Soil Destabilization Induced by Water Wetting Treatments Simulating Rain Infiltration Processes, Studied via Rheology and Granulometry
Abstract
1. Introduction
2. Materials and Methods
2.1. Materials: Soil
- The soil was suspended in distilled water, which was left to freely evaporate at room temperature until a dried soil was obtained. After one night in an oven at 40 °C, the whole soil sample was gently sieved to 250 μm to break the possible aggregates formed during the previous steps. With this procedure, the whole soil organic carbon remains within the sample, thus mimicking the rainwater infiltration/evaporation process. The soil obtained using this method is referred to as “evaporated water Snct”: Snct-ev or “evaporated water Sdoc”: Sdoc-ev.
- The soil was suspended in distilled water and left to settle. The clear supernatant water was drawn by a syringe, and the resulting viscous and dense paste was then dried at a temperature that never exceeded 40 °C. The whole soil sample was then gently sieved to 250 μm to break the possible aggregates formed during the previous steps. With this procedure, the organic carbon dissolved in the water is drawn together with the supernatant, thus mimicking the rainwater infiltration/drainage process during which the organic carbon in the water is brought away from the soil. The soil obtained using this method is referred to as “drawn water Snct”: Snct-dr or “drawn water Sdoc”: Sdoc-dr.
2.2. Methods
2.2.1. Rheology
2.2.2. Granulometry
3. Results
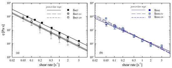
3.1. Rheology
3.2. Granulometry
4. Discussion
5. Conclusions
Author Contributions
Funding
Data Availability Statement
Acknowledgments
Conflicts of Interest
References
- De Blasio, F.V.; Breien, H.; Elverhøi, A. Modelling a cohesive-frictional debris flow: An experimental, theoretical, and field-based study. Earth Surf. Process. Landf. 2011, 36, 753–766. [Google Scholar] [CrossRef]
- Lorenzini, G.; Mazza, N. Debris Flow: Phenomenology and Rheological Modelling; WIT Press: Southampton, UK, 2004. [Google Scholar]
- Greco, R.; Guida, A.; Damiano, E.; Olivares, L. Soil water content and suction monitoring in model slopes for shallow flowslides early warning applications. Phys. Chem. Earth Parts A/B/C 2010, 35, 127–136. [Google Scholar] [CrossRef]
- Iverson, R.M.; Logan, M.; LaHusen, R.G.; Berti, M. The perfect debris flow? Aggregated results from 28 large-scale experiments. J. Geophys. Res. Earth Surf. 2010, 115, F03005. [Google Scholar] [CrossRef]
- Tozato, K.; Dolojan, N.L.J.; Touge, Y.; Kure, S.; Moriguchi, S.; Kawagoe, S.; Kazama, S.; Terada, K. Limit equilibrium method-based 3D slope stability analysis for wide area considering influence of rainfall. Eng. Geol. 2022, 308, 106808. [Google Scholar] [CrossRef]
- Placido Antonio Gatto, M.; Montrasio, L. X-SLIP: A SLIP-based multi-approach algorithm to predict the spatial–temporal triggering of rainfall-induced shallow landslides over large areas. Comput. Geotech. 2023, 154, 105175. [Google Scholar] [CrossRef]
- Greco, R.; Giorgio, M.; Capparelli, G.; Versace, P. Early warning of rainfall-induced landslides based on empirical mobility function predictor. Eng. Geol. 2013, 153, 68–79. [Google Scholar] [CrossRef]
- Shano, L.; Raghuvanshi, T.K.; Meten, M. Landslide susceptibility evaluation and hazard zonation techniques—A review. Geoenviron. Disasters 2020, 7, 18. [Google Scholar] [CrossRef]
