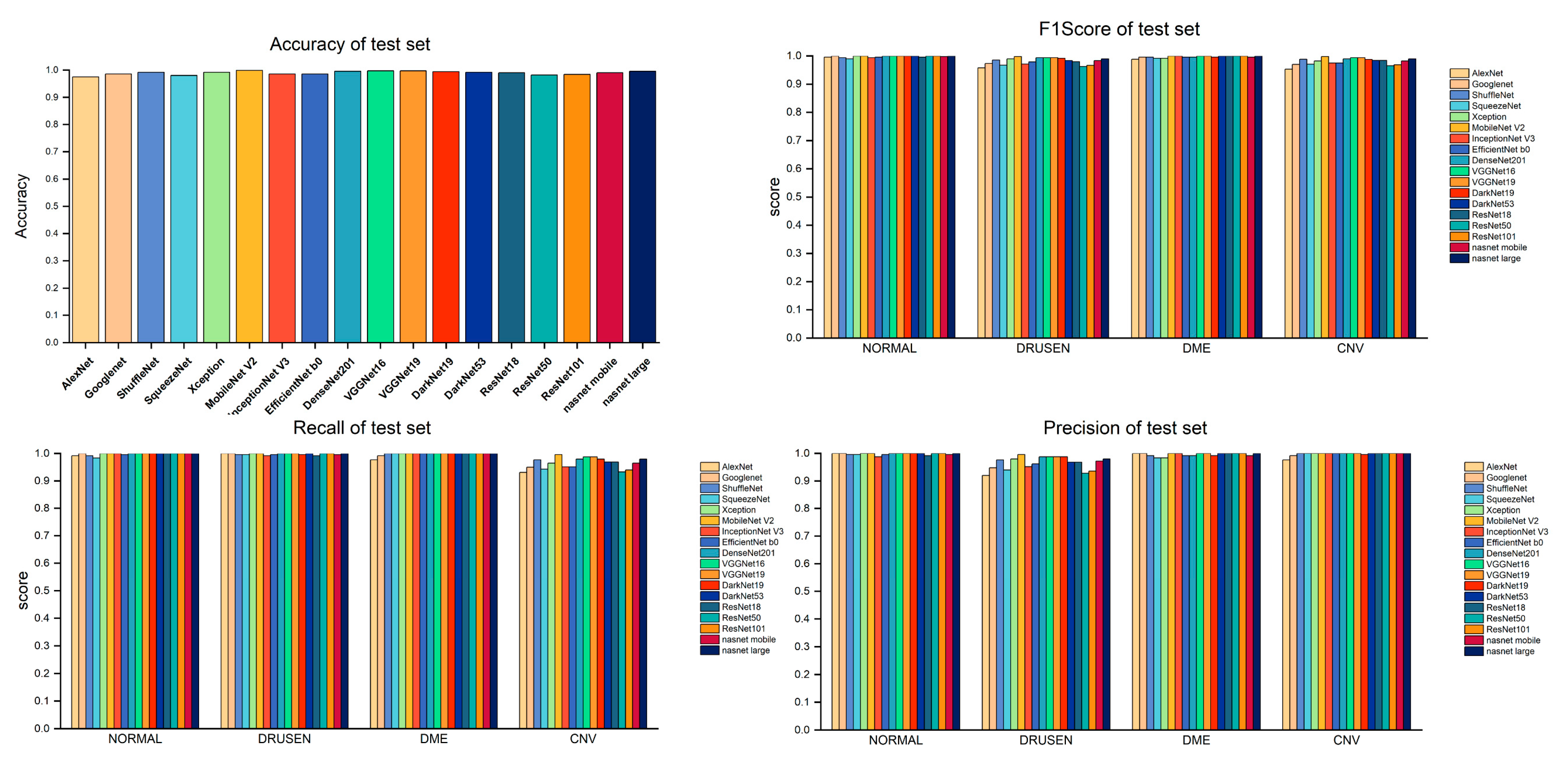
5.1.2. Experimental Result
5.1.3. Accuracy and Assessment
5.2. OCT Image Quality Assessment of Synthetic Retinal Diseases Based on Interpretable Analysis Methods
5.2.1. Interpretable Analysis Method
5.2.2. Image Quality Assessment
6. Conclusions
Author Contributions
Funding
Data Availability Statement
Conflicts of Interest
References
- Laíns, I.; Wang, J.C.; Cui, Y.; Katz, R.; Vingopoulos, F.; Staurenghi, G.; Vavvas, D.G.; Miller, J.W.; Miller, J.B. Retinal applications of swept source optical coherence tomography (OCT) and optical coherence tomography angiography (OCTA). Prog. Retin. Eye Res. 2021, 84, 100951. [Google Scholar] [CrossRef] [PubMed]
- Huang, D.; Swanson, E.A.; Lin, C.P.; Schuman, J.S.; Stinson, W.G.; Chang, W.; Hee, M.R.; Flotte, T.; Gregory, K.; Puliafito, C.A.; et al. Optical coherence tomography. Science 1991, 254, 1178–1181. [Google Scholar] [CrossRef] [PubMed]
- Yang, Z.; Shang, J.; Liu, C.; Zhang, J.; Liang, Y. Identification of oral precancerous and cancerous tissue by swept source optical coherence tomography. Lasers Surg. Med. 2022, 54, 320–328. [Google Scholar] [CrossRef] [PubMed]
- Kuranov, R.V.; Qiu, J.; McElroy, A.B.; Estrada, A.; Salvaggio, A.; Kiel, J.; Dunn, A.K.; Duong, T.Q.; Milner, T.E. Depth-resolved blood oxygen saturation measurement by dual-wavelength photothermal (DWP) optical coherence tomography. Biomed. Opt. Express 2011, 2, 491–504. [Google Scholar] [CrossRef][Green Version]
- Li, T.; Bo, W.; Hu, C.; Kang, H.; Liu, H.; Wang, K.; Fu, H. Applications of deep learning in fundus images: A review. Med. Image Anal. 2021, 69, 101971. [Google Scholar] [CrossRef] [PubMed]
- Mitchell, P.; Liew, G.; Gopinath, B.; Wong, T.Y. Age-related macular degeneration. Lancet 2018, 392, 1147–1159. [Google Scholar] [CrossRef] [PubMed]
- Grossniklaus, H.E.; Green, W.R. Choroidal neovascularization. Am. J. Ophthalmol. 2004, 137, 496–503. [Google Scholar] [CrossRef]
- Bhagat, N.; Grigorian, R.A.; Tutela, A.; Zarbin, M.A. Diabetic macular edema: Pathogenesis and treatment. Surv. Ophthalmol. 2009, 54, 1–32. [Google Scholar] [CrossRef]
- Uddin, S.; Khan, A.; Hossain, E.; Moni, M.A. Comparing different supervised machine learning algorithms for disease prediction. BMC Med. Inform. Decis. Mak. 2019, 19, 281. [Google Scholar] [CrossRef]
- LeCun, Y.; Bengio, Y.; Hinton, G. Deep learning. Nature 2015, 521, 436–444. [Google Scholar] [CrossRef]
- Guo, Y.; Liu, Y.; Oerlemans, A.; Lao, S.; Wu, S.; Lew, M.S. Deep learning for visual understanding: A review. Neurocomputing 2016, 187, 27–48. [Google Scholar] [CrossRef]
