Next Article in Journal
Gelatin and Gelatin/Rice Starch Coatings Affect Differently Fresh-Cut Potatoes and Colocasia Slices
Next Article in Special Issue
Nano Zero-Valent Iron (nZVI) Encapsulated with ABS (nZVI/(ABS + EC)) for Sustainable Denitrification Performance and Anti-Aggregation
Previous Article in Journal
Fault Location Study of Overhead Line–Cable Lines with Branches
Previous Article in Special Issue
Effective Removal of Ammonium from Aqueous Solution by Ball-Milled Biochar Modified with NaOH
 
 
Font Type:
Arial Georgia Verdana
Font Size:
Aa Aa Aa
Line Spacing:
Column Width:
Background:
Article

Application of Landfill Gas-Water Joint Regulation Technology in Tianjin Landfill

1
School of Environmental Science and Engineering, Tianjin University, Tianjin 300072, China
2
Nanjing Wondux Environmental Protection Technology Co., Ltd., Nanjing 211100, China
3
School of Mechanical Engineering, Tianjin University of Commerce, Tianjin 300134, China
*
Author to whom correspondence should be addressed.
Processes 2023, 11(8), 2382; https://doi.org/10.3390/pr11082382
Submission received: 17 June 2023 / Revised: 28 July 2023 / Accepted: 2 August 2023 / Published: 8 August 2023
(This article belongs to the Special Issue Remediation Strategies for Soil and Water)

Abstract

:
Landfills have long been widely used to dispose of Municipal Solid Waste (MSW). However, many landfills have faced early closure issues in recent years due to overload operations. Although in-situ aeration technology can quickly stabilize MSW, low oxygen utilization rates present a general problem that results in high energy-consuming and operating costs. This research aims to improve oxygen utilization efficiency by observing the dynamic respiratory index and the removal of contaminants. Three continuous reactors were constructed and designed with targeted aeration and re-circulation schemes for different landfill ages. The results show that a well-designed aerobic, semi-aerobic, and anaerobic reactor can fully degrade the organic components of MSW with different landfill ages, and the quantity of waste has been reduced by more than 60%. Additionally, it was disclosed that gas-water joint technology has a promotional effect on activating microorganisms.

1. Introduction

In recent years, the amount of Municipal Solid Waste (MSW) has rapidly increased in both urban and rural areas due to population expansion and urbanization. For instance, over 2000 landfills in China are currently experiencing overload operation and early closure. Because the utilization of aerobic stabilization technology can help to digest organic components in landfill wastes within a short time, this technology has gained increasing attention as a promising method for MSW treatment.
Compared to traditional landfill methods, aerobic stabilization technology offers the advantage of shortening the treatment time, reducing the volume of waste, and minimizing environmental pollution. Aeration can significantly reduce the production of gas and leachate in landfill waste, which is also beneficial for stabilizing the MSW. Read et al. found that aeration and leachate recirculation can rapidly stabilize the waste load, accelerate the settlement of the landfill, reduce methane and leachate production, and significantly reduce the pollutants in the leachate [1]. Radoslaw Slezak et al. studied the degradation process of solid waste in aerobic and anaerobic conditions using a bioreactor at a landfill site [2]. Their research showed that even a small aeration rate is beneficial for the degradation of organic matter in the leachate. The amount of CO2 and CH4 released under aerobic conditions amounts to one-fifth of the gas released under anaerobic conditions [2].
The aerobic restoration technology of landfills can be divided into three types: (1) low-pressure continuous aeration and air-lift technology [3]; (2) short-range high-pressure pulse jetting and low-pressure air-lift technology [4]; and (3) continuous low-pressure aeration with passive low-pressure aeration and air-lift [5]. Low-pressure continuous aeration and air-lift technology continuously inject air into the landfill through a vertical well system, transforming the anaerobic environment into an aerobic one. This process supplements the amount of moisture required to facilitate the degradation of organic matter in the landfill. As for the low-pressure aeration/air-lift technology, the gas injected/extracted from the landfill is within a positive/negative pressure of 30 kPa, and the pressure provided is usually within 3~8 kPa [6]. High-pressure aeration technology intermittently injects compressed air into the landfill through specified nozzles and electromagnetic valves. The positive air pressure injected into the landfill can reach a maximum of 600 kPa [4], providing higher aeration efficiency than the low-pressure systems but with higher energy consumption. Passive low-pressure and air-lift systems inject air into the landfill through wind-energy aerodynamic systems, extracting gas from the landfill via wind-energy air-lift devices. Because this system provides limited air volume and pressure but requires less electricity during operation, it greatly reduces operating costs [7]. Several authors have researched the changes in methane gas concentration in different monitoring wells under different negative pressure and flow conditions. Zhou and co-workers found that the radius of influence and the impact on methane concentration varied under varying extraction flow rates. They suggested that the optimal radius of influence for extraction should be between 20 and 25 m, and the optimal negative pressure should be 20 kPa [8]. In addition, deep waste has a higher permeability than shallow waste, and the amount of extraction in the deep layers is greater than that in the shallow layers, resulting in negative pressure inside the waste pile. If the landfill is not properly sealed, the oxygen concentration inside the monitoring wells will be similar to that of the outside, affecting the negative pressure environment inside the waste pile.
Researchers experimentally performed the injection and extraction of air in a landfill in Guiyang; they analyzed the impact of airflow, pressure, and influence of radius on the aerobic stabilization of the waste pile by measuring the methane content and changes in the pressure in the monitoring wells. The study found that as the vacuum in the waste pile increased, the radius of extraction also increased; when the negative pressure was 10 kPa, an effective radius of 20 m was observed. The higher the extraction pressure, the higher the equipment and operating costs. By observing a change in oxygen concentration in the monitoring wells, it was found that the higher the injection pressure, the greater the injection radius; hence, the injection flow rate and pressure were proportional within a certain range. Nevertheless, the study suggested that the best pressure loss for injection wells in the aerobic stabilization process is 30 kPa [9].
The Kuhstedt Landfill in Germany is one of the most well-known landfills in the world that has been treated with aerobic restoration technology. After the restoration system was put into operation, the organic matter in the landfill tended to be stable but could still produce methane [5]. Therefore, in the later stage of the treatment process, a passive low-pressure and gas extraction system (Wi DAVA-System) was used for the long-term passive aeration treatment. The system consists of 12 wind-powered gas extraction devices and two wind-powered gas injection devices, each of which can inject 3–10 m3 of air into the landfill on average every day. Research data showed that after the system had been running for 12 months, the landfill tended to be stable, and the biodegradable carbon conversion rate was about 90%. Compared with anaerobic degradation, this system can accelerate the degradation rate of organic matter by four to six times. In addition, the Konstanz Dorfweiher Landfill in Germany used continuous low-pressure aeration and short-range high-pressure pulse aeration to treat the landfill. By using high-pressure pulses, the system changed the flow path of air and leachate in the landfill, reducing short-circuiting inside the landfill. The study showed that after low-pressure aeration was carried out in the landfill, the application of high-pressure pulse technology further degraded the organic matter in the landfill [4]. Similarly, in optimizing the aeration method, a landfill site in Florida adopts different depths of aeration wells to aeration for different depths of waste and achieves good aeration effects [10].
However, there are also some challenges associated with aerobic stabilization technology, such as the need for adequate oxygen supply, effective control of the temperature and moisture content, and management of potential odor and leachate problems. Therefore, improving the technology and optimizing the operational parameters are essential to ensure its successful application in MSW treatment. Traditional aerobic bioreactors have used Biological Degradable Material (BDM) or landfill porosity as the aeration rate design index [8]. However, the oxygen utilization coefficient is limited in practical applications due to factors such as varying oxygen demands of different landfill age waste, low aeration efficiency at depths greater than 8 m, the aerated zone, and the short flow phenomenon. Research has shown that the oxygen utilization coefficient in Chinese landfills is 8% to 15%, whereas foreign cases range from 15% to 22% [9]. Therefore, it is necessary to advance the aeration system and improve the efficiency of oxygen utilization depending on different landfills.
According to national regulations, the closure period, organic contents, landfill gas, odor index, and sedimentation rate can be used to determine the stabilization of landfills [5]. Although the MSW has been pretreated by crushing, screening, ramming, etc., the landfill wastes are highly heterogeneous, which will cause sampling fluctuation. The methods used to determine the stabilization of the landfill were considered by Kelly, who found that there is a significant correlation between the ratio of cellulose to lignin and the landfill stabilization process [11]. Similarly, Li proposed that the BDM and the ratio of cellulose to lignin (C/L) can accurately reflect the stabilization process, reducing the interference by waste heterogeneity [12]. Meanwhile, the Respiration Index (RI) has been considered an important index to evaluate the biodegradability of solid waste, which can react with the oxygen consumed by the waste during a specified period.
Considering the differences in the degradation rates of waste from different regions and depths, this paper used comprehensive measures to regulate the aeration mode and volume to improve the anaerobic remediation efficiency of the landfill and introduced the DRI parameter to forecast the changes in the oxygen demand of waste at different landfill depths and landfill ages.

