Classification and Evaluation of Tight Sandstone Reservoirs Based on MK-SVM
Abstract
:1. Introduction
2. MK-SVM Model and Experiments Methods
2.1. Sample Preparation
2.2. Data Preprocessing and Lasso Dimensionality Reduction
2.3. The MK-SVM Model
2.4. Experimental Methods
2.4.1. The Calculation Process of the Kernel Function Coefficient of the MK-SVM Model
2.4.2. Combination Experiments of Five Kinds of Kernel Function
2.4.3. Combination Experiments of Four Kinds of Kernel Function
2.4.4. Combination Experiments of Three Kinds of Kernel Function
3. Microscopic Pore Structure Characteristics of Different Classes of Reservoirs
3.1. The Relationship between Porosity and Permeability
3.2. Storage Space
3.3. Microscopic Pore Structural Characteristics
4. Results and Discussion
4.1. Kernel Function after MK-SVM Model Optimization
4.2. Comparison of MK-SVM with Other Classification Models
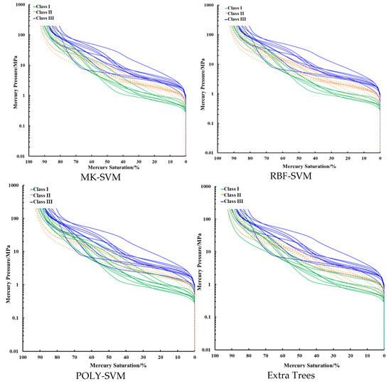
4.3. Validation of Experimental Results
5. Conclusions
- (1)
- There are obvious differences in the physical properties, storage space, capillary pressure curve and microscopic pore structure between different classes of reservoirs. The porosity development degree, connectivity and physical properties of class I, II and III reservoirs are successively worse. The drainage pressure, mean coefficient and pore–throat ratio increase successively in class I, II and III reservoirs.
- (2)
- The comprehensive evaluation method of tight sandstone reservoirs based on MK-SVM, compared with the traditional method, has obvious reservoir classification effects, and can effectively deal with the most common multi-parameter and small sample problems in the practical application of oilfields. It provides an effective method for the comprehensive evaluation of tight sandstone reservoirs.
- (3)
- From the classification results of the Chang 6 tight sandstone reservoir in the study area, it can be seen that the accuracy of the comprehensive evaluation and prediction model of tight sandstone reservoir based on MK-SVM is higher than 86.0%, indicating that this method is an effective method for the classification and evaluation of tight sandstone reservoirs.
Author Contributions
Funding
Data Availability Statement
Conflicts of Interest
References
- Zou, C.N.; Zhang, G.S.; Yang, Z. Concept, characteristics, potential and technology of unconventional oil and gas-also on unconventional oil and gas geology. Pet. Explor. Dev. 2013, 40, 385–399. [Google Scholar] [CrossRef]
- Jia, C.Z.; Zou, C.N.; Li, J.Z.; Li, D.H.; Zheng, M. Evaluation criteria, main types, basic characteristics and resource prospects of tight oil in China. Acta Pet. Sin. 2012, 33, 343–349. [Google Scholar]
- Ren, D.Z.; Zhou, D.S.; Liu, D.K.; Dong, F.J.; Ma, S.W.; Huang, H. Formation mechanism of the Upper Triassic Yanchang Formation tight sandstone reservoir in Ordos Basin-Take Chang 6 reservoir in Jiyuan oil field as an example. J. Pet. Sci. Eng. 2019, 178, 497–505. [Google Scholar] [CrossRef]
