Cp2TiCl/H2O as a Sustainable System for the Reduction of Organic Functional Groups: Potential Application of Cp2TiCl/D2O to the Analysis of Bioactive Phenols in Olive Oil
Abstract
1. Introduction
2. Discussion
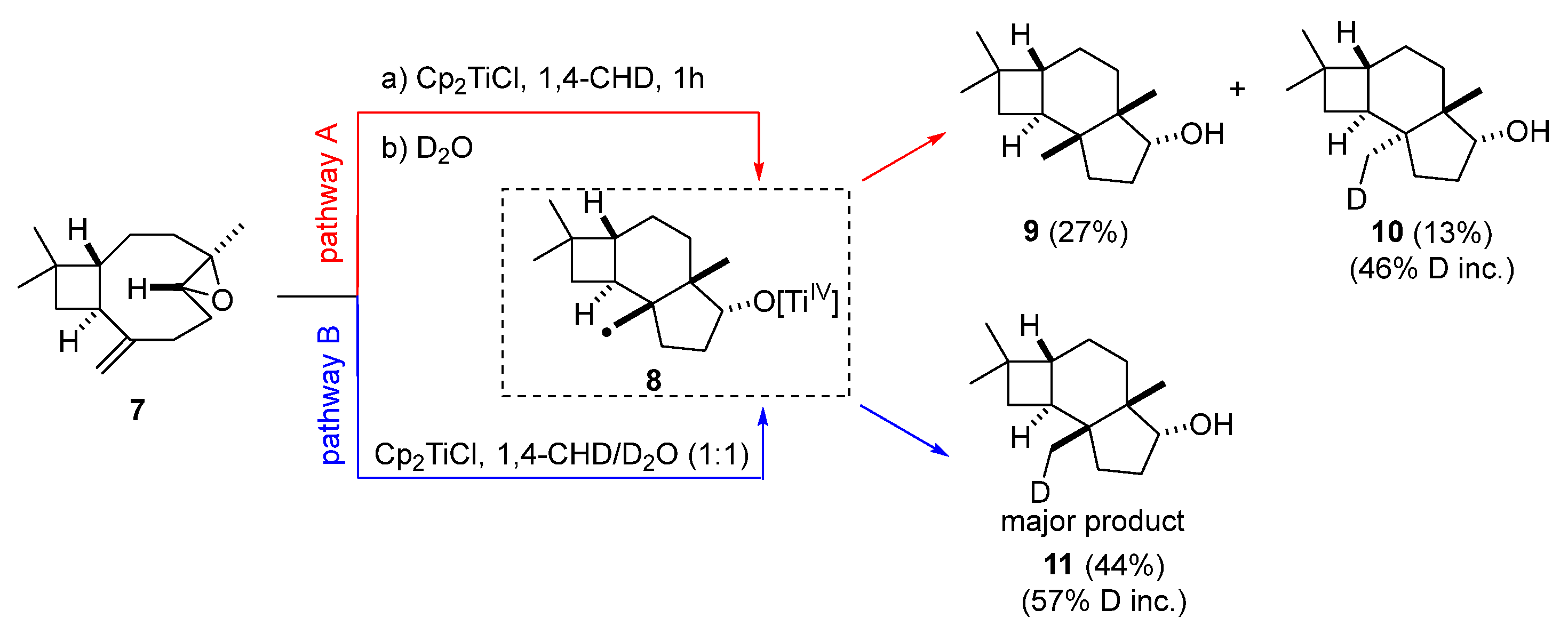
2.1. Carbon-Centered Radical Intermediates
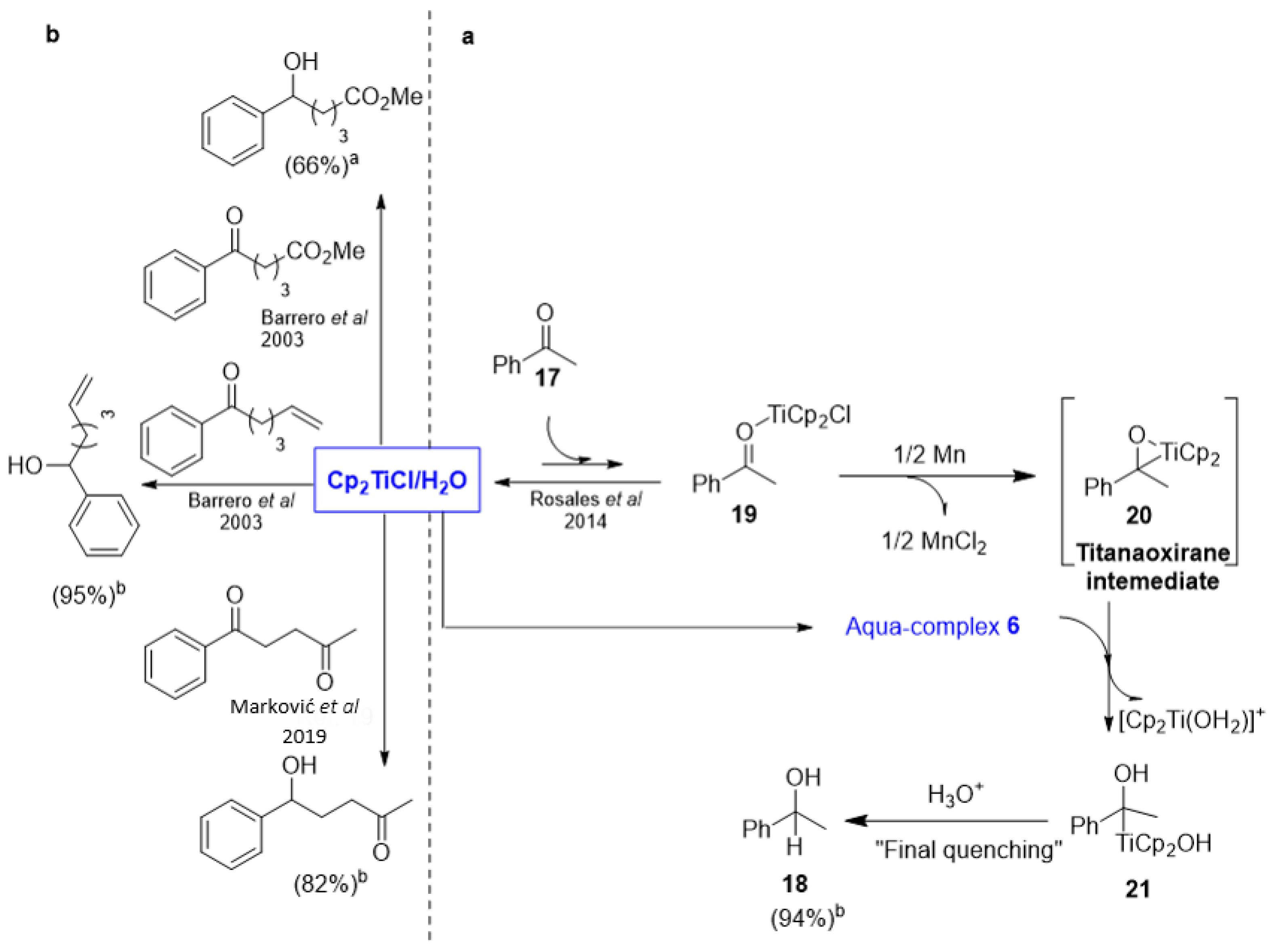
2.2. Titanaoxirane Intermediates
2.3. Dihydro Metal Complex Intermediates
3. Conclusions and Perspectives
Supplementary Materials
Author Contributions
Funding
Acknowledgments
Conflicts of Interest
References
- Smith, M.B.; March, J. March’s Advanced Organic Chemistry: Reactions, Mechanisms, and Structure, 6th ed.; John Wiley & Sons: Hoboken, NJ, USA, 2007; pp. 1786–1869. [Google Scholar]
- Sheldon, R.A. Green solvents for sustainable organic synthesis: State of the art. Green Chem. 2005, 7, 267–278. [Google Scholar] [CrossRef]
- Álvarez de Cienfuegos, L.; Robles, R.; Miguel, D.; Justicia, J.; Cuerva, J.M. Reduction reactions in green solvents: Water, supercritical carbon dioxide, and ionic liquids. ChemSusChem 2011, 4, 1035–1048. [Google Scholar] [CrossRef] [PubMed]
- Anastas, P.T.; Warner, J.C. Green Chemistry: Theory and Practice; Oxford University Press: Oxford, UK, 2000; p. 152. [Google Scholar]
- Castro Rodríguez, M.; Rodríguez García, I.; Rodríguez Maecker, R.N.; Pozo Morales, L.; Oltra, J.E.; Rosales Martínez, A. Cp2TiCl: An Ideal Reagent for Green Chemistry? Org. Process Res. Dev. 2017, 21, 911–923. [Google Scholar] [CrossRef]
- Rosales Martínez, A.; Castro Rodriguez, M.; Rodríguez-García, I.; Pozo Morales, L.; Rodriguez Maecker, R.N. Titanocene dichloride: A new green reagent in organic chemistry. Chin. J. Catal. 2017, 38, 1659–1663. [Google Scholar] [CrossRef]
- Rosales Martínez, A.; Pozo Morales, L.; Díaz Ojeda, E.; Castro Rodríguez, M.; Rodríguez-García, I. The Proven Versatility of Cp2TiCl. J. Org. Chem. 2021, 86, 1311–1329. [Google Scholar] [CrossRef]