- Shanthi, T.; Sabeenian, R.S. Modified Alexnet architecture for classification of diabetic retinopathy images. Comput. Electr. Eng. 2019, 76, 56–64. [Google Scholar] [CrossRef]
- Subrahmanyeswara, R.B. Accurate leukocoria predictor based on deep VGG-net CNN technique. IET Image Process. 2020, 14, 2241–2248. [Google Scholar] [CrossRef]
- Choudhry, Z.A.; Shahid, H.; Aziz, S.; Naqvi, S.Z.H.; Khan, M.U. DarkNet-19 Based Intelligent Diagnostic System for Ocular Diseases. Iran. J. Sci. Technol. Trans. Electr. Eng. 2022, 46, 959–970. [Google Scholar] [CrossRef]
- Kamble, R.M.; Chan, G.C.Y.; Perdomo, O.; Kokare, M.; Gonzalez, F.A.; Muller, H.; Meriaudeau, F. Automated diabetic macular edema (DME) analysis using fine tuning with inception-resnet-v2 on OCT images. In Proceedings of the 2018 IEEE-EMBS Conference on Biomedical Engineering and Sciences (IECBES), Sarawak, Malaysia, 3–6 December 2018; IEEE: Piscataway, NJ, USA, 2018; pp. 442–446. [Google Scholar] [CrossRef]
- Santos-Bustos, D.F.; Nguyen, B.M.; Espitia, H.E. Towards automated eye cancer classification via VGG and ResNet networks using transfer learning. Eng. Sci. Technol. Int. J. 2022, 2022, 101214. [Google Scholar] [CrossRef]
- Abbas, Q.; Qureshi, I.; Ibrahim, M.E. An automatic detection and classification system of five stages for hypertensive retinopathy using semantic and instance segmentation in DenseNet architecture. Sensors 2021, 21, 6936. [Google Scholar] [CrossRef]
- Ubaidah, I.D.W.S.; Fu’Adah, Y.; Sa’Idah, S.; Magdalena, R.; Wiratama, A.B.; Simanjuntak, R.B.J. Classification of Glaucoma in Fundus Images Using Convolutional Neural Network with MobileNet Architecture. In Proceedings of the 2022 1st International Conference on Information System & Information Technology (ICISIT), Yogyakarta, Indonesia, 27–28 July 2022; IEEE: Piscataway, NJ, USA, 2022; pp. 198–203. [Google Scholar] [CrossRef]
- Lee, J.; Kim, Y.K.; Park, K.H.; Jeoung, J.W. Diagnosing glaucoma with spectral-domain optical coherence tomography using deep learning classifier. J. Glaucoma 2020, 29, 287–294. [Google Scholar] [CrossRef]
- Salma, A.; Bustamam, A.; Sarwinda, D. Diabetic Retinopathy Detection Using GoogleNet Architecture of Convolutional Neural Network through Fundus Images. Nusant. Sci. Technol. Proc. 2021, 2021, 1–6. [Google Scholar] [CrossRef]
- Saleh, N.; Abdel Wahed, M.; Salaheldin, A.M. Transfer learning-based platform for detecting multi-classification retinal disorders using optical coherence tomography images. Int. J. Imaging Syst. Technol. 2022, 32, 740–752. [Google Scholar] [CrossRef]
