Multi-Objective Workflow Optimization Algorithm Based on a Dynamic Virtual Staged Pruning Strategy
Abstract
1. Introduction
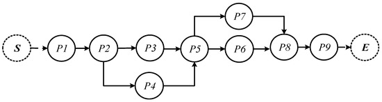
2. Problem Description
Related Definitions
3. Workflow Multi-Objective Optimization Algorithm with a Virtual Phased Pruning Strategy
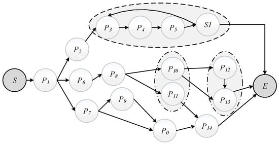
3.1. Pruning Strategy
Basic Idea of the Pruning Strategy
| Algorithm 1: Pruning strategy. |
![]() |
3.2. Virtual Layering Strategy
| Algorithm 2: Virtual layering strategy. |
![]() |
3.3. Algorithm Description
3.4. Algorithm Steps
| Algorithm 3: DVSP |
![]() |
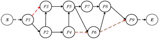
4. Experimental Validation of DVSP
Workflow Scheduling Process
5. Comparative Performance Analysis of Algorithms DVSP
5.1. Algorithm Comparison
5.2. Analysis of Factors Affecting Algorithm Performance
5.2.1. Effect of Different Numbers of Testing Stations on the Accuracy of the Algorithm
5.2.2. Effect of Different Limiting Constraints on Time Conditions of the Algorithm
5.2.3. Effect of Different Numbers of Nodes P on the Performance of the Algorithm
6. Conclusions
Author Contributions
Funding
Institutional Review Board Statement
Data Availability Statement
Conflicts of Interest
References
- Han, Y.; Gong, D.; Jin, Y.; Pan, Q. Evolutionary multiobjective blocking lot-streaming flow shop scheduling with machine breakdowns. IEEE Trans. Cybern. 2017, 49, 184–197. [Google Scholar] [CrossRef] [PubMed]
- Xie, Z.; Yang, J.; Zhou, Y.; Zhang, D.; Tan, G. A dynamic critical path multi-product manufacturing scheduling algorithm based on process sets. J. Comput. Sci. 2011, 34, 7–21. [Google Scholar]
- Strnad, D.; Kohek, Š. Constrained Multi-Objective Optimization of Simulated Tree Pruning with Heterogeneous Criteria. Appl. Sci. 2021, 11, 10781. [Google Scholar] [CrossRef]
- Ahmadi, E.; Zandieh, M.; Farrokh, M.; Emami, S.M. A multi objective optimization approach for flexible job shop scheduling problem under random machine breakdown by evolutionary algorithms. Comput. Oper. Res. 2016, 73, 56–66. [Google Scholar] [CrossRef]
- Luo, Z.; Zhu, Z.; Xie, Z.; Sun, G. Research on multi-objective optimization algorithm for differential pollination workflow of flowers for cloud computing. J. Electron. 2021, 49, 470–476. [Google Scholar]
- Han, S.; Zhu, K.; Zhou, M.C. A Novel Multiobjective Fireworks Algorithm and Its Applications to Imbalanced Distance Minimization Problems. IEEE/CAA J. Autom. Sin. 2022, 9, 1476–1489. [Google Scholar] [CrossRef]
- Wang, Y.; Zuo, X. An effective cloud workflow scheduling approach combining PSO and idle time slot-aware rules. IEEE/CAA J. Autom. Sin. 2021, 8, 1079–1094. [Google Scholar] [CrossRef]
- Abed-Alguni, B.H.; Alawad, N.A. Distributed Grey Wolf Optimizer for Scheduling of Workflow Applications in Cloud Environments. Appl. Soft Comput. 2021, 102, 107113. [Google Scholar] [CrossRef]