2. Materials and Methods

2.1. Description of the Case Study

The Huaming Landfill is located in Tianjin province. The waste volume buried within the soil is estimated to be within ~600,000 to 700,000 cubic meters. For historical reasons, the local district lacks suitable facilities for the harmless disposal of household waste. The household waste in the local district is mainly disposed of at the Dahanzhuang Landfill, Shuanggang Incineration Plant, and Beichen Shuangkou Landfill. Owing to the rapid development of the city since 2013, the generation of household waste has continuously increased; hence, the Huaming Landfill has become a place where residents living on Huaming Street discard their waste. Moreover, residents from nearby areas also add their own waste. In addition, the Huaming Landfill is a non-standard landfill with no environmental protection facilities such as anti-seepage, leachate treatment, or landfill gas discharge, all of which pose a great hazard to the local atmosphere, the surrounding water environment, and the residents’ safety and well-being. Therefore, this project has decided to use an aerobic restoration method to rapidly degrade organic pollutants in the waste to eliminate the negative impact of waste on the surrounding environment in the shortest possible time. The Aerial view of the Huaming landfill site was shown in Figure 1.
This experiment was conducted at a landfill in Tianjin. The landfill covers an area of about 160,000 m2, with a landfill depth of 11 m, 700,000 m³ MSW, and 800,000 m³ leachate. The site has been used for the treatment of MSW since the year 2013.
The experiment was sampled at various depths of 2 m, 5 m, and 9 m at 20 points in different areas of the landfill. The sand-filling method was used to measure the average density of samples. The following table shows the average density of the landfill:
Table 1 shows the trend of average density variation in the landfill increasing along with depth. This increase occurs because the waste in the landfill areas is mainly composed of MSW, which has a high organic content. The decay and the self-weight of waste increase the density of the landfill. The density of waste at a depth of 9 m can reach up to 1024 kg/m3.

2.2. Bio-Reactor Description and Monitoring Plan

The experiment was designed as a parallel study to investigate the effect of different aeration methods on the rapid stabilization of the Huaming landfill site. It considers the energy consumption and remediation effects in order to determine the best disposal plan for the landfill. The dominant kind of waste in the Huaming landfill is mainly from domestic sources, based on the different depths of the landfill, which is mainly divided into three parts: within two years, two to five years, and five to nine years. For waste sampled at different depths and different landfill ages, the experiment used intermittent aeration to achieve rapid stabilization of the landfill. Fresh waste obtained within two years has a high content of self-generated organic matter and a high BDM, and this was continuously and rapidly aerated to degrade the organic matter present in the waste. Some of the easily degradable organic matter present in the waste obtained within a two to five-year period has been degraded. Limited aeration can create aerobic-anaerobic zones within the landfill, thus increasing the variety of bacteria responsible for degradation to achieve the synergistic removal of carbon and nitrogen. However, at a longer landfill age of five to nine years, most of the organic matter occurring in the waste is difficult to degrade. These types of waste include rubber, plastic, and lignin, which have low degradability. Moreover, according to the results obtained from small-scale experiments, the optimal moisture content for aerobic restoration of waste is in the range of 40–50%, and the optimal oxygen concentration is above 15%. Furthermore, oxygen concentration has a greater effect on waste degradation than moisture content. Therefore, the experiment simulates the aerobic restoration of waste in the landfill for three different landfill ages by setting up three reactors (referred to as M1, M2, and M3) to provide a reference for subsequent research studies.