- Kermany, D.S.; Goldbaum, M.; Cai, W.; Valentim, C.C.S.; Liang, H.; Baxter, S.L.; McKeown, A.; Yang, G.; Wu, X.; Yan, F.; et al. Identifying medical diagnoses and treatable diseases by image-based deep learning. Cell 2018, 172, 1122–1131. [Google Scholar] [CrossRef]
- Goddard, M. The EU General Data Protection Regulation (GDPR): European regulation that has a global impact. Int. J. Mark. Res. 2017, 59, 703–705. [Google Scholar] [CrossRef]
- Kuwayama, S.; Ayatsuka, Y.; Yanagisono, D.; Uta, T.; Usui, H.; Kato, A.; Takase, N.; Ogura, Y.; Yasukawa, T. Automated detection of macular diseases by optical coherence tomography and artificial intelligence machine learning of optical coherence tomography images. J. Ophthalmol. 2019, 2019, 6319581. [Google Scholar] [CrossRef]
- Goodfellow, I.; Pouget-Abadie, J.; Mirza, M.; Xu, B.; Warde-Farley, D.; Ozair, S.; Courville, A.; Bengio, Y. Generative adversarial networks. Commun. ACM 2020, 63, 139–144. [Google Scholar] [CrossRef]
- Liu, Y.C.; Yang, H.H.; Huck Yang, C.H.; Huang, J.H.; Tian, M.; Morikawa, H.; Tsai, Y.C.J.; Tegner, J. Synthesizing new retinal symptom images by multiple generative models. In Proceedings of the 14th Asian Conference on Computer Vision, Perth, Australia, 2–6 December 2018; Springer: Berlin/Heidelberg, Germany, 2018; pp. 235–250. [Google Scholar] [CrossRef]
- Yanagihara, R.T.; Lee, C.S.; Ting, D.S.W.; Lee, A.Y. Methodological challenges of deep learning in optical coherence tomography for retinal diseases: A review. Transl. Vis. Sci. Technol. 2020, 9, 11. [Google Scholar] [CrossRef] [PubMed]
- Burlina, P.M.; Joshi, N.; Pacheco, K.D.; Liu, T.Y.A.; Bressler, N.M. Assessment of deep generative models for high-resolution synthetic retinal image generation of age-related macular degeneration. JAMA Ophthalmol. 2019, 137, 258–264. [Google Scholar] [CrossRef] [PubMed]
- Zheng, R.; Liu, L.; Zhang, S.; Zheng, C.; Bunyak, F.; Xu, R.; Li, B.; Sun, M. Detection of exudates in fundus photographs with imbalanced learning using conditional generative adversarial network. Biomed. Opt. Express 2018, 9, 4863–4878. [Google Scholar] [CrossRef]
- Tajmirriahi, M.; Kafieh, R.; Amini, Z.; Lakshminarayanan, V. A Dual-Discriminator Fourier Acquisitive GAN for Generating Retinal Optical Coherence Tomography Images. IEEE Trans. Instrum. Meas. 2022, 71, 5015708. [Google Scholar] [CrossRef]
- Seo, J.; Kang, J.-S.; Park, G.-M. LFS-GAN: Lifelong Few-Shot Image Generation. In Proceedings of the IEEE/CVF International Conference on Computer Vision (ICCV), Paris, France, 2–3 October 2023. [Google Scholar] [CrossRef]
- You, A.; Kim, J.K.; Ryu, I.H.; Yoo, T.K. Application of generative adversarial networks (GAN) for ophthalmology image domains: A survey. Eye Vis. 2022, 9, 6. [Google Scholar] [CrossRef]
