Application of Artificial Neural Networks for Modelling and Control of Flux Decline in Cross-Flow Whey Ultrafiltration
Abstract
1. Introduction
1.1. Membrane Applications in the Dairy Industry
1.2. ANN in Membrane Technologies
1.3. The Genetic Algorithm as the Optimization Algorithm
2. Materials and Methods
2.1. Neural Network Design
- Taking and multiplying some numeric inputs by adjustable parameters called weights produces weighted inputs, and adds a scalar parameter called bias or a threshold value to the result:where and are the input signals and weights, respectively; while represents the threshold value or the bias term.
- The calculation of the output of the neuron by applying a transfer or “activation function” on the result, which has the net input signal as the argument:
2.2. A Hybrid Serial Architecture Model for the Evaluation of Resistances
2.3. Neural Network Optimization
3. Results
3.1. ANN Model Performance
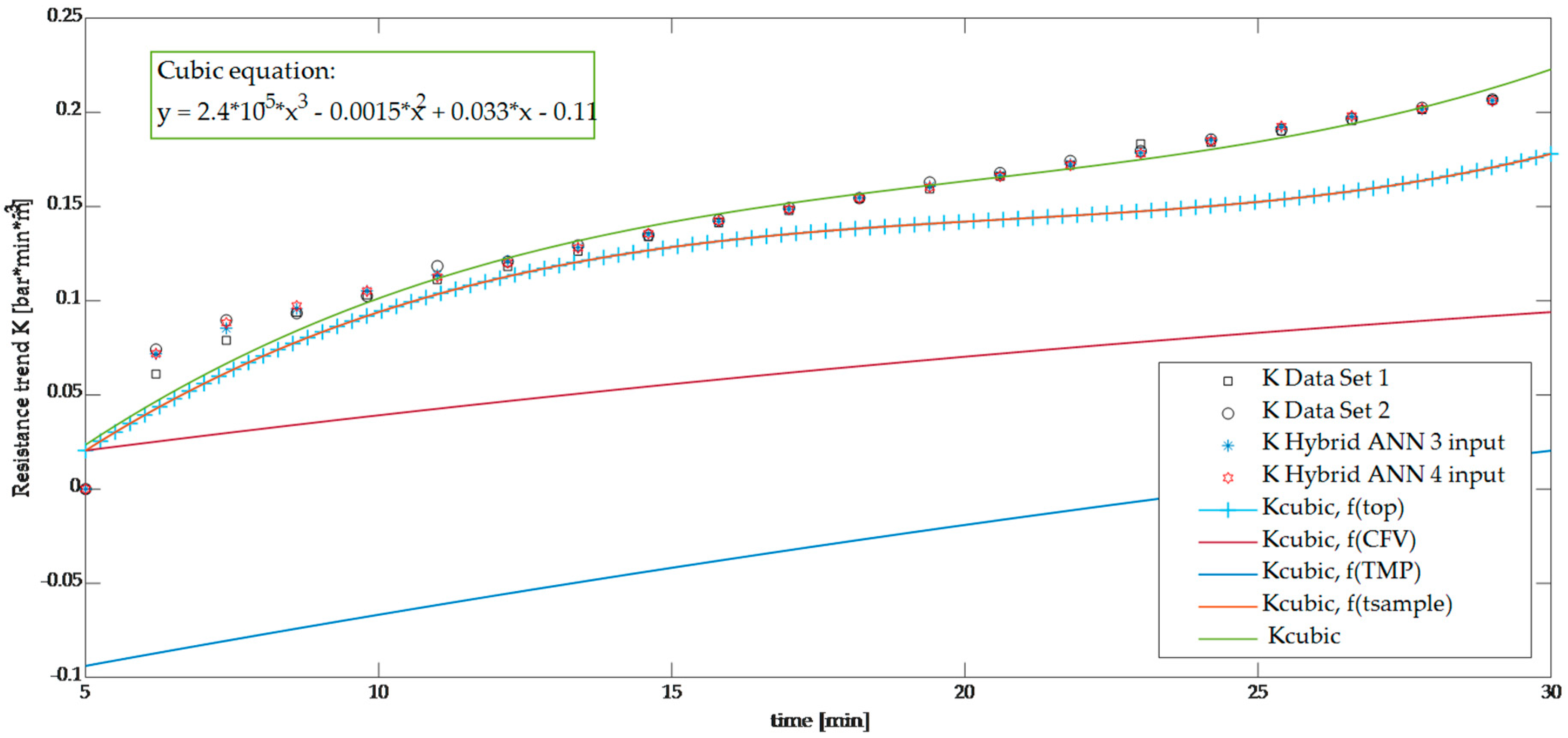
3.2. K-Resistance Trends from the Hybrid Model
3.3. Optimization Results
4. Discussion
5. Conclusions
Author Contributions
Funding
Data Availability Statement
Conflicts of Interest
References
- Reig, M.; Vecino, X.; Cortina, J.L. Use of Membrane Technologies in Dairy Industry: An Overview. Foods 2021, 10, 2768. [Google Scholar] [CrossRef] [PubMed]
- Papaioannou, E.H.; Mazzei, R.; Bazzarelli, F.; Piacentini, E.; Giannakopoulos, V.; Roberts, M.R.; Giorno, L. Agri-Food Industry Waste as Resource of Chemicals: The Role of Membrane Technology in Their Sustainable Recycling. Sustainbility 2022, 14, 1483. [Google Scholar] [CrossRef]
- Gaudio, M.T.; Curcio, S.; Chakraborty, S. Design of an Integrated Membrane System to Produce Dairy By-Product from Waste Processing. Int. J. Food Sci. Technol. 2023, 58, 2104–2114. [Google Scholar] [CrossRef]
- Ramos, O.L.; Pereira, R.N.; Rodrigues, R.M.; Teixeira, J.A.; Vicente, A.A.; Malcata, F.X. Whey and Whey Powders: Production and Uses. In Encyclopedia of Food and Health; Elsevier Inc.: Amsterdam, The Netherlands, 2015; pp. 498–505. ISBN 9780123849533. [Google Scholar]
- Monti, L.; Donati, E.; Zambrini, A.V.; Contarini, G. Application of Membrane Technologies to Bovine Ricotta Cheese Exhausted Whey (Scotta). Int. Dairy J. 2018, 85, 121–128. [Google Scholar] [CrossRef]
- Castro, B.N.; Gerla, P.E. Hollow Fiber and Spiral Cheese Whey Ultrafiltration: Minimizing Controlling Resistances. J. Food Eng. 2005, 69, 495–502. [Google Scholar] [CrossRef]
- Daufin, G.; Escudier, J.P.; Carrère, H.; Bérot, S.; Fillaudeau, L.; Decloux, M. Recent and Emerging Applications of Membrane Processes in the Food and Dairy Industry. Food Bioprod. Process. Trans. Inst. Chem. Eng. Part C 2001, 79, 89–102. [Google Scholar] [CrossRef]