Establishment of Experiment System

Three bioreactors were set up to evaluate the effect of aerobic stabilization technology on waste bodies and leachate composition at different depths. The effective diameter of the experimental column (D) is 1500 mm, the effective length (h) is 1630 mm, the effective volume of the experimental column (V) is 2.88 m3, and the average density of the waste is 0.85 t/m3.
In the experiment, stratified aeration technology was used to stabilize the landfill waste based on the different landfill depths and landfill ages. Considering that the high content of organic matter and the BDM of waste is less than two years of landfill age, continuous aeration will be used to rapidly degrade the organic substances. Even though there is a limited supply of oxygen for waste obtained within two to five years, the aerobic and semi-aerobic areas can be built inside the bioreactor to increase the type of degrading bacteria, which will remove the carbon and nitrogen concurrently. As for long-term landfill waste with a period of five to nine years, the organic substances are rubber, plastic, and lignin; these have low degradability. Consequently, three bioreactors (recorded as M1, M2, and M3) are set in this experiment to simulate the stabilization of waste with different ages in the landfill site and serve as a reference for this project.
The sampling method used in the experiment involves removing large debris (such as stones larger than 50 cm) from the sample, then crushing the remaining waste into small particles ranging from 100 mm to 200 mm using a crusher. Using a layered landfill and manual compaction method, each landfill of 30 cm was compacted.
For the aeration, the reactor used a blower to aerate the waste in the reactor through a buried aeration pipe 50 cm long and perforated 1 m away from the reactor surface. The rector (M1) is filled with landfill waste with less than two years of landfill age that is sufficiently aerated with air, whereas reactor (M2) is filled with landfill waste of two to three years of landfill age intermittently aerated with air in the reactor every two days. Meanwhile, reactor (M3) is filled with landfill waste of five to nine years of landfill age without an aeration process.
A spray nozzle is installed at the top of the reactor, and a plurality of fan-shaped nozzles is used. A peristaltic pump was used to spray the leachate from the top of the reactor. The number and angle of the nozzles are adjusted to achieve the design area of the spray. At the same time, leachate obtained from the landfill is used to backfill the M1, M2, and M3 reactors. As the M1 continues to produce leachate, the leachate generated in the reactor is backfilled to M2, whereas the leachate produced from the M2 reactor is backfilled to the M3 reactor based on the design value. If the leachate produced is not sufficient to meet the design value, the leachate obtained from the landfill site is used to supplement the remaining part. The relevant system is shown in Figure 2 and Figure 3 below:
The experiment took samples of waste from the landfill at different depths of 0–2 m, 4–5 m, and 5–9 m. After the removal of large stones (>30 cm in diameter) and other impurities, the samples were filled into the reactors in layers and compacted at every 20 cm of depth. When the reactors were filled to the monitoring probe and vent pipe areas, the probes and pipes were buried in place, and the waste was compacted into the reactors. Because the waste at 5–9 m is older and more decomposed, the density of the M3 reactor was found to be 1.1 t/m³, while the densities of the M1 and M2 reactors were 0.85 t/m³, as shown in Table 2.
In these experiments, the waste samples were separated using a manual screening method, and their components were classified. The experimental testing indicators and methods were based on the requirements specified in the National Standards [13,14,15].

2.3. Monitoring Indicators and Frequency

During the experiment, the indicators of leachate and gas were monitored to assess the stabilization process of the waste. Due to the heterogeneity of the waste in the landfill, many researchers choose to monitor the indicators of the leachate and gas to characterize the stabilization degree of the landfill. Among these indicators, the BOD5/COD and CO2/CH4 in leachate and CO2/CH4 in the gas are widely recognized and are significantly related to the stabilization degree of the landfill. When the BOD5/COD < 0.1 and CO2/CH4 < 0.5, the landfill is considered to have completed the stabilization process [8,16,17]. Therefore, this study observed the indicators of the leachate to characterize the stabilization degree of the waste, and the relevant monitoring indicators are listed in Table 3.

3. Results and Discussion

3.1. Preliminary Landfill Characterization

The sample, after being crushed and dried, was analyzed through manual screening and mesh screening. The characteristics of waste components from the Landfill are shown in Table 4. The word “mixture” refers to a mixture of components with less than 10 mm particle size.

Physicochemical Properties

Table 5 shows the physical and chemical characteristics of the waste samples in this experiment.
The results of the waste composition and physicochemical properties show that there are differences in the content of the waste and organic matter at different depths and landfill ages. The landfill age of waste was divided into three parts: less than two years, two to approximately five years, and five to approximately nine years, corresponding to the landfilled depth of 0~2 m, 2~5 m, and 5~9 m, respectively.