- Gansäuer, A. From enantioselective to regiodivergent epoxide opening and radical arylation—useful or just interesting? Synlett 2021, 32, 447–456. [Google Scholar] [CrossRef]
- Barrero, A.F.; Quílez del Moral, J.F.; Sánchez, E.M.; Arteaga, J.F. Titanocene-mediated radical cyclization: An emergent method towards the synthesis of natural products. Eur. J. Org. Chem. 2006, 1627–1641. [Google Scholar] [CrossRef]
- Gansäuer, A.; Justicia, J.; Fan, C.-A.; Worgull, D.; Piestert, F. Reductive C–C Bond Formation after Epoxide Opening via Electron Transfer. Top. Curr. Chem. 2007, 279, 25–52. [Google Scholar]
- Botubol-Ares, J.M.; Durán-Peña, M.J.; Hanson, J.R.; Hernández-Galán, R.; Collado, I.G. Cp2Ti(III)Cl and analogues as sustainable templates in organic synthesis. Synthesis 2018, 50, 2163–2180. [Google Scholar]
- Breslow, R. The principles of and reasons for using water as a solvent for green chemistry. In Handbook of Green Chemistry; Chao-Jun, L., Ed.; Wiley-VCH Verlag GmbH & Co. KGaA: Weinheim, Germany, 2010; Volume 5, pp. 1–29. [Google Scholar]
- Liu, J.; Liu, X. Deuteride Materials; Springer Nature Singapore Pte Ltd.: Singapore, 2019; pp. 231–284. [Google Scholar]
- Stokvis, E.; Rosing, H.; Beijnen Jos, H. Stable isotopically labeled internal standards in quantitative bioanalysis using liquid chromatography/mass spectrometry: Necessity or not? Rapid Commun. Mass Spectrom. 2005, 19, 401–407. [Google Scholar] [CrossRef]
- Jiménez, T.; Campaña, A.G.; Bazdi, B.; Paradas, M.; Arráez-Román, D.; Segura-Carretero, A.; Fernández-Gutiérrez, A.; Oltra, J.E.; Robles, R.; Justicia, J.; et al. Radical reduction of epoxides using a titanocene(III)/water system: Synthesis of β-deuterated alcohols and their use as internal standards in food analysis. Eur. J. Org. Chem. 2010, 2010, 4288–4295. [Google Scholar] [CrossRef]
- Prakash, G.; Paul, N.; Oliver, G.A.; Werz, D.B.; Maiti, D. C–H deuteration of organic compounds and potential drug candidates. Chem. Soc. Rev. 2022, 51, 3123–3163. [Google Scholar] [CrossRef]
