Pd-M (M = Ni, Co) Bimetallic Catalysts with Tunable Composition for Highly Efficient Electrochemical Formic Acid Oxidation
Abstract
1. Introduction
2. Experimental Procedure
2.1. Synthesis of PdNi and PdCo Nanocatalysts
2.2. Characterizations of PdNi and PdCo Nanocatalysts
2.3. Electrocatalytic Performance Measurements
3. Results and Discussion
3.1. EDS and XRD Characterisation
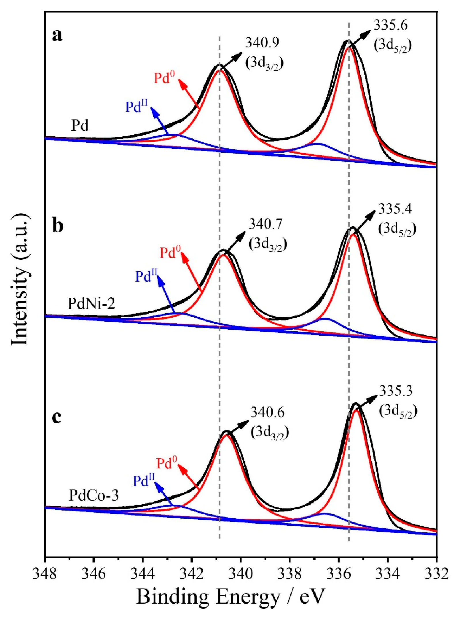
3.2. XPS Characterisation
3.3. SEM Characterisation
3.4. TEM Characterisation
3.5. Electrochemical Performance
4. Conclusions
Supplementary Materials
Author Contributions
Funding
Institutional Review Board Statement
Informed Consent Statement
Data Availability Statement
Conflicts of Interest
References
- Rice, C.; Ha, R.I.; Masel, R.I.; Waszczuk, P.; Wieckowski, A.; Barnard, T. Direct formic acid fuel cells. J. Power Source 2002, 111, 83–89. [Google Scholar] [CrossRef]
- Zhang, L.; Ding, L.X.; Luo, Y.; Zeng, Y.; Wang, S.; Wang, H. PdO/Pd-CeO2 hollow spheres with fresh Pd surface for enhancing formic acid oxidation. Chem. Eng. J. 2018, 347, 193–201. [Google Scholar] [CrossRef]
- Li, M.; Liu, R.; Han, G.; Tian, Y.; Chang, Y.; Xiao, Y. Facile synthesis of Pd-Ni nanoparticles on reduced graphene oxide under microwave irradiation for formic acid oxidation. Chin. J. Chem. 2017, 35, 1405–1410. [Google Scholar] [CrossRef]
- Wang, H.; Li, Y.; Li, C.; Wang, Z.; Xu, Y.; Li, X.; Xue, H.; Wang, L. Hyperbranched PdRu nanospine assemblies: An efficient electrocatalyst for formic acid oxidation. J. Mater. Chem. A 2018, 6, 17514–17518. [Google Scholar] [CrossRef]
- Qin, Y.H.; Jiang, Y.; Niu, D.F.; Zhang, X.S.; Zhou, X.G.; Niu, L.; Yuan, W.K. Carbon nanofiber supported bimetallic PdAu nanoparticles for formic acid electrooxidation. J. Power Source 2012, 215, 130–134. [Google Scholar] [CrossRef]
- Ding, Q.W.; Luo, Q.; Lin, L.; Fu, X.P.; Wang, L.S.; Yue, G.H.; Lin, J.; Xie, Q.S.; Peng, D.L. Facile synthesis of PdCu nanocluster-assembled granular films as highly efficient electrocatalysts for formic acid oxidation. Rare Metals 2022, 41, 2595–2605. [Google Scholar] [CrossRef]
- Ma, Y.; Li, T.; Chen, H.; Chen, X.; Deng, S.; Xu, L.; Sun, D.; Tang, Y. A general strategy to the synthesis of carbon-supported PdM (M = Co, Fe and Ni) nanodendrites as high-performance electrocatalysts for formic acid oxidation. J. Energy Chem. 2017, 26, 1238–1244. [Google Scholar] [CrossRef]
- Zhang, L.Y.; Gong, Y.; Wu, D.; Li, Z.; Li, Q.; Zheng, L.; Chen, W. Palladium-cobalt nanodots anchored on graphene: In-situ synthesis, and application as an anode catalyst for direct formic acid fuel cells. Appl. Surf. Sci. 2019, 469, 305–311. [Google Scholar] [CrossRef]
- Chen, X.; Wu, G.; Chen, J.; Chen, X.; Xie, Z.; Wang, X. Synthesis of “clean” and well-dispersive Pd nanoparticles with excellent electrocatalytic property on graphene oxide. J. Am. Chem. Soc. 2011, 133, 3693–3695. [Google Scholar] [CrossRef]
- Wang, X.; Yang, J.; Yin, H.; Song, R.; Tang, Z. “Raisin Bun”-like nanocomposites of palladium clusters and porphyrin for superior formic acid oxidation. Adv. Mater. 2013, 25, 2728–2732. [Google Scholar] [CrossRef]
- Liu, D.; Xie, M.; Wang, C.; Liao, L.; Qiu, L.; Ma, J.; Huang, H.; Long, R.; Jiang, J.; Xiong, Y. Pd-Ag alloy hollow nanostructures with interatomic charge polarization for enhanced electrocatalytic formic acid oxidation. Nano Res. 2016, 9, 1590–1599. [Google Scholar] [CrossRef]
