The Biological Responses of Staphylococcus aureus to Cold Plasma Treatment
Abstract
1. Introduction
2. Materials and Methods
2.1. Cold Plasma Generator
2.2. Cell Survivability
2.3. Detection of Cell Lysate Composition
2.4. Antioxidant Assays
2.5. RNA Sequencing
2.6. Transcriptome Analysis
3. Results
3.1. Cold Plasma Properties
3.2. Cell Survivability
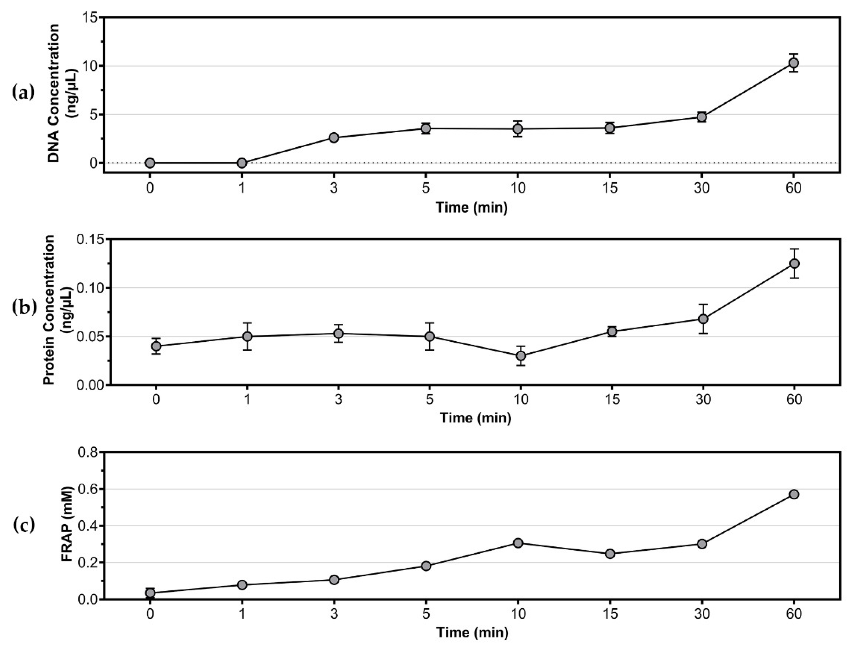
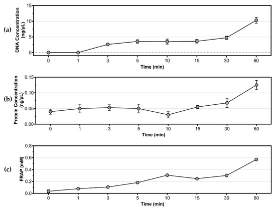
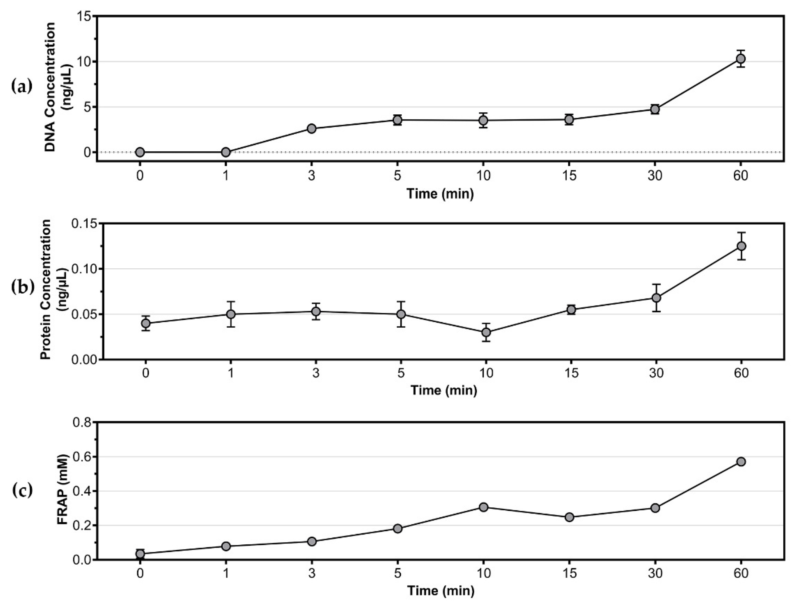
3.3. Detection of Cell Lysate Composition
3.4. Antioxidant Assays
3.5. Differential Gene Expression on Cold Plasma-Treated Cell Culture
3.5.1. Technical Overview of RNA-Seq Data
3.5.2. Functional Enrichment Analyses of Differentially Expressed Genes (DEGs)
3.5.3. In-Depth Comparative Analysis of DEGs Harbored from T1, T3, and T5 Experiments
4. Discussion
5. Conclusions
Author Contributions
Funding
Data Availability Statement
Acknowledgments
Conflicts of Interest
References
- Silva-Santana, G.; Cabral-Oliviera, G.; Oliveira, D.R.; Nogueira, B.A.; Pereira-Ribeiro, P.M.A.; Mattos-Guaraldi, A.L. Staphylococcus aureus Biofilms: An Opportunistic Pathogen with Multidrug Resistance. Rev. Res. Med. Microbiol. 2020, 32, 12–21. [Google Scholar] [CrossRef]
 - Guo, Y.; Song, G.; Sun, M.; Wang, J.; Wang, Y. Prevalence and Therapies of Antibiotic-Resistance in Staphylococcus aureus. Front. Cell. Infect. Microbiol. 2020, 10, 107. [Google Scholar] [CrossRef] [PubMed]
 - Stein, E. Microbiologically Safe Foods; ED-Tech Press: Waltham Abbey, UK, 2018; ISBN 978-1-83947-354-8. [Google Scholar]
 - Azuma, T.; Murakami, M.; Sonoda, Y.; Ozaki, A.; Hayashi, T. Occurrence and Quantitative Microbial Risk Assessment of Methicillin-Resistant Staphylococcus aureus (MRSA) in a Sub-Catchment of the Yodo River Basin, Japan. Antibiotics 2022, 11, 1355. [Google Scholar] [CrossRef]
 - Li, J.; Wen, Q.; Gu, F.; An, L.; Yu, T. Non-Antibiotic Strategies for Prevention and Treatment of Internalized Staphylococcus aureus. Front. Microbiol. 2022, 13, 974984. [Google Scholar] [CrossRef] [PubMed]
 - Chang, W.; Small, D.A.; Toghrol, F.; Bentley, W.E. Global Transcriptome Analysis of Staphylococcus aureus Response to Hydrogen Peroxide. J. Bacteriol. 2006, 188, 1648–1659. [Google Scholar] [CrossRef]
 - Song, M.; Zeng, Q.; Xiang, Y.; Gao, L.; Huang, J.; Huang, J.; Wu, K.; Lu, J. The Antibacterial Effect of Topical Ozone on the Treatment of MRSA Skin Infection. Mol. Med. Rep. 2018, 17, 2449–2455. [Google Scholar] [CrossRef]
 - Kaiki, Y.; Kitagawa, H.; Hara, T.; Nomura, T.; Omori, K.; Shigemoto, N.; Takahashi, S.; Ohge, H. Methicillin-Resistant Staphylococcus aureus Contamination of Hospital-Use-Only Mobile Phones and Efficacy of 222-Nm Ultraviolet Disinfection. Am. J. Infect. Control 2021, 49, 800–803. [Google Scholar] [CrossRef]