- Liu, D.; Sun, W.; Ren, D. Experimental Investigation of Pore Structure and Movable Fluid Traits in Tight Sandstone. Processes 2019, 7, 149. [Google Scholar] [CrossRef]
- Zhang, L.; Liu, X.; Zhao, Y.; Zhou, Y.; Shan, B. Effect of pore throat structure on micro-scale seepage characteristics of tight gas reservoirs. Nat. Gas Ind. B 2020, 7, 160–167. [Google Scholar] [CrossRef]
- Dai, J.X.; Nin, Y.Y.; Wu, X.Q. Tight gas in China and its significance in exploration and exploitation. Pet. Explor. Dev. 2012, 39, 257–264. [Google Scholar] [CrossRef]
- Cai, X.Y.; Qiu, G.Q.; Zhu, Q.; Wang, W.; Zeng, Z.P. Types and characteristics of tight sandstone sweet spots in largebasins of central western China. Oil Gas Geol. 2020, 41, 684–695. [Google Scholar]
- Dong, F.J.; Lu, X.F.; Cao, Y.; Rao, X.J.; Sun, Z.Y. Microscale Pore Throat Differentiation and Its Influence on the Distribution of Movable Fluid in Tight Sandstone Reservoirs. Geofluids 2021, 2021, 6654773. [Google Scholar] [CrossRef]
- Ren, D.Z.; Sun, W.; Wei, H.; Zhou, S.X.; Zhang, Y.G.; Zhang, X. Types of Sandstone Reservoir Diagenetic Facies and Microscopic Pore Structure Characteristics of Chang 81 Reservoir in Huaqing Oilfield. Geoscienge 2014, 28, 379–387. [Google Scholar]
- Elkins, L.E. The Technology and Economics of Gas Recovery from Tight Sans. In SPE Production Technology Symposium; OnePetro: Richardson, TX, USA, 1978. [Google Scholar]
- SY/T 6832-2011; People’s Republic of China Petroleum and Natural Gas Industry Standards. China National Petroleum Corporation. Petroleum Industry Press: Beijing, China, 2011.
- Gao, Y.L.; Sun, W.; Zhang, X. Microscopic geologic origin for ultra-low permeability reservo-ir or Yanchang Groups, Ordos Basin. J. Jilin Univ. 2013, 43, 13–19. [Google Scholar]
- Ma, Y.; Li, W.H.; Liu, Z. Characteristics of microscopic pore structure in the low permeability sandstone reservoir: A case study of Chang 9 of Yanchang Formation in Zhijing-Ansai Area of Ordos Basin. Geol. Bull. China 2016, 35, 398–405. [Google Scholar]
- Wang, Y.; Ma, Y.; Wang, R.G. Fractal study of micro-pore structure of tight sandstone reservo-ir. J. Northwest Univ. 2019, 49, 935–940. [Google Scholar]
- Guo, Y.Q.; He, Z.Q.; Guo, B.C. Reservoir characteristic and evaluation of tight sandstone of He 8 Member in southeastern Sulige Gas Field, Ordos Basin. Lithol. Reserv. 2019, 31, 1–11. [Google Scholar]
- Zhou, T.; Zhang, C.Y.; Liu, G.G. Reservoir comprehensive evaluation: A case study of Su54 Block, Sulige Gas Field. Nat. Gas Explor. Dev. 2015, 38, 44–52. [Google Scholar]
- Shafiei, A.; Dusseault, M.B.; Zendehboudi, S. A new screening tool for evaluation of steam flooding performance in naturally fractured carbonate reservoirs. Fuel 2013, 108, 502–514. [Google Scholar] [CrossRef]
- Ye, X.C.; Zhang, P.; We, M.J. Study on characteristics of Lower Plaeozoic reservoir in Tao 2 Block of Sulige Gas Field. J. Xi’an Shiyou Univ. 2020, 35, 18–27. [Google Scholar]
- Bize-Forest, N.; Lima, L.; Baines, V.; Boyd, A.; Abbots, F.; Barnett, A. Using machine learning for depositional facies prediction in a complex carbonate Reservoir. In Proceedings of the SPWLA 59th Annual Logging Symposium, London, UK, 2–6 June 2018. [Google Scholar]