- Liu, S.; Hu, W.; Xu, F.; Chen, W.; Liu, J.; Yu, X.; Wang, Z.; Li, Z.; Li, Z.; Yang, X.; et al. Prediction of OCT images of short-term response to anti-VEGF treatment for diabetic macular edema using different generative adversarial networks. Photodiagn. Photodyn. Ther. 2023, 41, 103272. [Google Scholar] [CrossRef]
- Yu, X.; Li, M.; Ge, C.; Shum, P.P.; Chen, J.; Liu, L. A generative adversarial network with multi-scale convolution and dilated convolution res-network for OCT retinal image despeckling. Biomed. Signal Process. Control 2023, 80, 104231. [Google Scholar] [CrossRef]
- Khalifa, N.E.; Loey, M.; Mirjalili, S. A comprehensive survey of recent trends in deep learning for digital images augmentation. Artif. Intell. Rev. 2021, 2021, 2351–2377. [Google Scholar] [CrossRef] [PubMed]
- Mirza, M.; Osindero, S. Conditional generative adversarial nets. arXiv 2014, arXiv:1411.1784. [Google Scholar] [CrossRef]
- Weiss, K.; Khoshgoftaar, T.M.; Wang, D. A survey of transfer learning. J. Big Data 2016, 3, 9. [Google Scholar] [CrossRef]
- Selvaraju, R.R.; Cogswell, M.; Das, A. Grad-cam: Visual explanations from deep networks via gradient-based localization. In Proceedings of the IEEE International Conference on Computer Vision, Venice, Italy, 22–29 October 2017; pp. 618–626. [Google Scholar] [CrossRef]
- Zeiler, M.D.; Fergus, R. Visualizing and understanding convolutional networks. In Proceedings of the European Conference on Computer Vision, Zurich, Switzerland, 6–12 September 2014; Springer: Berlin/Heidelberg, Germany, 2014; pp. 818–833. [Google Scholar] [CrossRef]
- Ribeiro, M.T.; Singh, S.; Guestrin, C. “Why should I trust you?” Explaining the predictions of any classifier. In Proceedings of the 22nd ACM SIGKDD International Conference on Knowledge Discovery and Data Mining, San Francisco, CA, USA, 13–17 August 2016; pp. 1135–1144. [Google Scholar] [CrossRef]
- Singh, A.; Sengupta, S.; Lakshminarayanan, V. Explainable deep learning models in medical image analysis. J. Imaging 2020, 6, 52. [Google Scholar] [CrossRef] [PubMed]
- Kermany, D.; Zhang, K.; Goldbaum, M. Large dataset of labeled optical coherence tomography (OCT) and chest x-ray images. Mendeley Data 2018, 3, 10.17632. [Google Scholar] [CrossRef]
- Kingma, D.P.; Ba, J. Adam: A method for stochastic optimization. arXiv 2014, arXiv:1412.6980. [Google Scholar] [CrossRef]
- Qian, N. On the momentum term in gradient descent learning algorithms. Neural Netw. 1999, 12, 145–151. [Google Scholar] [CrossRef]
- Krizhevsky, A.; Sutskever, I.; Hinton, G.E. Imagenet classification with deep convolutional neural networks. Commun. ACM 2017, 60, 84–90. [Google Scholar] [CrossRef]
