Structural Optimization of Annular Thermoelectric Module Applied to Liquefied Natural Gas Cold Energy Recovery
Abstract
1. Introduction
2. Mathematical Model
2.1. Annular Thermoelectric Module
- All surfaces, except for the hot and cold surfaces, are assumed to be insulated.
- Contact resistance and contact thermal resistance are neglected.
- The system is assumed to be in a steady state.
2.2. Thermoelectric Model
2.3. Key Parameters
2.4. Boundary Conditions
2.5. Grid-Independent Verification
2.6. Model Verification
3. Results and Discussion
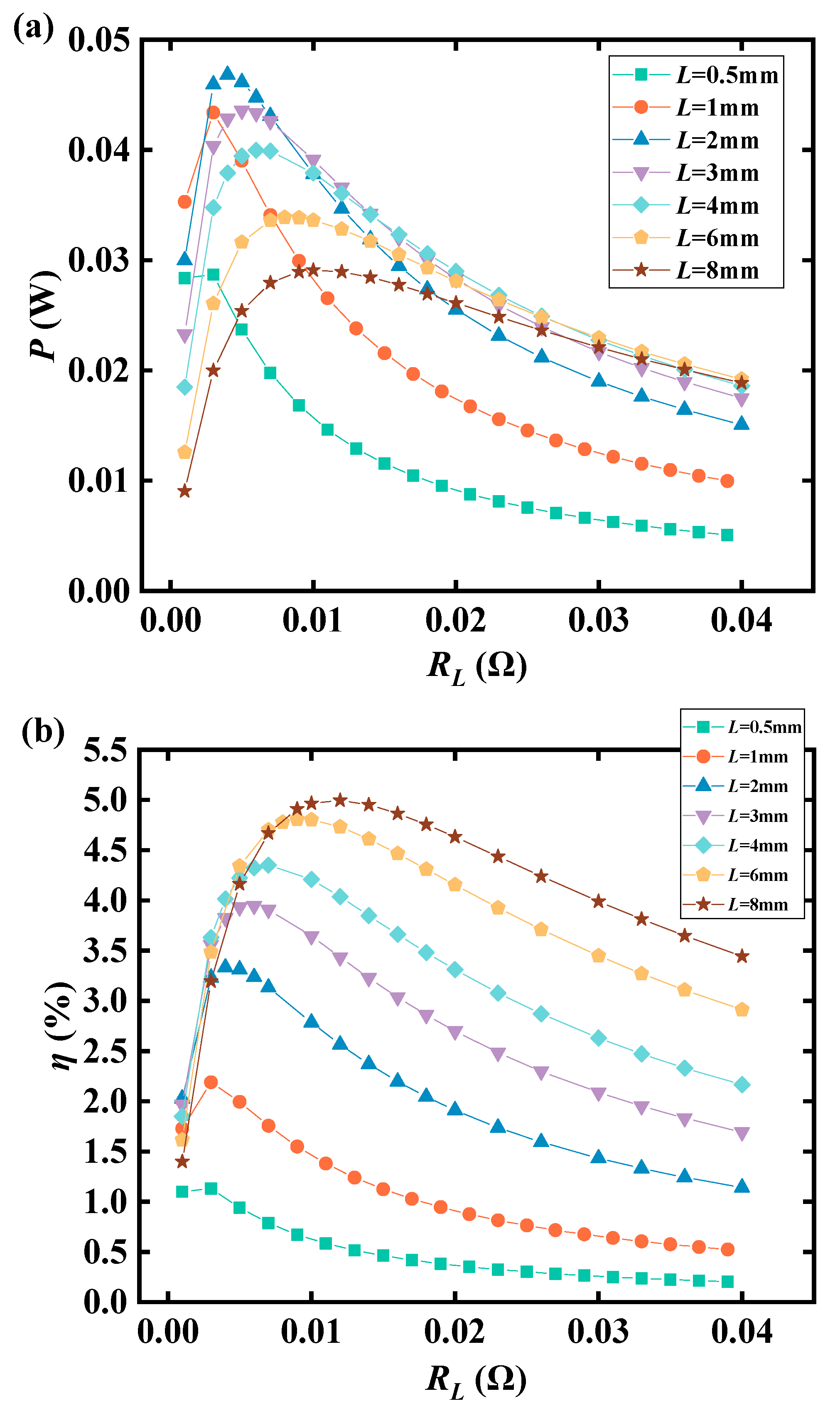
3.1. Effect of TEL Height
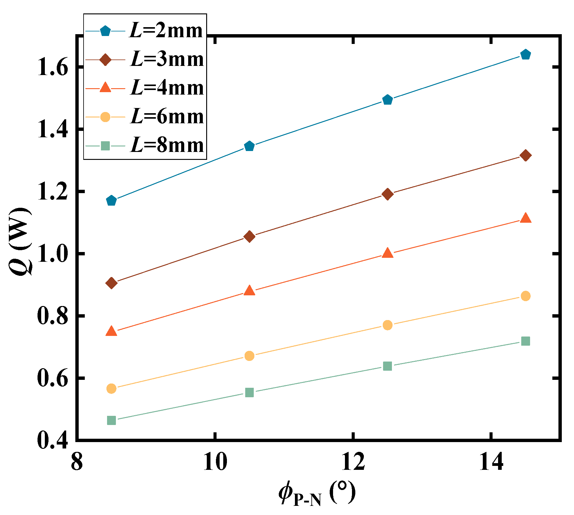
3.2. Effect of TEL Central Angle
3.3. Influence of Heat Exchange
4. Conclusions
- The presence of an optimal load enables the optimization of the TEMs thermoelectric performance. The optimal load resistance increases as the height of the TEL increases. Additionally, the conversion efficiency demonstrates an increasing trend with higher TEL heights. However, there exists an optimal TEL height of 2 mm that maximizes the output power.
- Increasing the central angle of the TEL leads to a rise in the TEMs output power but results in a decrease in conversion efficiency. Specifically, when the TEL central angle is increased from 8.5° to 14.5°, the TEMs output power experiences a 10.9% increase, while the conversion efficiency decreases by 22.34%.
- The thermoelectric performance of the TEM can be significantly enhanced by improving the heat exchange of the fluid inside and outside the tube. When the HTC outside the tube reaches 4000 W/(m2·K) and the HTC inside the tube reaches 10,000 W/(m2·K), further increases in the HTCs yield minimal benefits. Therefore, when designing an innovative thermoelectric generator for LNG cold energy recovery, it is essential to consider the comprehensive performance aspects of heat transfer, flow resistance, and thermoelectric conversion.
Author Contributions
Funding
Data Availability Statement
Acknowledgments
Conflicts of Interest
References
- Available online: http://www.iea.org/ (accessed on 1 August 2023).
- Gao, T.; Lin, W.; Gu, A. Improved processes of light hydrocarbon separation from LNG with its cryogenic energy utilized. Energy Convers. Manag. 2011, 52, 2401–2404. [Google Scholar] [CrossRef]
- Pan, J.; Li, R.; Lv, T.; Wu, G.; Deng, Z. Thermal performance calculation and analysis of heat transfer tube in super open rack vaporizer. Appl. Therm. Eng. 2016, 93, 27–35. [Google Scholar] [CrossRef]
- Liu, Z.; Karimi, I.A.; He, T. A novel inlet air cooling system based on liquefied natural gas cold energy utilization for improving power plant performance. Energy Convers. Manag. 2019, 187, 41–52. [Google Scholar] [CrossRef]
