Short-Process Preparation of High-Purity V2O5 from Shale Acid Leaching Solution via Chlorination
Abstract
:1. Introduction
2. Materials and Methods
2.1. Materials
2.2. Procedure for Short-Process Preparation of V2O5
2.2.1. Precipitation of Vanadium from Acid Leaching Solution
2.2.2. Chlorination of Precipitate Isolated from Leaching Solution
2.2.3. Ammonolysis of VOCl3
2.3. Characterization of VOCl3 and V2O5
3. Results and Discussion
3.1. Analysis of Precipitate Isolated from Acid Leaching Solution
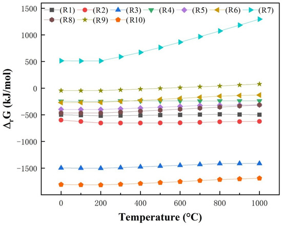
3.2. Thermodynamic Analysis of Chlorination Reaction
3.3. Effects of Chlorination Parameters
3.3.1. Temperature
3.3.2. Dosage of AlCl3
3.3.3. Effect of Temperature on Chlorination in the Presence of NaCl
3.3.4. Effect of AlCl3 and NaCl Dosage on Chlorination
3.4. Analysis of Chlorination Residue
3.5. V2O5 Preparation from VOCl3 Solution
3.5.1. Effects of VOCl3 Hydrolysis Parameters
3.5.2. Characterization of V2O5
3.6. Comparison with Traditional Hydrometallurgical Method of V2O5 Preparation
4. Conclusions
Author Contributions
Funding
Data Availability Statement
Conflicts of Interest
References
- Jiang, D.D.; Zhang, H.L.; Xu, H.B.; Zhang, Y. Chlorination and purification of vanadium pentoxide with anhydrous aluminum chloride. J. Alloys Compd. 2017, 709, 505–510. [Google Scholar] [CrossRef]
- Zhang, Y.M.; Hu, Y.J.; Bao, S.X. Vanadium emission during roasting of vanadium-bearing stone coal in chlorine. Miner. Eng. 2012, 30, 95–98. [Google Scholar] [CrossRef]
- Liu, S.Y.; Li, S.J.; Wu, S.; Wang, L.J.; Chou, K.C. A novel method for vanadium slag comprehensive utilization to synthesize Zn-Mn ferrite and Fe-V-Cr alloy. J. Hazard. Mater. 2018, 354, 99–106. [Google Scholar] [CrossRef] [PubMed]
- Ying, Z.W.; Huo, M.X.; Wu, G.X.; Li, J.; Ju, Y.; Wei, Q.F.; Ren, X.L. Recovery of vanadium and chromium from leaching solution of sodium roasting vanadium slag by stepwise separation using amide and EHEHPA. Sep. Purif. Technol. 2021, 269, 118741. [Google Scholar] [CrossRef]
- Lee, C.Y.; Jiang, C.A.; Hsieh, C.L.; Chen, C.H.; Lin, K.F.; Liu, Y.M.; Huang, Y.P. Application of flexible integrated microsensor to internal real-time measurement of vanadium redox flow battery. Sens. Actuat. A-Phys. 2017, 267, 135–141. [Google Scholar] [CrossRef]
- Ding, L.M.; Wang, L.H. Preparation of novel structure polybenzimidazole with thiophene ring for high performance proton conducting membrane in vanadium flow battery. J. Power Sources 2023, 564, 232858. [Google Scholar] [CrossRef]
- Duan, Z.N.; Qu, Z.G.; Wang, Q.; Wang, J.J. Structural modification of vanadium redox flow battery with high electrochemical corrosion resistance. Appl. Energy 2019, 250, 1632–1640. [Google Scholar] [CrossRef]
- Wang, F.R.; Jiang, F.J. Ion-Conducting Membrane for Vanadium Redox Flow Batteries. Prog. Chem. 2021, 33, 462–470. [Google Scholar]
- Zhang, Z.H.; Wei, L.; Wu, M.C.; Bai, B.F.; Zhao, T.S. Chloride ions as an electrolyte additive for high performance vanadium redox flow batteries. Appl. Energy 2021, 289, 116690. [Google Scholar] [CrossRef]
- Mendonca, L.T.B.; Bezerra, A.G., Jr.; de Azevedo, W.M. Preparation and characterization of V2O5 and V2O5/PANI nanocomposite by laser ablation technique in liquid. Mater. Chem. Phys. 2021, 273, 125084. [Google Scholar] [CrossRef]