- Szegedy, C.; Liu, W.; Jia, Y.; Sermanet, P.; Reed, S.; Anguelov, D.; Erhan, D.; Vanhoucke, V.; Rabinovich, A.; Liu, W.; et al. Going deeper with convolutions. In Proceedings of the IEEE Conference on Computer Vision and Pattern Recognition, Boston, MA, USA, 7–12 June 2015; pp. 1–9. [Google Scholar] [CrossRef]
- Zhang, X.; Zhou, X.; Lin, M.; Sun, J. Shufflenet: An extremely efficient convolutional neural network for mobile devices. In Proceedings of the IEEE Conference on Computer Vision and Pattern Recognition, Salt Lake City, UT, USA, 18–23 June 2018; pp. 6848–6856. [Google Scholar] [CrossRef]
- Iandola, F.N.; Han, S.; Moskewicz, M.W.; Ashraf, K.; Dally, W.J.; Keutzer, K. SqueezeNet: AlexNet-level accuracy with 50x fewer parameters and <0.5 MB model size. arXiv 2016, arXiv:1602.07360. [Google Scholar] [CrossRef]
- Chollet, F. Xception: Deep learning with depthwise separable convolutions. In Proceedings of the IEEE Conference on Computer Vision and Pattern Recognition, Honolulu, HI, USA, 21–26 July 2017; pp. 1251–1258. [Google Scholar] [CrossRef]
- Sandler, M.; Howard, A.; Zhu, M.; Zhmoginov, A.; Chen, L. Mobilenetv2, Inverted residuals and linear bottlenecks. In Proceedings of the IEEE Conference on Computer Vision and Pattern Recognition, Salt Lake City, UT, USA, 18–23 June 2018; pp. 4510–4520. [Google Scholar] [CrossRef]
- Szegedy, C.; Vanhoucke, V.; Ioffe, S.; Shlens, J.; Wojna, Z. Rethinking the inception architecture for computer vision. In Proceedings of the IEEE Conference on Computer Vision and Pattern Recognition, Las Vegas, NV, USA, 27–30 June 2016; pp. 2818–2826. [Google Scholar] [CrossRef]
- Tan, M.; Le, Q. Efficientnet: Rethinking model scaling for convolutional neural networks. In Proceedings of the International Conference on Machine Learning (PMLR), Long Beach, CA, USA, 9–15 June 2019; pp. 6105–6114. [Google Scholar]
- Huang, G.; Liu, Z.; Van Der Maaten, L.; Weinberger, K.Q. Densely connected convolutional networks. In Proceedings of the IEEE Conference on Computer Vision and Pattern Recognition, Honolulu, HI, USA, 21–26 July 2017; pp. 4700–4708. [Google Scholar]
- Simonyan, K.; Zisserman, A. Very deep convolutional networks for large-scale image recognition. arXiv 2014, arXiv:1409.1556. [Google Scholar] [CrossRef]
- Redmon, J.; Farhadi, A. YOLO9000, better, faster, stronger. In Proceedings of the IEEE Conference on Computer Vision and Pattern Recognition, Honolulu, HI, USA, 21–26 July 2017; pp. 7263–7271. [Google Scholar] [CrossRef]
- Redmon, J.; Farhadi, A. Yolov3, An incremental improvement. arXiv 2018, arXiv:1804.02767. [Google Scholar] [CrossRef]