- Wu, Y.; Xiang, Y.; Cai, L.; Liu, H.; Liang, Y. Optimization of a novel cryogenic air separation process based on cold energy recovery of LNG with exergoeconomic analysis. J. Clean. Prod. 2020, 275, 123027. [Google Scholar] [CrossRef]
- Bian, J.; Yang, J.; Liu, Y.; Li, Y.; Cao, X. Analysis and efficiency enhancement for energy-saving re-liquefaction processes of boil-off gas without external refrigeration cycle on LNG carriers. Energy 2022, 239, 122082. [Google Scholar] [CrossRef]
- Liu, Y.; Han, J.; You, H. Exergoeconomic analysis and multi-objective optimization of a CCHP system based on LNG cold energy utilization and flue gas waste heat recovery with CO2 capture. Energy 2020, 190, 116201. [Google Scholar] [CrossRef]
- Xie, C.; Zhang, L.; Liu, Y.; Lv, Q.; Ruan, G.; Hosseini, S.S. A direct contact type ice generator for seawater freezing desalination using LNG cold energy. Desalination 2018, 435, 293–300. [Google Scholar] [CrossRef]
- Bao, J.; Yuan, T.; Zhang, L.; Zhang, N.; Zhang, X.; He, G. Comparative study of liquefied natural gas (LNG) cold energy power generation systems in series and parallel. Energy Convers. Manag. 2019, 184, 107–126. [Google Scholar] [CrossRef]
- Lee, I.; Park, J.; You, F.; Moon, I. A novel cryogenic energy storage system with LNG direct expansion regasification: Design, energy optimization, and exergy analysis. Energy 2019, 173, 691–705. [Google Scholar] [CrossRef]
- Lee, S.W.; Kwon, J.G.; Kim, M.H.; Jo, H. Cycle analysis and economic evaluation for seawater-LNG Organic Rankine Cycles. Energy 2021, 13, 121259. [Google Scholar] [CrossRef]
- Ning, J.; Sun, Z.; Dong, Q.; Liu, X. Performance study of supplying cooling load and output power combined cycle using the cold energy of the small scale LNG. Energy 2019, 172, 36–44. [Google Scholar] [CrossRef]
- Bao, J.; Lin, Y.; Zhang, R.; Zhang, N.; He, G. Strengthening power generation efficiency utilizing liquefied natural gas cold energy by a novel two-stage condensation Rankine cycle (TCRC) system. Energy Convers. Manag. 2017, 143, 312–325. [Google Scholar] [CrossRef]
- Joy, J.; Kochunni, S.K.; Chowdhury, K. Size reduction and enhanced power generation in ORC by vaporizing LNG at high supercritical pressure irrespective of delivery pressure. Energy 2022, 260, 124922. [Google Scholar] [CrossRef]
- Ma, G.; Lu, H.; Cui, G.; Huang, K. Multi-stage Rankine cycle (MSRC) model for LNG cold-energy power generation system. Energy 2018, 165, 673–688. [Google Scholar] [CrossRef]