- Prakash, V.; Bawa, S.; Garg, L. Multi-Dependency and Time Based Resource Scheduling Algorithm for Scientific Applications in Cloud Computing. Electronics 2021, 10, 1079–1094. [Google Scholar] [CrossRef]
- Wang, H.; Sheng, B.; Lu, Q.; Yin, X.; Zhao, F.; Lu, X.; Luo, R.; Fu, G. A novel multi-objective optimization algorithm for the integrated scheduling of flexible job shops considering preventive maintenance activities and transportation processes. Soft Comput. 2021, 25, 2863–2889. [Google Scholar]
- Ma, X.; Gao, H.; Xu, H.; Bian, M. An IoT-based task scheduling optimization scheme considering the deadline and cost-aware scientific workflow for cloud computing. EURASIP J. Wirel. Commun. Netw. 2019, 2019, 249. [Google Scholar] [CrossRef]
- Duan, J.; Wang, J. Energy-efficient scheduling for a flexible job shop with machine breakdowns considering machine idle time arrangement and machine speed level selection. Comput. Ind. Eng. 2021, 161, 107677. [Google Scholar] [CrossRef]
- Dai, M.; Tang, D.; Giret, A.; Salido, M.A. Multi-objective optimization for energy-efficient flexible job shop scheduling problem with transportation constraints. Robot. Comput.-Integr. Manuf. 2019, 59, 143–157. [Google Scholar] [CrossRef]
- Zhou, N.; Lin, W.; Feng, W.; Shi, F.; Pang, X. Budget-deadline constrained approach for scientific workflows scheduling in a cloud environment. Clust. Comput. 2020, 1–15. [Google Scholar] [CrossRef]
- Ndamlabin, M.b.o.u.l.a.; Kamla, V.; Tayou Djamegni, C. Cost-time trade-off efficient workflow scheduling in cloud. Simul. Model. Pract. Theory 2020, 103, 102107. [Google Scholar] [CrossRef]
- Yuan, Y.; Li, X.; Wang, Q.; Zhu, X. Deadline division-based heuristic for cost optimization in workflow scheduling. Inf. Sci. 2009, 179, 2562–2575. [Google Scholar] [CrossRef]
- Petchrompo, S.; Coit, D.W.; Brintrup, A.; Wannakrairot, A.; Parlikad, A.K. A review of Pareto pruning methods for multi-objective optimization. Comput. Ind. Eng. 2022, 167, 108022. [Google Scholar] [CrossRef]
- Arabnejad, V.; Bubendorfer, K.; Ng, B. Budget and deadline aware e-science workflow scheduling in clouds. IEEE Trans. Parallel Distrib. Syst. 2018, 30, 29–44. [Google Scholar] [CrossRef]
- Luo, Z.Y.; Wang, J.Y.; Xie, Z.Q. Research on nonlinear manufacturing process multi-objective optimization algorithm with three-layer virtual workflow model. J. Autom. 2022, 48, 896–908. [Google Scholar]
- Liu, R.; Li, J.; Liu, J.; Jiao, L. A survey on dynamic multi-objective optimization. Chin. J. Comput. 2020, 43, 1246–1278. [Google Scholar]
- Wu, F.; Wu, Q.; Tan, Y.; Li, R.; Wang, W. PCP-B2: Partial critical path budget balanced scheduling algorithms for scientific workflow applications. Future Gener. Comput. Syst. 2016, 60, 22–34. [Google Scholar] [CrossRef]
- Xie, Z.; Wang, Q. Flexible Integrated Scheduling Algorithm Based on Reverse Order Layer Priority. J. Electron. Inf. Technol. 2022, 44, 1554–1562. [Google Scholar]