- Zhang, L.Y.; Ouyang, Y.; Wang, S.; Wu, D.; Jiang, M.; Wang, F.; Yuan, W.; Li, C.M. Perforated Pd nanosheets with crystalline/amorphous heterostructures as a highly active robust catalyst toward formic acid oxidation. Small 2019, 15, 1904245. [Google Scholar] [CrossRef]
- Zhang, L.; Zhao, Z.; Fu, X.; Zhu, S.; Min, Y.; Xu, Q.; Li, Q. Curved porous PdCu metallene as a high-efficiency bifunctional electrocatalyst for oxygen reduction and formic acid oxidation. ACS Appl. Mater. Interfaces 2023, 15, 5198–5208. [Google Scholar] [CrossRef]
- Chen, Y.; Choi, Y.; Yoo, S.; Ding, Y.; Yan, R.; Pei, K.; Qu, C.; Zhang, L.; Chang, I.; Zhao, B.; et al. A highly efficient multi-phase catalyst dramatically enhances the rate of oxygen reduction. Joule 2018, 2, 938–949. [Google Scholar] [CrossRef]
- Tian, Q.; Chen, W.; Wu, Y. An effective PdCo/PWA-C anode catalyst for direct formic acid fuel cells. J. Electrochem. Soc. 2015, 162, F165–F171. [Google Scholar] [CrossRef]
- Di Noto, V.; Negro, E.; Lavina, S.; Gross, S.; Pace, G. Pd-Co carbon-nitride electrocatalysts for polymer electrolyte fuel cells. Electrochim. Acta 2007, 53, 1604–1617. [Google Scholar] [CrossRef]
- Hosseini, M.G.; Hosseinzadeh, F.; Zardari, P.; Mermer, O. Pd-Ni nanoparticle supported on reduced graphene oxide and multi-walled carbon nanotubes as electrocatalyst for oxygen reduction reaction. Fuller. Nanotub. Carbon Nanostruct. 2018, 26, 675–687. [Google Scholar] [CrossRef]
- Li, R.; Wei, Z.; Huang, T.; Yu, A. Ultrasonic-assisted synthesis of Pd-Ni alloy catalysts supported on multi-walled carbon nanotubes for formic acid electrooxidation. Electrochim. Acta 2011, 56, 6860–6865. [Google Scholar] [CrossRef]
- Guo, F.; Li, Y.; Fan, B.; Liu, Y.; Lu, L.; Lei, Y. Carbon- and binder-free core-shell nanowire arrays for efficient ethanol electro-oxidation in alkaline medium. ACS Appl. Mater. Interfaces 2018, 10, 4705–4714. [Google Scholar] [CrossRef]
- Hammer, B.; Norskov, J.K. Theoretical surface science and catalysis—Calculations and concepts. Adv. Catal. 2000, 45, 71–129. [Google Scholar]
- Almeida, C.V.S.; Tremiliosi-Filho, G.; Eguiluz, K.I.B.; Salazar-Banda, G.R. Improved ethanol electro-oxidation at Ni@Pd/C and Ni@PdRh/C core-shell catalysts. J. Catal. 2020, 391, 175–189. [Google Scholar] [CrossRef]
- Zhu, C.; Wen, D.; Oschatz, M.; Holzschuh, M.; Liu, W.; Herrmann, A.K.; Simon, F.; Kaskel, S.; Eychmueller, A. Kinetically controlled synthesis of PdNi bimetallic porous nanostructures with enhanced electrocatalytic activity. Small 2015, 11, 1430–1434. [Google Scholar] [CrossRef] [PubMed]
- Pan, Y.; Zhu, Y.; Shen, J.; Chen, Y.; Li, C. Carbon-loaded ultrafine fully crystalline phase palladium-based nanoalloy PdCoNi/C: Facile synthesis and high activity for formic acid oxidation. Nanoscale 2019, 11, 17334–17339. [Google Scholar] [CrossRef] [PubMed]
- Hu, S.; Munoz, F.; Noborikawa, J.; Haan, J.; Scudiero, L.; Ha, S. Carbon supported Pd-based bimetallic and trimetallic catalyst for formic acid electrochemical oxidation. Appl. Catal. B-Environ. 2016, 180, 758–765. [Google Scholar] [CrossRef]
- Zheng, J.N.; He, L.L.; Chen, F.Y.; Wang, A.J.; Xue, M.W.; Feng, J.J. A facile general strategy for synthesis of palladium-based bimetallic alloyed nanodendrites with enhanced electrocatalytic performance for methanol and ethylene glycol oxidation. J. Mater. Chem. A 2014, 2, 12899–12906. [Google Scholar] [CrossRef]
