Analysis of the Influence of Micro-Pore Structure on Oil Occurrence Using Nano-CT Scanning and Nuclear Magnetic Resonance Technology: An Example from Chang 8 Tight Sandstone Reservoir, Jiyuan, Ordos Basin
Abstract
1. Introduction
2. Experimental Section
2.1. Materials
2.2. Experimental Setup
2.3. Experimental Procedures
3. Results and Discussion
3.1. Characteristics and Classification of Reservoir Pore Structure
3.2. Static Occurrence Characteristics of Tight Oil
3.3. Dynamic Occurrence Characteristics of Tight Oil
3.3.1. Oil Saturation Changes
3.3.2. Dynamic Occurrence Distribution of Tight Oil
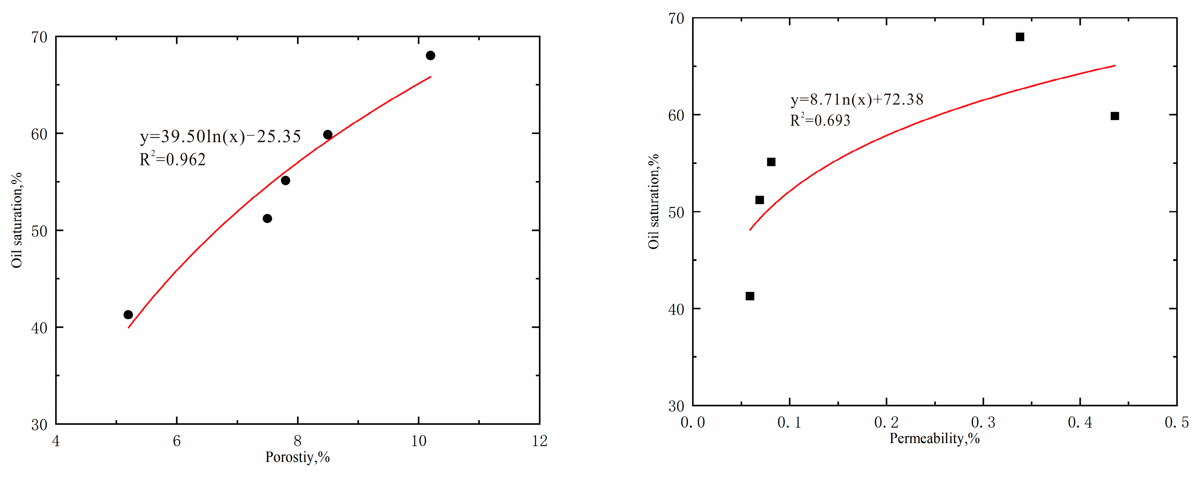
3.4. Influence of Reservoir Physical Properties
3.5. Influence of Pore Structure
3.5.1. Pore Throat Type
3.5.2. Pore Throat Parameters
4. Conclusions
Author Contributions
Funding
Institutional Review Board Statement
Informed Consent Statement
Data Availability Statement
Conflicts of Interest
References
- Zhou, N.; Lu, S.; Wang, M.; Huang, W.; Xiao, D.; Jiao, C.; Wang, J.; Tian, W.; Zhou, L.; Chen, F.; et al. Limits and grading evaluation criteria of tight oil reservoirs in typical continental basins of China. Pet. Explor. Dev. 2021, 48, 1089–1100. [Google Scholar] [CrossRef]
- Zhao, W.; Hu, S.; Hou, L.; Yang, T.; Li, X.; Guo, B.; Yang, Z. Types and resource potential of continental shale oil in China and its boundary with tight oil. Pet. Explor. Dev. Online 2020, 47, 1–11. [Google Scholar] [CrossRef]
- Sun, L.; Zou, C.; Jia, A.; Wei, Y.; Zhu, R.; Wu, S.; Guo, Z. Development characteristics and orientation of tight oil and gas in China. Pet. Explor. Dev. Online 2019, 46, 1073–1087. [Google Scholar] [CrossRef]
- Xiang, F.; Zhi, Y.; Weipeng, Y.; Xuguang, G.; Yanxiong, W.; Juntian, L. Classification evaluation criteria and exploration potential of tight oil resources in key basins of China. J. Nat. Gas Geosci. 2019, 4, 309–319. [Google Scholar]
- Wang, S.; Yu, Y.; Guo, Q.; Wang, S.; Wu, X. New advances in the assessment of tight oil resource in China. Pet. Res. 2017, 2, 1–12. [Google Scholar] [CrossRef]
- Shen, A.; Liu, Y.; Wang, X.; Cai, B.; He, C.; Liang, S. The geological characteristics and exploration of continental tight oil: An investigation in China. J. Pet. Explor. Prod. Technol. 2018, 9, 1651–1658. [Google Scholar] [CrossRef]
- Hughes, J.D. Energy: A reality check on the shale revolution. Nature 2013, 494, 307–308. [Google Scholar] [CrossRef]
- Dong, Z.; Holditch, S.; McVay, D.; Ayers, W. Global Unconventional Gas Resource Assessment. SPE Econ. Manag. 2012, 4, 222–234. [Google Scholar] [CrossRef]
- Zhang, G.; Feng, C.; Yao, X. Petroleum Geology in Deepwater Settings in a Passive Continental Margin of a Marginal Sea: A Case Study from the South China Sea. Acta Geol. Sin. (Engl. Ed.) 2021, 95, 1–20. [Google Scholar] [CrossRef]
- Wang, C.; Liu, Y.; Du, Y.; Gao, Y.; Sun, Y. Heavy-Oil Recovery by Combined Geothermal Energy and Cosolvent/Water Flooding. Energy 2021, 228, 120681. [Google Scholar] [CrossRef]