 - Laroussi, M. Cold Plasma in Medicine and Healthcare: The New Frontier in Low Temperature Plasma Applications. Front. Phys. 2020, 8, 74. [Google Scholar] [CrossRef]
 - Ziuzina, D.; Han, L.; Cullen, P.J.; Bourke, P. Cold Plasma Inactivation of Internalised Bacteria and Biofilms for Salmonella enterica Serovar Typhimurium, Listeria monocytogenes and Escherichia coli. Int. J. Food Microbiol. 2015, 210, 53–61. [Google Scholar] [CrossRef]
 - Xu, D.; Zhang, X.; Zhang, J.; Feng, R.; Wang, S.; Yang, Y. Metabolomics of Pseudomonas aeruginosa Treated by Atmospheric-Pressure Cold Plasma. Appl. Sci. 2021, 11, 10527. [Google Scholar] [CrossRef]
 - Nasir, N.M.; Lee, B.; Yap, S.S.; Thong, K.; Yap, S.L. Cold Plasma Inactivation of Chronic Wound Bacteria. Arch. Biochem. Biophys. 2016, 605, 76–85. [Google Scholar] [CrossRef]
 - Han, L.; Patil, S.; Boehm, D.; Milosavljević, V.; Cullen, P.J.; Bourke, P. Mechanisms of Inactivation by High-Voltage Atmospheric Cold Plasma Differ for Escherichia Coli and Staphylococcus aureus. Appl. Environ. Microbiol. 2016, 82, 450–458. [Google Scholar] [CrossRef]
 - Liao, X.; Xiang, Q.; Liu, D.; Chen, S.; Ye, X.; Ding, T. Lethal and Sublethal Effect of a Dielectric Barrier Discharge Atmospheric Cold Plasma on Staphylococcus aureus. J. Food Prot. 2017, 80, 928–932. [Google Scholar] [CrossRef]
 - Liao, X.; Cullen, P.J.; Liu, D.; Muhammad, A.I.; Chen, S.; Ye, X.; Wang, J.; Ding, T. Combating Staphylococcus aureus and Its Methicillin Resistance Gene (MecA) with Cold Plasma. Sci. Total Environ. 2018, 645, 1287–1295. [Google Scholar] [CrossRef]
 - Liao, X.; Liu, D.; Ding, T. Nonthermal Plasma Induces the Viable-but-Nonculturable State in Staphylococcus aureus via Metabolic Suppression and the Oxidative Stress Response. Appl. Environ. Microbiol. 2020, 86, e02216–e02219. [Google Scholar] [CrossRef]
 - Zhang, X.; Liew, K.J.; Chong, C.S.; Cai, X.; Chang, Z.; Jia, H.; Liu, P.; He, H.; Liu, W.; Li, Y. Low-Temperature Air Plasma Jet for Inactivation of Bacteria (S. aureus and E. coli) and Fungi (C. albicans and T. rubrum). Acta Phys. Pol. A 2023, 143, 12–18. [Google Scholar] [CrossRef]
 - Benzie, I.F.; Devaki, M. The Ferric Reducing/Antioxidant Power (FRAP) Assay for Non-enzymatic Antioxidant Capacity: Concepts, Procedures, Limitations and Applications. In Measurement of Antioxidant Activity & Capacity: Recent Trends and Applications; Apak, R., Capanoglu, E., Shahidi, F., Eds.; John Wiley & Sons, Inc.: Hoboken, NJ, USA, 2018; Chapter 5; pp. 77–106. [Google Scholar]
 - Andrews, S. FastQC: A Quality Control Tool for High Throughput Sequence Data. Available online: https://www.bioinformatics.babraham.ac.uk/projects/fastqc/ (accessed on 1 September 2022).
 - Bushnell, B. BBTools—DOE Joint Genome Institute. Available online: https://jgi.doe.gov/data-and-tools/software-tools/bbtools/ (accessed on 1 September 2022).