- Atzrodt, J.; Derdau, V.; Kerr, W.J.; Reid, M. C-H Functionalisation for hydrogen isotope exchange. Angew. Chem. Int. Ed. 2018, 57, 3022–3047. [Google Scholar] [CrossRef]
- Rosales, A.; Rodríguez-García, I. Cp2TiCl/D2O/Mn, a formidable reagent for the deuteration of organic compounds. Beilstein J. Org. Chem. 2016, 12, 1585–1589. [Google Scholar] [CrossRef]
- Marković, A.K.; Tori´c, J.; Barbarić, M.; Brala, C.J. Hydroxytyrosol, tyrosol and derivatives and their potential effects on human health. Molecules 2019, 24, 2001. [Google Scholar] [CrossRef]
- Green, M.L.H.; Lucas, C.R. Some d1 Bis-π-cyclopentadienyl titanium complexes with nitrogen or phosphorus ligands. J. Chem. Soc. Dalton Trans. 1972, 1000–1003. [Google Scholar] [CrossRef]
- Zhang, Z.; Richrath, R.B.; Gansäeuer, A. Merging catalysis in single electron steps with photoredox catalysis-efficient and sustainable radical chemistry. ACS Catal. 2019, 9, 3208–3212. [Google Scholar] [CrossRef]
- Liedtke, T.; Hilche, T.; Klare, S.; Gansäeuer, A. Condition screening for sustainable catalysis in single-electron steps by cyclic voltammetry: Additives and solvents. ChemSusChem 2019, 12, 3166–3171. [Google Scholar] [CrossRef]
- Saito, T.; Nishiyama, H.; Tanahashi, H.; Kawakita, K.; Tsurugi, H.; Mashima, K. 1,4-Bis(trimethylsilyl)-1,4-diaza-2,5-cyclohexadienes as Strong Salt-Free Reductants for Generating Low-Valent Early Transition Metals with Electron-Donating Ligands. J. Am. Chem. Soc. 2014, 136, 5161–5170. [Google Scholar] [CrossRef]
- Cuerva, J.M.; Campaña, A.G.; Justicia, J.; Rosales, A.; Oller-Lopez, J.L.; Robles, R.; Cárdenas, D.J.; Buñuel, E.; Oltra, J.E. Water: The ideal hydrogen-atom source in free-radical chemistry mediated by TiIII and other single-electron-transfer metals? Angew. Chem. Int. Ed. 2006, 45, 5522–5526. [Google Scholar] [CrossRef]