- Zhou, T.; Liu, J.; Ren, J.; Yang, S. Thermodynamic analysis and optimization of a multi-stage Rankine cycle power system combining with hydrate energy storage for liquefied natural gas cold energy utilization. J. Energy Storage 2022, 56, 105974. [Google Scholar] [CrossRef]
- Choi, I.-H.; Lee, S.; Seo, Y.; Chang, D. Analysis and optimization of cascade Rankine cycle for liquefied natural gas cold energy recovery. Energy 2013, 61, 179–195. [Google Scholar] [CrossRef]
- Qu, Z.; Bai, Y.; Pu, L. One-dimensional numerical study of thermal performance of an organic Rankine cycle system using liquefied natural gas as a cold source for cold energy recovery. J. Nat. Gas Sci. Eng. 2015, 26, 1399–1413. [Google Scholar] [CrossRef]
- Yu, H.; Kim, D.; Gundersen, T. A study of working fluids for Organic Rankine Cycles (ORCs) operating across and below ambient temperature to utilize Liquefied Natural Gas (LNG) cold energy. Energy 2019, 167, 730–739. [Google Scholar] [CrossRef]
- Zhao, Y.; Lu, M.; Li, Y.; Wang, Y.; Ge, M. Numerical investigation of an exhaust thermoelectric generator with a perforated plate. Energy 2023, 263, 125776. [Google Scholar] [CrossRef]
- Luo, D.; Yan, Y.; Chen, W.-H.; Yang, X.; Chen, H.; Cao, B.; Zhao, Y. A comprehensive hybrid transient CFD-thermal resistance model for automobile thermoelectric generators. Int. J. Heat Mass Transf. 2023, 211, 124203. [Google Scholar] [CrossRef]
- Kambe, M.; Morita, R.; Omoto, K.; Koji, Y.; Yoshida, T.; Noishiki, K. Thermoelectric Power Conversion System Combined with LNG Vaporizer. J. Power Energy Syst. 2008, 2, 1304–1319. [Google Scholar] [CrossRef][Green Version]
- Weng, C.-C.; Lin, M.-C.; Huang, M.-J. A waste cold recovery from the exhausted cryogenic nitrogen by using thermoelectric power generator. Energy 2016, 103, 385–396. [Google Scholar] [CrossRef]
- Lin, M.-C.; Chen, H.-Y.; Chung, F.-T.; Huang, M.-J. A design and verification of a non-icing and non-condensing waste-cold-recovery system. Appl. Therm. Eng. 2021, 197, 117378. [Google Scholar] [CrossRef]
- Lobunets, Y. Thermoelectric Generator for Utilizing Cold Energy of Cryogen Liquids. J. Electron. Mater. 2019, 48, 5491–5496. [Google Scholar] [CrossRef]
- Chung, D.Y.; Hogan, T.; Brazis, P.; Rocci-Lane, M.; Kannewurf, C.; Bastea, M.; Uher, C.; Kanatzidis, M.G. CsBi4Te6: A high-performance thermoelectric material for low-temperature applications. Science 2000, 287, 1024–1027. [Google Scholar] [CrossRef]
- Sun, W.; Hu, P.; Chen, Z.; Jia, L. Performance of cryogenic thermoelectric generators in LNG cold energy utilization. Energy Convers. Manag. 2005, 46, 789–796. [Google Scholar] [CrossRef]