- Dong, F.J.; Sun, W.; Hu, X.J.; Jiang, Z. Application of Grey Analytic Hierarchy Process to Divide Flow Units—A Case from Sanjianfang Formation of Qiuling Oilfield. J. Jilin Univ. (Earth Sci. Ed.) 2010, 40, 1255–1261. [Google Scholar]
- Meng, Z.Y.; Sun, W.; Liu, D.K.; Wu, Y.P.; Li, G.N.; Ouyang, S.Q.; Zhao, D.D.; Luo, B. Combined mercury porosimetry to characterize the microscopic pore structure and pore size distribution of tight reservoirs: A case of Chang 6 reservoir in Wuqi area, Ordos Basin. Geol. Sci. Technol. Inf. 2019, 38, 208–216. [Google Scholar]
- Dong, F.J.; Liu, N.; Sun, Z.; Wei, X.L.; Wang, H.N.; Nan, J.X.; Ren, D.Z. Quantitative Characterization of Heterogeneity in Different Reservoir Spaces of Low-Permeability Sandstone Reservoirs and Its Influence on Physical Properties. Adv. Civ. Eng. 2021, 2021, 2399016. [Google Scholar] [CrossRef]
- Liu, B.; Yang, Y.Q.; Li, J.T.; Chi, Y.A.; Li, J.H.; Fu, X. Stress sensitivity of tight reservoirs and its effect on oil saturation: A case study of Lower Cretaceous tight clastic reservoirs in the Hailar Basin, Northeast China. J. Pet. Sci. Eng. 2020, 184, 106484. [Google Scholar] [CrossRef]
- Zhao, Y.L.; Tang, J.Z.; Chen, Y.; Zhang, L.Y.; Wang, W.J.; Wan, W.; Liao, J.P. Hydromechanical coupling tests for mechanical and permeability characteristics of fractured limestone in complete stress–strain process. Environ. Earth Sci. 2017, 76, 24. [Google Scholar] [CrossRef]
- Yu, W.J.; Li, K.; An, B.F.; Wang, P.; Wu, H. Mechanical characteristics and deformation control of surrounding rock in weakly cemented siltstone. Environ. Earth Sci. 2021, 80, 337. [Google Scholar] [CrossRef]
- Yao, J.; Ding, Y.; Sun, H.; Fan, D.Y.; Wang, M.; Jia, C.Q. Productivity Analysis of Fractured Horizontal Wells in Tight Gas Reservoirs Using a Gas-Water Two-Phase Flow Model with Consideration of a Threshold Pressure Gradient. Energy Fuels 2023, 37, 8190–8198. [Google Scholar] [CrossRef]
- Wang, Y.; Wang, R.G.; Wei, K.Y.; Lu, H.J.; Xiong, X.W.; Zhang, T.J. Classification of Tight Reservoirs Based on Random Forest Algorithm: A Case Study of He 8Member in East of Yan’an Gasfield. J. Xi’an Shiyou Univ. (Nat. Sci. Ed.) 2021, 36, 1–8. [Google Scholar]
- Caf, A.B.; Pigott, J.D. Dolomitization geometry and reservoir quality from supervised Bayesian classification and probabilistic neural networks: Midland Basin Leonardian Wichita and Clear Fork Formations. Interpretation 2021, 9, 585–598. [Google Scholar] [CrossRef]
- Zhang, X.Q.; Zhang, Z.S.; Zhang, C.M. Bi-LSTM Deep Neural Network Reservoir Classification Model Based on the Innovative Input of Logging Curve Response Sequences. IEEE Access 2021, 9, 19902–19915. [Google Scholar] [CrossRef]
- Liu, B.; Zhao, X.Q.; Fu, X.F.; Yuan, B.Y.; Bai, L.H.; Zhang, Y.W.; Ostadhassan, M. Petrophysical characteristics and log identification of lacustrine shale lithofacies: A case study of the first member of Qingshankou Formation in the Songliao Basin, Northeast China. Interpretation 2020, 8, SL45–SL57. [Google Scholar] [CrossRef]