3.2. Development of Aeration and Reinjection

Static Respiration Index (SRI) is obtained by observing a change in the oxygen concentration in a closed container with the samples [20]. In contrast, the Dynamic Respiration Index (DRI) is derived by calculating the changes in the concentration of oxygen from the inlet and outlet airflow around samples 12 instantaneous times within 24 h, taking into consideration the solid weight, gas flow rate, and time variation. The DRI represents the highest activity of microorganisms during the four-day observation period [21]. The mathematical expression for the DRI is shown below:
DRI = ∑DRIdm/12
DRIdm (mgO2 kg DM−1 h−1) = Q × θ × ΔO2 × Vg−1 × 31.98 × DM−1 × θ−1
where Q is the gas flow rate (measured in L/h); θ is the data acquisition time (s); ΔO2 is the difference between the oxygen concentration levels at the inlet and outlet gas flow of the reactor (mL/L); Vg is the molar volume of gas, (L/mole); 31.98 is the molecular mass of oxygen, (g/mol); and DM is the dry weight of the sample (kg).
By sampling and analyzing the waste sample in two years of landfill age, the changing trend of waste DRIdm data is shown in Figure 4.
Researchers found that the Static Respiratory Index (SRI) and Dynamic Respiratory Index (DRI) are both effective in reflecting the biodegradability of solid waste, though the data of both indices change in consistency [22]. Therefore, the ventilation quantity in this experiment is calculated based on the DRIdm value measured from the waste component with the following equation:
Q = D R I d m × m i 1 W × 0.21 × 1.429 × K × T × 1000
where Q is the total air volume (measured in L/h); DRIdm is the dynamic respiratory index of the sample, (mg/(kg·h)); mi is the mass of the sample (kg); W is the moisture content of waste, (%); 0.21 is the volume fraction of oxygen in the air (%); T is the full load operation repair period, (h); 1.429 is the density of oxygen under standard conditions, (g/L); and K is the oxygen utilization rate (%).
According to the DRIdm monitoring results, the peak value for the DRIdm in the past 100 days for the waste anaerobic digestion system was selected as 2985 mg/(kg×h). However, for the 60-day period of the past two years, the value of 1522 mg/(kg×h) was selected as the design value for the 100- to 200-day period based on the 150-day average value from the trial period. The design value for oxygen utilization efficiency was set at 60%.
To maintain the required leachate levels, the amount of backflow is calculated based on the amount of leachate generated from the landfill. This calculation was specified in the “Technical code for leachate treatment of municipal solid waste” CJJ150-2010. The equation is as presented below:
Q = I × ( C 1 A 1 + C 2 A 2 + C 3 A 3 ) 1000
where Q is the leachate produced (measured in m³/d); I is the multi-year average daily rainfall (mm/d); A1 is the catchment area of the work unit, (m2), C1 is the exudation coefficient of the work unit; A2 is the catchment area of intermediate coverage unit, (m2); C2 is the seepage coefficient of intermediate cover unit; A3 is the catchment area of terminal coverage unit (m2); and C3 is exudation coefficient of final covering unit.
The study also considered the maximum water retention of MSW in the landfill for re-injection and daily re-injection of leachate into the reactor with spray irrigation. The water retention of MSW, the water supply, and the water retention at the landfill were in agreement with the relevant research results, which were determined as 47.19%, 28.75%, and 18.44%, respectively [12]. The minimum area of the re-injection unit (Amin) was calculated as follows:
A m i n = Q C × H
where Amin is the minimum area of reinjection unit (m2/d); Q is the leachate production (m³/d); C is the water holding capacity of domestic waste (%); and H is the effective landfill depth (m).
In conclusion, the design parameters of the experimental reactors M1, M2, and M3 are shown in Table 6 below:

3.3. Effects on Waste and Leachate

3.3.1. BOD5 and COD

The variation of leachate in M1, M2, and M3 reactors after 300 days of aerobic remediation testing is shown in the Figure 5 and Figure 6 below:
The results demonstrate that the aerobic-semi aerobic-anaerobic process is highly effective in reducing the BOD5 and COD values in the leachate of the landfill. The M1 reactor achieved an outstanding BOD5 reduction rate of 99.3% and a COD reduction rate of 95.7% when the BOD5 was reduced to 50 mg/L. The high reduction rate is observed in the M1 reactor due to the young age of the waste in the reactor, which contained a high concentration of readily decomposable organic matter. The M2 reactor, which contained waste of intermediate age, achieved a BOD5 reduction rate of 96.5% and a COD reduction rate of 93.4% when the BOD5 was reduced to 356.4 mg/L. The M3 reactor, which contained much older waste, achieved a BOD5 reduction rate of 67.9% and a COD reduction rate of 49.1% when the BOD5 was reduced to 1730 mg/L. Although the M3 reactor had a lower reduction rate, it still achieved a significant reduction in BOD5 and COD values. The results demonstrate that the aerobic-semi aerobic-anaerobic process has a positive impact on the degradation of organic matter in the leachate, making it a promising method for the treatment of landfill leachate.

3.3.2. BOD5 to COD (B/C) Ratio

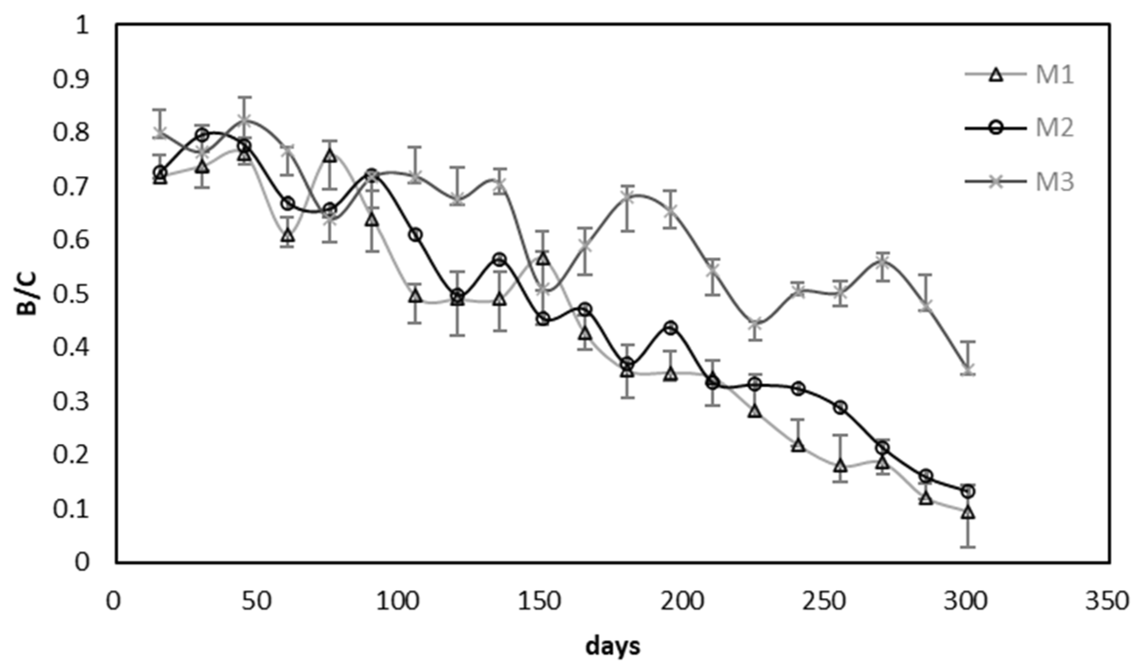
The BOD5 to COD (B/C) ratio, representing the ratio of biodegradable organic carbon in landfill waste, is a crucial indicator of waste stabilization, was shown in Figure 7. The experimental results demonstrated that the B/C values of the M1 and M2 reactors are 0.10 and 0.11, respectively, indicating that the waste in these reactors had undergone significant stabilization. The B/C value of the M3 reactor was relatively higher, at 0.39, suggesting that more time might be required to achieve complete stabilization. These findings are presented in the figure below, which displays the B/C data for each of the three reactors. Overall, these results indicate that the experimental design was successful in achieving waste stabilization.
The high concentration of pollutants in the landfill can be attributed to the fact that most of the waste comes from the surrounding households, producing a significant impact on the landfill’s condition. As the landfill’s depth increases, the age of the waste gradually increases, with the surface layer containing waste that is no more than one year old, while the waste found in the deeper layers could be older than eight years. The M1 and M2 experimental reactors exhibited high concentrations of pollutants because the waste deposited in them was relatively new, ranging from one to five years, and these contained a higher portion of readily decomposable organic matter.
Moreover, the gas-water control technology employed in the experiment proved effective in promoting the decomposition of organic matter in the waste. The B/C ratio for the M1 and M2 reactors reached 0.10 and 0.11, respectively, indicating that the waste stabilization process was close to completion. The M3 reactor also had a lower B/C ratio, indicating that the employed anaerobic technology not only had a positive effect on the decomposition of new waste but also played a role in the anaerobic decomposition of older waste in the landfill. Overall, the experiment demonstrated that effective waste management strategies, such as gas-water control and anaerobic technology, can help to stabilize landfill conditions and promote the decomposition of organic matter in the waste.