- Uwanyuze, R.S.; Alpay, S.P.; Schaffoner, S.; Sahoo, S. A first principles analysis of oxidation in titanium alloys with aluminum and vanadium. Surf. Sci. 2022, 719, 122026. [Google Scholar] [CrossRef]
- Ni, J.W.; Li, M.J.; Ma, T.; Wei, W.; Li, Z. The configuration optimized design method based on real-time efficiency for the application of vanadium redox flow battery in microgrid. Energy Convers. Manag. 2022, 267, 115899. [Google Scholar] [CrossRef]
- Pahlevaninezhad, M.; Pahlevani, M.; Roberts, E.P.L. Effects of aluminum, iron, and manganese sulfate impurities on the vanadium redox flow battery. J. Power Sources 2022, 529, 231271. [Google Scholar] [CrossRef]
- Hsu, N.Y.; Devi, N.; Lin, Y.I.; Hu, Y.H.; Ku, H.H.; Arpornwichanop, A.; Chen, Y.S. Study on the effect of electrode configuration on the performance of a hydrogen/vanadium redox flow battery. Renew. Energy 2022, 190, 658–663. [Google Scholar] [CrossRef]
- Wang, Q.; Chen, W.; Zhao, C.Y.; Li, Z.Y. Analysis of overpotential in discharge process associated with precipitation for vanadium-manganese flow battery. J. Power Sources 2022, 517, 230717. [Google Scholar] [CrossRef]
- Chen, H.; Zhang, X.Y.; Zhang, S.R.; Wu, S.X.; Chen, F.Y.; Xu, J.G. A comparative study of iron-vanadium and all-vanadium flow battery for large scale energy storage. Chem. Eng. J. 2022, 429, 132403. [Google Scholar] [CrossRef]
- Yan, B.; Li, X.F.; Fu, X.Y.; Zhang, L.L.; Bai, Z.M.; Yang, X.L. An elaborate insight of lithiation behavior of V2O5 anode. Nano Energy 2020, 78, 105233. [Google Scholar] [CrossRef]
- Fan, C.L.; Yang, H.T.; Zhu, Q.S. Selective hydrolysis of trace TiCl4 from VOCl3 for preparation of high purity V2O5. Sep. Purif. Technol. 2017, 185, 196–201. [Google Scholar] [CrossRef]
- Fan, C.L.; Xu, J.; Yang, H.T.; Zhu, Q.S. High-purity, low-Cl V2O5 via the gaseous hydrolysis of VOCl3 in a fluidized bed. Particuology 2020, 49, 9–15. [Google Scholar] [CrossRef]
- Zhao, Z.P.; Guo, M.; Zhang, M. Extraction of molybdenum and vanadium from the spent diesel exhaust catalyst by ammonia leaching method. J. Hazard. Mater. 2015, 286, 402–409. [Google Scholar] [CrossRef]
- Singh, R.; Mahandra, H.; Gupta, B. Cyphos IL 102 assisted liquid-liquid extraction studies and recovery of vanadium from spent catalyst. Miner. Eng. 2018, 128, 324–333. [Google Scholar] [CrossRef]
- Pan, B.; Du, H.; Wang, S.N.; Wang, H.X.; Liu, B.; Zhang, Y. Cleaner production of ammonium poly-vanadate by membrane electrolysis of sodium vanadate solution: The effect of membrane materials and electrode arrangements. J. Clean. Prod. 2019, 239, 118129. [Google Scholar] [CrossRef]
- Chen, X.X.; Wang, H.; Yan, B.J. Sulfuric acid leaching and recovery of vanadium from a spinel concentrate beneficiated from stone coal ore. Hydrometallurgy 2020, 191, 105239. [Google Scholar] [CrossRef]
- Huang, Q.Y.; Wang, Q.W.; Liu, X.M.; Li, X.Q.; Zheng, J.Y.; Gao, H.Q.; Li, L.; Xu, W.B.; Wang, S.; Xie, M.Q.; et al. Effective separation and recovery of Zn, Cu, and Cr from electroplating sludge based on differential phase transformation induced by chlorinating roasting. Sci. Total Environ. 2022, 820, 153260. [Google Scholar] [CrossRef]
- Mochizuki, Y.; Tsubouchi, N.; Sugawara, K. Separation of valuable elements from steel making slag by chlorination. Resour. Conserv. Recycl. 2020, 158, 104815. [Google Scholar] [CrossRef]
