Differential Enrichment of Trace and Major Elements in Biodegraded Oil: A Case Study from Bohai Bay Basin, China
Abstract
1. Introduction
2. Geological Setting
3. Samples and Methods
3.1. Samples
3.2. Oil Analysis
4. Results
4.1. Molecular Markers
4.2. Inorganic Elements
5. Discussion
5.1. Thermal Maturity
5.2. Genetic Comparison

5.3. Degree of Biodegradation
5.4. Effect of Biodegradation on Inorganic Elements and Element Ratios
5.5. Differential Enrichment of Inorganic Elements during Biodegradation
6. Conclusions
- (1)
- The lower 20S/(20S + 20R)-C29S and ββ/(αα + ββ)-C29S values indicate that the crude oil samples have low maturity. Comparisons of several genetic parameters suggest that these oils have similar sources of parent material and are contributed by both plankton and terrigenous plants. Their source rocks develop in a lacustrine environment, but high-sulfur oils are derived from source rocks that are more reductive and saltier than low-sulfur oils. The application of biomarker compounds and trace elements confirmed that high-sulfur and low-sulfur oils have different sources of parent material. A set of hydrocarbon source rocks with strong reduction and brackish water deposits exist in the Miaoxi Sag; this set of hydrocarbon source rocks may offer a favorable direction for future oil and gas explorations in the Miaoxi Sag of the Bohai Bay Basin.
- (2)
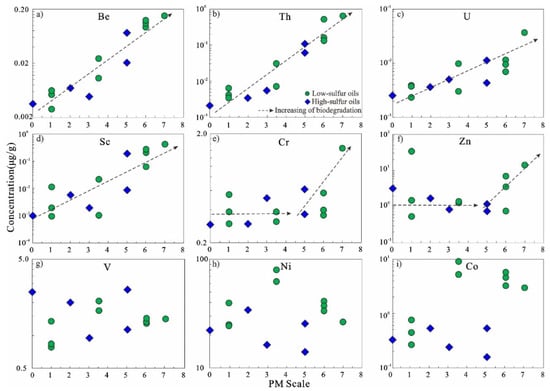
- The concentrations of Mg, Ca, Mn, Fe, Be, Sc, Rb, Sr, Zr, Pb, Th, and U increase with increasing biodegradation levels. The concentrations of Na, K, Ti, Al, Cr, Zn, Cs, Nb, Ba, Hf, and Tl show remarkable results only during the intense biodegradation stage (PM ≥ 4), while the concentrations of P, Li, V, Co, Ni, Cu, Ga, Sn, and Ta are not affected by biodegradation. Biodegradation affects the ratios of V/Ni, V/Co, Ni/Co, Cr/V, Sc/V, Th/U, with the Sc/V and Th/U ratios increasing significantly when PM is ≥4. Some ratios, including those of Mg/P, Ca/P, Mn/P, and Fe/P, are proposed as favorable indicators of biodegradation. Differential enrichment of inorganic elements may be associated with the influence of organic acids on the oil–water–rock reservoir interactions during the biodegradation process.
Author Contributions
Funding
Data Availability Statement
Conflicts of Interest
References
- Duyck, C.; Miekeley, N.; da Silveira, C.L.P.; Aucelio, R.Q.; Campos, R.C.; Grinberg, P.; Brandao, G.P. The determination of trace elements in crude oil and its heavy fractions by atomic spectrometry. Spectrochim. Acta Part B At. Spectrosc. 2007, 62, 939–951. [Google Scholar] [CrossRef]
- Cao, J.; Wu, M.; Wang, X.; Hu, W.; Xiang, B.; Sun, P.; Shi, C.; Bao, H. Advances in research of using trace elements of crude oil in oil–source correlation. Adv. Earth Sci. 2012, 27, 925–936, (In Chinese with English Abstract). [Google Scholar]
- Niu, Z.; Meng, W.; Wang, Y.; Wang, X.; Li, Z.; Wang, J.; Liu, H.; Wang, X. Characteristics of trace elements in crude oil in the east section of the south slope of Dongying Sag and their application in crude oil classification. J. Pet. Sci. Eng. 2022, 209, 109833. [Google Scholar] [CrossRef]
- Lewan, M.D.; Maynard, J.B. Factors controlling enrichment of vanadium and nickel in the bitumen of organic sedimentary rocks. Geochim. Cosmochim. Acta 1982, 46, 2547–2560. [Google Scholar] [CrossRef]
- Hitchon, B.; Filby, R.H. Use of trace elements for classification of crude oils into families—Example from Alberta, Canada. AAPG Bull. 1984, 68, 838–849. [Google Scholar]
- López, L.; Mónaco, S.L.; Galarraga, F.; Lira, A.; Cruz, C. V/Ni ratio in maltene and asphaltene fractions of crude oils from the west Venezuelan basin: Correlation studies. Chem. Geol. 1995, 119, 255–262. [Google Scholar] [CrossRef]
- López, L.; Mónaco, S.L.; Richardson, M. Use of molecular parameters and trace elements in oil–oil correlation studies, Barinas sub–basin, Venezuela. Org. Geochem. 1998, 29, 613–629. [Google Scholar] [CrossRef]
- López, L.; Mónaco, S.L. Vanadium, nickel and sulfur in crude oils and source rocks and their relationship with biomarkers: Implications for the origin of crude oils in Venezuelan basins. Org. Geochem. 2017, 104, 53–68. [Google Scholar] [CrossRef]
- Akinlua, A.; Ajayi, T.; Adeleke, B. Organic and inorganic geochemistry of northwestern Niger Delta oils. Geochem. J. 2007, 41, 271–281. [Google Scholar] [CrossRef]
