The Methods and Characteristics of the Electrochemical Oxidation Degradation of HMX
Abstract
:1. Introduction
2. Materials and Methods
2.1. Preparation of Experimental Materials and Culture Medium
2.2. Experimental Design
2.3. Analytical Method
2.4. Data Processing
3. Result and Discussion
3.1. Influence of Electrolyte Concentration on Degradation of HMX by Electrochemical Oxidation
3.2. Effect of Current Density on Degradation of HMX by Electrochemical Oxidation
3.3. Effect of Electrode Spacing on Degradation of HMX by Electrochemical Oxidation
3.4. Effect of pH on Degradation of HMX by Electrochemical Oxidation
3.5. Reaction Kinetics Analysis
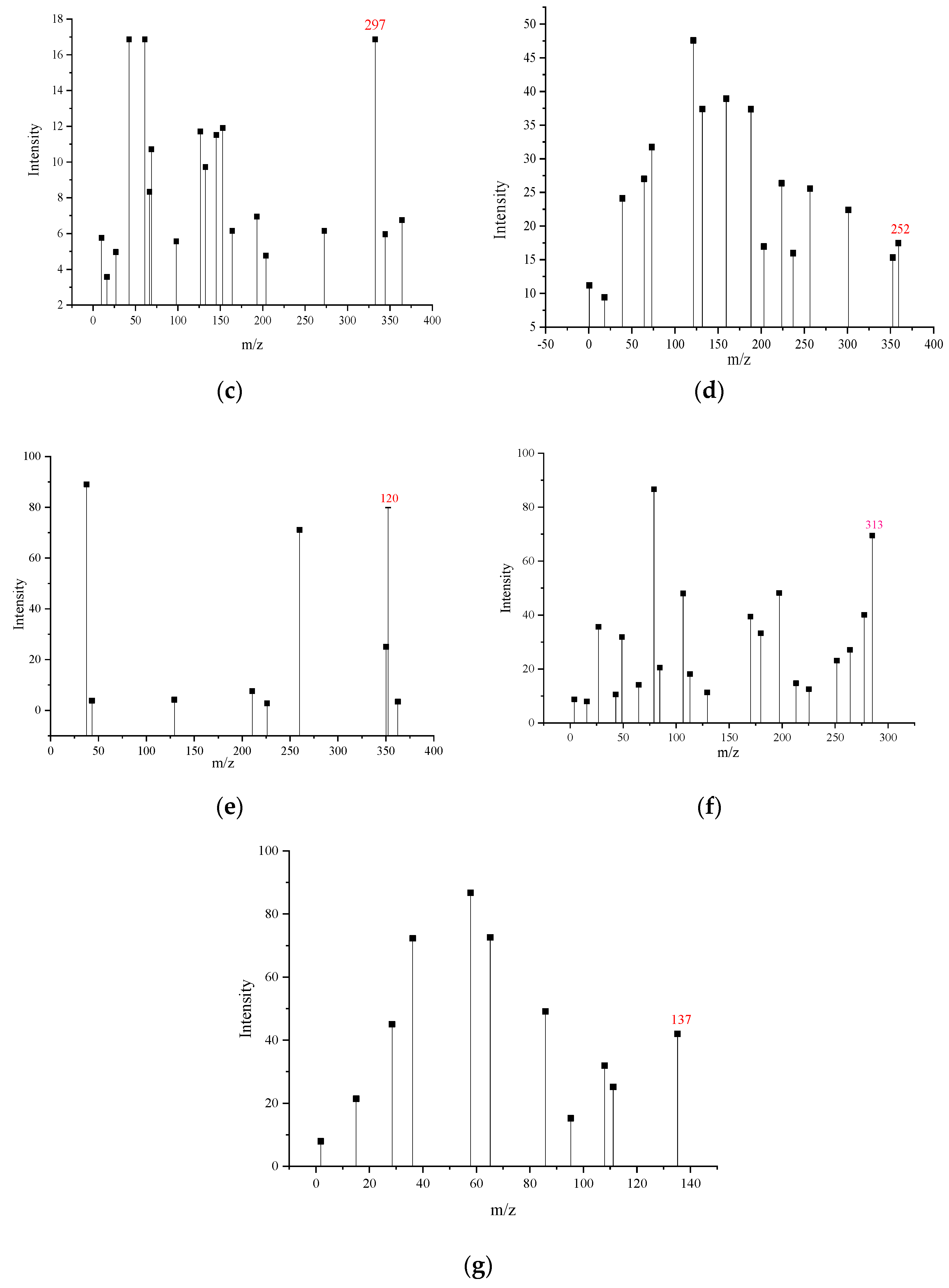
3.6. Electrochemical Degradation Mechanism of HMX
| Mid Product | M+[H] | Possible Molecular Formula | Molecular Structure | CAS (Chemical Abstracts Service) |
|---|---|---|---|---|
| Original sample | 297 | C4H8N8O8 | ![]() | 2691-41-0 |
| I | 281 | C4H8N8O7 | ![]() | 5755-28-2 |
| II | 234 | C4H7N7O5 | ![]() | — |
| III | 252 | C4H9N7O6 | ![]() | — |
| IV | 120 | C2H5N3O3 | ![]() | 479422-92-9 |
| V | 313 | C4H8N8O9 | ![]() | — |
| VI | 137 | CH4N4O4 | ![]() | 14168-44-6 |
3.7. Changes in Toxic Effects during Electrochemical Oxidation Degradation of HMX
4. Discussion
5. Conclusions
Author Contributions
Funding
Institutional Review Board Statement
Informed Consent Statement
Data Availability Statement
Conflicts of Interest
References
- Zhai, J.; Ma, H.; Liao, J.; Rahaman, M.H.; Yang, Z.; Chen, Z. Comparison of Fenton, ultraviolet–Fenton and ultrasonic–Fenton processes on organics and color removal from pre-treated natural gas produced water. Int. J. Environ. Sci. Technol. 2018, 15, 2411–2422. [Google Scholar] [CrossRef]
- Zhang, M.-H.; Dong, H.; Zhao, L.; Wang, D.-X.; Meng, D. A review on Fenton process for organic wastewater treatment based on optimization perspective. Sci. Total. Environ. 2019, 670, 110–121. [Google Scholar] [CrossRef]
- Li, X.; Chen, S.; Angelidaki, I.; Zhang, Y. Bio-electro-Fenton processes for wastewater treatment: Advances and prospects. Chem. Eng. J. 2018, 354, 492–506. [Google Scholar] [CrossRef]
- Hu, C.; Huang, D.; Zeng, G.; Cheng, M.; Gong, X.; Wang, R.; Xue, W.; Hu, Z.; Liu, Y. The combination of Fenton process and Phanerochaete chrysosporium for the removal of bisphenol A in river sediments: Mechanism related to extracellular enzyme, organic acid and iron. Chem. Eng. J. 2018, 338, 432–439. [Google Scholar] [CrossRef]