- He, K.; Zhang, X.; Ren, S.; Sun, J. Deep residual learning for image recognition. In Proceedings of the IEEE Conference on Computer Vision and Pattern Recognition, Las Vegas, NV, USA, 27–30 June 2016; pp. 770–778. [Google Scholar]
- Zoph, B.; Vasudevan, V.; Shlens, J.; Le, Q.V. Learning transferable architectures for scalable image recognition. In Proceedings of the IEEE Conference on Computer Vision and Pattern Recognition, Salt Lake City, UT, USA, 18–23 June 2018; pp. 8697–8710. [Google Scholar] [CrossRef]
- Goutte, C.; Gaussier, E. A probabilistic interpretation of precision, recall and F-score, with implication for evaluation. In Proceedings of the 27th European Conference on Information Retrieval, Santiago de Compostela, Spain, 21–23 March 2005; Springer: Berlin/Heidelberg, Germany, 2005; pp. 345–359. [Google Scholar] [CrossRef]
- Zhou, B.; Khosla, A.; Lapedriza, A.; Oliva, A.; Torralba, A. Learning deep features for discriminative localization. In Proceedings of the IEEE Conference on Computer Vision and Pattern Recognition, Las Vegas, NV, USA, 27–30 June 2016; pp. 2921–2929. [Google Scholar] [CrossRef]













| Dataset | Normal | Drusen | DME | CNV |
|---|---|---|---|---|
| Real Dataset [42] | 51,140 | 8616 | 11,348 | 37,105 |
| Generate Dataset | 102,400 | 102,400 | 102,400 | 102,400 |
| Hybrid Dataset | 153,540 | 111,016 | 113,748 | 139,605 |
| Network | Input | Layer | Batch Size | Epoch | Learning Rate | Momentum | Optimizer | Time(Min) |
|---|---|---|---|---|---|---|---|---|
| AlexNet [45] | 227 × 227 × 3 | 8 | 64 | 6 | 0.001 | 0.9 | sgdm | 32 |
| Googlenet [46] | 224 × 224 × 3 | 22 | 64 | 6 | 0.001 | 0.9 | sgdm | 46 |
| ShuffleNet [47] | 224 × 224 × 3 | 50 | 64 | 6 | 0.001 | 0.9 | sgdm | 89 |
| SqueezeNet [48] | 227 × 227 × 3 | 18 | 64 | 6 | 0.001 | 0.9 | sgdm | 25 |
| Xception [49] | 299 × 299 × 3 | 71 | 64 | 6 | 0.001 | 0.9 | sgdm | 264 |
| MobileNet V2 [50] | 224 × 224 × 3 | 53 | 64 | 6 | 0.001 | 0.9 | sgdm | 90 |
| InceptionNet V3 [51] | 299 × 299 × 3 | 48 | 64 | 6 | 0.001 | 0.9 | sgdm | 168 |
| EfficientNet b0 [52] | 224 × 224 × 3 | 82 | 64 | 6 | 0.001 | 0.9 | sgdm | 255 |
| DenseNet201 [53] | 224 × 224 × 3 | 201 | 64 | 6 | 0.001 | 0.9 | sgdm | 486 |
| VGGNet16 [54] | 224 × 224 × 3 | 16 | 64 | 6 | 0.001 | 0.9 | sgdm | 106 |
| VGGNet19 [54] | 224 × 224 × 3 | 19 | 64 | 6 | 0.001 | 0.9 | sgdm | 112 |
| DarkNet19 [55] | 256 × 256 × 3 | 19 | 64 | 6 | 0.001 | 0.9 | sgdm | 89 |
| DarkNet53 [56] | 256 × 256 × 3 | 23 | 64 | 6 | 0.001 | 0.9 | sgdm | 194 |
| ResNet18 [57] | 224 × 224 × 3 | 18 | 64 | 6 | 0.001 | 0.9 | sgdm | 50 |