- Kambe, M.; Morita, R.; Omoto, K.; Koji, Y.; Yoshida, T.; Noishiki, K. Thermoelectric Module Performance in Cryogenic Temperature. J. Power Energy Syst. 2010, 4, 12–26. [Google Scholar] [CrossRef][Green Version]
- Karabetoglu, S.; Sisman, A.; Ozturk, Z.F.; Sahin, T. Characterization of a thermoelectric generator at low temperatures. Energy Convers. Manag. 2012, 62, 47–50. [Google Scholar] [CrossRef]
- Jeong, E.S. Optimization of power generating thermoelectric modules utilizing LNG cold energy. Cryogenics 2017, 88, 29–35. [Google Scholar] [CrossRef]
- Ge, M.; Wang, X.; Zhao, Y.; Wang, S.; Liu, L. Performance analysis of vaporizer tube with thermoelectric generator applied to cold energy recovery of liquefied natural gas. Energy Convers. Manag. 2019, 200, 112112. [Google Scholar] [CrossRef]
- Chen, Z.; Li, M.; Guo, R.; Wang, Y.; Zhou, D.; Chen, Z.; Ang, R. Performance evolution of thermoelectric modules under constant heat flux. Mater. Today Phys. 2023, 35, 101136. [Google Scholar] [CrossRef]
- Klimenko, V. A generalized correlation for two-phase forced flow heat transfer—Second assessment. Int. J. Heat Mass Transf. 1990, 33, 2073–2088. [Google Scholar] [CrossRef]
- Gu, A. Liquefied Natural Gas Technology Manual; Machinery Industry Press: Beijing, China, 2004. (In Chinese) [Google Scholar]
- Luo, T.; Wang, S.; Li, H.; Tang, X. Low temperature thermoelectric properties of melt spun Bi85Sb15 alloys. Intermetallics 2013, 32, 96–102. [Google Scholar] [CrossRef]
- Sidorenko, N.; Parashchuk, T.; Maksymuk, M.; Dashevsky, Z. Development of cryogenic cooler based on n-type Bi-Sb thermoelectric and HTSC. Cryogenics 2020, 112, 103197. [Google Scholar] [CrossRef]
- Guo, S.; Li, H.; Lu, Y.; Liu, Z.; Hu, X. Lattice softening enables highly reversible sodium storage in anti-pulverization Bi–Sb alloy/carbon nanofibers. Energy Storage Mater. 2020, 27, 270–278. [Google Scholar] [CrossRef]
- Jia, X.; Guo, Q. Design study of Bismuth-Telluride-based thermoelectric generators based on thermoelectric and mechanical performance. Energy 2019, 190, 116226. [Google Scholar] [CrossRef]
- Xu, H.; Zhang, Q.; Yi, L.; Huang, S.; Yang, H.; Li, Y.; Guo, Z.; Hu, H.; Sun, P.; Tan, X.; et al. High performance of Bi2Te3-based thermoelectric generator owing to pressure in fabrication process. Appl. Energy 2022, 326, 119959. [Google Scholar] [CrossRef]











| Parameter Names | Unit | Numerical Value |
|---|---|---|
| Structural parameters | ||
| ΦTEM | ° | 45 |
| ΦP-N | ° | 11.25 |
| Cold end radius of TEM r1,ce | mm | 10 |
| Inner ceramic plate radius r1,cu | mm | 10.8 |
| Inner copper sheet radius r1,s | mm | 11.2 |
| Inner welding layer radius rl | mm | 11.4 |