 - Kim, D.; Paggi, J.M.; Park, C.; Bennett, C.; Salzberg, S.L. Graph-Based Genome Alignment and Genotyping with HISAT2 and HISAT-Genotype. Nat. Biotechnol. 2019, 37, 907–915. [Google Scholar] [CrossRef]
 - Liao, Y.; Smyth, G.K.; Shi, W. FeatureCounts: An Efficient General Purpose Program for Assigning Sequence Reads to Genomic Features. Bioinformatics 2014, 30, 923–930. [Google Scholar] [CrossRef]
 - Love, M.I.; Huber, W.; Anders, S. Moderated Estimation of Fold Change and Dispersion for RNA-Seq Data with DESeq2. Genome Biol. 2014, 15, 1–21. [Google Scholar] [CrossRef]
 - Cantalapiedra, C.P.; Hernández-Plaza, A.; Letunic, I.; Bork, P.; Huerta-Cepas, J. EggNOG-Mapper v2: Functional Annotation, Orthology Assignments, and Domain Prediction at the Metagenomic Scale. Mol. Biol. Evol. 2021, 38, 5825–5829. [Google Scholar] [CrossRef]
 - Wu, T.; Hu, E.; Xu, S.; Chen, M.; Guo, P.; Dai, Z.; Feng, T.; Zhou, L.; Tang, W.; Zhan, L. ClusterProfiler 4.0: A Universal Enrichment Tool for Interpreting Omics Data. Innovation 2021, 2, 100141. [Google Scholar] [CrossRef] [PubMed]
 - Soni, A.; Choi, J.; Brightwell, G. Plasma-Activated Water (PAW) as a Disinfection Technology for Bacterial Inactivation with a Focus on Fruit and Vegetables. Foods 2021, 10, 166. [Google Scholar] [CrossRef] [PubMed]
 - Xu, Z.; Zhou, X.; Yang, W.; Zhang, Y.; Ye, Z.; Hu, S.; Ye, C.; Li, Y.; Lan, Y.; Shen, J. In Vitro Antimicrobial Effects and Mechanism of Air Plasma-activated Water on Staphylococcus aureus Biofilm. Plasma Process. Polym. 2020, 17, 1900270. [Google Scholar] [CrossRef]
 - Zhao, Y.; Patange, A.; Sun, D.; Tiwari, B. Plasma-activated Water: Physicochemical Properties, Microbial Inactivation Mechanisms, Factors Influencing Antimicrobial Effectiveness, and Applications in the Food Industry. Compr. Rev. Food Sci. Food Saf. 2020, 19, 3951–3979. [Google Scholar] [CrossRef]
 - Cretenet, M.; Le Gall, G.; Wegmann, U.; Even, S.; Shearman, C.; Stentz, R.; Jeanson, S. Early Adaptation to Oxygen Is Key to the Industrially Important Traits of Lactococcus Lactis Ssp. Cremoris during Milk Fermentation. BMC Genom. 2014, 15, 1–15. [Google Scholar] [CrossRef]
 - Stoyanov, J.V.; Mancini, S.; Lu, Z.H.; Mourlane, F.; Poulsen, K.R.; Wimmer, R.; Solioz, M. The Stress Response Protein Gls24 Is Induced by Copper and Interacts with the CopZ Copper Chaperone of Enterococcus hirae. FEMS Microbiol. Lett. 2010, 302, 69–75. [Google Scholar] [CrossRef]
 - Goyal, L.; Jalan, N.K.; Khanna, S. Butanol Tolerant Bacteria: Isolation and Characterization of Butanol Tolerant Staphylococcus sciuri sp. J. Biotech Res. 2019, 10, 68–77. [Google Scholar]
 - Jo, E.; Hwang, S.; Cha, J. Transcriptome Analysis of Halotolerant Staphylococcus saprophyticus Isolated from Korean Fermented Shrimp. Foods 2022, 11, 524. [Google Scholar] [CrossRef]
 - Ercan, U.; Sen, B.; Brooks, A.; Joshi, S. Escherichia coli Cellular Responses to Exposure to Atmospheric-pressure Dielectric Barrier Discharge Plasma-treated N-acetylcysteine Solution. J. Appl. Microbiol. 2018, 125, 383–397. [Google Scholar] [CrossRef]
 - Patange, A.; O’Byrne, C.; Boehm, D.; Cullen, P.; Keener, K.; Bourke, P. The Effect of Atmospheric Cold Plasma on Bacterial Stress Responses and Virulence Using Listeria monocytogenes Knockout Mutants. Front. Microbiol. 2019, 10, 2841. [Google Scholar] [CrossRef]
 - Gilmore, B.F.; Flynn, P.B.; O’Brien, S.; Hickok, N.; Freeman, T.; Bourke, P. Cold Plasmas for Biofilm Control: Opportunities and Challenges. Trends Biotechnol. 2018, 36, 627–638. [Google Scholar] [CrossRef]
 - Heilmann, C.; Hartleib, J.; Hussain, M.S.; Peters, G. The Multifunctional Staphylococcus aureus Autolysin Aaa Mediates Adherence to Immobilized Fibrinogen and Fibronectin. Infect. Immun. 2005, 73, 4793–4802. [Google Scholar] [CrossRef]
 - Bartlett, A.H.; Hulten, K.G. Staphylococcus aureus Pathogenesis: Secretion Systems, Adhesins, and Invasins. Pediatr. Infect. Dis. J. 2010, 29, 860–861. [Google Scholar] [CrossRef]
 - Vandenesch, F.; Lina, G.; Henry, T. Staphylococcus aureus Hemolysins, Bi-Component Leukocidins, and Cytolytic Peptides: A Redundant Arsenal of Membrane-Damaging Virulence Factors? Front. Cell. Infect. Microbiol. 2012, 2, 12. [Google Scholar] [CrossRef]
 - Mai-Prochnow, A.; Murphy, A.B.; McLean, K.M.; Kong, M.G.; Ostrikov, K.K. Atmospheric Pressure Plasmas: Infection Control and Bacterial Responses. Int. J. Antimicrob. Agents 2014, 43, 508–517. [Google Scholar] [CrossRef]
 - González-González, C.R.; Labo-Popoola, O.; Delgado-Pando, G.; Theodoridou, K.; Doran, O.; Stratakos, A.C. The Effect of Cold Atmospheric Plasma and Linalool Nanoemulsions against Escherichia coli O157: H7 and Salmonella on Ready-to-Eat Chicken Meat. LWT 2021, 149, 111898. [Google Scholar] [CrossRef]