- Cui, Z.F.; Jiang, Y.; Field, R.W. Fundamentals of Pressure-Driven Membrane Separation Processes. In Membrane Technology; Elsevier Ltd.: Amsterdam, The Netherlands, 2010; pp. 1–18. ISBN 9781856176323. [Google Scholar]
- Niemi, H.; Bulsari, A.; Palosaari, S. Simulation of Membrane Separation by Neural Networks. J. Memb. Sci. 1995, 102, 185–191. [Google Scholar] [CrossRef]
- Razavi, M.A.; Mortazavi, A.; Mousavi, M. Dynamic Modelling of Milk Ultrafiltration by Artificial Neural Network. J. Memb. Sci. 2003, 220, 47–58. [Google Scholar] [CrossRef]
- Rai, P.; Majumdar, G.C.; DasGupta, S.; De, S. Modeling the Performance of Batch Ultrafiltration of Synthetic Fruit Juice and Mosambi Juice Using Artificial Neural Network. J. Food Eng. 2005, 71, 273–281. [Google Scholar] [CrossRef]
- Curcio, S.; Calabrò, V.; Iorio, G. Reduction and Control of Flux Decline in Cross-Flow Membrane Processes Modeled by Artificial Neural Networks. J. Memb. Sci. 2006, 286, 125–132. [Google Scholar] [CrossRef]
- Chen, H.; Kim, A.S. Prediction of Permeate Flux Decline in Crossflow Membrane Filtration of Colloidal Suspension: A Radial Basis Function Neural Network Approach. Desalination 2006, 192, 415–428. [Google Scholar] [CrossRef]
- Sarkar, B.; Sengupta, A.; De, S.; DasGupta, S. Prediction of Permeate Flux during Electric Field Enhanced Cross-Flow Ultrafiltration—A Neural Network Approach. Sep. Purif. Technol. 2009, 65, 260–268. [Google Scholar] [CrossRef]
- Guadix, A.; Zapata, J.E.; Almecija, M.C.; Guadix, E.M. Predicting the Flux Decline in Milk Cross-Flow Ceramic Ultrafiltration by Artificial Neural Networks. Desalination 2010, 250, 1118–1120. [Google Scholar] [CrossRef]
- Madaeni, S.S.; Hasankiadeh, N.T.; Tavakolian, H.R. Modeling and Optimization of Membrane Chemical Cleaning by Artificial Neural Network, Fuzzy Logic, and Genetic Algorithm. Chem. Eng. Commun. 2012, 199, 399–416. [Google Scholar] [CrossRef]
- Yangali-Quintanilla, V.; Verliefde, A.; Kim, T.U.; Sadmani, A.; Kennedy, M.; Amy, G. Artificial Neural Network Models Based on QSAR for Predicting Rejection of Neutral Organic Compounds by Polyamide Nanofiltration and Reverse Osmosis Membranes. J. Memb. Sci. 2009, 342, 251–262. [Google Scholar] [CrossRef]
- Rahmanian, B.; Pakizeh, M.; Mansoori, S.A.A.; Esfandyari, M.; Jafari, D.; Maddah, H.; Maskooki, A. Prediction of MEUF Process Performance Using Artificial Neural Networks and ANFIS Approaches. J. Taiwan Inst. Chem. Eng. 2012, 43, 558–565. [Google Scholar] [CrossRef]
- Soleimani, R.; Shoushtari, N.A.; Mirza, B.; Salahi, A. Experimental Investigation, Modeling and Optimization of Membrane Separation Using Artificial Neural Network and Multi-Objective Optimization Using Genetic Algorithm. Chem. Eng. Res. Des. 2013, 91, 883–903. [Google Scholar] [CrossRef]