- Wang, J.; Wu, S.; Li, Q.; Guo, Q. An investigation into pore structure fractal characteristics in tight oil reservoirs: A case study of the Triassic tight sandstone with ultra-low permeability in the Ordos Basin, China. Arab. J. Geosci. 2020, 13, 961. [Google Scholar] [CrossRef]
- Gao, H.; Cao, J.; Wang, C.; He, M.; Dou, L.; Huang, X.; Li, T. Comprehensive characterization of pore and throat system for tight sandstone reservoirs and associated permeability determination method using SEM, ratecontrolled mercury and high pressure mercury. J. Pet. Sci. Eng. 2018, 174, 514–524. [Google Scholar] [CrossRef]
- Li, H.; Liu, X.; Yang, Z.; Guo, H.; Zeng, Q.; Meng, L.; Qin, F. Quantitative analysis method of oil occurrences in tight reservoir. Energy Rep. 2020, 6, 1067–1072. [Google Scholar] [CrossRef]
- Tang, Y.; Lei, J.; Dong, H.; Tan, S.; Ma, D.; Zhang, N.; Wang, M. Study on Pore Structure and the Microscopic Mechanism of the Difference in Petrophysical Properties of Tight Sandstone: A Case Study of the Chang 3 Member of Weibei Oilfield, Ordos Basin. Front. Earth Sci. 2022, 10, 457. [Google Scholar] [CrossRef]
- Zhao, X.; Yang, Z.; Zhou, S.; Luo, Y.; Liu, X.; Zhang, Y.; Lin, W.; Xiao, Q.; Niu, Z. Research on Characterization and Heterogeneity of Microscopic Pore Throat Structures in Tight Oil Reservoirs. ACS Omega 2021, 6, 24672–24682. [Google Scholar] [CrossRef]
- Liu, T.; Xiong, S.; Yu, J.; He, Y.; Song, P.; Chu, S.; Lin, W.; Hou, H. Study on the micro pore structures of the four different kinds of lithological reservoirs in the basin of Western China. J. Pet. Explor. Prod. 2021, 11, 1139–1153. [Google Scholar]
- Yin, S.; Dong, L.; Yang, X.; Wang, R. Experimental investigation of the petrophysical properties, minerals, elements and pore structures in tight sandstones. J. Nat. Gas Sci. Eng. 2020, 76, 103189. [Google Scholar] [CrossRef]
- Wang, J.; Cao, Y.; Liu, K.; Gao, Y.; Qin, Z. Fractal characteristics of the pore structures of fine-grained, mixed sedimentary rocks from the Jimsar Sag, Junggar Basin: Implications for lacustrine tight oil accumulations. J. Pet. Sci. Eng. 2019, 182, 106363. [Google Scholar] [CrossRef]
- Dou, L.; Xiao, Y.; Gao, H.; Wang, R.; Liu, C.; Sun, H. The study of enhanced displacement efficiency in tight sandstone from the combination of spontaneous and dynamic imbibition. J. Pet. Sci. Eng. 2021, 199, 108327. [Google Scholar] [CrossRef]
- Gao, H.; Li, T.; Yang, L. Quantitative determination of pore and throat parameters in tight oil reservoir using constant rate mercury intrusion technique. J. Pet. Explor. Prod. Technol. 2016, 6, 309–318. [Google Scholar] [CrossRef]
- Feng, C.; Yao, X.; Yang, H. Source-sink System and Sedimentary Model of Progradational Fan Delta Controlled by Restricted Ancient Gully: An Example in the Enping Formation in the Southern Baiyun Sag, Pearl River Mouth Basin, Northern South China Sea. Acta Geol. Sin. (Engl. Ed.) 2021, 95, 232–247. [Google Scholar] [CrossRef]
- Bai, B.; Zhu, R.; Wu, S.; Yang, W.; Jeff, G.; Allen, G.; Zhang, X.; Su, L. Using multi-scale CT imaging to characterize the micro-pore structure of tight sandstone. Pet. Explor. Dev. 2013, 40, 329–333. [Google Scholar] [CrossRef]