- Liu, S.Y.; He, X.B.; Wang, Y.D.; Wang, L.J. Cleaner and effective extraction and separation of iron from vanadium slag by carbothermic reduction-chlorination-molten salt electrolysis. J. Clean. Prod. 2021, 284, 124674. [Google Scholar] [CrossRef]
- Wu, H.; Wang, H.J.; Duan, S.Y.; Li, H.R.; He, Q.S. Full-process analysis on volatilizing gold, zinc by chlorination roasting and synchronous recovery vanadium by water leaching of carbonaceous gold ore. Miner. Eng. 2022, 185, 107682. [Google Scholar] [CrossRef]
- Ge, J.H.; Xiao, Y.H.; Kuang, J.; Liu, X.M. Research progress of chlorination roasting of heavy metals in solid waste. Surf. Interfaces 2022, 29, 101744. [Google Scholar] [CrossRef]
- Wang, W.W.; Li, Z.Y. Recovery and kinetics of gold and iron from cyanide tailings by one-step chlorination–reduction roasting. Miner. Eng. 2020, 155, 106453. [Google Scholar] [CrossRef]
- Li, P.W.; Luo, S.H.; Feng, J.; Lv, F.; Yan, S.X.; Wang, Q.; Zhang, Y.H.; Mu, W.N.; Liu, X.; Lei, X.F.; et al. Study on the high-efficiency separation of Fe in extracted vanadium residue by sulfuric acid roasting and the solidification behavior of V and Cr. Sep. Purif. Technol. 2021, 269, 118687. [Google Scholar] [CrossRef]
- Ma, Y.Y.; Zhou, X.Y.; Tang, J.J.; Liu, X.J.; Gan, H.X.; Yang, J. One-step selective recovery and cyclic utilization of valuable metals from spent lithium-ion batteries via low-temperature chlorination pyrolysis. Resour. Conserv. Recycl. 2021, 175, 105840. [Google Scholar] [CrossRef]
- Mu, W.N.; Cui, F.H.; Xin, H.X.; Zhai, Y.C.; Xu, Q. A novel process for simultaneously extracting Ni and Cu from mixed oxide-sulfide copper-nickel ore with highly alkaline gangue via FeCl3∙6H2O chlorination and water leaching. Hydrometallurgy 2020, 191, 105187. [Google Scholar] [CrossRef]
- Li, L.J.; Gao, X.Y.; Wang, X.D.; Qi, J.; Zhao, B.B. A novel method to prepare high-purity V2O5 from Na3VO4 solution. J. Mater. Res. Technol. 2021, 15, 1678–1687. [Google Scholar] [CrossRef]
- Mccarley, R.E.; Roddy, J.W. The preparation of high purity vanadium pentoxide by a chlorination procedure. J. Less-Common Met. 1960, 2, 29–35. [Google Scholar] [CrossRef]
- Zhang, J.H.; Xue, N.N.; Zhang, Y.M.; Zheng, Q.S. High-Efficiency Stepped Separation and Recoveries of Vanadium and Molybdenum via Low-Temperature Carbonation Conversion of High-Chromium Vanadium Residue. Processes 2023, 11, 470. [Google Scholar] [CrossRef]
- Wen, J.; Jiang, T.; Zheng, X.L.; Wang, J.P.; Cao, J.; Zhou, M. Efficient separation of chromium and vanadium by calcification roasting–sodium carbonate leaching from high chromium vanadium slag and V2O5 preparation. Sep. Purif. Technol. 2020, 230, 115881. [Google Scholar] [CrossRef]
- Zheng, H.Y.; Sun, Y.; Dong, J.H.; Zhang, W.L.; Shen, F.M. Vanadium extraction from vanadium-bearing titanomagnetite by selective chlorination using chloride wastes (FeClX). J. Cent. South Univ. 2017, 24, 311–317. [Google Scholar] [CrossRef]
- Du, G.C.; Li, Z.C.; Zhang, J.B.; Mao, H.C.; Ma, S.G.; Fan, C.L.; Zhu, Q.S. Chlorination behaviors for green and efficient vanadium recovery from tailing of refining crude titanium tetrachloride. J. Hazard. Mater. 2021, 420, 126501. [Google Scholar] [CrossRef]
- YB/T 5304-2011; Vanadium Pentoxide. Chinese Standard: Beijing, China, 2011.