- Liu, H.; Yu, Y.; Yang, W.; Lei, W.; Gao, M.; Guo, S. High-density defects on PdAg nanowire networks as catalytic hot spots for efficient dehydrogenation of formic acid and reduction of nitrate. Nanoscale 2017, 9, 9305–9309. [Google Scholar] [CrossRef]
- Jiang, B.; Li, C.; Malgras, V.; Bando, Y.; Yamauchi, Y. Three-dimensional hyperbranched PdCu nanostructures with high electrocatalytic activity. Chem. Commun. 2016, 52, 1186–1189. [Google Scholar] [CrossRef]
- Morales-Acosta, D.; Ledesma-Garcia, J.; Godinez, L.A.; Rodriguez, H.G.; Alvarez-Contreras, L.; Arriaga, L.G. Development of Pd and Pd-Co catalysts supported on multi-walled carbon nanotubes for formic acid oxidation. J. Power Sources 2010, 195, 461–465. [Google Scholar] [CrossRef]
- Zhou, W.; Lee, J.Y. Highly active core-shell Au@Pd catalyst for formic acid electrooxidation. Electrochem. Commun. 2007, 9, 1725–1729. [Google Scholar] [CrossRef]
- Chen, L.; Guo, H.; Fujita, T.; Hirata, A.; Zhang, W.; Inoue, A.; Chen, M. Nanoporous PdNi bimetallic catalyst with enhanced electrocatalytic performances for electro-oxidation and oxygen reduction reactions. Adv. Funct. Mater. 2011, 21, 4364–4370. [Google Scholar] [CrossRef]
- Qiu, X.; Zhang, H.; Wu, P.; Zhang, F.; Wei, S.; Sun, D.; Xu, L.; Tang, Y. One-pot synthesis of freestanding porous palladium nanosheets as highly efficient electrocatalysts for formic acid oxidation. Adv. Funct. Mater. 2017, 27, 1603852. [Google Scholar] [CrossRef]
- Ye, N.; Bai, Y.; Jiang, Z.; Fang, T. Component-dependent activity of bimetallic PdCu and PdNi electrocatalysts for methanol oxidation reaction in alkaline media. Int. J. Hydrogen Energy 2020, 45, 32022–32038. [Google Scholar] [CrossRef]
- Mori, K.; Naka, K.; Masuda, S.; Miyawaki, K.; Yamashita, H. Palladium copper chromium ternary nanoparticles constructed insitu within a basic resin: Enhanced activity in the dehydrogenation of formic acid. Chemcatchem 2017, 9, 3456–3462. [Google Scholar] [CrossRef]
- Wesselmark, M.; Lagergren, C.; Lindbergh, G. Methanol and formic acid oxidation in zinc electrowinning under process conditions. J. Appl. Electrochem. 2008, 38, 17–24. [Google Scholar] [CrossRef]
- Mazumder, V.; Sun, S. Oleylamine-mediated synthesis of Pd nanoparticles for catalytic formic acid oxidation. J. Am. Chem. Soc. 2009, 131, 4588–4589. [Google Scholar] [CrossRef]
- Du, C.; Chen, M.; Wang, W.; Yin, G. Nanoporous PdNi alloy nanowires as highly active catalysts for the electro-oxidation of formic acid. ACS Appl. Mater. Interfaces 2011, 3, 105–109. [Google Scholar] [CrossRef]
- Wang, B.; Yang, J.; Wang, L.; Wang, R.; Tian, C.; Jiang, B.; Tian, M.; Fu, H. Hollow palladium nanospheres with porous shells supported on graphene as enhanced electrocatalysts for formic acid oxidation. Phys. Chem. Chem. Phys. 2013, 15, 19353–19359. [Google Scholar] [CrossRef]
- She, Y.; Lu, Z.; Fan, W.; Jewell, S.; Leung, M.K.H. Facile preparation of PdNi/rGO and its electrocatalytic performance towards formic acid oxidation. J. Mater. Chem. A 2014, 2, 3894–3898. [Google Scholar] [CrossRef]
- Zhao, Y.; Ding, Y.; Qiao, B.; Zheng, K.; Liu, P.; Li, F.; Li, S.; Chen, Y. Interfacial proton enrichment enhances proton-coupled electrocatalytic reactions. J. Mater. Chem. A 2018, 6, 17771–17777. [Google Scholar] [CrossRef]