- Rosales Martínez, A.; Enríquez, L.; Jaraíz, M.; Thiessen, T.; Sidhu, J.; McIndoe, J.S.; Rodríguez-García, I. Understanding the color change of the solutions of Cp2TiCl upon addition of water. Appl. Organomet. Chem. 2023, 37, e6979. [Google Scholar]
- Gansäeuer, A.; Pierobon, M.; Bluhm, H. Catalytic, highly regio- and chemoselective generation of radicals from epoxides: Titanocene dichloride as an electron transfer catalyst in transition metal catalyzed radical reactions. Angew. Chem. Int. Ed. 1998, 37, 101–103. [Google Scholar] [CrossRef]
- Barrero, A.F.; Oltra, J.E.; Cuerva, J.M.; Rosales, A. Effects of solvents and water in Ti(III)-mediated radical cyclizations of epoxygermacrolides. straightforward synthesis and absolute stereochemistry of (+)-3α-hydroxyreynosin and related eudesmanolides. J. Org. Chem. 2002, 67, 2566–2571. [Google Scholar] [CrossRef]
- Gansäuer, A.; Behlendorf, M.; Cangoenuel, A.; Kube, C.; Cuerva, J.M.; Friedrich, J.; van Gastel, M. H2O Activation for Hydrogen-Atom Transfer: Correct Structures and Revised Mechanisms. Angew. Chem. Int. Ed. 2012, 51, 3266–3270. [Google Scholar] [CrossRef] [PubMed]
- Muñoz-Bascón, J.; Sancho-Sanz, I.; Álvarez-Manzaneda, E.; Rosales, A.; Oltra, J.E. Highly selective Barbier-type propargylations and allenylations catalyzed by titanocene(III). Chem. Eur. J. 2012, 18, 14479–14486. [Google Scholar] [CrossRef]
- Paradas, M.; Campaña, A.G.; Jiménez, T.; Robles, R.; Oltra, J.E.; Buñuel, E.; Justicia, J.; Cárdenas, D.J.; Cuerva, J.M. Understanding the Exceptional Hydrogen-Atom Donor Characteristics of Water in TiIII-Mediated Free-Radical Chemistry. J. Am. Chem. Soc. 2010, 132, 12748–12756. [Google Scholar] [CrossRef]
- Rosales, A.; Muñoz-Bascón, J.; Lopez-Sanchez, C.; Alvarez-Corral, M.; Muñoz-Dorado, M.; Rodriguez-Garcia, I.; Oltra, J.E. Ti-catalyzed homolytic opening of ozonides: A sustainable C-C bond-forming reaction. J. Org. Chem. 2012, 77, 4171–4176. [Google Scholar] [CrossRef]
- Previously unpublished results. Experimental Procedures and NMR Spectra are Reported in Supporting Information.