3.3.3. NH3-N and TN

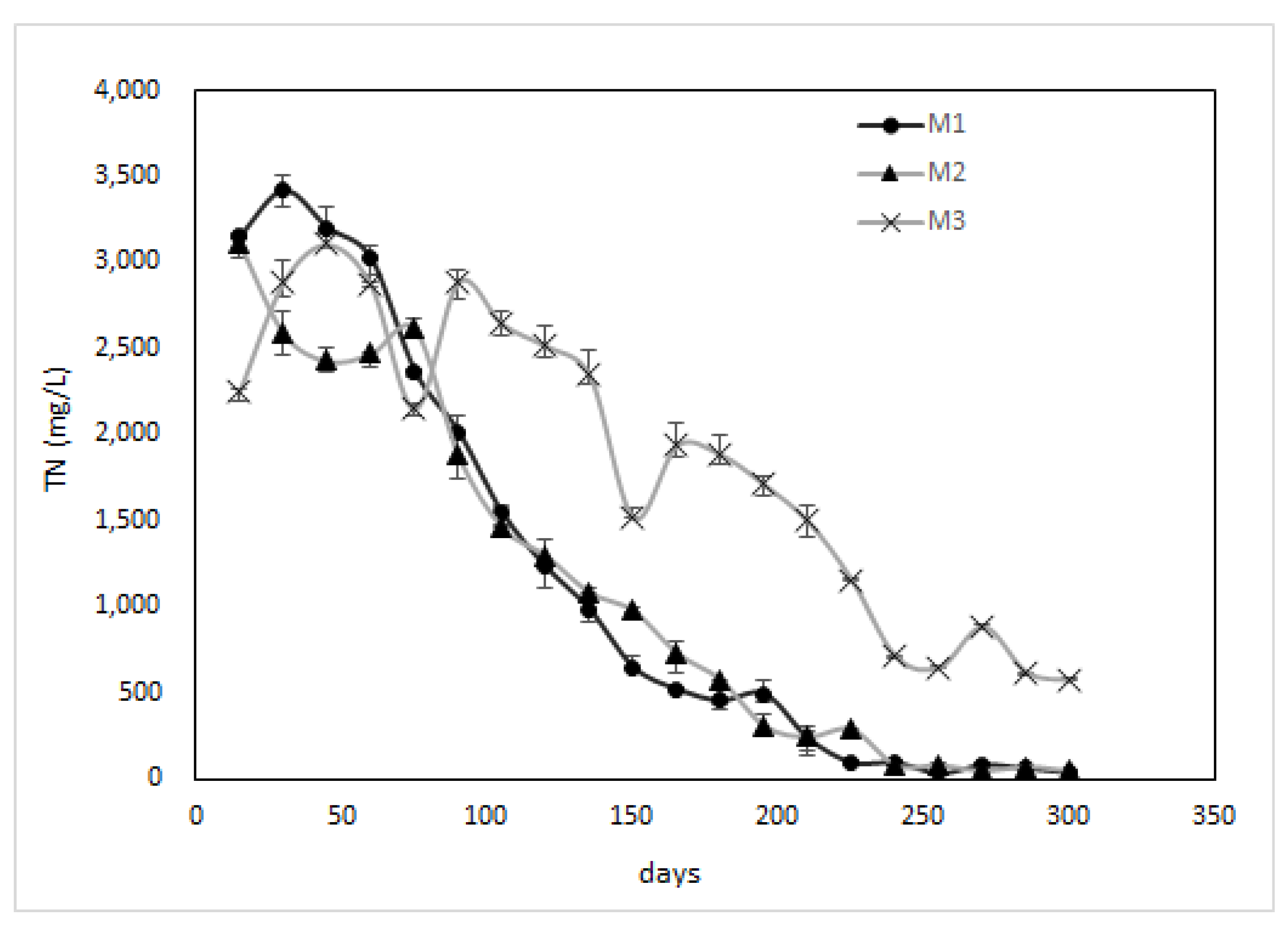
Moreover, the experiment demonstrates a significant reduction in NH3-N and TN concentrations in the M1, M2, and M3 reactors, with corresponding reduction rates of 99.2%, 98.3%, and 88.3% for NH3-N and 98.8%, 98.5%, and 74.6% for TN, respectively. These results indicate that the aerobic-semi aerobic-anaerobic process effectively aerated and oxidized the leachate in the reactors. The decrease in NH3-N and TN concentrations is illustrated in the figure below. The reductions in NH3-N and TN concentrations in the reactors were likely due to the combined effects of the nitrification and denitrification process, as well as the anaerobic degradation of nitrogen-containing organic compounds. Overall, these results suggest that the aerobic-semi aerobic-anaerobic process has the potential to serve as an effective method for the treatment of leachate from landfills. The trend of NH3-N and TN over time was shown in Figure 8 and Figure 9.