- Quan, Z.; Wang, Y.; Ji, Z. Multi-objective optimization scheduling for manufacturing process based on virtual workflow models. Appl. Soft Comput. 2022, 122, 108786. [Google Scholar] [CrossRef]
- Hosseinzadeh, M.; Ghafour, M.Y.; Hama, H.K.; Vo, B.; Khoshnevis, A. Multi-objective task and workflow scheduling approaches in cloud computing: A comprehensive review. J. Grid Comput. 2020, 18, 327–356. [Google Scholar] [CrossRef]
- Zhang, L.; Zhou, L.; Salah, A. Efficient scientific workflow scheduling for deadline-constrained parallel tasks in cloud computing environments. Inf. Sci. 2020, 531, 31–46. [Google Scholar] [CrossRef]










| Task/pi | Type | Services/si | Task/pi | Type | Services/si |
|---|---|---|---|---|---|
| p1 | A | (2, 0.98, 0.3) | p13 | B | (3, 0.94, 0.3) (6, 0.97, 0.4) |
| p2 | A | (2, 0.94, 0.6) (4, 0.95, 1.2) (7, 0.96, 1.4) | p14 | B | (2, 0.93, 0.2) (5, 0.95, 0.5) (6, 0.96, 0.6) |
| p3 | A | (2, 0.95, 0.6) (5, 0.96, 1.5) | p15 | B | (2, 0.95, 0.3) (4, 0.96, 0.3) |
| p4 | A | (4, 0.95, 1.2) | p16 | B | (3, 0.93, 0.2) |
| p5 | A | (2, 0.93, 0.4) (5, 0.95, 1.5) (6, 0.96, 1.8) | p17 | B | (2, 0.94, 0.2) (4, 0.95, 0.3) (7, 0.96, 0.2) |
| p6 | A | (3, 0.95, 0.9) | p18 | B | (2, 0.95, 0.3) (5, 0.96, 0.4) |
| p7 | A | (2, 0.92, 0.6) (7, 0.95, 1.4) | p19 | C | (2, 0.92, 0.3) (7, 0.95, 0.7) |
| p8 | A | (3, 0.91, 0.9) (4, 0.93, 1.2) (6, 0.94, 1.8) | p20 | C | (2, 0.93, 0.2) (5, 0.95, 0.5) (6, 0.96, 0.6) |
| p9 | A | (2, 0.92, 0.4) (4, 0.95, 1.2) | p21 | C | (3, 0.95, 0.3) |
| p10 | B | (1, 0.91, 0.3) (3, 0.94, 0.5) | p22 | C | (1, 0.91, 0.1) (2, 0.94, 0.2) |
| p11 | B | (2, 0.98, 0.6) (3, 0.94, 0.8) | p23 | C | (2, 0.98, 0.2) (3, 0.94, 0.3) |
| p12 | B | (1, 0.91, 0.1) (2, 0.94, 0.2) | p24 | C | (2, 0.98, 0.1) |
| Task/pi | Quality/fq(pi,t) and Cost/fc(pi,t) |
|---|---|
| ƒq(p6,15) = max{0.95} = 0.95; ƒc = 0.9; | |
| P6 | ƒq(p6,14) = max{0.95} = 0.95; ƒc = 0.9; … ƒq(p6,8) = max{0.95} = 0.95; ƒc = 0.9; |
| ƒq(p[4–5],9) = max{ƒq(p6,15)0.93 × 0.95} = 0.839; ƒc = 2.5; | |
| ƒq(p[4–5],8) = max{ƒq(p6,14)0.93 × 0.95} = 0.839; ƒc = 2.5; | |
| … | |
| P[4–5] | ƒq(p[4–5],4) = max{ƒq(p6,10)0.96 × 0.95), 0.839, 0.857} = 0.866; ƒc = 3.9; |
| ƒq(p[4–5],3) = max{ƒq(p6,9)0.96 × 0.95), 0.839, 0.857} = 0.866; ƒc = 3.9; ƒq(p[4–5],2) = max{ƒq(p6,8)0.96 × 0.95), 0.857} = 0.866; ƒc = 3.9; | |
| P[2–3] | ƒq(p[2–3],9) = max{ƒq(p6,15)0.95 × 0.95} = 0.857; ƒc = 2.7; ƒq(p[2–3],6) = max{ƒq(p6,12)0.95 × 0.96} = 0.866; ƒc = 2.7; … ƒq(p[2–3],4) = max{ƒq(p6,10)0.95 × 0.96, 0.85} = 0.866; ƒc = 2.9; ƒq(p[2–3],3) = max{ƒq(p6,9)0.96 × 0.97, 0.866, 0.857} = 0.876; ƒc = 3.8; ƒq(p[2–3],2) = max{ƒq(p6,8)0.96 × 0.97, 0.866 } = 0.876; ƒc = 3.8; |
| P1 | ƒq(p1,7) = max{ƒq(p[2–5],9) 0.98} = 0.705; ƒc = 5.5; ƒq(p1,6) = max{ƒq(p[2–5],8) 0.98} = 0.705; ƒc = 5.5; ƒq(p1,5) = max{ƒq(p[2–5],7) 0.98} = 0.705; ƒc = 5.5; ƒq(p1,4) = max{ƒq(p[2–5],6) 0.98} = 0.727; ƒc = 6.8; … ƒq(p1,2) = max{ƒq(p[2–5],4) 0.98} = 0.736; ƒc = 7.1; ƒq(p1,1) = max{ƒq(p[2–5],3) 0.98} = 0.744; ƒc = 8.0; ƒq(p1,0) = max{ƒq(p[2–5],2) 0.98} = 0.744; ƒc = 8.0; |