- Delgrange, N.; Cabassud, C.; Cabassud, M.; Durand-Bourlier, L.; Lainé, J.M. Modelling of Ultrafiltration Fouling by Neural Network. Desalination 1998, 118, 213–227. [Google Scholar] [CrossRef]
- Badrnezhad, R.; Mirza, B. Modeling and Optimization of Cross-Flow Ultrafiltration Using Hybrid Neural Network-Genetic Algorithm Approach. J. Ind. Eng. Chem. 2014, 20, 528–543. [Google Scholar] [CrossRef]
- Cheryan, M.; Cheryan, M. Ultrafiltration and Microfiltration Handbook; Technomic Pub. Co.: Lancaster, PA, USA, 1998; ISBN 9781566765985. [Google Scholar]
- Samuelsson, G.; Huisman, I.H.; Trägårdh, G.; Paulsson, M. Predicting Limiting Flux of Skim Milk in Crossflow Microfiltration. J. Memb. Sci. 1997, 129, 277–281. [Google Scholar] [CrossRef]
- Saraceno, A.; Curcio, S.; Calabrò, V.; Iorio, G. A Hybrid Neural Approach to Model Batch Fermentation of “Ricotta Cheese Whey” to Ethanol. Comput. Chem. Eng. 2010, 34, 1590–1596. [Google Scholar] [CrossRef]
- Sivanandam, S.N.; Deepa, S.N. Genetic Algorithms. Introd. to Genet. Algorithms 2008. [Google Scholar] [CrossRef]
- Chow, T.T.; Zhang, G.Q.; Lin, Z.; Song, C.L. Global Optimization of Absorption Chiller System by Genetic Algorithm and Neural Network. Energy Build. 2002, 34, 103–109. [Google Scholar] [CrossRef]
- Madaeni, S.S.; Hasankiadeh, N.T.; Kurdian, A.R.; Rahimpour, A. Modeling and Optimization of Membrane Fabrication Using Artificial Neural Network and Genetic Algorithm. Sep. Purif. Technol. 2010, 76, 33–43. [Google Scholar] [CrossRef]
- Reihanian, M.; Asadullahpour, S.R.; Hajarpour, S.; Gheisari, K. Application of Neural Network and Genetic Algorithm to Powder Metallurgy of Pure Iron. Mater. Des. 2011, 32, 3183–3188. [Google Scholar] [CrossRef]
- Cong, T.; Su, G.; Qiu, S.; Tian, W. Applications of ANNs in Flow and Heat Transfer Problems in Nuclear Engineering: A Review Work. Prog. Nucl. Energy 2013, 62, 54–71. [Google Scholar] [CrossRef]
- Arefi-Oskoui, S.; Khataee, A.; Vatanpour, V. Modeling and Optimization of NLDH/PVDF Ultrafiltration Nanocomposite Membrane Using Artificial Neural Network-Genetic Algorithm Hybrid. ACS Comb. Sci. 2017, 19, 464–477. [Google Scholar] [CrossRef] [PubMed]
- Goli, A.; Zare, H.K.; Moghaddam, R.; Sadeghieh, A. A Comprehensive Model of Demand Prediction Based on Hybrid Artificial Intelligence and Metaheuristic Algorithms: A Case Study in Dairy Industry. SSRN Electron. J. 2018, 11, 190–203. [Google Scholar]
- McCulloch, W.S.; Pitts, W. A Logical Calculus of the Ideas Immanent in Nervous Activity. Bull. Math. Biophys. 1943, 5, 115–133. [Google Scholar] [CrossRef]