- Yan, X.L.; Gong, L.Q.; Wang, B.B.; Mo, F.X. Fault diagnosis of electronic circuit based on BAT optimized MK-SVM. J. Guilin Univ. Electron. Technol. 2018, 38, 204–209. [Google Scholar]
- Lu, X.F.; Wang, X.Y.; Yang, Y.F.; Xue, J.N. The optimization model for reducing RON loss in gasoline refining process. Geofluids 2021, 2021, 5520942. [Google Scholar] [CrossRef]
- Lu, X.F.; Dong, F.J.; Wei, X.L.; Wang, P.T.; Liu, N.; Ren, D.Z. Analysis of microscopic main controlling factors for occurrence of movable fluid in tight sandstone gas reservoirs based on improved grey correlation theory. Math. Probl. Eng. 2021, 2021, 3158504. [Google Scholar] [CrossRef]
- Zhong, J.; He, L.; Huang, B. An incremental learning algorithm based on support vector machine for multi-scenario crowd counting. Microelectron. Comput. 2022, 39, 75–83. [Google Scholar] [CrossRef]
- Liu, B.; Nakhaei-Kohani, R.; Bai, L.H.; Wen, Z.G.; Gao, Y.F.; Tian, W.C.; Yang, L.; Liu, K.Q.; Hemmati-Sarapardeh, A.; Ostadhassan, M. Integrating advanced soft computing techniques with experimental studies for pore structure analysis of Qingshankou shale in Southern Songliao Basin, NE China. Int. J. Coal Geol. 2022, 257, 103998. [Google Scholar] [CrossRef]









| Kernel Function Combination and Parameters | Kernel_ID | Accuracy (%) | Macro_Precision (%) | Macro_F1_Score |
|---|---|---|---|---|
| lin (C = 3.2), poly (d = 3, C = 3.2), multiquad (C = 3.2), sig ( = 1.25, C = 3.2), exp ( = 1.25) | 04 | 86.0 | 88.3 | 0.851 |
| lin (C = 3), poly (d = 4, C = 4), multiquad (C = 3), sig ( = 1.7, C = 2), rbf ( = 1.3) | 11 | 84.5 | 87.8 | 0.838 |
| lin (C = 4), poly (d = 3, C = 5), multiquad (C = 3), sig ( = 1.7, C = 3), lapras ( = 1.1) | 17 | 83.0 | 87.1 | 0.829 |
| lin (C = 6), poly (d = 4, C = 5.8), rbf ( = 1.3), sig ( = 4.3, C = 5), lapras ( = 1.4) | 23 | 86.0 | 88.8 | 0.846 |
| Kernel Function Combination and Parameters | Kernel_ID | Accuracy (%) | Macro_Precision (%) | Macro_F1_Score |
|---|---|---|---|---|
| lin (C = 3.6), poly (d = 4, C = 4.6), multiquad (C = 4), sig ( = 4, C = 4) | 29 | 84.5 | 87.5 | 0.836 |
| lin (C = 3), poly (d = 3, C = 3), rbf (C = 0.6), sig ( = 3, C = 3) | 35 | 83.0 | 86.0 | 0.819 |
| lin (C = 5), poly (d = 4, C = 5.75), multiquad (C = 5), lapras ( = 1.25) | 42 | 86.0 | 88.8 | 0.848 |
| lin (C = 3), poly (d = 3, C = 3), multiquad (C = 3), exp ( = 1.6) | 47 | 84.5 | 87.1 | 0.838 |
| Kernel Function Combination and Parameters | Kernel_ID | Accuracy (%) | Macro_Precision (%) | Macro_F1_Score |
|---|---|---|---|---|
| lin (C = 50), sig ( = 46, C = 63), multiquad (C = 35) | 65 | 47.2 | 48.6 | 0.483 |
| lin (C = 10), sig ( = 8, C = 13), rbf ( = 8.6) | 66 | 61.2 | 73.3 | 0.624 |
| lin (C = 5), poly (d = 4, C = 7), multiquad ( = 5) | 63 | 84.5 | 87.6 | 0.826 |
| lin (C = 5), poly (d = 3, C = 5), rbf ( = 0.9) | 56 | 83.0 | 87.0 | 0.834 |
| Classes | Porosity/% | Permeability/10−3μm2 | Displacement Pressure/MPa | Median Radius/μm | Structural Seepage Flow Coefficient | Mean Coefficient | Mercury Removal Efficiency/% | Pore Throat Ratio | |
|---|---|---|---|---|---|---|---|---|---|