- Shi, Q.H.; Zhang, Y.M.; Liu, T.; Huang, J. Recycling of Ammonia Wastewater During Vanadium Extraction from Shale. JOM 2018, 70, 1991–1996. [Google Scholar] [CrossRef]
















| Element | V | Na | K | Mg | Fe | Al | P | Ni | Mo | Cr | S |
| Concentration | 2.32 | 0.69 | 0.81 | 14.02 | 3.76 | 2.11 | 0.58 | 1.74 | 0.02 | 0.23 | 51.24 |
| Component | V2O5 | Fe2O3 | MgO | Al2O3 | Na2O | Cr2O3 | P2O5 | NiO | MoO3 | K2O | SO3 |
| Content | 7.52 | 3.81 | 14.10 | 12.88 | 17.45 | 0.21 | 0.68 | 0.43 | 0.15 | 1.76 | 36.15 |
| Chloride | Melting Point/°C | Boiling Point/°C |
|---|---|---|
| VOCl3 | −77 | 126 |
| FeCl3 | 306 | 316 |
| MgCl2 | 714 | 1412 |
| AlCl3 | 194 | 178 |
| NaCl | 801 | 1465 |
| MoCl6 | 249 | 352 |
| NiCl2 | 1001 | 973 |
| CrCl3 | 1152 | 1300 |
| PCl5 | 180 | 375 |
| KCl | 773 | 1500 |
| N(V):n(AlCl3) | Impurity Content (%) | VOCl3 Purity (%) | ||||||||
|---|---|---|---|---|---|---|---|---|---|---|
| Na | Fe | Mg | Al | Ni | Mo | Cr | P | K | ||
| 1:1 | 0.1157 | 0.1134 | 0.1016 | 0.1970 | 0.1061 | 0.0517 | 0.1110 | 0.0515 | 0.1012 | 99.05% |
| 1:2 | 0.1166 | 0.1032 | 0.1028 | 0.1365 | 0.1075 | 0.0250 | 0.1032 | 0.0222 | 0.0230 | 99.26% |
| 1:3 | 0.1078 | 0.1009 | 0.1021 | 0.1083 | 0.1063 | 0.0508 | 0.1004 | 0.0024 | 0.0515 | 99.27% |
| 1:4 | 0.1053 | 0.1055 | 0.1044 | 0.1040 | 0.0507 | 0.0503 | 0.0505 | 0.0193 | 0.0505 | 99.38% |
| 1:5 | 0.0531 | 0.0531 | 0.0557 | 0.1065 | 0.0502 | 0.0201 | 0.0502 | 0.0101 | 0.0101 | 99.59% |
| N(V):n(AlCl3):n(NaCl) | Impurity Content (%) | VOCl3 Purity (%) | ||||||||
|---|---|---|---|---|---|---|---|---|---|---|
| Na | Fe | Mg | Al | Ni | Mo | Cr | P | K | ||
| 3:3:2 | 0.0157 | 0.0134 | 0.0016 | 0.0470 | 0.0061 | 0.0017 | 0.0110 | 0.0015 | 0.0012 | 99.91% |
| 3:6:4 | 0.0166 | 0.0032 | 0.0028 | 0.0465 | 0.0075 | 0.0030 | 0.0032 | 0.0002 | 0.0030 | 99.91% |
| 3:9:6 | 0.0078 | 0.0009 | 0.0021 | 0.0483 | 0.0063 | 0.0008 | 0.0004 | 0.0004 | 0.0005 | 99.93% |
| 3:12:8 | 0.0053 | 0.0055 | 0.0044 | 0.0440 | 0.0007 | 0.0003 | 0.0005 | 0.0003 | 0.0005 | 99.94% |
| 3:15:10 | 0.0031 | 0.0031 | 0.0057 | 0.0465 | 0.0002 | 0.0001 | 0.0002 | 0.0001 | 0.0001 | 99.95% |
| Constituent | V2O5 | Si | Fe | P | S | As | Na2O + K2O |
|---|---|---|---|---|---|---|---|
| V2O5 (99% standard *) | >99 | <0.15 | <0.20 | <0.03 | <0.01 | <0.01 | <1.0 |
| V2O5 obtained herein | 99.86 | 0.0005 | 0.0384 | 0.0004 | 0.0087 | 0.0005 | 0.0315 |
Disclaimer/Publisher’s Note: The statements, opinions and data contained in all publications are solely those of the individual author(s) and contributor(s) and not of MDPI and/or the editor(s). MDPI and/or the editor(s) disclaim responsibility for any injury to people or property resulting from any ideas, methods, instructions or products referred to in the content. |
© 2023 by the authors. Licensee MDPI, Basel, Switzerland. This article is an open access article distributed under the terms and conditions of the Creative Commons Attribution (CC BY) license (https://creativecommons.org/licenses/by/4.0/).
Share and Cite
Huang, D.; Huang, J.; Zhang, Y.; Fan, Y.; Hu, P. Short-Process Preparation of High-Purity V2O5 from Shale Acid Leaching Solution via Chlorination. Processes 2023, 11, 1270. https://doi.org/10.3390/pr11041270
Huang D, Huang J, Zhang Y, Fan Y, Hu P. Short-Process Preparation of High-Purity V2O5 from Shale Acid Leaching Solution via Chlorination. Processes. 2023; 11(4):1270. https://doi.org/10.3390/pr11041270
Chicago/Turabian StyleHuang, Dou, Jing Huang, Yimin Zhang, Yong Fan, and Pengcheng Hu. 2023. "Short-Process Preparation of High-Purity V2O5 from Shale Acid Leaching Solution via Chlorination" Processes 11, no. 4: 1270. https://doi.org/10.3390/pr11041270
APA StyleHuang, D., Huang, J., Zhang, Y., Fan, Y., & Hu, P. (2023). Short-Process Preparation of High-Purity V2O5 from Shale Acid Leaching Solution via Chlorination. Processes, 11(4), 1270. https://doi.org/10.3390/pr11041270