- Mohammadi, A.H.; Belandria, V.; Richon, D. Use of an Artificial Neural Network Algorithm to Predict Hydrate Dissociation Conditions for Hydrogen+water and Hydrogen+tetra-n-Butyl Ammonium Bromide+water Systems. Chem. Eng. Sci. 2010, 65, 4302–4305. [Google Scholar] [CrossRef]
- Alamolhoda, S.; Kazemeini, M.; Zaherian, A.; Zakerinasab, M.R. Reaction Kinetics Determination and Neural Networks Modeling of Methanol Dehydration over Nano γ-Al2O3 Catalyst. J. Ind. Eng. Chem. 2012, 18, 2059–2068. [Google Scholar] [CrossRef]
- Istadi, I.; Amin, N.A.S. Modelling and Optimization of Catalytic–Dielectric Barrier Discharge Plasma Reactor for Methane and Carbon Dioxide Conversion Using Hybrid Artificial Neural Network—Genetic Algorithm Technique. Chem. Eng. Sci. 2007, 62, 6568–6581. [Google Scholar] [CrossRef]
- Lahiri, S.K.; Ghanta, K.C. Development of an Artificial Neural Network Correlation for Prediction of Hold-up of Slurry Transport in Pipelines. Chem. Eng. Sci. 2008, 63, 1497–1509. [Google Scholar] [CrossRef]
- Green, D.W.; Perry, R.H. Perry’s Chemical Engineers’ Handbook, 8th ed.; McGraw-Hill Education: New York, NY, USA, 2008; ISBN 9780071422949. [Google Scholar]









| Activation Function Name | Function Name in Matlab Code | Equation |
|---|---|---|
| Linear | purelin | |
| Hyperbolic tangent | tansig | |
| Log-sigmoid | logsig | |
| Radial basis | radbas | |
| Triangular basis | tribas |
| Boundary Constraints | Operating Time top (min) | Sampling Time tsample (min) | Cross-Flow Velocity CFV (L/min) | Transmembrane Pressure TMP (bar) |
|---|---|---|---|---|
| Lower | 30 | 5 | 5 | 0.5 |
| Upper | 330 | 30 | 10 | 5 |
| Scenario | Neurons in Hidden Layer 1 | Neurons in Hidden Layer 2 | MSE | Training Performance | Validation Performance | Test Performance | R |
|---|---|---|---|---|---|---|---|
| 1 | 6 | 6 | 2.40 × 10−3 | 3.11 × 10−3 | 1.40 × 10−3 | 6.63 × 10−1 | 0.95676 |
| 2 | 7 | 7 | 2.64 × 10−5 | 2.82 × 10−5 | 1.42 × 10−1 | 2.89 × 10−1 | 0.99918 |
| 3 | 8 | 0 | 1.30 × 10−3 | 3.43 × 10−5 | 1.30 × 10−3 | 4.22 × 10−5 | 0.99274 |
| 4 | 8 | 8 | 1.60 × 10−5 | 1.10 × 10−5 | 1.10 × 10−5 | 4.66 × 10−5 | 0.99952 |
| 5 | 8 | 9 | 5.42 × 10−4 | 7.54 × 10−4 | 3.14 × 10−5 | 5.05 × 10−5 | 0.98395 |
| 6 | 8 | 10 | 1.52 × 10−4 | 1.94 × 10−4 | 3.11 × 10−5 | 7.02 × 10−1 | 0.99759 |
| 7 | 9 | 9 | 1.09 × 10−4 | 1.15 × 10−4 | 4.83 × 10−1 | 1.43 | 0.99854 |
| 8 | 10 | 10 | 2.44 × 10−5 | 2.34 × 10−5 | 4.50 × 10−1 | 1.09 × 10−1 | 0.99924 |
| Scenario | Neurons in Hidden Layer 1 | Neurons in Hidden Layer 2 | MSE | Training Performance | Validation Performance | Test Performance | R |
|---|---|---|---|---|---|---|---|
| 1 | 8 | 0 | 4.09 × 10−2 | 1.63 × 10−5 | 4.09 × 10−2 | 1.49 × 10−5 | 0.89667 |
| 2 | 8 | 8 | 2.91 × 10−4 | 3.76 × 10−4 | 1.35 × 10−4 | 3.58 × 10−5 | 0.99239 |