3.3.4. The Sedimentation Settling Rate Changes

The settling rate is another important parameter that evaluates the stability of the waste landfill. After 300 days of weathering and joint treatment, the settling rate of the M1 reactor was found to be 260.5 mm, which is significantly higher than that of the M2 reactor at 162.2 mm. This difference can be attributed to the high proportion of organic matter present in the waste inside the M1 and M2 reactors and the positive impact of gas-water joint treatment technology on removing the organic matter from the waste. As a result, the waste in these reactors slowly settles down due to gravity. In contrast, the rate of degradation of the waste in the M3 reactor is limited; therefore, the settling effect is not obvious. The changes in the settling rate are shown in Figure 10 below, highlighting the significant increase in the settling rate in the M1 reactor after the treatment.

3.4. Discussion

The experiment revealed that the aerobic-semi aerobic-anaerobic reaction has great potential in the rapid and stable treatment of municipal solid waste with different landfill ages. The system proved highly stable and efficient in removing organic components from the waste and leachate. After aeration process, the BOD5 and COD in the leachate were quickly degraded in the M1 and M2 reactors. Additionally, after being treated with aeration, the leachate was re-injected into the M3 reactor, which further accelerated the reaction, even in anaerobic conditions. The aerobic pre-treatment has a promoting effect on the degradation of fat, carbohydrate, protein, and lignin in the waste components [23]. In addition, aerobic pre-treatment can enhance the methane production ability of landfill. Furthermore, due to the rapid degradation of organic components in the waste during aerobic pre-treatment, the porosity of waste components increases, forming positive feedback and accelerating the rate at which organic matter is decomposed in the waste heap. At the same time, because fresh waste has a high content of easily degraded organic matter, the population and activity of the degradation bacteria in fresh waste are significantly higher than those in aged waste. Moreover, the solubility of organic matter in saturated organic components is significantly higher in fresh waste leachate than in aged waste leachate [24]. Leachate recycling through irrigation is beneficial and increases the population of bacteria in the aged waste, continually promoting the activity of aerobic microorganisms in fresh waste and thus improving the overall metabolic efficiency of the waste.
In this study, various techniques were employed to achieve the effective removal of ammonia and nitrogen from landfill waste. The use of aerobic, semi-aerobic, and anaerobic environments allowed for the improvement of the nitrification-denitrification process, which is crucial for this process. Additionally, joint leachate irrigation technology was utilized to ensure that the leachate remained in the landfill reactors for a sufficient period of time to allow the ammonia and nitrogen to undergo short-term nitrification-denitrification synchronization. This synchronization is vital to effectively remove ammonia and nitrogen from the leachate. Furthermore, researchers conducted quasi-oxygen nitrification-denitrification batch tests and found that different denitrifying bacteria also play a crucial role in the oxygen nitrification-denitrification process [25]. However, in anoxic environments, the removal of nitrogen from the waste is primarily contributed by the anoxic ammonia oxidation bacteria. Thus, optimizing the conditions for both types of bacteria is essential for efficient ammonia and nitrogen removal from landfill waste.
In terms of oxygen utilization efficiency, the indicator of DRIdm was used to depict the oxygen demand of different components in the waste during the gas-water joint regulation process. Combined with leachate back-pumping technology, it promotes the richness and activity of microorganisms in different reaction columns and enables high-efficiency denitrification of short-term nitrification, anoxic ammonification, and aerobic degradation of waste. However, in contrast to the traditional aerobic rehabilitation technology of landfills in China, which uses the BDM or porosity method, stable continuous/intermittent aeration of the landfill is carried out after setting the target value [26,27], and the required oxygen supply for calculation is 92.5 L/h, consumes more oxygen than the two methods mentioned above. Compared with these two methods, the DRIdm indicator can reduce air exposure by 60%, greatly reducing the operation cost.
Moreover, the gas-water joint treatment technology proved to be effective in removing organic matter from the waste, as was evidenced by the high settling rates observed in the M1 and M2 reactors. Overall, this study highlights the potential of this technology for sustainable waste management and presents a promising solution for waste treatment in landfills.

4. Conclusions

In-situ aeration technology accelerates the stabilization of MSW landfills through enhancing the degradation of organics, but it still suffers the high energy-consuming and operating costs due to low oxygen utilization efficiency. This research aims to improve oxygen utilization efficiency and therefore improve the designing and engineering of the in-situ aeration process in MSW landfills. Herein three different reactors of M1, M2, and M3 were constructed, with different age wastes in piles, and were treated under aerobic, semi-aerobic, and anaerobic conditions, during which the leachate was recirculated, the dynamic respiratory index was monitored, and gas-water control parameters were optimized at different landfill depths. Furthermore, this study monitored the efficiency of the removal of ammonia and nitrogen from landfill waste, including the use of different environments, leachate irrigation technology, and different types of bacteria. Such techniques are crucial for effective waste management and the protection of the environment. The results show that the simultaneous control of gas and water can significantly improve the rate at which organic matter is removed from the landfill. The COD, BOD, NH3-N, and TN were all significantly reduced. Compared with the traditional means of aeration, this method can significantly reduce the quantity by more than 60%. Overall, our study has demonstrated the potential benefits of incorporating aerobic pre-treatment and leachate into waste management practices, which can help to improve the efficiency and sustainability of waste treatment processes.

Author Contributions

Methodology, H.Z., T.P. and J.L.; Validation, Y.G.; writing—original draft preparation, J.L.; Writing—review and editing, Y.G. and L.H.; Supervision, G.C. All authors have read and agreed to the published version of the manuscript.

Funding

This research received no external funding.

Institutional Review Board Statement

The study did not require ethical approval.