- Zhang, Z.; Xin, L.; Sun, K.; Li, W. Pd-Ni electrocatalysts for efficient ethanol oxidation reaction in alkaline electrolyte. Int. J. Hydrogen Energy 2011, 36, 12686–12697. [Google Scholar] [CrossRef]
- Montserrat-Siso, G.; Wickman, B. PdNi thin films for hydrogen oxidation reaction and oxygen reduction reaction in alkaline media. Electrochim. Acta 2022, 420, 140425. [Google Scholar] [CrossRef]
- Wang, S.; Chang, J.; Xue, H.; Xing, W.; Feng, L. Catalytic stability study of a Pd-Ni2P/C catalyst for formic acid electrooxidation. Chemelectrochem 2017, 4, 1243–1249. [Google Scholar] [CrossRef]
- Huang, X.; Zhu, E.; Chen, Y.; Li, Y.; Chiu, C.Y.; Xu, Y.; Lin, Z.; Duan, X.; Huang, Y. A facile strategy to Pt3Ni nanocrystals with highly porous features as an enhanced oxygen reduction reaction catalyst. Adv. Mater. 2013, 25, 2974–2979. [Google Scholar] [CrossRef] [PubMed]
- Zhang, H.; Jin, M.; Wang, J.; Li, W.; Camargo, P.H.C.; Kim, M.J.; Yang, D.; Xie, Z.; Xia, Y. Synthesis of Pd-Pt bimetallic nanocrystals with a concave structure through a bromide-induced galvanic replacement reaction. J. Am. Chem. Soc. 2011, 133, 6078–6089. [Google Scholar] [CrossRef]








| Catalyst | Element | at% | Catalyst | Element | at% |
|---|---|---|---|---|---|
| PdNi-1 | Pd | 94.92 | PdCo-1 | Pd | 96.7 |
| Ni | 5.08 | Co | 3.3 | ||
| PdNi-2 | Pd | 90.3 | PdCo-2 | Pd | 93.94 |
| Ni | 9.7 | Co | 6.06 | ||
| PdNi-3 | Pd | 86.74 | PdCo-3 | Pd | 89.02 |
| Ni | 13.26 | Co | 10.98 | ||
| PdNi-4 | Pd | 79.03 | PdCo-4 | Pd | 82.12 |
| Ni | 20.97 | Co | 17.88 | ||
| PdNi-5 | Pd | 68.86 | PdCo-5 | Pd | 70.4 |
| Ni | 31.14 | Co | 29.6 |
Disclaimer/Publisher’s Note: The statements, opinions and data contained in all publications are solely those of the individual author(s) and contributor(s) and not of MDPI and/or the editor(s). MDPI and/or the editor(s) disclaim responsibility for any injury to people or property resulting from any ideas, methods, instructions or products referred to in the content. |
© 2023 by the authors. Licensee MDPI, Basel, Switzerland. This article is an open access article distributed under the terms and conditions of the Creative Commons Attribution (CC BY) license (https://creativecommons.org/licenses/by/4.0/).
Share and Cite
Ding, Q.; Luo, Q.; Lin, L.; Yang, T.; Fu, X.; Wang, L.; Lei, C. Pd-M (M = Ni, Co) Bimetallic Catalysts with Tunable Composition for Highly Efficient Electrochemical Formic Acid Oxidation. Processes 2023, 11, 1789. https://doi.org/10.3390/pr11061789
Ding Q, Luo Q, Lin L, Yang T, Fu X, Wang L, Lei C. Pd-M (M = Ni, Co) Bimetallic Catalysts with Tunable Composition for Highly Efficient Electrochemical Formic Acid Oxidation. Processes. 2023; 11(6):1789. https://doi.org/10.3390/pr11061789
Chicago/Turabian StyleDing, Qingwei, Qing Luo, Liang Lin, Tianlun Yang, Xingping Fu, Laisen Wang, and Caixia Lei. 2023. "Pd-M (M = Ni, Co) Bimetallic Catalysts with Tunable Composition for Highly Efficient Electrochemical Formic Acid Oxidation" Processes 11, no. 6: 1789. https://doi.org/10.3390/pr11061789
APA StyleDing, Q., Luo, Q., Lin, L., Yang, T., Fu, X., Wang, L., & Lei, C. (2023). Pd-M (M = Ni, Co) Bimetallic Catalysts with Tunable Composition for Highly Efficient Electrochemical Formic Acid Oxidation. Processes, 11(6), 1789. https://doi.org/10.3390/pr11061789