- Rosales Martínez, A.; Rodríguez-García, I.; López-Martínez, J.L. Green reductive regioselective opening of epoxides: A green chemistry laboratory experiment. J. Chem. Educ. 2022, 99, 2710–2714. [Google Scholar] [CrossRef]
- Rosales, A.; Muñoz-Bascón, J.; Roldan-Molina, E.; Castaneda, M.A.; Padial, N.M.; Gansauer, A.; Rodríguez-García, I.; Oltra, J.E. Selective reduction of aromatic ketones in aqueous medium mediated by Ti(III)/Mn: A revised mechanism. J. Org. Chem. 2014, 79, 7672–7676. [Google Scholar] [CrossRef]
- Barrero, A.F.; Rosales, A.; Cuerva, J.M.; Gansaeuer, A.; Oltra, J.E. Titanocene-catalyzed, selective reduction of ketones in aqueous media. A safe, mild, inexpensive procedure for the synthesis of secondary alcohols via radical chemistry. Tetrahedron Lett. 2003, 44, 1079–1082. [Google Scholar] [CrossRef]
- Campaña, A.G.; Estevez, R.E.; Fuentes, N.; Robles, R.; Cuerva, J.M.; Buñuel, E.; Cardenas, D.; Oltra, J.E. Unprecedented hydrogen transfer from water to alkenes and alkynes mediated by TiIII and late transition metals. Org. Lett. 2007, 9, 2195–2198. [Google Scholar] [CrossRef]
- Gansäuer, A.; Narayan, S.; Schiffer-Ndene, N.; Bluhm, H.; Oltra, J.E.; Cuerva, J.M.; Rosales, A.; Nieger, M. An improved synthesis of Kagan’s menthyl substituted titanocene and zirconocene dichloride, comparison of their crystal structures, and preliminary catalyst evaluation. J. Organomet. Chem. 2006, 691, 2327–2331. [Google Scholar] [CrossRef]












Disclaimer/Publisher’s Note: The statements, opinions and data contained in all publications are solely those of the individual author(s) and contributor(s) and not of MDPI and/or the editor(s). MDPI and/or the editor(s) disclaim responsibility for any injury to people or property resulting from any ideas, methods, instructions or products referred to in the content. |
© 2023 by the authors. Licensee MDPI, Basel, Switzerland. This article is an open access article distributed under the terms and conditions of the Creative Commons Attribution (CC BY) license (https://creativecommons.org/licenses/by/4.0/).
Share and Cite
Rosales Martínez, A.; García-Martín, J.F.; Rodríguez-García, I. Cp2TiCl/H2O as a Sustainable System for the Reduction of Organic Functional Groups: Potential Application of Cp2TiCl/D2O to the Analysis of Bioactive Phenols in Olive Oil. Processes 2023, 11, 979. https://doi.org/10.3390/pr11040979
Rosales Martínez A, García-Martín JF, Rodríguez-García I. Cp2TiCl/H2O as a Sustainable System for the Reduction of Organic Functional Groups: Potential Application of Cp2TiCl/D2O to the Analysis of Bioactive Phenols in Olive Oil. Processes. 2023; 11(4):979. https://doi.org/10.3390/pr11040979
Chicago/Turabian StyleRosales Martínez, Antonio, Juan F. García-Martín, and Ignacio Rodríguez-García. 2023. "Cp2TiCl/H2O as a Sustainable System for the Reduction of Organic Functional Groups: Potential Application of Cp2TiCl/D2O to the Analysis of Bioactive Phenols in Olive Oil" Processes 11, no. 4: 979. https://doi.org/10.3390/pr11040979
APA StyleRosales Martínez, A., García-Martín, J. F., & Rodríguez-García, I. (2023). Cp2TiCl/H2O as a Sustainable System for the Reduction of Organic Functional Groups: Potential Application of Cp2TiCl/D2O to the Analysis of Bioactive Phenols in Olive Oil. Processes, 11(4), 979. https://doi.org/10.3390/pr11040979