- Zhang, Y.; Zhang, J.; Dong, L. Fuzzy Logic Regional Landslide Susceptibility Multi-Field Information Map Representation Analysis Method Constrained by Spatial Characteristics of Mining Factors in Mining Areas. Processes 2023, 11, 985. [Google Scholar] [CrossRef]
- Greco, R.; Comegna, L.; Damiano, E.; Marino, P.; Olivares, L.; Santonastaso, G.F. Recurrent rainfall-induced landslides on the slopes with pyroclastic cover of Partenio Mountains (Campania, Italy): Comparison of 1999 and 2019 events. Eng. Geol. 2021, 288, 106160. [Google Scholar] [CrossRef]
- Holthusen, D.; Batistão, A.C.; Reichert, J.M. Amplitude sweep tests to comprehensively characterize soil micromechanics: Brittle and elastic interparticle bonds and their interference with major soil aggregation factors organic matter and water content. Rheol. Acta 2020, 59, 545–563. [Google Scholar] [CrossRef]
- Yuan, J.; Ye, L.; Hu, G.; Fang, Y.-G. Experimental Study on the Influence of Granulometric and Material Compositions on Soil Rheological Properties. Soil Mech. Found. Eng. 2020, 57, 35–42. [Google Scholar] [CrossRef]
- Zander, F.; Shakeel, A.; Kirichek, A.; Chassagne, C.; Gebert, J. Effects of organic matter degradation in cohesive sediment: Linking sediment rheology to spatio-temporal patterns of organic matter degradability. J. Soils Sediments 2022, 22, 2873–2882. [Google Scholar] [CrossRef]
- Geoghegan, M.J.; Brian, R.C. Aggregate formation in soil. 2. Influence of various carbohydrates and proteins on aggregation of soil particles. Biochem. J. 1948, 43, 14. [Google Scholar] [CrossRef] [PubMed]
- Haynes, R.J.; Swift, R.S. Stability of soil aggregates in relation to organic constituents and soil water content. J. Soil Sci. 1990, 41, 73–83. [Google Scholar] [CrossRef]
- Bronick, C.J.; Lal, R. Soil structure and management: A review. Geoderma 2005, 124, 3–22. [Google Scholar] [CrossRef]
- Six, J.; Bossuyt, H.; Degryze, S.; Denef, K. A history of research on the link between (micro)aggregates, soil biota, and soil organic matter dynamics. Soil Tillage Res. 2004, 79, 7–31. [Google Scholar] [CrossRef]
- Chantigny, M.H. Dissolved and water-extractable organic matter in soils: A review on the influence of land use and management practices. Geoderma 2003, 113, 357–380. [Google Scholar] [CrossRef]
- Liang, K.; Li, T.; He, B.; Qian, T. Dynamics of dissolved organic carbon in runoff discharge under different rainfall patterns in a representative agricultural catchment. J. Hydrol. 2023, 617, 129079. [Google Scholar] [CrossRef]
- Komolvilas, V.; Kikumoto, M.; Kyokawa, H. Mechanism of wetting–induced deformation and failure of unsaturated soils. Int. J. Numer. Anal. Methods Geomech. 2022, 46, 1064–1092. [Google Scholar] [CrossRef]
- Carotenuto, C.; Merola, M.C.; Álvarez-Romero, M.; Coppola, E.; Minale, M. Rheology of natural slurries involved in a rapid mudflow with different soil organic carbon content. Colloids Surf. A 2015, 466, 57–65. [Google Scholar] [CrossRef]
- Kalbitz, K.; Angers, D.A.; Kaiser, K.; Chantigny, M.H. Extraction and Characterization of Dissolved Organic Matter; CRC Press: Boca Raton, FL, USA, 2007. [Google Scholar]
- Zimmermann, M.; Leifeld, J.; Abiven, S.; Schmidt, M.W.I.; Fuhrer, J. Sodium hypochlorite separates an older soil organic matter fraction than acid hydrolysis. Geoderma 2007, 139, 171–179. [Google Scholar] [CrossRef]