| Task/pi | Quality/fq(pi,t) & Cost/fc(pi,t) |
|---|---|
| ƒq(p9,13) = max{0.92} = 0.92; ƒc = 0.6; | |
| ƒq(p9,12) = max{0.92} = 0.92; ƒc = 0.6; | |
| P9 | ƒq(p9,11) = max{0.92,0.95} = 0.95; ƒc = 1.2; … |
| ƒq(p9,5) = max{0.92,0.95} = 0.95; ƒc = 1.2; | |
| ƒq(p8,10) = max{ƒq(p9,13)0.91} = 0.837; ƒc = 1.5; | |
| ƒq(p8,7) = max{ƒq(p9,11)0.93} = 0.884; ƒc = 1.8; | |
| P8 | ƒq(p8,6) = max{0.884,ƒq(p9,12)} = 0.884; ƒc = 2.1; … |
| ƒq(p8,2) = max{ƒq(p9,8)0.94} = 0.893; ƒc = 4.0; | |
| ƒq(p7,8) = max{ƒq(p8,10)0.92} = 0.770; ƒc = 2.1; | |
| ƒq(p7,7) = max{ƒq(p8,9)0.92} = 0.788; ƒc = 2.4; | |
| ƒq(p7,6) = max{ƒq(p8,8)0.92} = 0.796; ƒc = 2.7; | |
| P7 | … |
| ƒq(p7,2) = max{ƒq(p8,4)0.92,ƒq(p8,9)0.95} = 0.822; ƒc = 3.2; | |
| ƒq(p7,1) = max{ƒq(p8,3)0.92ƒq(p8,8)0.95} = 0.822; ƒc = 4.5; | |
| ƒq(p7,0) = max{ƒq(p8,2)0.92ƒq(p8,7)0.95} = 0.840; ƒc = 5.4; |
| Algorithm | Interval A | Interval B | Total Interval | ||||||
|---|---|---|---|---|---|---|---|---|---|
| ƒq | ƒt | ƒc | ƒq | ƒt | ƒc | ƒq | ƒt | ƒc | |
| MCP | 0.925 | 20 | 8.1 | 0.875 | 13 | 5.5 | 0.809 | 33 | 13.6 |
| NSGA-II | 0.882 | 17 | 8.2 | 0.910 | 15 | 4.7 | 0.802 | 32 | 12.9 |
| PCP-B2 | 0.912 | 17 | 9.0 | 0.923 | 16 | 5.3 | 0.841 | 33 | 14.3 |
| DVSP | 0.926 | 18 | 7.8 | 0.939 | 14 | 5.0 | 0.869 | 32 | 12.8 |
Disclaimer/Publisher’s Note: The statements, opinions and data contained in all publications are solely those of the individual author(s) and contributor(s) and not of MDPI and/or the editor(s). MDPI and/or the editor(s) disclaim responsibility for any injury to people or property resulting from any ideas, methods, instructions or products referred to in the content. |
© 2023 by the authors. Licensee MDPI, Basel, Switzerland. This article is an open access article distributed under the terms and conditions of the Creative Commons Attribution (CC BY) license (https://creativecommons.org/licenses/by/4.0/).
Share and Cite
Luo, Z.; Tan, S.; Liu, X.; Xu, H.; Liu, J. Multi-Objective Workflow Optimization Algorithm Based on a Dynamic Virtual Staged Pruning Strategy. Processes 2023, 11, 1160. https://doi.org/10.3390/pr11041160
Luo Z, Tan S, Liu X, Xu H, Liu J. Multi-Objective Workflow Optimization Algorithm Based on a Dynamic Virtual Staged Pruning Strategy. Processes. 2023; 11(4):1160. https://doi.org/10.3390/pr11041160
Chicago/Turabian StyleLuo, Zhiyong, Shanxin Tan, Xintong Liu, Haifeng Xu, and Jiahui Liu. 2023. "Multi-Objective Workflow Optimization Algorithm Based on a Dynamic Virtual Staged Pruning Strategy" Processes 11, no. 4: 1160. https://doi.org/10.3390/pr11041160
APA StyleLuo, Z., Tan, S., Liu, X., Xu, H., & Liu, J. (2023). Multi-Objective Workflow Optimization Algorithm Based on a Dynamic Virtual Staged Pruning Strategy. Processes, 11(4), 1160. https://doi.org/10.3390/pr11041160