 - Qian, J.; Ma, L.; Yan, W.; Zhuang, H.; Huang, M.; Zhang, J.; Wang, J. Inactivation Kinetics and Cell Envelope Damages of Foodborne Pathogens Listeria monocytogenes and Salmonella enteritidis Treated with Cold Plasma. Food Microbiol. 2022, 101, 103891. [Google Scholar] [CrossRef]
 - Coutinho, N.M.; Silveira, M.R.; Rocha, R.S.; Moraes, J.; Ferreira, M.V.S.; Pimentel, T.C.; Freitas, M.Q.; Silva, M.C.; Raices, R.S.L.; Ranadheera, C.S. Cold Plasma Processing of Milk and Dairy Products. Trends Food Sci. Technol. 2018, 74, 56–68. [Google Scholar] [CrossRef]
 - Ahmed, M.W.; Naqvi, S.M.; Qasim, I.; Noreen, Z.; Shafiq, M.; Bukhari, H. Degradation of Multidrug-Resistant E. coli by Low Pressure Plasma. Int. J. Food Prop. 2021, 24, 1289–1299. [Google Scholar] [CrossRef]
 - Ziuzina, D.; Boehm, D.; Patil, S.; Cullen, P.; Bourke, P. Cold Plasma Inactivation of Bacterial Biofilms and Reduction of Quorum Sensing Regulated Virulence Factors. PLoS ONE 2015, 10, e0138209. [Google Scholar] [CrossRef]
 - Niedźwiedź, I.; Juzwa, W.; Skrzypiec, K.; Skrzypek, T.; Waśko, A.; Kwiatkowski, M.; Pawłat, J.; Polak-Berecka, M. Morphological and Physiological Changes in Lentilactobacillus hilgardii Cells after Cold Plasma Treatment. Sci. Rep. 2020, 10, 18882. [Google Scholar] [CrossRef] [PubMed]
 - Wan, Q.; Song, D.; Li, H.; He, M. Stress Proteins: The Biological Functions in Virus Infection, Present and Challenges for Target-Based Antiviral Drug Development. Signal Transduct. Target. Ther. 2020, 5, 125. [Google Scholar] [CrossRef] [PubMed]
 - Siegele, D.A. Universal Stress Proteins in Escherichia coli. J. Bacteriol. 2005, 187, 6253–6254. [Google Scholar] [CrossRef] [PubMed]
 - Inoue, H.; Suzuki, D.; Asai, K. A Putative Bactoprenol Glycosyltransferase, CsbB, in Bacillus subtilis Activates SigM in the Absence of Co-Transcribed YfhO. Biochem. Biophys. Res. Commun. 2013, 436, 6–11. [Google Scholar] [CrossRef]
 - Rismondo, J.; Percy, M.G.; Gründling, A. Discovery of Genes Required for Lipoteichoic Acid Glycosylation Predicts Two Distinct Mechanisms for Wall Teichoic Acid Glycosylation. J. Biol. Chem. 2018, 293, 3293–3306. [Google Scholar] [CrossRef]
 - Völker, U.; Engelmann, S.; Maul, B.; Riethdorf, S.; Völker, A.; Schmid, R.; Mach, H.; Hecker, M. Analysis of the Induction of General Stress Proteins of Bacillus subtilis. Microbiology 1994, 140, 741–752. [Google Scholar] [CrossRef]
 - Bekeschus, S.; Lippert, M.; Diepold, K.; Chiosis, G.; Seufferlein, T.; Azoitei, N. Physical Plasma-Triggered ROS Induces Tumor Cell Death upon Cleavage of HSP90 Chaperone. Sci. Rep. 2019, 9, 4112. [Google Scholar] [CrossRef]
 - Holubová, Ľ.; Švubová, R.; Slováková, Ľ.; Bokor, B.; Chobotová Kročková, V.; Renčko, J.; Uhrin, F.; Medvecká, V.; Zahoranová, A.; Gálová, E. Cold Atmospheric Pressure Plasma Treatment of Maize Grains—Induction of Growth, Enzyme Activities and Heat Shock Proteins. Int. J. Mol. Sci. 2021, 22, 8509. [Google Scholar] [CrossRef]
 - Nimse, S.B.; Pal, D. Free Radicals, Natural Antioxidants, and Their Reaction Mechanisms. RSC Adv. 2015, 5, 27986–28006. [Google Scholar] [CrossRef]
 - Park, S.-C.; Pham, B.P.; Jia, B.; Lee, S.; Yu, R.; Han, S.W.; Yang, J.-K.; Hahm, K.-S.; Cheong, G.-W. Structural and Functional Characterization of Osmotically Inducible Protein C (OsmC) from Thermococcus kodakaraensis KOD1. Biochim. Et Biophys. Acta (BBA)-Proteins Proteom. 2008, 1784, 783–788. [Google Scholar] [CrossRef]
 - Yang, Y.; Wang, H.; Zhou, H.; Hu, Z.; Shang, W.; Rao, Y.; Peng, H.; Zheng, Y.; Hu, Q.; Zhang, R. Protective Effect of the Golden Staphyloxanthin Biosynthesis Pathway on Staphylococcus aureus under Cold Atmospheric Plasma Treatment. Appl. Environ. Microbiol. 2020, 86, e01998–e19. [Google Scholar] [CrossRef]
 - Yılmaz, H.; İbici, H.N.; Erdoğan, E.M.; Türedi, Z.; Ergenekon, P.; Özkan, M. Nitrite Is Reduced by Nitrite Reductase NirB without Small Subunit NirD in Escherichia coli. J. Biosci. Bioeng. 2022, 134, 393–398. [Google Scholar] [CrossRef]
 - Wozniak, K.J.; Simmons, L.A. Bacterial DNA Excision Repair Pathways. Nat. Rev. Microbiol. 2022, 20, 465–477. [Google Scholar] [CrossRef]
 - Haney, A.M.; Sanfilippo, J.E.; Garczarek, L.; Partensky, F.; Kehoe, D.M. Multiple Photolyases Protect the Marine Cyanobacterium Synechococcus from Ultraviolet Radiation. mBio 2022, 13, e01511–e01522. [Google Scholar] [CrossRef]
 - Mercolino, J.; Lo Sciuto, A.; Spinnato, M.C.; Rampioni, G.; Imperi, F. RecA and Specialized Error-Prone DNA Polymerases Are Not Required for Mutagenesis and Antibiotic Resistance Induced by Fluoroquinolones in Pseudomonas aeruginosa. Antibiotics 2022, 11, 325. [Google Scholar] [CrossRef]