- Akinlua, A.; Sigedle, A.; Buthelezi, T.; Fadipe, O.A. Trace element geochemistry of crude oils and condensates from South African Basins. Mar. Pet. Geol. 2015, 59, 286–293. [Google Scholar] [CrossRef]
- Chen, Z.; Simoneit, B.R.; Wang, T.G.; Ni, Z.; Yuan, G.; Chang, X. Molecular markers, carbon isotopes, and rare earth elements of highly mature reservoir pyrobitumens from Sichuan Basin, southwestern China: Implications for PreCambrian–Lower Cambrian petroleum systems. Precambrian Res. 2018, 317, 33–56. [Google Scholar] [CrossRef]
- Shi, C.; Cao, J.; Bao, J.; Zhu, C.; Jiang, X.; Wu, M. Source characterization of highly mature pyrobitumens using trace and rare earth element geochemistry: Sinian–Paleozoic paleo-oil reservoirs in South China. Org. Geochem. 2015, 83–84, 77–93. [Google Scholar] [CrossRef]
- Ni, Z.; Chen, Z.; Li, M.; Yang, C.; Wen, L.; Hong, H.; Luo, B. Trace element characterization of bitumen constraints on the hydrocarbon source of the giant gas field in Sichuan Basin, South China. Geol. J. 2018, 55, 317–329. [Google Scholar] [CrossRef]
- Qin, H.; Yang, T.; Pan, W.; Chen, Y.; Zhang, B. Characteristics and Significances of Trace Elements of Cambrian Crude oil in Tarim Basin. Geol. J. China Univ. 2018, 24, 822–832, (In Chinese with English Abstract). [Google Scholar]
- Peters, K.E.; Moldowan, J.M. The Biomarker Guide: Interpreting Molecular Fossils in Petroleum and Ancient Sediments; Prentice Hall: Englewood Cliffs, NJ, USA, 1993; p. 363. [Google Scholar]
- Larter, S.; Wilhelms, A.; Head, I.; Koopmans, M.; Aplin, A.; Di Primio, R.; Zwach, C.; Erdmann, M.; Telnaes, N. The controls on the composition of biodegraded oils in the deep subsurface–part 1: Biodegradation rates in petroleum reservoirs. Org. Geochem. 2003, 34, 601–613. [Google Scholar] [CrossRef]
- Larter, S.; Huang, H.; Adams, J.; Bennett, B.; Jokanola, O.; Oldenburg, T.; Jones, M.; Head, I.; Riediger, C.; Fowler, M. The controls on the composition of biodegraded oils in the deep subsurface: Part II–Geological controls on subsurface biodegradation fluxes and constraints on reservoir–fluid property prediction. AAPG Bull. 2006, 90, 921–938. [Google Scholar] [CrossRef]
- Hunt, J.M. Petroleum Geochemistry and Geology; W.H. Freeman: New York, NY, USA, 1996; pp. 617–618. [Google Scholar]
- Wenger, L.M.; Davis, C.L.; Isaksen, G.H. Multiple controls on petroleum biodegradation and impact on oil quality. In Proceedings of the SPE Annual Technical Conference and Exhibition, San Antonio, TX, USA, 29 September–2 October 2002; OnePetro: Richardson, TX, USA, 2002. [Google Scholar]
- Head, I.M.; Jones, D.M.; Larter, S.R. Biological activity in the deep subsurface and the origin of heavy oil. Nature 2003, 426, 344–352. [Google Scholar] [CrossRef]
- Larter, S.; Huang, H.; Adams, J.; Bennett, B.; Snowdon, L.R. A practical biodegradation scale for use in reservoir geochemical studies of biodegraded oils. Org. Geochem. 2012, 45, 66–76. [Google Scholar] [CrossRef]
- López, L. Study of the biodegradation levels of oils from the Orinoco Oil Belt (Junin area) using different biodegradation scales. Org. Geochem. 2014, 66, 60–69. [Google Scholar] [CrossRef]
- Sun, P.; Cai, C.; Tang, Y.; Tao, Z.; Zhao, W. A new approach to investigate effects of biodegradation on pyrrolic compounds by using a modified Manco scale. Fuel 2020, 265, 116937. [Google Scholar] [CrossRef]
- Chai, Z.; Chen, Z.; Liu, H.; Cao, Z.; Cheng, B.; Wu, Z.; Qu, J. Light hydrocarbons and diamondoids of light oils in deep reservoirs of Shuntuoguole Low Uplift, Tarim Basin: Implication for the evaluation on thermal maturity, secondary alteration and source characteristics. Mar. Pet. Geol. 2020, 117, 104388. [Google Scholar] [CrossRef]
- Chai, Z.; Chen, Z.; Patience, R.; Wen, Z.; Tang, Y.; Cheng, B.; Li, M.; Luemba, M.; Wu, Z. Light hydrocarbons and diamondoids in deep oil from Tabei of Tarim Basin: Implications on petroleum alteration and mixing. Mar. Pet. Geol. 2022, 138, 105565. [Google Scholar] [CrossRef]
- Adams, J.; Jiang, C.; Bennett, B.; Huang, H.; Oldenburg, T.; Noke, K.; Snowdon, L.; Gates, I.; Larter, S. Viscosity Determination of Heavy Oil and Bitumen: Cautions and Solutions. Canada: N. p., Web. 2008. Available online: https://www.osti.gov/etdeweb/biblio/21025375 (accessed on 30 March 2023).