- Malakootian, M.; Kannan, K.; Gharaghani, M.A.; Dehdarirad, A.; Nasiri, A.; Shahamat, Y.D.; Mahdizadeh, H. Removal of metronidazole from wastewater by Fe/charcoal micro electrolysis fluidized bed reactor. J. Environ. Chem. Eng. 2019, 7, 103457. [Google Scholar] [CrossRef]
- Du, L.X.; Jin, S.H.; Shu, Q.H.; Li, L.J.; Chen, K.; Chen, M.L.; Wang, J.F. The investigation of NTO/HMX-based plastic-bonded explosives and its safety performance. Def. Technol. 2022, 18, 9. [Google Scholar] [CrossRef]
- Cao, W.; Ran, J.; Wang, H.; Guo, W.; Lu, X.; Wang, J. Energy Performance of HMX-Based Aluminized Explosives Containing Polytetrafluoroethylene (PTFE). Propellants, Explos. Pyrotech. 2022, 1, 47. [Google Scholar] [CrossRef]
- Chen, J.Y.; Feng, D.L.; Wang, G.Y.; Gao, F.; Peng, C. Numerical Simulation of Detonation and Brisance Performance of Aluminized HMX Using Density-Adaptive SPH. Propellants Explos. Pyrotech. 2021, 46, 23. [Google Scholar] [CrossRef]
- Jadhav, A.P.; Phatangare, A.B.; Ganesapandy, T.S.; Bholane, G.T.; Sonawane, A.M.; Khantwal, N.; Kamble, P.N.; Mondal, P.; Dhamgaye, V.P.; Dahiwale, S.S.; et al. Synchrotron X-ray assisted degradation of industrial wastewater by advanced oxidation process. Radiat. Phys. Chem. 2022, 197, 21. [Google Scholar] [CrossRef]
- Khue, D.N.; Bach, V.Q.; Binh, N.T.; Minh, D.B.; Nam, P.T.; Loi, V.D.; Nguyen, H.T. Removal of Nitramine Explosives in Aqueous Solution by UV-Mediated Advanced Oxidation Process in Near-Neutral Conditions. J. Ecol. Eng. 2021, 22, 232–243. [Google Scholar] [CrossRef]
- Roy, K.; Moholkar, V.S. Mechanistic analysis of carbamazepine degradation in hybrid advanced oxidation process of hydrodynamic cavitation/UV/persulfate in the presence of ZnO/ZnFe2O4. Sep. Purif. Technol. 2021, 270, 57. [Google Scholar] [CrossRef]
- Li, W.; Li, T.; Guo, J.; Gu, X. Effects of synergistic treatment of microorganism and enzyme improving composting quailty of maize stovers. Nongye Gongcheng Xuebao/Trans. Chin. Soc. Agric. Eng. 2020, 36, 192–199. [Google Scholar]
- Zhi, D.; Zhang, J.; Wang, J.; Luo, L.; Zhou, Y.; Zhou, Y. Electrochemical treatments of coking wastewater and coal gasification wastewater with Ti/Ti4O7 and Ti/RuO2–IrO2 anodes. J. Environ. Manag. 2020, 265, 110571. [Google Scholar] [CrossRef] [PubMed]
- Qian, Y.; Chen, K.; Chai, G.; Xi, P.; Yang, H.; Xie, L.; Qin, L.; Lin, Y.; Li, X.; Yan, W.; et al. Performance Optimization and Toxicity Effects of the Electrochemical Oxidation of Octogen. Catalysts 2022, 2, 815. [Google Scholar] [CrossRef]