| Height of TEL L | mm | 5 |
| Radius of outer welding layer rh | mm | 16.6 |
| Radius of outer copper sheet r2,s | mm | 17 |
| Radius of inner ceramic plate r2,cu | mm | 17.8 |
| Operational parameters | ||
| Fluid temperature inside the tube Tf | K | 111.15 |
| Fluid temperature outside the tube Ta | K | 273.15 |
| HTC outside the tube ha | W/(m2·K) | 5800 |
| HTC inside the tube hf | W/(m2·K) | 2200 |
| Materials | Density (kg/m3) | Specific Heat Capacity (J/kg·K) | Heat Conductivity (W/m·K) | Conductivity (S/m) |
|---|---|---|---|---|
| BiSb | 7858 | 154 | ||
| CsBi4Te6 | 6858 | 154 | ||
| Copper | 8940 | 385 | 385 | 5.88 × 107 |
| Ceramics | 3900 | 880 | 25 | |
| Welding layer | 7260 | 230 | 55 | 2 × 107 |
| Number of Grids | Qh (Inaccuracy) | P (Inaccuracy) |
|---|---|---|
| 8035 | 0.58591 W (0.012%) | 0.029104 W (0.02%) |
| 12,469 | 0.58588 W (0.007%) | 0.029101 W (0.01%) |
| 19,313 | 0.58584 W | 0.029098 W |
| 35,992 | 0.58584 W | 0.029098 W |
Disclaimer/Publisher’s Note: The statements, opinions and data contained in all publications are solely those of the individual author(s) and contributor(s) and not of MDPI and/or the editor(s). MDPI and/or the editor(s) disclaim responsibility for any injury to people or property resulting from any ideas, methods, instructions or products referred to in the content. |
© 2023 by the authors. Licensee MDPI, Basel, Switzerland. This article is an open access article distributed under the terms and conditions of the Creative Commons Attribution (CC BY) license (https://creativecommons.org/licenses/by/4.0/).
Share and Cite
Zhao, Y.; Diao, H.; Li, W.; Xuan, Z.; Zhang, Q.; Wang, Y.; Ge, M. Structural Optimization of Annular Thermoelectric Module Applied to Liquefied Natural Gas Cold Energy Recovery. Processes 2023, 11, 2687. https://doi.org/10.3390/pr11092687
Zhao Y, Diao H, Li W, Xuan Z, Zhang Q, Wang Y, Ge M. Structural Optimization of Annular Thermoelectric Module Applied to Liquefied Natural Gas Cold Energy Recovery. Processes. 2023; 11(9):2687. https://doi.org/10.3390/pr11092687
Chicago/Turabian StyleZhao, Yulong, Hongmei Diao, Wenjie Li, Zhiwei Xuan, Qi Zhang, Yulin Wang, and Minghui Ge. 2023. "Structural Optimization of Annular Thermoelectric Module Applied to Liquefied Natural Gas Cold Energy Recovery" Processes 11, no. 9: 2687. https://doi.org/10.3390/pr11092687
APA StyleZhao, Y., Diao, H., Li, W., Xuan, Z., Zhang, Q., Wang, Y., & Ge, M. (2023). Structural Optimization of Annular Thermoelectric Module Applied to Liquefied Natural Gas Cold Energy Recovery. Processes, 11(9), 2687. https://doi.org/10.3390/pr11092687