- Palmer, S.E. Porphyrin distributions in degraded and nondegraded oils from colombia. J. Am. Chem. Soc. 1983, 186, 23–GEOC. [Google Scholar]
- Strong, D.; Filby, R.H. Vanadyl Porphyrin Distribution in the Alberta Oil–Sand Bitumens; ACS Publications: Washington, DC, USA, 1987; pp. 154–172. [Google Scholar]
- Sundararaman, P.; Hwang, R.J. Effect of biodegradation on vanadylporphyrin distribution. Geochim. Cosmochim. Acta 1993, 57, 2283–2290. [Google Scholar] [CrossRef]
- Liu, D.; Tang, G.; Wang, F. Characteristics of hydrocarbon source rocks and analysis of oil source in eastern sag of Bohai sea area. J. Xi’an Shiyou Univ. (Nat. Sci. Ed.) 2020, 35, 9–17+27, (In Chinese with English Abstract). [Google Scholar]
- Sun, Z.; Yu, H.; Peng, J.; Hu, A.; Li, F. Genetic Types and Main Controlling Factors of Crude Oil Distribution in South–Central Miaoxi Depression of Bohai Bay Basin. J. Jilin Univ. (Earth Sci. Ed.) 2021, 51, 1665–1677, (In Chinese with English Abstract). [Google Scholar]
- Tang, G.; Wang, F.; Wan, L.; Pan, W.; Wang, G.; Li, K. Characteristics of oil source and genetic types of crude oil in Laizhouwan Depression, Bohai Sea. J. Xi’an Shiyou Univ. (Nat. Sci. Ed.) 2021, 36, 28–36+44, (In Chinese with English Abstract). [Google Scholar]
- Wilhelms, A.; Larter, S. Shaken but not always stirred. Impact of petroleum charge mixing on reservoir geochemistry. Geol. Soc. 2004, 237, 27–35. [Google Scholar] [CrossRef]
- Seifert, W.K.; Moldowan, J.M. Applications of steranes, terpanes and monoaromatics to the maturation, migration and source of crude oils. Geochim. Cosmochim. Acta 1978, 42, 77–95. [Google Scholar] [CrossRef]
- Peters, K.E.; Walters, C.C.; Moldowan, J.M. The Biomarker Guide, 2nd ed.; Cambridge University Press: New York, NY, USA, 2005. [Google Scholar]
- Waples, D.W.; Machihara, T. Application of sterane and triterpane biomarkers in petroleum exploration. Bull. Can. Pet. Geol. 1990, 38, 357–380. [Google Scholar]
- Seifert, W.K.; Moldowan, J.M. The effect of thermal stress on source–rock quality as measured by hopane stereochemistry. Phys. Chem. Earth 1980, 12, 229–237. [Google Scholar] [CrossRef]
- Seifert, W.K. Use of biological markers in petroleum exploration. Methods Geochem. Geophys. 1986, 24, 261–290. [Google Scholar]
- Huang, W.Y.; Meinschein, W.G. Sterols as ecological indicators. Geochim. Cosmochim. Acta 1979, 43, 739–745. [Google Scholar] [CrossRef]
- Volkman, J.K. A review of sterol markers for marine and terrigenous organic matter. Org. Geochem. 1986, 9, 83–99. [Google Scholar] [CrossRef]
- Xiao, H.; Li, M.J.; Yang, Z.; Zhu, Z. Distribution patterns and geochemical implications of C19–C23 tricyclic terpanes in source rocks and crude oils occurring in various depositional environments. Geochimica 2019, 48, 161–170, (In Chinese with English Abstract). [Google Scholar]
- Peters, K.E.; Moldowan, J.M. Effects of source, thermal maturity, and biodegradation on the distribution and isomerization of homohopanes in petroleum. Org. Geochem. 1991, 17, 47–61. [Google Scholar] [CrossRef]
- Mann, A.L.; Goodwin, N.S.; Lowe, S. Geochemical Characteristics of Lacustrine Source Rocks: A Combined Palynological/Molecular Study of a Tertiary Sequence from Offshore China; Datapages: Tulsa, OK, USA, 1987; pp. 241–258. [Google Scholar]
- Summons, R.E.; Logan, G.A.; Edwards, D.S.; Boreham, C.J.; Bradshaw, M.T.; Blevin, J.E.; Boreham, C.J.; Zumberge, J.E. Geochemical analogs for Australian coastal asphaltites–search for the source rock. In Proceedings of the AAPG Annual Convention, Denver, CO, USA, 3–6 June 2001. [Google Scholar]