| 3 | 8 | 9 | 2.81 × 10−4 | 7.49 × 10−6 | 8.26 × 10−6 | 1.76 × 10−3 | 0.99233 |
| 4 | 8 | 10 | 5.29 × 10−4 | 1.16 × 10−5 | 3.68 × 10−3 | 6.03 × 10−5 | 0.98350 |
| 5 | 9 | 0 | 7.15 × 10−4 | 9.85 × 10−4 | 1.81 × 10−4 | 6.11 × 10−5 | 0.97828 |
| 6 | 9 | 9 | 3.88 × 10−5 | 8.07 × 10−6 | 6.06 × 10−6 | 2.07 × 10−4 | 0.99882 |
| 7 | 10 | 0 | 1.02 × 10−4 | 1.40 × 10−4 | 8.58 × 10−6 | 2.81 × 10−5 | 0.99720 |
| 8 | 10 | 10 | 5.38 × 10−4 | 7.28 × 10−4 | 2.88 × 10−5 | 1.40 × 10−4 | 0.98433 |
| Neurons in the Input Layer | Neurons in Hidden Layer 1 | Neurons in Hidden Layer 2 | Data Set | MSE |
|---|---|---|---|---|
| 3 | 8 | 8 | 1 | 0.035 |
| 3 | 8 | 8 | 2 | 0.005 |
| 4 | 9 | 9 | 1 | 0.042 |
| 4 | 9 | 9 | 2 | 0.002 |
| ANN Inputs | Minimum MSE | Optimal Operating Conditions | ||||
|---|---|---|---|---|---|---|
| Operating Time top (min) | Sampling Time tsample (min) | Cross-Flow Velocity CFV (L/min) | Transmembrane Pressure TMP (bar) | Normalized Permeate Flux (%) | ||
| 3 | 2.89 × 10−13 | 300 | 8.33 | 8.33 | - | 1.00 |
| 4 | 1.71 × 10−11 | 225 | 15.9 | 6.25 | 1.33 | 7.41 |
Disclaimer/Publisher’s Note: The statements, opinions and data contained in all publications are solely those of the individual author(s) and contributor(s) and not of MDPI and/or the editor(s). MDPI and/or the editor(s) disclaim responsibility for any injury to people or property resulting from any ideas, methods, instructions or products referred to in the content. |
© 2023 by the authors. Licensee MDPI, Basel, Switzerland. This article is an open access article distributed under the terms and conditions of the Creative Commons Attribution (CC BY) license (https://creativecommons.org/licenses/by/4.0/).
Share and Cite
Gaudio, M.T.; Curcio, S.; Chakraborty, S.; Calabrò, V. Application of Artificial Neural Networks for Modelling and Control of Flux Decline in Cross-Flow Whey Ultrafiltration. Processes 2023, 11, 1287. https://doi.org/10.3390/pr11041287
Gaudio MT, Curcio S, Chakraborty S, Calabrò V. Application of Artificial Neural Networks for Modelling and Control of Flux Decline in Cross-Flow Whey Ultrafiltration. Processes. 2023; 11(4):1287. https://doi.org/10.3390/pr11041287
Chicago/Turabian StyleGaudio, Maria Teresa, Stefano Curcio, Sudip Chakraborty, and Vincenza Calabrò. 2023. "Application of Artificial Neural Networks for Modelling and Control of Flux Decline in Cross-Flow Whey Ultrafiltration" Processes 11, no. 4: 1287. https://doi.org/10.3390/pr11041287
APA StyleGaudio, M. T., Curcio, S., Chakraborty, S., & Calabrò, V. (2023). Application of Artificial Neural Networks for Modelling and Control of Flux Decline in Cross-Flow Whey Ultrafiltration. Processes, 11(4), 1287. https://doi.org/10.3390/pr11041287