 - Hołówka, J.; Zakrzewska-Czerwińska, J. Nucleoid Associated Proteins: The Small Organizers That Help to Cope with Stress. Front. Microbiol. 2020, 11, 590. [Google Scholar] [CrossRef]
 - Xia, G.; Kohler, T.; Peschel, A. The Wall Teichoic Acid and Lipoteichoic Acid Polymers of Staphylococcus aureus. Int. J. Med. Microbiol. 2010, 300, 148–154. [Google Scholar] [CrossRef]
 - Al-Mebairik, N.F.; El-Kersh, T.A.; Al-Sheikh, Y.A.; Marie, M.A.M. A Review of Virulence Factors, Pathogenesis, and Antibiotic Resistance in Staphylococcus aureus. Rev. Med. Microbiol. 2016, 27, 50–56. [Google Scholar] [CrossRef]
 - Cheung, G.Y.; Bae, J.S.; Otto, M. Pathogenicity and Virulence of Staphylococcus aureus. Virulence 2021, 12, 547–569. [Google Scholar] [CrossRef]
 - Jurado-Martín, I.; Sainz-Mejías, M.; McClean, S. Pseudomonas aeruginosa: An Audacious Pathogen with an Adaptable Arsenal of Virulence Factors. Int. J. Mol. Sci. 2021, 22, 3128. [Google Scholar] [CrossRef]
 - Jongerius, I.; Köhl, J.; Pandey, M.K.; Ruyken, M.; van Kessel, K.P.; van Strijp, J.A.; Rooijakkers, S.H. Staphylococcal Complement Evasion by Various Convertase-Blocking Molecules. J. Exp. Med. 2007, 204, 2461–2471. [Google Scholar] [CrossRef] [PubMed]
 - Kiselyov, K.; Muallem, S. ROS and Intracellular Ion Channels. Cell Calcium 2016, 60, 108–114. [Google Scholar] [CrossRef] [PubMed]
 - Joshi, S.G.; Yost, A.; Joshi, S.S.; Addya, S.; Ehrlich, G.; Brooks, A. Microarray Analysis of Transcriptomic Response of Escherichia coli to Nonthermal Plasma-Treated PBS Solution. Adv. Biosci. Biotechnol. 2015, 6, 49. [Google Scholar] [CrossRef]
 - Mols, M.; Mastwijk, H.; Nierop Groot, M.; Abee, T. Physiological and Transcriptional Response of Bacillus cereus Treated with Low-temperature Nitrogen Gas Plasma. J. Appl. Microbiol. 2013, 115, 689–702. [Google Scholar] [CrossRef]
 - Azam, M.W.; Khan, A.U. Updates on the Pathogenicity Status of Pseudomonas aeruginosa. Drug Discov. Today 2019, 24, 350–359. [Google Scholar] [CrossRef]
 - Winter, T.; Winter, J.; Polak, M.; Kusch, K.; Mäder, U.; Sietmann, R.; Ehlbeck, J.; van Hijum, S.; Weltmann, K.; Hecker, M. Characterization of the Global Impact of Low Temperature Gas Plasma on Vegetative Microorganisms. Proteomics 2011, 11, 3518–3530. [Google Scholar] [CrossRef]
 







| a Sample | b Total Bases (Gb) | Total Raw PE Reads | GC (%)  | Q20 (%)  | Q30 (%)  | c Total Clean PE Reads | d Mapping Rate (%)  | e Total Number of Upregulated DEGs | f Total Number of Downregulated DEGs | 
|---|---|---|---|---|---|---|---|---|---|
| T0a | 3.13 | 10,379,921 | 49.68 | 97.73 | 93.77 | 8,031,029 | 99.72 | NA | NA | 
| T0b | 3.04 | 10,076,600 | 50.43 | 97.59 | 93.71 | 7,811,729 | 99.68 | ||
| T0c | 3.43 | 11,341,752 | 50.31 | 97.74 | 93.86 | 8,715,417 | 99.69 | ||
| T1a | 3.33 | 11,021,685 | 50.74 | 97.90 | 94.20 | 8,022,368 | 99.53 | 96 | 33 | 
| T1b | 3.68 | 12,201,389 | 49.75 | 97.75 | 93.83 | 9,852,207 | 99.78 | ||
| T1c | 3.38 | 11,195,944 | 51.10 | 96.87 | 92.67 | 5,955,490 | 99.44 | ||
| T3a | 3.38 | 11,198,756 | 50.53 | 97.78 | 93.91 | 8,707,892 | 99.70 | 171 | 156 | 
| T3b | 3.76 | 12,433,858 | 50.74 | 97.57 | 93.74 | 8,398,192 | 99.62 | ||
| T3c | 3.06 | 10,207,137 | 50.64 | 97.53 | 93.71 | 7,004,261 | 99.58 | ||
| T5a | 3.49 | 11,642,004 | 50.62 | 97.78 | 94.07 | 8,937,968 | 99.69 | 204 | 142 | 
| T5b | 3.13 | 10,423,587 | 50.44 | 97.88 | 94.23 | 8,179,803 | 99.77 | ||
| T5c | 3.01 | 10,023,012 | 50.28 | 97.92 | 94.25 | 8,076,908 | 99.76 | ||
| Average | 3.32 | 11,012,137 | 50.44 | 97.67 | 93.83 | 8,141,105 | 99.66 | NA | NA | 
| * Log2FC | |||||
|---|---|---|---|---|---|
| No. | Locus_Tag | Gene Function | T1 | T3 | T5 | 
| (a) Stress Proteins | |||||
| 1. | B4602_RS01775 | GlsB/YeaQ/YmgE family stress response membrane protein | 0.7 | - | 0.66 | 
| 2. | B4602_RS01845 | general stress protein | 0.63 | 0.61 | 0.68 | 
| 3. | B4602_RS08710 | universal stress protein | - | 0.59 | 0.83 | 
| 4. | B4602_RS11520 | Asp23/Gls24 family envelope stress response protein | 0.57 | - | 0.51 | 
| 5. | B4602_RS03580 | lipoteichoic acid-specific glycosylation protein CsbB | - | - | 0.58 | 
| 6. | B4602_RS04355 | CsbD family protein | 0.8 | - | - | 
| 7. | B4602_RS06815 | large conductance mechanosensitive channel protein MscL | - | −0.54 | −0.77 | 
| 8. | B4602_RS08280 | CsbD family protein | 1.02 | - | - | 
| 9. | B4602_RS08950 | YtxH domain-containing protein | 0.58 | - | 0.7 | 
| 10. | B4602_RS09460 | YtxH domain-containing protein | 0.89 | - | - | 
| 11. | B4602_RS09855 | YtxH domain-containing protein | 0.6 | - | - | 