- Bernard, F.P.; Connan, J.; Magot, M. Indigenous microorganisms in connate water of many oil fields: A new tool in exploration and production techniques. In Proceedings of the SPE Annual Technical Conference and Exhibition, New Orleans, LA, USA, 18–21 February 1992; OnePetro: Richardson, TX, USA, 1992; pp. 467–476. [Google Scholar]
- Xue, Y.; Yang, H.; Xu, C.; Wang, L.; Gao, Y.; Xie, X. Accumulation conditions and key technologies for exploration of Kenli6–1 as the hundred–million–ton–level lithologic oilfield in Bohai Bay Basin. Acta Pet. Sin. 2022, 43, 307, (In Chinese with English Abstract). [Google Scholar]
- Yan, G.; Wang, G.; Xu, J.; Wang, F.; Gao, K.; Lu, H.; Chen, R. Geochemical characteristics and genesis of biodegradation gas from crude oil in PL19–3 oilfield in the Bohai Sea. Acta Pet. Sin. 2019, 40, 46–56, (In Chinese with English Abstract). [Google Scholar]
- Zhao, Z.; Guan, D.; Wei, A.; Liu, P.; Fu, L. Chemical characteristics of Neogene Formation water and the research of their key controlling factors in Bohai sea area. Nat. Gas Geosci. 2017, 28, 1396–1405, (In Chinese with English Abstract). [Google Scholar]
- Hatch, J.R.; Leventhal, J.S. Relationship between inferred redox potential of the depositional environment and geochemistry of the Upper Pennsylvanian (Missourian) Stark Shale Member of the Dennis limestone, Wabaunsee country, Kansas, USA. Chem. Geol. 1992, 99, 65–82. [Google Scholar] [CrossRef]
- Tribovillard, N.; Algeo, T.J.; Lyons, T.; Riboulleau, A. Trace metals as paleoredox and paleoproductivity proxies: An update. Chem. Geol. 2006, 232, 12–32. [Google Scholar] [CrossRef]
- Galarraga, F.; Reategui, K.; Martïnez, A.; Llamas, J.; Márquez, G. V/Ni ratio as a parameter in palaeoenvironmental characterisation of nonmature medium-crude oils from several Latin American basins. J. Petrol. Sci. Eng. 2008, 61, 9–14. [Google Scholar] [CrossRef]
- Jones, B.; Manning, D.A.C. Comparison of geochemical indices used for the interpretation of palaeoredox conditions in ancient mudstones. Chem. Geol. 1994, 111, 111–129. [Google Scholar] [CrossRef]
- Chang, X.; Zhao, H.; He, W.; Xu, Y.; Xu, Y.; Wang, Y. Improved understanding of the alteration of molecular compositions by severe to extreme Biodegradation: A case study from the Carboniferous oils in the eastern Chepaizi Uplift, Junggar Basin, Northwest China. Energy Fuels 2018, 32, 7557–7568. [Google Scholar] [CrossRef]
- Li, Y.; Chang, X.; Zhang, J.; Xu, Y.; Gao, D. Genetic mechanism of heavy oil in the Carboniferous volcanic reservoirs of the eastern Chepaizi Uplift, Junggar Basin. Arab. J. Geosci. 2019, 12, 648. [Google Scholar] [CrossRef]
- Curiale, J.A. Distribution and Occurrence of Metals in Heavy Crude Oils and Solid Bitumens––Implications for Petroleum Exploration: Section II. Characterization, Maturation, and Degradation; Datapages: Tulsa, OK, USA, 1987; pp. 207–219. [Google Scholar]
- Omotoso, O.E.; Munoz, V.A.; Mikula, R.J. Mechanisms of crude oil–mineral interactions. Spill Sci. Technol. Bull. 2002, 8, 45–54. [Google Scholar] [CrossRef]
- Pan, C.; Feng, J.; Tian, Y.; Yu, L.; Luo, X.; Sheng, G.; Fu, J. Interaction of oil components and clay minerals in reservoir sandstones. Org. Geochem. 2005, 36, 633–654. [Google Scholar] [CrossRef]
- Yuan, G.; Cao, Y.; Zan, N.; Schulz, H.; Gluyas, J.; Hao, F.; Jin, Q.; Liu, K.; Wang, Y.; Chen, Z.; et al. Coupled mineral alteration and oil degradation in thermal oil-water-feldspar systems and implications for organic-inorganic interactions in hydrocarbon reservoirs. Geochim. Cosmochim. Acta 2019, 248, 61–87. [Google Scholar] [CrossRef]