- Zhi, D.; Wang, J.; Zhou, Y.; Luo, Z.; Sun, Y.; Wan, Z.; Luo, L.; Tsang, D.C.; Dionysiou, D.D. Development of ozonation and reactive electrochemical membrane coupled process: Enhanced tetracycline mineralization and toxicity reduction. Chem. Eng. J. 2019, 383, 123149. [Google Scholar] [CrossRef]
- Zambrano, J.; Park, H.; Min, B. Enhancing electrochemical degradation of phenol at optimum pH condition with a Pt/Ti anode electrode. Environ. Technol. 2019, 41, 3248–3259. [Google Scholar] [CrossRef]
- Shi, H.; Wang, Q.; Ni, J.; Xu, Y.; Song, N.; Gao, M. Highly efficient removal of amoxicillin from water by three-dimensional electrode system within granular activated carbon as particle electrode. J. Water Process. Eng. 2020, 38, 101656. [Google Scholar] [CrossRef]
- Rahmani, A.; Seid-Mohammadi, A.; Leili, M.; Shabanloo, A.; Ansari, A.; Alizadeh, S.; Nematollahi, D. Electrocatalytic degradation of diuron herbicide using three-dimensional carbon felt/β-PbO2 anode as a highly porous electrode: Influencing factors and degradation mechanisms. Chemosphere 2021, 276, 130141. [Google Scholar] [CrossRef]
- Wang, Y.; Shen, C.; Zhang, M.; Zhang, B.-T.; Yu, Y.-G. The electrochemical degradation of ciprofloxacin using a SnO2-Sb/Ti anode: Influencing factors, reaction pathways and energy demand. Chem. Eng. J. 2016, 296, 79–89. [Google Scholar] [CrossRef]
- Park, I.; Tabelin, C.B.; Jeon, S.; Li, X.; Seno, K.; Ito, M.; Hiroyoshi, N. A review of recent strategies for acid mine drainage prevention and mine tailings recycling. Chemosphere 2019, 219, 588–606. [Google Scholar] [CrossRef]
- Zhang, L.; Yue, Q.; Yang, K.; Zhao, P.; Gao, B. Enhanced phosphorus and ciprofloxacin removal in a modified BAF system by configuring Fe-C micro electrolysis: Investigation on pollutants removal and degradation mechanisms. J. Hazard. Mater. 2018, 342, 705–714. [Google Scholar] [CrossRef] [PubMed]
- Yang, Z.; Ma, Y.; Liu, Y.; Li, Q.; Zhou, Z.; Ren, Z. Degradation of organic pollutants in near-neutral pH solution by Fe-C micro-electrolysis system. Chem. Eng. J. 2017, 315, 403–4144. [Google Scholar] [CrossRef]
- Xie, R.; Wu, M.; Qu, G.; Ning, P.; Cai, Y.; Lv, P. Treatment of coking wastewater by a novel electric assisted micro-electrolysis filter. J. Environ. Sci. 2018, 66, 165–172. [Google Scholar] [CrossRef]