| 12. | B4602_RS11530 | alkaline shock response membrane anchor protein AmaP | 0.9 | - | 0.62 | 
| (b) Antioxidants | |||||
| 1. | B4602_RS04165 | organic hydroperoxide resistance protein | 0.96 | - | - | 
| 2. | B4602_RS06460 | glutathione peroxidase | - | 0.82 | 0.93 | 
| 3. | B4602_RS07925 | superoxide dismutase | 0.45 | - | - | 
| 4. | B4602_RS08725 | thiol peroxidase | - | 0.7 | 0.75 | 
| 5. | B4602_RS08910 | thioredoxin family protein | 0.79 | - | - | 
| 6. | B4602_RS13400 | thioredoxin family protein | - | 0.97 | 0.7 | 
| (c) Nitrosative stress | |||||
| 1. | B4602_RS12580 | NarK/NasA family nitrate transporter | 1.53 | 1.17 | 1.1 | 
| 2. | B4602_RS12585 | nitrate respiration regulation response regulator NreC | - | - | 0.72 | 
| 3. | B4602_RS12610 | nitrate reductase | 0.71 | - | - | 
| 4. | B4602_RS12615 | nitrate reductase | 1.26 | 1.15 | 1.03 | 
| 5. | B4602_RS12630 | nitrite reductase NirB | 1.14 | 0.73 | 0.81 | 
| (d) DNA repairing | |||||
| 1. | B4602_RS00020 | DNA replication/repair protein RecF | - | 0.38 | 0.44 | 
| 2. | B4602_RS00030 | DNA gyrase subunit A | - | 0.46 | 0.44 | 
| 3. | B4602_RS02245 | YbaB/EbfC family nucleoid-associated protein | - | 0.57 | 0.56 | 
| 4. | B4602_RS02585 | UvrB/UvrC motif-containing protein | - | 0.9 | - | 
| 5. | B4602_RS03515 | DNA photolyase family protein | - | 0.62 | 0.85 | 
| 6. | B4602_RS03910 | excinuclease ABC UvrA | - | 0.34 | - | 
| 7. | B4602_RS03960 | DNA-binding protein WhiA | - | 0.47 | 0.58 | 
| 8. | B4602_RS05610 | DNA polymerase/3’−5’ exonuclease PolX | - | 0.54 | - | 
| 9. | B4602_RS06055 | ATP-dependent DNA helicase RecG | - | 0.47 | - | 
| 10. | B4602_RS06365 | recombinase RecA | - | 0.34 | 0.49 | 
| 11. | B4602_RS07390 | endonuclease III | - | 1.18 | 0.76 | 
| 12. | B4602_RS07395 | DnaD domain-containing protein | - | 0.78 | - | 
| 13. | B4602_RS07495 | HU family DNA-binding protein | - | - | 0.44 | 
| 14. | B4602_RS07745 | DNA repair protein RecN | - | 0.72 | 0.58 | 
| 15. | B4602_RS08595 | DNA polymerase I | - | - | 0.49 | 
| 16. | B4602_RS09490 | exonuclease SbcCD subunit D | - | −0.53 | - | 
| 17. | B4602_RS09940 | DNA polymerase IV | - | 1.62 | 1.39 | 
| 18. | B4602_RS14360 | nucleoid occlusion protein | - | 0.95 | 0.93 | 
| 19. | B4602_RS14435 | protein rep | - | 0.9 | 0.79 | 
| 20. | B4602_RS14440 | replication initiator protein A | - | 0.78 | 0.87 | 
| * Log2FC | |||||
|---|---|---|---|---|---|
| No. | Locus_Tag | Gene Function | T1 | T3 | T5 | 
| (a) Virulence factors | |||||
| 1. | B4602_RS00320 | oleate hydratase | 1.02 | 1.02 | 1.35 | 
| 2. | B4602_RS00550 | capsular polysaccharide type 5/8 biosynthesis protein CapA | - | −1.91 | - | 
| 3. | B4602_RS00620 | type 8 capsular polysaccharide synthesis protein Cap8O | 0.87 | - | - | 
| 4. | B4602_RS00625 | type 8 capsular polysaccharide synthesis protein Cap8P | - | - | 1.23 | 
| 5. | B4602_RS02160 | autolysin/adhesin Aaa | −0.45 | −0.52 | −0.41 | 
| 6. | B4602_RS02790 | MSCRAMM family adhesin SdrC | - | −0.67 | −0.53 | 
| 7. | B4602_RS03375 | LysM peptidoglycan-binding domain-containing protein | −0.53 | −1.03 | −0.66 | 
| 8. | B4602_RS03835 | GGDEF domain-containing protein | - | −0.58 | −0.51 | 
| 9. | B4602_RS04105 | thermonuclease family protein | −0.59 | −0.45 | - | 
| 10. | B4602_RS04345 | Abi family protein | - | - | −0.99 | 
| 11. | B4602_RS04615 | glycerophosphodiester phosphodiesterase | - | - | −0.86 | 
| 12. | B4602_RS05255 | glycopeptide resistance-associated protein GraF | - | −3.68 | −3.30 | 
| 13. | B4602_RS05670 | complement convertase inhibitor Ecb | −2.00 | −1.87 | −1.31 | 
| 14. | B4602_RS05690 | complement convertase inhibitor Efb | −0.7 | - | −0.62 | 
| 15. | B4602_RS05715 | alpha-hemolysin | −0.54 | −0.38 | −0.57 | 
| 16. | B4602_RS07130 | regulatory protein MsaA | 0.52 | 1.47 | 1.83 | 
| 17. | B4602_RS07920 | penicillin-binding protein 2 | - | - | −0.54 | 
| 18. | B4602_RS12830 | type I toxin-antitoxin system Fst family toxin | - | 0.66 | 1.01 | 
| 19. | B4602_RS13790 | antibiotic biosynthesis monooxygenase | 0.86 | −0.61 | - | 
| 20. | B4602_RS13990 | immunodominant staphylococcal antigen IsaB | - | 0.69 | 0.67 | 
| 21. | B4602_RS14805 | delta-hemolysin | −0.56 | - | −0.64 | 
| (b) Cell membrane/wall | |||||
| 1. | B4602_RS02375 | bifunctional UDP-N-acetylglucosamine diphosphorylase/glucosamine-1-phosphate N-acetyltransferase GlmU | - | - | 0.51 | 
| 2. | B4602_RS03240 | CDP-glycerol glycerophosphotransferase family protein | - | - | −0.66 | 
| 3. | B4602_RS05125 | polyisoprenyl-teichoic acid--peptidoglycan teichoic acid transferase | - | −0.51 | −0.51 | 