- Abdulkarim, M.; Muxworthy, A.A.; Fraser, A.; Neumaier, M.; Hu, P.; Cowan, A. Siderite occurrence in petroleum systems and its potential as a hydrocarbon-migration proxy: A case study of the Catcher Area Development and the Bittern area, UK North Sea. J. Pet. Sci. Eng. 2022, 212, 110248. [Google Scholar] [CrossRef]
- Taylor, R.S.; McLennan, S.M. The Continental Crust: Its Composition and Evolution; Blackwell Scientific Publication: Carlton, Australia, 1985. [Google Scholar]
- Rimmer, S.M.; Thompson, J.A.; Goodnight, S.A.; Robl, T.L. Multiple controls on the preservation of organic matter in Devonian–Mississippian marine black shales: Geochemical and petrographic evidence. Palaeogeogr. Palaeoclimatol. Palaeoecol. 2004, 215, 125–154. [Google Scholar] [CrossRef]
- Rona, P.A.; McGregor, B.A.; Betzer, P.R.; Bolger, G.W.; Krause, D.C. Anomalous water temperatures over Mid–Atlantic Ridge crest at 26 North latitude. In Deep Sea Research and Oceanographic Abstracts; Elsevier: Amsterdam, The Netherlands, 1975; Volume 22, pp. 611–618. [Google Scholar]
- Yamamoto, K. Geochemical characteristics and depositional environments of cherts and associated rocks in the Franciscan and Shimanto Terranes. Sediment. Geol. 1987, 52, 65–108. [Google Scholar] [CrossRef]
- Liu, Y.; Cao, L.; Li, Z.; Wang, H.; Chu, T.; Zhang, J. Element Geochemistry; Science Press: Beijing, China, 1984. [Google Scholar]
- Guan, D.; Wang, X.; Liu, P.; Gao, K.; Liu, D. Low permeability reservoir characteristics and controlling factors of the South Uplift of Miaoxi in Bohai Bay. Geol. Sci. Technol. Inf. 2013, 32, 58–61, (In Chinese with English Abstract). [Google Scholar]
- Pang, X.; Wang, Q.; Feng, C.; Zhao, M.; Liu, Z. Differences and Genesis of High⁃quality Reservoirs in Es 1+2 at the Northern Margin of the Huanghekou Sag, Bohai Sea. Acta Sedimentol. Sin. 2021, 39, 751–766, (In Chinese with English Abstract). [Google Scholar]
- Meredith, W.; Kelland, S.J.; Jones, D.M. Influence of biodegradation on crude oil acidity and carboxylic acid composition. Org. Geochem. 2000, 31, 1059–1073. [Google Scholar] [CrossRef]
- Barth, T.; Høiland, S.; Fotland, P.; Askvik, K.M.; Pedersen, B.S.; Borgund, A.E. Acidic compounds in biodegraded petroleum. Org. Geochem. 2004, 35, 1513–1525. [Google Scholar] [CrossRef]
- Tomczyk, N.A.; Winans, R.E.; Shinn, J.H.; Robinson, R.C. On the nature and origin of acidic species in petroleum. 1. Detailed acid type distribution in a California crude oil. Energy Fuels 2001, 15, 1498–1504. [Google Scholar] [CrossRef]
- Dou, L.; Hou, D.; Cheng, D.; Li, M.; Pan, X. Origin and distribution of high–acidity oils. Acta Sedimentol. Sin. 2007, 28, 8–13, (In Chinese with English Abstract). [Google Scholar]
- Tyrrell, T. The relative influences of nitrogen and phosphorus on oceanic primary production. Nature 1999, 400, 525–531. [Google Scholar] [CrossRef]
- Mejeha, O.K.; Head, I.M.; Sherry, A.; McCann, C.M.; Leary, P.; Jones, D.M.; Gray, N.D. Beyond N and P: The impact of Ni on crude oil biodegradation. Chemosphere 2019, 237, 124545. [Google Scholar] [CrossRef] [PubMed]
- Benitez–Nelson, C.R. The biogeochemical cycling of phosphorus in marine systems. Earth–Sci. Rev. 2000, 51, 109–135. [Google Scholar] [CrossRef]
- Algeo, T.J.; Ingall, E. Sedimentary Corg: P ratios, paleocean ventilation, and Phanerozoic atmospheric O2. Palaeogeogr. Palaeoclimatol. Palaeoecol. 2007, 256, 130–155. [Google Scholar] [CrossRef]















| Sample ID | Well | Depth (m) | Strata | S (%) | T1 | T2 | T3 | T4 | S1 | S2 | S3 | S4 | S5 | S6 | S7 | S8 | Oil Types |
|---|---|---|---|---|---|---|---|---|---|---|---|---|---|---|---|---|---|