| ResNet50 [57] | 224 × 224 × 3 | 50 | 64 | 6 | 0.001 | 0.9 | sgdm | 95 |
| ResNet101 [57] | 224 × 224 × 3 | 101 | 64 | 6 | 0.001 | 0.9 | sgdm | 150 |
| Nasnet mobile [58] | 224 × 224 × 3 | - | 64 | 6 | 0.001 | 0.9 | sgdm | 317 |
| Nasnet large [58] | 331 × 331 × 3 | - | 64 | 6 | 0.001 | 0.9 | sgdm | 3460 |
| Model | Experiment Set | Test Set |
|---|---|---|
| AlexNet [46] | 94.40% | 97.40% |
| Googlenet [47] | 96.59% | 98.50% |
| ShuffleNet [48] | 95.46% | 99.10% |
| SqueezeNet [49] | 92.93% | 98.00% |
| Xception [50] | 96.68% | 99.10% |
| MobileNet V2 [50] | 95.97% | 99.90% |
| InceptionNet V3 [51] | 97.53% | 98.50% |
| EfficientNet b0 [52] | 95.51% | 98.50% |
| DenseNet201 [53] | 97.70% | 99.50% |
| VGGNet16 [54] | 97.23% | 99.70% |
| VGGNet19 [54] | 97.48% | 99.70% |
| DarkNet19 [55] | 97.48% | 99.40% |
| DarkNet53 [56] | 97.72% | 99.20% |
| ResNet18 [57] | 97.23% | 99.00% |
| ResNet50 [57] | 97.25% | 98.20% |
| ResNet101 [57] | 97.52% | 98.40% |
| NasNet mobile [58] | 96.53% | 99.00% |
| NasNet large [58] | 98.24% | 99.50% |
Disclaimer/Publisher’s Note: The statements, opinions and data contained in all publications are solely those of the individual author(s) and contributor(s) and not of MDPI and/or the editor(s). MDPI and/or the editor(s) disclaim responsibility for any injury to people or property resulting from any ideas, methods, instructions or products referred to in the content. |
© 2024 by the authors. Licensee MDPI, Basel, Switzerland. This article is an open access article distributed under the terms and conditions of the Creative Commons Attribution (CC BY) license (https://creativecommons.org/licenses/by/4.0/).
Share and Cite
Han, K.; Yu, Y.; Lu, T. Transfer Learning and Interpretable Analysis-Based Quality Assessment of Synthetic Optical Coherence Tomography Images by CGAN Model for Retinal Diseases. Processes 2024, 12, 182. https://doi.org/10.3390/pr12010182
Han K, Yu Y, Lu T. Transfer Learning and Interpretable Analysis-Based Quality Assessment of Synthetic Optical Coherence Tomography Images by CGAN Model for Retinal Diseases. Processes. 2024; 12(1):182. https://doi.org/10.3390/pr12010182
Chicago/Turabian StyleHan, Ke, Yue Yu, and Tao Lu. 2024. "Transfer Learning and Interpretable Analysis-Based Quality Assessment of Synthetic Optical Coherence Tomography Images by CGAN Model for Retinal Diseases" Processes 12, no. 1: 182. https://doi.org/10.3390/pr12010182
APA StyleHan, K., Yu, Y., & Lu, T. (2024). Transfer Learning and Interpretable Analysis-Based Quality Assessment of Synthetic Optical Coherence Tomography Images by CGAN Model for Retinal Diseases. Processes, 12(1), 182. https://doi.org/10.3390/pr12010182