- Carotenuto, C.; Minale, M. Effect of the Soil Organic Content on Slurries Involved in Mudflows. Prog. Earth Planet. Sci. 2016, 16, 89–97. [Google Scholar] [CrossRef]
- Picarelli, L.; Olivares, L.; Comegna, L.; Damiano, E. Mechanical Aspects of Flow-Like Movements in Granular and Fine Grained Soils. Rock Mech. Rock Eng. 2008, 41, 179–197. [Google Scholar] [CrossRef]
- Coussot, P. Rheometry of Pastes, Suspensions, and Granular Materials: Applications in Industry and Environment; John Wiley & Sons: Hoboken, NJ, USA, 2005. [Google Scholar]
- Coussot, P.; Laigle, D.; Arattano, M.; Deganutti, A.; Marchi, L. Direct Determination of Rheological Characteristics of Debris Flow. J. Hydraul. Eng. 1998, 124, 865–868. [Google Scholar] [CrossRef]
- Minale, M. Modelling the flow of a second order fluid through and over a porous medium using the volume averages. II. The stress boundary condition. Phys. Fluids 2016, 28, 023103. [Google Scholar] [CrossRef]
- Lal, R. Soil organic matter and water retention. Agron. J. 2020, 112, 3265–3277. [Google Scholar] [CrossRef]
- Rawls, W.J.; Pachepsky, Y.A.; Ritchie, J.C.; Sobecki, T.M.; Bloodworth, H. Effect of soil organic carbon on soil water retention. Geoderma 2003, 116, 61–76. [Google Scholar] [CrossRef]
- Airey, D.W.; Ghorbani, J. Analysis of unsaturated soil columns with application to bulk cargo liquefaction in ships. Comput. Geotech. 2021, 140, 104402. [Google Scholar] [CrossRef]
- Marks, B.; Einav, I. A heterarchical multiscale model for granular materials with evolving grainsize distribution. Granul. Matter 2017, 19, 61. [Google Scholar] [CrossRef]








| K [Pa·sn] | n | R2 | |
|---|---|---|---|
| Snct | 71.3 | 0.0066 | 0.998 |
| Snct-ev | 30.3 | 0 | 0.972 |
| Snct-dr | 35.5 | 0 | 0.966 |
| Sdoc | 21.4 | 0.092 | 0.998 |
| Sdoc-ev | 21.1 | 0 | 0.946 |
| Sdoc-dr | 20.3 | 0.013 | 0.998 |
Disclaimer/Publisher’s Note: The statements, opinions and data contained in all publications are solely those of the individual author(s) and contributor(s) and not of MDPI and/or the editor(s). MDPI and/or the editor(s) disclaim responsibility for any injury to people or property resulting from any ideas, methods, instructions or products referred to in the content. |
© 2023 by the authors. Licensee MDPI, Basel, Switzerland. This article is an open access article distributed under the terms and conditions of the Creative Commons Attribution (CC BY) license (https://creativecommons.org/licenses/by/4.0/).
Share and Cite
Carotenuto, C.; Minale, M. Soil Destabilization Induced by Water Wetting Treatments Simulating Rain Infiltration Processes, Studied via Rheology and Granulometry. Processes 2023, 11, 1641. https://doi.org/10.3390/pr11061641
Carotenuto C, Minale M. Soil Destabilization Induced by Water Wetting Treatments Simulating Rain Infiltration Processes, Studied via Rheology and Granulometry. Processes. 2023; 11(6):1641. https://doi.org/10.3390/pr11061641
Chicago/Turabian StyleCarotenuto, Claudia, and Mario Minale. 2023. "Soil Destabilization Induced by Water Wetting Treatments Simulating Rain Infiltration Processes, Studied via Rheology and Granulometry" Processes 11, no. 6: 1641. https://doi.org/10.3390/pr11061641
APA StyleCarotenuto, C., & Minale, M. (2023). Soil Destabilization Induced by Water Wetting Treatments Simulating Rain Infiltration Processes, Studied via Rheology and Granulometry. Processes, 11(6), 1641. https://doi.org/10.3390/pr11061641