| 4. | B4602_RS05130 | teichoic acid D-Ala esterase FmtA | - | −1.16 | - | 
| 5. | B4602_RS05445 | cell division protein FtsW | - | −0.93 | −0.54 | 
| 6. | B4602_RS05810 | division/cell wall cluster transcriptional repressor MraZ | - | −0.58 | - | 
| 7. | B4602_RS05820 | cell division protein FtsL | - | - | 0.53 | 
| 8. | B4602_RS05840 | cell division protein FtsQ/DivIB | - | - | −0.52 | 
| 9. | B4602_RS06140 | lipoteichoic acid-specific glycosyltransferase YfhO | - | - | −0.86 | 
| 10. | B4602_RS06900 | bifunctional lysylphosphatidylglycerol flippase/synthetase MprF | - | −0.77 | −0.84 | 
| 11. | B4602_RS06915 | LCP family protein | −0.58 | −0.76 | - | 
| 12. | B4602_RS06975 | glycine glycyltransferase FemA | - | −0.8 | - | 
| 13. | B4602_RS07355 | cell division regulator GpsB | - | - | −0.55 | 
| 14. | B4602_RS09145 | membrane protein insertion efficiency factor YidD | - | 1.00 | 0.95 | 
| 15. | B4602_RS10995 | membrane protein insertase YidC | - | −0.64 | - | 
| 16. | B4602_RS13715 | LPXTG-anchored surface protein SasK | - | 1.79 | 1.87 | 
| 17. | B4602_RS14030 | cell-wall-anchored protein SasF | - | 0.49 | 0.60 | 
| 18. | B4602_RS14420 | YeiH family protein | - | - | −1.09 | 
| (c) Transporters | |||||
| 1. | B4602_RS00305 | MFS transporter | - | 1.21 | 1.13 | 
| 2. | B4602_RS00360 | staphyloferrin B ABC transporter permease SirC | 1.34 | - | 0.71 | 
| 3. | B4602_RS01415 | ABC transporter permease | 0.99 | - | 0.95 | 
| 4. | B4602_RS01420 | ABC transporter ATP-binding protein | 0.8 | 1.03 | 1.23 | 
| 5. | B4602_RS02130 | sodium-dependent transporter | - | −1.41 | −1.59 | 
| 6. | B4602_RS02185 | YibE/F family protein | - | 0.87 | - | 
| 7. | B4602_RS03230 | teichoic acids export ABC transporter ATP-binding subunit TagH | - | 0.67 | 0.58 | 
| 8. | B4602_RS03355 | ABC transporter ATP-binding protein VraF | - | - | −0.82 | 
| 9. | B4602_RS03360 | ABC transporter permease VraG | - | - | −1.01 | 
| 10. | B4602_RS04155 | LysE/ArgO family amino acid transporter | - | −1.01 | −0.84 | 
| 11. | B4602_RS04230 | methionine ABC transporter ATP-binding protein | - | 0.77 | 0.82 | 
| 12. | B4602_RS04240 | MetQ/NlpA family ABC transporter substrate-binding protein | - | 0.69 | - | 
| 13. | B4602_RS04405 | CNNM domain-containing protein | 0.64 | - | - | 
| 14. | B4602_RS04530 | Na+/H+ antiporter family protein | 0.89 | - | - | 
| 15. | B4602_RS04555 | Na+/H+ antiporter Mnh1 subunit E | - | - | −1.09 | 
| 16. | B4602_RS04755 | ABC transporter permease | - | −1.3 | - | 
| 17. | B4602_RS04775 | ABC transporter substrate-binding protein | - | - | −0.86 | 
| 18. | B4602_RS04880 | alanine:cation symporter family protein | - | −0.91 | −0.68 | 
| 19. | B4602_RS05390 | spermidine/putrescine ABC transporter substrate-binding protein | 1.05 | −0.93 | - | 
| 20. | B4602_RS05405 | Nramp family divalent metal transporter | - | −0.66 | 0.71 | 
| 21. | B4602_RS07555 | ECF transporter S component | 0.73 | 1.31 | 1.15 | 
| 22. | B4602_RS08550 | amino acid permease | - | - | 0.78 | 
| 23. | B4602_RS09575 | ABC transporter permease subunit | −0.88 | −0.92 | −0.77 | 
| 24. | B4602_RS10595 | TrkH family potassium uptake protein | - | −0.94 | −1.19 | 
| 25. | B4602_RS10920 | potassium-transporting ATPase subunit KdpB | 1.18 | 1.45 | - | 
| 26. | B4602_RS10925 | potassium-transporting ATPase subunit KdpA | 0.99 | 2.09 | 1.57 | 
| 27. | B4602_RS11290 | CDF family zinc efflux transporter CzrB | 2.28 | - | 0.74 | 
| 28. | B4602_RS11840 | NCS2 family permease | - | −0.76 | −1.14 | 
| 29. | B4602_RS11870 | AEC family transporter | - | −1.16 | - | 
| 30. | B4602_RS12330 | ABC transporter ATP-binding protein | - | −1.13 | - | 
| 31. | B4602_RS12710 | transporter substrate-binding domain-containing protein | - | 0.51 | - | 
| 32. | B4602_RS12970 | iron export ABC transporter permease subunit FetB | 0.99 | - | 1.06 | 
| 33. | B4602_RS13515 | copper chaperone CopZ | 0.73 | - | - | 
| 34. | B4602_RS14395 | cadmium-translocating P-type ATPase CadA | 1.64 | 0.85 | 0.66 | 
| (d) Transcription process | |||||
| 1. | B4602_RS01150 | GntR family transcriptional regulator | - | 1.03 | - | 
| 2. | B4602_RS01465 | MurR/RpiR family transcriptional regulator | - | - | −0.66 | 
| 3. | B4602_RS01555 | multidrug efflux transporter transcriptional repressor MepR | - | - | 0.97 | 
| 4. | B4602_RS01770 | helix-turn-helix domain-containing protein | - | 1.56 | 1.68 | 
| 5. | B4602_RS02580 | CtsR family transcriptional regulator | - | 0.89 | 0.99 | 
| 6. | B4602_RS03390 | HTH-type transcriptional regulator SarX | - | 0.63 | - | 
| 7. | B4602_RS04955 | competence protein ComK | −0.75 | −1.23 | −1.12 | 