Informed Consent Statement

Not applicable. The study did not involve humans.

Data Availability Statement

Data is unavailable due to local privacy.

Conflicts of Interest

The authors declare no conflict of interest.

References

  1. Read, A.D.; Hudgins, M.; Phillips, P. Perpetual landfilling through aeration of the waste mass; lessons from test cells in Georgia (USA). Waste Manag. 2001, 21, 617–629. [Google Scholar] [CrossRef] [PubMed]
  2. Slezak, R.; Krzystek, L.; Ledakowicz, S. Degradation of municipal solid waste in simulated landfill bioreactors under aerobic conditions. Waste Manag. 2015, 43, 293–299. [Google Scholar] [CrossRef] [PubMed]
  3. Liu, L.; Ma, J.; Xue, Q.; Shao, J.; Chen, Y.; Zeng, G. The in-situ aeration in an old landfill in China: Multi-wells optimization method and application. Waste Manag. 2018, 76, 614–620. [Google Scholar] [CrossRef]
  4. Öncü, G.; Reiser, M.; Kranert, M. Aerobic in situ stabilization of Landfill Konstanz Dorfweiher: Leachate quality after 1 year of operation. Waste Manag. 2012, 32, 2374–2384. [Google Scholar] [CrossRef] [PubMed]
  5. Heyer, K.U.; Hupe, K.; Ritzkowski, M.; Stegmann, R. Pollutant release and pollutant reduction—Impact of the aeration of landfills. Waste Manag. 2005, 25, 353–359. [Google Scholar] [CrossRef] [PubMed]
  6. Ritzkowski, M.; Stegmann, R. Landfill aeration worldwide: Concepts, indications and findings. Waste Manag. 2012, 32, 1411–1419. [Google Scholar] [CrossRef] [PubMed]
  7. Ritzkowski, M.; Heyer, K.-U.; Hupe, K.; Stegmann, R. Long term landfill aeration by means of a wind driven air venting and aeration system. Twelfth Int. Waste Manag. Landfill Symp. 2009, 15, 879–880. [Google Scholar]
  8. Zhou, H.; Wang, Y.; Wang, P.; Ma, Z. Experimental study on key parameters of oxygen extraction technology in landfill treatment. Green Technol. 2015, 33, 126–130. [Google Scholar]
  9. Meng, F.; Guo, J.; Liu, Z.; Zhu, W.; Han, J.; Wu, S. Field Testing Study on Design Parameters of Aerobic Stabilization Process in Landfills. Environ. Sanit. Eng. 2021, 29, 93–98. [Google Scholar]
  10. Kadambala, R.; Powell, J.; Singh, K.; Townsend, T.G. Evaluation of a buried vertical well leachate recirculation system for municipal solid waste landfills. Waste Manag. Res. 2016, 34, 1300–1306. [Google Scholar] [CrossRef] [PubMed]
  11. Yang, X.; Cao, Z.; Ge, Y.; Dai, X. Design and Practice of Aerobic Stabilized Ventilation System of Landfill Sites. Green Technol. 2021, 20, 164–167, 171. [Google Scholar]
  12. Li, R. Study on In Situ Aerobic Accelerated Stabilization of Landfill Waste. Ph.D. Thesis, Tsinghua University, Beijing, China, 2013. [Google Scholar]
  13. GB/T 50123-1999; Standard for Soil Test Method. China Planning Press: Beijing, China, 1999.
  14. GB/T 23857-2009; Monitoring and Testing in Municipal Solid Waste Landfill Degradation Treatment. AQSIQ: Beijing, China, 2009.
  15. CJ/T 428-2013; Detection Methods for the Leachate from Municipal Solid Waste. MOHURD: Beijing, China, 2013.
  16. Adani, F.; Lozzi, P.; Genevini, P. Determination of biological stability by oxygen uptake on municipal solid waste and derived products. Compos. Sci. Util. 2001, 9, 163–178. [Google Scholar] [CrossRef]
  17. Zhang, X. Design on the Landfill Leachate Reduction Control and Treatment Scheme in Tianshui City. Master’s Thesis, Lanzhou University, Lanzhou, China, 2012. [Google Scholar]
  18. Xu, B. Quality inspection method of layered compacted subgrade and engineering example analysis. EDP Sci. 2021, 248, 03068. [Google Scholar] [CrossRef]
  19. Wang, X.; Zhao, J.; Dong, C.; Shen, D.; Xiao, R. Structure characterization and pyrolysis behaviour of Klason lignin from wood. J. Southeast Univ. Nat. Sci. Ed. 2014, 44, 782–786. [Google Scholar]
  20. Tian, L.; Wang, H.; Yang, Y.; Qu, Z. Remediation of an Informal Landfill Site by In Situ Aeration. Environ. Eng. 2019, 37, 949–954. [Google Scholar]
  21. Iannotti, D.A.; Pang, T.; Toth, B.L.; Elwell, D.L.; Keener, H.M.; Hoitink, H.A.J. A quantitative respirometric method for monitoring compost stability. Compos. Sci. Util. 1993, 1, 52–65. [Google Scholar] [CrossRef]
  22. Kelly, R.J. Solid Waste Biodegradation Enhancements and the Evaluation of Analytical Methods Used to Predict Waste Stability. Master’s Thesis, Virginia Polytechnic Institute and State University, Blacksburg, VA, USA, 2002. [Google Scholar]
  23. Li, L.; Peng, Y.; Tan, H.; Yang, P.; Ru, L.; Wang, X.; Peng, X. Application status and research progress of in-situ landfill aeration. China Environ. Sci. 2021, 41, 2725–2736. [Google Scholar]
  24. Xu, H. Large-Scale Model Test and Application of Biochemical, Hydraulic and Mechanical Interaction of High Kitchen Waste. Ph.D. Thesis, Zhejiang University, Zhejiang, China, 2016. [Google Scholar]
  25. Gao, B. Application of solid aerobic biological reaction technology in the treatment of inventory. Guangdong Chem. Ind. 2018, 45, 217–218, 220. [Google Scholar]
  26. Ni, Z. Regulation Mechanism of MSW “Aerobic-Anaerobic-Aerobic” Three-Stage Bioreactor Landfill. Ph.D. Thesis, Tsinghua University, Beijing, China, 2017. [Google Scholar]
  27. Jiang, C. Study on Acceleration of Waste Stabilization in Semi-Aerobic Landfill. Master’s Thesis, Changchun University, Changchun, China, 2020. [Google Scholar]
Figure 1. Aerial view of the Huaming landfill site.
Figure 1. Aerial view of the Huaming landfill site.
Processes 11 02382 g001
Figure 2. The process of experimental system.
Figure 2. The process of experimental system.
Processes 11 02382 g002
Figure 3. The main view of experimental system.
Figure 3. The main view of experimental system.
Processes 11 02382 g003
Figure 4. The change of waste DRIdm in the landfill over time.
Figure 4. The change of waste DRIdm in the landfill over time.
Processes 11 02382 g004
Figure 5. The trend of BOD5 over time.
Figure 5. The trend of BOD5 over time.
Processes 11 02382 g005
Figure 6. The trend of COD over time.
Figure 6. The trend of COD over time.
Processes 11 02382 g006
Figure 7. The trend of BOD5/COD over time.
Figure 7. The trend of BOD5/COD over time.
Processes 11 02382 g007
Figure 8. The trend of NH3-N over time.
Figure 8. The trend of NH3-N over time.
Processes 11 02382 g008
Figure 9. The trend of TN over time.
Figure 9. The trend of TN over time.
Processes 11 02382 g009
Figure 10. The trend of settling rate over time.
Figure 10. The trend of settling rate over time.
Processes 11 02382 g010
Table 1. Analysis of the average density of waste samples at different depths in the landfill.
Table 1. Analysis of the average density of waste samples at different depths in the landfill.
Depth (m)259
Landfill age (a)1~23~56~8
Average Density (kg/m³)689812926
Table 2. Reactor waste loading parameters.
Table 2. Reactor waste loading parameters.
NumberLandfill Age (a)Mass (t)Density (t/m³)
M10~22.45 ± 0.010.85 ± 0.1
M22~52.45 ± 0.010.85 ± 0.1
M35~92.69 ± 0.011.1 ± 0.1
Table 3. The monitoring indexes and frequencies of the gas-water joint regulation system.
Table 3. The monitoring indexes and frequencies of the gas-water joint regulation system.
TypeIndicatorsMethodFrequency
SolidCompaction densitySand filling method [18]Every 15 days
SettlementLeveling instrument measurement methodEvery 15 days
Organic compoundCauterant methodEvery 15 days
VOCGC-MSEvery 15 days
CelluloseDNA colorimetryEvery 15 days
HemicelluloseDNA colorimetryEvery 15 days
LigninKlason method [19]Every 15 days
LiquidCODPotassium dichromate oxidation methodEvery 15 days
BOD5Dilution and cultivation methodEvery 15 days
Ammonia nitrogenDistillation titration methodEvery 15 days
Total nitrogenAlkaline potassium persulfate digestion-UV spectrophotometryEvery 15 days
Table 4. Analysis of waste compositions in a landfill.
Table 4. Analysis of waste compositions in a landfill.
ComponentsMass Percentage at
2 m Depth (%)
Mass Percentage at 5 m Depth (%)Mass Percentage at
9 m Depth (%)
Plastic or rubber36.7452.2232.42
Brick, tile, or ceramic7.0310.916.26
Textile31.2612.691.04
Metal6.177.3815.7
Paper16.60.643.32
Mixture2.216.1641.26
Table 5. Physical and chemical characteristics of waste in landfill.
Table 5. Physical and chemical characteristics of waste in landfill.
TypeMass Ratio of Waste at 2 m Depth (%)Mass Ratio of Waste at 5 m Depth (%)Mass Ratio of Waste at 9 m Depth (%)
Water content58.9424.03 17.39
Organic compound28.7418.22 9.02
Volatile solid (VS)44.4850.14 6.54
BDM38.7826.12 3.61
Cellulose (C)6.041.26 0.68
Hemicellulose39.8011.18 0.40
Lignin (L)26.5724.53 6.38
Table 6. Ventilation and recirculation system parameters.
Table 6. Ventilation and recirculation system parameters.
Air Volume during 0~100 Days (L/h)Air Volume during 100~200 Days (L/h)Air Volume during 200~300 Days (L/h)Recharge Volume (m3/d)Reinjection Area (m2/d)
M130.7812.377.890.196 ± 0.10.652
M216.248.983.400.196 ± 0.10.652
M30000.215 ± 0.10.715
Disclaimer/Publisher’s Note: The statements, opinions and data contained in all publications are solely those of the individual author(s) and contributor(s) and not of MDPI and/or the editor(s). MDPI and/or the editor(s) disclaim responsibility for any injury to people or property resulting from any ideas, methods, instructions or products referred to in the content.