| A-1 | A | 1191–1207 | N1 | 0.40 | 0.57 | 0.58 | 0.36 | 0.44 | 1.29 | 0.23 | 32.27 | 30.02 | 37.71 | 34.59 | 29.40 | 36.01 | Low-sulfur |
| A-2 | A | 1267–1317 | N1 | 0.44 | 0.57 | 0.55 | 0.43 | 0.39 | 1.25 | 0.23 | 32.79 | 29.65 | 37.56 | 36.04 | 28.20 | 35.76 | |
| A-3 | A | 1449–1472 | N1 | 0.50 | 0.57 | 0.56 | 0.41 | 0.38 | 1.31 | 0.23 | 31.99 | 29.55 | 38.46 | 37.56 | 27.53 | 34.92 | |
| B-1 | B | 1284 | N1g | 0.45 | 0.57 | 0.57 | 0.38 | 0.32 | 1.39 | 0.19 | 26.75 | 32.86 | 40.39 | 33.30 | 26.25 | 40.45 | |
| B-2 | B | 1417–1441 | N1g | 0.50 | 0.56 | 0.55 | 0.35 | 0.29 | 1.33 | 0.22 | 30.69 | 29.54 | 39.77 | 36.47 | 27.60 | 35.93 | |
| C-1 | C | 1040 | N1g | 0.44 | 0.61 | 0.57 | 0.50 | 0.42 | 1.31 | 0.15 | 29.98 | 31.63 | 38.39 | 28.20 | 32.46 | 39.34 | |
| G-1 | G | 2561–2565 | Es | 0.43 | 0.57 | 0.56 | 0.35 | 0.30 | 1.39 | 0.21 | 29.40 | 29.14 | 41.46 | 37.06 | 25.19 | 37.75 | |
| G-2 | G | 2585–2603 | Es | 0.52 | 0.57 | 0.56 | 0.36 | 0.32 | 1.39 | 0.21 | 28.96 | 28.43 | 42.61 | 37.15 | 25.99 | 36.86 | |
| H-1 | H | 2153–2181 | Ed | 0.31 | 0.57 | 0.56 | 0.37 | 0.32 | 1.30 | 0.22 | 33.28 | 29.82 | 36.90 | 36.98 | 25.51 | 37.50 | |
| D-1 | D | 1297–1322 | N1m | 2.80 | 0.57 | 0.59 | 0.42 | 0.38 | 1.10 | 0.25 | 31.59 | 28.13 | 40.28 | 32.58 | 27.79 | 39.63 | High-sulfur |
| D-2 | D | 1552–1570 | N1g | 2.07 | 0.57 | 0.57 | 0.38 | 0.35 | 1.19 | 0.24 | 32.32 | 28.09 | 39.59 | 34.82 | 27.23 | 37.95 | |
| E-1 | E | 1507–1529.5 | N1g | 1.12 | 0.57 | 0.58 | 0.42 | 0.37 | 1.29 | 0.24 | 33.31 | 29.37 | 37.32 | 34.38 | 27.28 | 38.34 | |
| E-2 | E | 1241–1259 | N1m | 1.07 | 0.58 | 0.61 | 0.45 | 0.40 | 1.25 | 0.26 | 35.04 | 29.23 | 35.73 | 33.19 | 27.48 | 39.34 | |
| F-1 | F | 2132 | Ed | 1.32 | 0.58 | 0.59 | 0.47 | 0.39 | 1.24 | 0.22 | 25.64 | 32.80 | 41.56 | 31.49 | 27.44 | 41.07 |
| Elements (μg/g) | Sample ID | ||||||||||||||
|---|---|---|---|---|---|---|---|---|---|---|---|---|---|---|---|
| A-1 | A-2 | A-3 | B-1 | B-2 | C-1 | G-1 | G-2 | H-1 | D-1 | D-2 | E-1 | E-2 | F-1 | ||
| Major elements | Na | 1462.45 | 561.26 | 338.91 | 71.35 | 68.71 | 4804.07 | 1259.87 | 376.31 | 48.04 | 1564.79 | 262.90 | 441.51 | 169.38 | 375.63 |
| K | 280.14 | 91.44 | 56.63 | 97.43 | 137.30 | 4064.12 | 130.63 | 388.10 | 42.66 | 251.75 | 58.16 | 45.43 | 46.71 | 213.45 | |
| Mg | 143.33 | 40.96 | 40.94 | 41.50 | 7.39 | 322.96 | 9.50 | 24.68 | 4.48 | 108.45 | 6.93 | 5.02 | 20.34 | 17.71 | |
| Ca | 471.81 | 532.14 | 366.70 | 164.71 | 22.54 | 1175.60 | 42.25 | 36.09 | 11.05 | 352.65 | 18.77 | 32.07 | 128.50 | 41.27 | |
| Al | 10.58 | 8.86 | 11.37 | 12.15 | 5.53 | 122.47 | 43.77 | 18.49 | 10.17 | 49.68 | 10.94 | 13.10 | 16.68 | 6.83 | |
| Ti | 1.49 | 1.40 | 1.56 | 1.84 | 1.11 | 7.21 | 1.81 | 1.03 | 0.86 | 4.87 | 1.61 | 1.11 | 1.23 | 0.88 | |
| Mn | 8.28 | 2.94 | 12.89 | 1.89 | 0.49 | 19.18 | 0.83 | 0.40 | 0.24 | 2.79 | 0.30 | 2.31 | 2.50 | 0.52 | |
| Fe | 211.82 | 73.24 | 100.31 | 26.80 | 26.38 | 257.21 | 47.16 | 25.80 | 20.02 | 142.01 | 29.15 | 159.78 | 22.86 | 14.13 | |
| P | 12.56 | 10.62 | 11.98 | 10.55 | 9.25 | 14.86 | 10.46 | 13.07 | 14.91 | 20.18 | 17.24 | 13.48 | 13.92 | 14.98 | |
| ΣME | 2602.46 | 1322.85 | 941.29 | 428.21 | 278.69 | 10,787.68 | 1546.28 | 883.97 | 152.43 | 2497.17 | 406.00 | 713.80 | 422.13 | 685.40 | |
| Trace elements | Li | 0.083 | 0.055 | 0.038 | 0.142 | 0.026 | 0.239 | 0.601 | 0.071 | 0.056 | 0.088 | 0.040 | 0.060 | 0.032 | 0.044 |
| Be | 0.124 | 0.107 | 0.093 | 0.024 | 0.011 | 0.151 | 0.003 | 0.006 | 0.005 | 0.073 | 0.007 | 0.005 | 0.020 | 0.004 | |