| I | Max | 12.11 | 1.224 | 0.722 | 0.319 | 5.054 | 10.676 | 43.82 | 2.91 |
| Min | 10.22 | 0.443 | 0.287 | 0.127 | 1.085 | 9.899 | 25.59 | 1.28 | |
| Average | 11.19 | 0.875 | 0.421 | 0.209 | 3.169 | 10.323 | 33.64 | 2.12 | |
| II | Max | 11.54 | 0.693 | 0.744 | 0.195 | 3.359 | 11.546 | 10.55 | 4.92 |
| Min | 8.54 | 0.101 | 0.292 | 0.061 | 0.653 | 10.621 | 10.62 | 1.34 | |
| Average | 9.69 | 0.343 | 0.599 | 0.111 | 1.351 | 11.015 | 11.02 | 1.99 | |
| III | Max | 9.01 | 0.212 | 1.169 | 0.125 | 0.618 | 12.065 | 12.07 | 4.76 |
| Min | 6.86 | 0.079 | 1.134 | 0.021 | 0.302 | 10.503 | 10.51 | 1.77 | |
| Average | 8.32 | 0.145 | 1.149 | 0.061 | 0.453 | 11.353 | 11.35 | 2.61 | |
| No. of Experiments | Lin (C = 5), Poly (d = 4, C = 5.75), Multiquad (C = 5), Lapras ( = 1.25) | |||
|---|---|---|---|---|
| Coefficient of Linear Kernel | Coefficient of Polynomial Kernel | Coefficient of Multi- Kernel | Coefficient of Laplacian Kernel | |
| 1 | 0.255224 | 0.264345 | 0.248596 | 0.231835 |
| 2 | 0.256492 | 0.263592 | 0.25111 | 0.228806 |
| 3 | 0.253899 | 0.262719 | 0.247719 | 0.235663 |
| 4 | 0.256289 | 0.262824 | 0.251938 | 0.228949 |
| 5 | 0.255492 | 0.264339 | 0.249837 | 0.230331 |
| 6 | 0.257509 | 0.258397 | 0.255896 | 0.228197 |
| 7 | 0.256687 | 0.264343 | 0.251445 | 0.227526 |
| 8 | 0.257369 | 0.265049 | 0.25269 | 0.224892 |
| 9 | 0.255907 | 0.261554 | 0.251461 | 0.231078 |
| 10 | 0.253878 | 0.263031 | 0.247571 | 0.235521 |
| Mean | 0.2558746 | 0.2630193 | 0.2508263 | 0.2302798 |
| Model | Accuracy (%) | Macro_Precision (%) | Macro_F1_Score |
|---|---|---|---|
| Polynomial SVM | 81.5 | 83.1 | 0.807 |
| RBF SVM | 80.0 | 85.1 | 0.790 |
| MK-SVM | 86.0 | 88.8 | 0.848 |
| Extra Trees | 78.5 | 82.2 | 0.777 |
Disclaimer/Publisher’s Note: The statements, opinions and data contained in all publications are solely those of the individual author(s) and contributor(s) and not of MDPI and/or the editor(s). MDPI and/or the editor(s) disclaim responsibility for any injury to people or property resulting from any ideas, methods, instructions or products referred to in the content. |
© 2023 by the authors. Licensee MDPI, Basel, Switzerland. This article is an open access article distributed under the terms and conditions of the Creative Commons Attribution (CC BY) license (https://creativecommons.org/licenses/by/4.0/).
Share and Cite
Lu, X.; Xing, X.; Hu, K.; Zhou, B. Classification and Evaluation of Tight Sandstone Reservoirs Based on MK-SVM. Processes 2023, 11, 2678. https://doi.org/10.3390/pr11092678
Lu X, Xing X, Hu K, Zhou B. Classification and Evaluation of Tight Sandstone Reservoirs Based on MK-SVM. Processes. 2023; 11(9):2678. https://doi.org/10.3390/pr11092678
Chicago/Turabian StyleLu, Xuefei, Xin Xing, Kelai Hu, and Bin Zhou. 2023. "Classification and Evaluation of Tight Sandstone Reservoirs Based on MK-SVM" Processes 11, no. 9: 2678. https://doi.org/10.3390/pr11092678
APA StyleLu, X., Xing, X., Hu, K., & Zhou, B. (2023). Classification and Evaluation of Tight Sandstone Reservoirs Based on MK-SVM. Processes, 11(9), 2678. https://doi.org/10.3390/pr11092678