Share and Cite

MDPI and ACS Style

Liu, J.; Pan, T.; Zhao, H.; Guo, Y.; Chen, G.; Hou, L. Application of Landfill Gas-Water Joint Regulation Technology in Tianjin Landfill. Processes 2023, 11, 2382. https://doi.org/10.3390/pr11082382

AMA Style

Liu J, Pan T, Zhao H, Guo Y, Chen G, Hou L. Application of Landfill Gas-Water Joint Regulation Technology in Tianjin Landfill. Processes. 2023; 11(8):2382. https://doi.org/10.3390/pr11082382

Chicago/Turabian Style

Liu, Jun, Tianqi Pan, Huihui Zhao, Yan Guo, Guanyi Chen, and Li’an Hou. 2023. "Application of Landfill Gas-Water Joint Regulation Technology in Tianjin Landfill" Processes 11, no. 8: 2382. https://doi.org/10.3390/pr11082382

APA Style

Liu, J., Pan, T., Zhao, H., Guo, Y., Chen, G., & Hou, L. (2023). Application of Landfill Gas-Water Joint Regulation Technology in Tianjin Landfill. Processes, 11(8), 2382. https://doi.org/10.3390/pr11082382

Note that from the first issue of 2016, this journal uses article numbers instead of page numbers. See further details here.

Article Metrics

Back to TopTop