| Sc | 0.206 | 0.275 | 0.062 | 0.022 | 0.001 | 0.423 | 0.002 | 0.011 | 0.001 | 0.190 | 0.006 | 0.002 | 0.009 | 0.001 | |
| V | 1.339 | 1.425 | 1.290 | 1.690 | 2.065 | 1.419 | 0.782 | 1.350 | 0.839 | 2.624 | 2.006 | 0.950 | 1.134 | 2.498 | |
| Cr | 0.571 | 0.398 | 0.357 | 0.384 | 0.312 | 1.464 | 0.298 | 0.383 | 0.551 | 0.616 | 0.297 | 0.512 | 0.364 | 0.293 | |
| Co | 3.228 | 4.582 | 5.675 | 8.977 | 5.196 | 2.967 | 0.443 | 0.754 | 0.265 | 0.529 | 0.529 | 0.239 | 0.156 | 0.326 | |
| Ni | 33.511 | 37.229 | 41.145 | 62.463 | 79.715 | 26.490 | 25.070 | 39.602 | 24.378 | 25.603 | 34.190 | 16.292 | 14.021 | 22.207 | |
| Cu | 0.636 | 0.257 | 0.073 | 1.594 | 1.361 | 0.825 | 3.348 | 3.497 | 0.832 | 6.822 | 0.947 | 10.174 | 0.512 | 0.134 | |
| Zn | 6.962 | 3.544 | 0.758 | 1.274 | 1.354 | 14.157 | 1.494 | 33.851 | 0.535 | 1.184 | 1.698 | 0.838 | 0.751 | 3.196 | |
| Ga | 0.115 | 0.120 | 0.162 | 0.212 | 0.150 | 0.216 | 0.019 | 0.015 | 0.010 | 0.229 | 0.159 | 0.039 | 0.049 | 0.097 | |
| Rb | 0.049 | 0.028 | 0.020 | 0.028 | 0.025 | 0.284 | 0.079 | 0.073 | 0.014 | 0.093 | 0.018 | 0.023 | 0.020 | 0.022 | |
| Sr | 5.527 | 5.061 | 1.639 | 2.343 | 0.320 | 22.928 | 2.613 | 0.345 | 0.094 | 5.964 | 0.578 | 0.610 | 1.005 | 1.402 | |
| Zr | 0.175 | 0.229 | 0.223 | 0.153 | 0.080 | 0.338 | 0.081 | 0.084 | 0.062 | 0.379 | 0.102 | 0.077 | 0.096 | 0.069 | |
| Nb | 0.005 | 0.005 | 0.005 | 0.005 | 0.002 | 0.030 | 0.007 | 0.004 | 0.005 | 0.014 | 0.005 | 0.006 | 0.005 | 0.001 | |
| Pb | 3.168 | 0.445 | 0.819 | 0.091 | 0.282 | 19.065 | 0.420 | 0.105 | 0.058 | 3.171 | 0.483 | 2.718 | 0.915 | 0.371 | |
| Sn | 0.016 | 0.013 | 0.017 | 0.037 | 0.026 | 0.034 | 0.021 | 0.091 | 0.030 | 0.025 | 0.021 | 0.023 | 0.017 | 0.038 | |
| Cs | 0.004 | 0.005 | 0.003 | 0.005 | 0.002 | 0.012 | 0.008 | 0.004 | 0.004 | 0.005 | 0.004 | 0.005 | 0.003 | 0.002 | |
| Ba | 2.452 | 1.126 | 0.313 | 0.363 | 0.135 | 538.765 | 45.954 | 5.493 | 0.349 | 6.896 | 0.448 | 2.649 | 0.437 | 1.536 | |
| Hf | 0.005 | 0.007 | 0.006 | 0.005 | 0.002 | 0.014 | 0.005 | 0.004 | 0.004 | 0.011 | 0.004 | 0.004 | 0.003 | 0.001 | |
| Ta | 0.003 | 0.003 | 0.005 | 0.003 | 0.004 | 0.005 | 0.004 | 0.002 | 0.002 | 0.005 | 0.005 | 0.004 | 0.004 | 0.000 | |
| Tl | 0.014 | 0.012 | 0.011 | 0.011 | 0.009 | 0.032 | 0.012 | 0.010 | 0.009 | 0.012 | 0.011 | 0.011 | 0.011 | 0.008 | |
| Th | 0.136 | 0.161 | 0.522 | 0.031 | 0.007 | 0.650 | 0.006 | 0.004 | 0.004 | 0.109 | 0.003 | 0.006 | 0.062 | 0.002 | |
| U | 0.009 | 0.011 | 0.007 | 0.010 | 0.003 | 0.037 | 0.004 | 0.002 | 0.004 | 0.011 | 0.004 | 0.005 | 0.004 | 0.003 | |
| ΣTE | 58.131 | 54.825 | 53.179 | 79.845 | 91.087 | 630.121 | 81.271 | 85.749 | 28.111 | 54.464 | 41.561 | 35.248 | 19.622 | 32.253 | |
| Sample ID | ΣTE/ΣME | V/Ni | V/Co | Ni/Co | Cr/V | Sc/V | Th/U | Mg/P | Ca/P | Mn/P | Be/V | V/P | Ni/P | Co/P | Ga/P |
|---|---|---|---|---|---|---|---|---|---|---|---|---|---|---|---|
| A-1 | 0.022 | 0.040 | 0.415 | 10.381 | 0.426 | 0.154 | 14.396 | 11.410 | 37.560 | 0.659 | 0.093 | 0.107 | 2.668 | 0.257 | 0.009 |
| A-2 | 0.042 | 0.038 | 0.311 | 8.126 | 0.279 | 0.193 | 14.024 | 3.855 | 50.083 | 0.276 | 0.075 | 0.134 | 3.504 | 0.431 | 0.011 |
| A-3 | 0.057 | 0.031 | 0.227 | 7.250 | 0.277 | 0.048 | 75.180 | 3.417 | 30.608 | 1.076 | 0.072 | 0.108 | 3.434 | 0.474 | 0.014 |
| B-1 | 0.187 | 0.027 | 0.188 | 6.958 | 0.227 | 0.013 | 3.171 | 3.934 | 15.613 | 0.179 | 0.014 | 0.160 | 5.921 | 0.851 | 0.020 |
| B-2 | 0.327 | 0.026 | 0.397 | 15.341 | 0.151 | 0.000 | 2.402 | 0.799 | 2.437 | 0.053 | 0.005 | 0.223 | 8.619 | 0.562 | 0.016 |
| C-1 | 0.058 | 0.054 | 0.478 | 8.929 | 1.032 | 0.298 | 17.646 | 21.740 | 79.134 | 1.291 | 0.107 | 0.095 | 1.783 | 0.200 | 0.015 |