- Sun, Z.; Xu, Z.; Zhou, Y.; Zhang, D.; Chen, W. Effects of different scrap iron as anode in Fe-C micro-electrolysis system for textile wastewater degradation. Environ. Sci. Pollut. Res. 2019, 26, 26869–26882. [Google Scholar] [CrossRef] [PubMed]
- Mahdizadeh, H.; Malakootian, M. Optimization of ciprofloxacin removal from aqueous solutions by a novel semi-fluid Fe/charcoal micro-electrolysis reactor using response surface methodology. Process. Saf. Environ. Prot. 2019, 123, 299–308. [Google Scholar] [CrossRef]
- Yang, X.; Zhang, Y.; Lai, J.-L.; Luo, X.-G.; Han, M.-W.; Zhao, S.-P.; Zhu, Y.-B. Analysis of the biodegradation and phytotoxicity mechanism of TNT, RDX, HMX in alfalfa (Medicago sativa). Chemosphere 2021, 281 (Suppl. S1), 130842. [Google Scholar] [CrossRef]
- Fournier, D.; Halasz, A.; Thiboutot, S.; Ampleman, G.; Manno, D.; Hawari, J. Biodegradation of octahydro-1, 3, 5, 7-tetranitro-1, 3, 5, 7-tetrazocine (HMX) by Phanerochaete chrysosporium: New insight into the degradation pathway. Environ. Sci. Technol. 2004, 38, 4130–4133. [Google Scholar] [CrossRef] [PubMed]
- Hawari, J.; Halasz, A.; Beaudet, S.; Paquet, L.; Ampleman, G.; Thiboutot, S. Biotransformation routes of octahydro-1, 3, 5, 7-tetranitro-1, 3, 5, 7-tetrazocine by municipal anaerobic sludge. Environ. Sci. Technol. 2001, 35, 70. [Google Scholar] [CrossRef]









| Sample Type | Source | HMX Concentration |
|---|---|---|
| Groundwater | Groundwater in a chemical factory in Colorado | 9.03 μg/L |
| Groundwater | Groundwater in eastern Massachusetts | 0.6 μg//L |
| Soil | Contaminated soil in an ammunition factory | 700 mg/kg |
| Soil | Arms factories and shooting ranges | 6.31 ± 1.71 mg/kg |
| Soil | Explosive test site | 45,000 mg/kg |
| Soil | Near a military base | 600~900 mg/kg |
| Soil | Ammunition manufacturing effluent | 12.0 mg/L |
| Soil | HMX produced water | 8.23 mg/L |
| Number | Experimental Reagent | Specification |
|---|---|---|
| 1 | LB Broth | AR |
| 2 | Kanamycin Monosulfate | Valence > 750 |
| 3 | M9 Minimal Salt, 5× | AR |
| 4 | Calcium chloride | AR |
| 5 | Glucose | AR |
| 6 | Magnesium chloride hexahydrate | AR |
| Number | Instrument Name | Model/Brand |
|---|---|---|
| 1 | Ultra-pure water machine | UPTL-I-20L+EDI |
| 2 | Table | QYC-200 |
| 3 | Electronic balance | CP214 |
| 4 | Automatic pipetting station | epMotion 5075t |
| 5 | Enzyme-labeled instrument | Cytation5 |
| 6 | Biological incubator | WP25AB |
| 7 | Clean bench | Sujing |
| 8 | Vertical autoclave | LDZX50KBS |
| 9 | Ultrasonic cleaning machine | Jipad22-500 |