| 9. | B4602_RS05910 | bifunctional pyr operon transcriptional regulator/uracil phosphoribosyltransferase PyrR | −1 | −1.75 | −1.86 | 
| 10. | B4602_RS06475 | MerR family transcriptional regulator | - | −0.79 | - | 
| 11. | B4602_RS06770 | transcriptional repressor LexA | - | 0.64 | 0.87 | 
| 12. | B4602_RS07545 | helix-turn-helix domain-containing protein | - | - | −1.41 | 
| 13. | B4602_RS08070 | heat-inducible transcriptional repressor HrcA | - | - | 0.56 | 
| 14. | B4602_RS08285 | Rrf2 family transcriptional regulator | - | - | 0.56 | 
| 15. | B4602_RS09505 | YlbF/YmcA family competence regulator | - | −0.74 | −0.62 | 
| 16. | B4602_RS10690 | LacI family DNA-binding transcriptional regulator | - | −1.18 | −1.09 | 
| 17. | B4602_RS10940 | response regulator transcription factor | - | - | −0.57 | 
| 19. | B4602_RS11170 | helix-turn-helix transcriptional regulator | - | - | 0.56 | 
| 20. | B4602_RS11285 | Zn(II)-responsive metalloregulatory transcriptional repressor CzrA | 2.05 | - | - | 
| 21. | B4602_RS11920 | HTH-type transcriptional regulator SarV | - | 1.86 | 1.96 | 
| 22. | B4602_RS12070 | HTH-type transcriptional regulator SarR | - | −0.52 | −0.48 | 
| 23. | B4602_RS12245 | MurR/RpiR family transcriptional regulator | - | −2.13 | - | 
| 24. | B4602_RS12400 | TetR/AcrR family transcriptional regulator | - | −1.54 | −1.69 | 
| 25. | B4602_RS12545 | AraC family transcriptional regulator Rsp | - | −0.96 | −1.19 | 
| 26. | B4602_RS12570 | MarR family transcriptional regulator | - | −0.66 | −0.85 | 
| 27. | B4602_RS13215 | MerR family transcriptional regulator | - | 0.97 | 1.05 | 
| 28. | B4602_RS14000 | BglG family transcription antiterminator | - | −0.95 | −0.99 | 
| 29. | B4602_RS14390 | metalloregulator ArsR/SmtB family transcription factor | 2.42 | - | - | 
| 30. | B4602_RS14425 | LysR family transcriptional regulator | - | −0.88 | −1.34 | 
| (e) Translation process | |||||
| 1. | B4602_RS00015 | S4 domain-containing protein YaaA | - | 1.01 | 1.1 | 
| 2. | B4602_RS02425 | S1 domain-containing RNA-binding protein | - | 0.56 | 0.76 | 
| 3. | B4602_RS03845 | YigZ family protein | - | 0.68 | 0.88 | 
| 4. | B4602_RS03865 | ribosome-associated translation inhibitor RaiA | - | 0.85 | 0.99 | 
| 5. | B4602_RS06040 | 50S ribosomal protein L28 | - | - | 0.59 | 
| 6. | B4602_RS06225 | ribosome recycling factor | - | - | 0.5 | 
| 7. | B4602_RS07985 | glycine--tRNA ligase | - | 0.53 | 0.86 | 
| 8. | B4602_RS08010 | rRNA maturation RNase YbeY | - | 0.74 | - | 
| 9. | B4602_RS08090 | 30S ribosomal protein S20 | - | −0.72 | −0.61 | 
| 10. | B4602_RS08120 | ribosome silencing factor | - | 0.84 | 0.87 | 
| 11. | B4602_RS08930 | tRNA (guanosine(46)-N7)-methyltransferase TrmB | - | - | 0.59 | 
| 12. | B4602_RS09530 | RluA family pseudouridine synthase | - | - | −0.84 | 
| 13. | B4602_RS10855 | RNA polymerase sigma factor SigB | - | - | 0.76 | 
| 14. | B4602_RS11155 | type B 50S ribosomal protein L31 | - | −0.83 | - | 
| 15. | B4602_RS14385 | 50S ribosomal protein L34 | - | −0.51 | - | 
Disclaimer/Publisher’s Note: The statements, opinions and data contained in all publications are solely those of the individual author(s) and contributor(s) and not of MDPI and/or the editor(s). MDPI and/or the editor(s) disclaim responsibility for any injury to people or property resulting from any ideas, methods, instructions or products referred to in the content.  | 
© 2023 by the authors. Licensee MDPI, Basel, Switzerland. This article is an open access article distributed under the terms and conditions of the Creative Commons Attribution (CC BY) license (https://creativecommons.org/licenses/by/4.0/).
Share and Cite
Liew, K.J.; Zhang, X.; Cai, X.; Ren, D.; Chen, J.; Chang, Z.; Chong, K.L.; Tan, M.C.Y.; Chong, C.S. The Biological Responses of Staphylococcus aureus to Cold Plasma Treatment. Processes 2023, 11, 1188. https://doi.org/10.3390/pr11041188
Liew KJ, Zhang X, Cai X, Ren D, Chen J, Chang Z, Chong KL, Tan MCY, Chong CS. The Biological Responses of Staphylococcus aureus to Cold Plasma Treatment. Processes. 2023; 11(4):1188. https://doi.org/10.3390/pr11041188
Chicago/Turabian StyleLiew, Kok Jun, Xinhua Zhang, Xiaohong Cai, Dongdong Ren, Jingdi Chen, Zhidong Chang, Kheng Loong Chong, Melvin Chun Yun Tan, and Chun Shiong Chong. 2023. "The Biological Responses of Staphylococcus aureus to Cold Plasma Treatment" Processes 11, no. 4: 1188. https://doi.org/10.3390/pr11041188
APA StyleLiew, K. J., Zhang, X., Cai, X., Ren, D., Chen, J., Chang, Z., Chong, K. L., Tan, M. C. Y., & Chong, C. S. (2023). The Biological Responses of Staphylococcus aureus to Cold Plasma Treatment. Processes, 11(4), 1188. https://doi.org/10.3390/pr11041188
        