| G-1 | 0.053 | 0.031 | 1.766 | 56.622 | 0.381 | 0.002 | 1.658 | 0.908 | 4.038 | 0.079 | 0.004 | 0.075 | 2.396 | 0.042 | 0.002 |
| G-2 | 0.097 | 0.034 | 1.792 | 52.555 | 0.284 | 0.008 | 1.804 | 1.888 | 2.761 | 0.030 | 0.005 | 0.103 | 3.029 | 0.058 | 0.001 |
| H-1 | 0.184 | 0.034 | 3.172 | 92.165 | 0.657 | 0.001 | 0.972 | 0.300 | 0.741 | 0.016 | 0.006 | 0.056 | 1.635 | 0.018 | 0.001 |
| D-1 | 0.022 | 0.102 | 4.957 | 48.361 | 0.235 | 0.072 | 9.702 | 5.373 | 17.474 | 0.138 | 0.028 | 0.130 | 1.269 | 0.026 | 0.011 |
| D-2 | 0.102 | 0.059 | 3.793 | 64.638 | 0.148 | 0.003 | 0.957 | 0.402 | 1.089 | 0.017 | 0.003 | 0.116 | 1.983 | 0.031 | 0.009 |
| E-1 | 0.049 | 0.058 | 3.979 | 68.253 | 0.539 | 0.002 | 1.109 | 0.372 | 2.380 | 0.171 | 0.005 | 0.070 | 1.209 | 0.018 | 0.003 |
| E-2 | 0.047 | 0.081 | 7.253 | 89.702 | 0.321 | 0.008 | 14.305 | 1.462 | 9.234 | 0.180 | 0.018 | 0.081 | 1.008 | 0.011 | 0.004 |
| F-1 | 0.047 | 0.112 | 7.665 | 68.157 | 0.117 | 0.000 | 0.844 | 1.182 | 2.756 | 0.035 | 0.001 | 0.167 | 1.483 | 0.022 | 0.006 |
| Types | PM Scale | General Characterization | Samples |
|---|---|---|---|
| No mixing | 0 | Intact n-alkanes (abundant light end n-alkanes) | F-1 |
| 1 | Abundant n-alkanes, but light end n-alkanes consumed | H-1, G-1, G-2 | |
| 2 | n-Alkanes largely consumed; isoprenoids slightly consumed | D-2 | |
| 3 | n-Alkanes severely consumed; isoprenoids largely consumed | E-1 | |
| 4 | n-Alkanes removed; isoprenoids severely consumed, but no 25-norhopanes | Not found in this study | |
| 5 | Isoprenoids removed; 25-norhopanes present, but 25-norhopanes no more than hopanes in m/z 177 | D-1, E-2 | |
| 6 | Abundant 25-norhopanes; 25-norhopanes exceed hopanes in m/z 177 | A-1, A-2, A-3 | |
| 7 | Hopanes almost completely converted to 25-norhopanes; regular steranes significantly altered | C-1 | |
| Mixing | ~3.5 | Abundant n-alkanes and isoprenoids; 25-norhopanes present | B-1, B-2 |
Disclaimer/Publisher’s Note: The statements, opinions and data contained in all publications are solely those of the individual author(s) and contributor(s) and not of MDPI and/or the editor(s). MDPI and/or the editor(s) disclaim responsibility for any injury to people or property resulting from any ideas, methods, instructions or products referred to in the content. |
© 2023 by the authors. Licensee MDPI, Basel, Switzerland. This article is an open access article distributed under the terms and conditions of the Creative Commons Attribution (CC BY) license (https://creativecommons.org/licenses/by/4.0/).
Share and Cite
Yang, H.; Wang, D.; Wang, F.; Gao, Y.; Tang, G.; Tang, Y.; Sun, P. Differential Enrichment of Trace and Major Elements in Biodegraded Oil: A Case Study from Bohai Bay Basin, China. Processes 2023, 11, 1176. https://doi.org/10.3390/pr11041176
Yang H, Wang D, Wang F, Gao Y, Tang G, Tang Y, Sun P. Differential Enrichment of Trace and Major Elements in Biodegraded Oil: A Case Study from Bohai Bay Basin, China. Processes. 2023; 11(4):1176. https://doi.org/10.3390/pr11041176
Chicago/Turabian StyleYang, Haifeng, Deying Wang, Feilong Wang, Yanfei Gao, Guomin Tang, Youjun Tang, and Peng Sun. 2023. "Differential Enrichment of Trace and Major Elements in Biodegraded Oil: A Case Study from Bohai Bay Basin, China" Processes 11, no. 4: 1176. https://doi.org/10.3390/pr11041176
APA StyleYang, H., Wang, D., Wang, F., Gao, Y., Tang, G., Tang, Y., & Sun, P. (2023). Differential Enrichment of Trace and Major Elements in Biodegraded Oil: A Case Study from Bohai Bay Basin, China. Processes, 11(4), 1176. https://doi.org/10.3390/pr11041176