| 10 | Fluorescence spectrometer | Hach |
| 11 | Ultra-low-temperature freezer | Corning |
| 12 | Liquid chromatography | Perkinelmer |
| 13 | Liquid chromatography–mass spectrometry | 8050 Triple Quadrupole |
| 14 | Magnetic stirrer | MYP11-2 |
| Reaction Time (min) | Before the Reaction C0 (mg/L) | After the Reaction Ct (mg/L) | C0/Ct | Ln(C0/Ct) | 1/Ct − 1/C0 | (1/Ct2 − 1/C02)/2 |
|---|---|---|---|---|---|---|
| ×103 | ×106 | |||||
| 0 | 20 | 20.00 | 0.00 | 0.000 | 0.001 | 0.000 |
| 15 | 18.35 | 1.07 | 0.069 | 3.612 | 187.122 | |
| 30 | 17.28 | 1.12 | 0.131 | 7.210 | 386.541 | |
| 45 | 15.49 | 1.25 | 0.221 | 13.223 | 754.811 | |
| 60 | 13.69 | 1.45 | 0.331 | 21.201 | 1306.491 | |
| 90 | 12.48 | 1.60 | 0.504 | 32.731 | 2175.812 | |
| 120 | 9.15 | 2.00 | 0.691 | 50.484 | 3798.551 |
| Reaction Order | Fitting Equation | Correlation Coefficient R2 |
|---|---|---|
| Zero | y = 0.0128x + 0.476 | 0.912 |
| First | y = 0.0076x − 0.047 | 0.987 |
| Second | y = 0.611x − 11.197 | 0.921 |
| Third | y = 63.011x − 1620.2 | 0.814 |
Disclaimer/Publisher’s Note: The statements, opinions and data contained in all publications are solely those of the individual author(s) and contributor(s) and not of MDPI and/or the editor(s). MDPI and/or the editor(s) disclaim responsibility for any injury to people or property resulting from any ideas, methods, instructions or products referred to in the content. |
© 2023 by the authors. Licensee MDPI, Basel, Switzerland. This article is an open access article distributed under the terms and conditions of the Creative Commons Attribution (CC BY) license (https://creativecommons.org/licenses/by/4.0/).
Share and Cite
Qian, Y.; Jing, X.; Yan, W.; Xi, P. The Methods and Characteristics of the Electrochemical Oxidation Degradation of HMX. Processes 2023, 11, 1344. https://doi.org/10.3390/pr11051344
Qian Y, Jing X, Yan W, Xi P. The Methods and Characteristics of the Electrochemical Oxidation Degradation of HMX. Processes. 2023; 11(5):1344. https://doi.org/10.3390/pr11051344
Chicago/Turabian StyleQian, Yishi, Xiaosheng Jing, Wei Yan, and Peng Xi. 2023. "The Methods and Characteristics of the Electrochemical Oxidation Degradation of HMX" Processes 11, no. 5: 1344. https://doi.org/10.3390/pr11051344
APA StyleQian, Y., Jing, X., Yan, W., & Xi, P. (2023). The Methods and Characteristics of the Electrochemical Oxidation Degradation of HMX. Processes, 11(5), 1344. https://doi.org/10.3390/pr11051344