- Wang, M.; Zhang, S.; Zhang, F.; Liu, Y.; Guan, H.; Li, J.; Shao, L.; Yang, S.; She, Y. Quantitative study on the microscopic occurrence of tight oil in the Chang 7 member of Yanchang Formation in Ordos Basin. Pet. Explor. Dev. 2015, 42, 757–762. [Google Scholar] [CrossRef]
- Yan, L.; Ran, Q.; Gao, Y.; Chen, F.; Wang, S. Occurrence form and applicability evaluation of tight oil in Lucaogou Formation, Xinjiang. Reserv. Eval. Dev. 2017, 7, 20–25+33. [Google Scholar]
- Peng, J.; Qiu, Q.; Wang, D.; Li, Z.; Zhu, J.; Liang, S.; Wu, Y. Occurrence and availability of tight oil in the Funing Formation of Paleogene in Subei Basin. Pet. Geol. Exp. 2020, 42, 53–59. [Google Scholar]
- Wen, H.; Li, T.; Wang, M. Characteristics of Nanoscale Pore of Tight Sand Reservoir and Its Relation to Hydrocarbon Occurrence. J. Nanosci. Nanotechnol. 2017, 17, 6997–7002. [Google Scholar] [CrossRef]
- Sun, Z.; Wang, F.; Han, Y.; Hou, Y.; He, S.; Luo, J.; Zheng, Y.; Wu, S. Multi-scale characterization of the occurrence space of inter-salt movable shale oil in the Paleogene Qianjiang Formation of Qianjiang Sag, Jianghan Basin. Pet. Geol. Exp. 2020, 42, 586–595. [Google Scholar]
- Li, C.; Chen, G.; Li, X.; Zhou, Q.; Sun, Z. The occurrence of tight oil in the Chang 8 lacustrine sandstone of the Huaqing area, Ordos Basin, China: Insights into the content of adsorbed oil and its controlling factors. J. Nat. Gas Geosci. 2022, 7, 27–37. [Google Scholar] [CrossRef]
- Gong, Y.; Liu, K. Pore throat size distribution and oiliness of tight sands-A case study of the Southern Songliao Basin, China. J. Pet. Sci. Eng. 2020, 184, 106508. [Google Scholar] [CrossRef]
- Liu, Y.; Dong, X.; Chen, Z.; Hou, Y.; Luo, Q.; Chen, Y. A novel experimental investigation on the occurrence state of fluids in microscale pores of tight reservoirs. J. Pet. Sci. Eng. 2021, 196, 107656. [Google Scholar] [CrossRef]
- Jia, N.; Wang, Z.; Jiang, Q.; Yang, L.; He, L.; Liu, X.; Jin, X.; Li, T.; Cheng, L. Study on Influencing Factors of Microscopic Occurrence of Tight Oil in Nanoscale Pore Throat. J. Nanosci. Nanotechnol. 2020, 20, 2223–2230. [Google Scholar]
- Li, H.; Guo, H.; Yang, Z.; Wang, X. Tight oil occurrence space of Triassic Chang 7 Member in Northern Shaanxi Area, Ordos Basin, NW China. Pet. Explor. Dev. 2015, 42, 434–438. [Google Scholar] [CrossRef]
- Wang, W.; Li, Y.; Chen, X. Microscope dynamic characterization of oil charging in tight sandstone using a physical simulation experiment. J. Pet. Sci. Eng. 2021, 200, 108379. [Google Scholar] [CrossRef]
- Li, C.; Liu, G.; Cao, Z.; Sun, M.; You, Y.; Liu, N. Oil charging pore throat threshold and accumulation effectiveness of tight sandstone reservoir using the physical simulation experiments combined with NMR. J. Pet. Sci. Eng. 2022, 208, 109338. [Google Scholar] [CrossRef]
- Liu, Y.; Ye, J.; Zong, J.; Wang, D.; Cao, Q.; Yang, B.; Li, W.; Zhao, J. Analysis of forces during tight oil charging and implications for the oiliness of the tight reservoir: A case study of the third member of the Palaeogene Shahejie Formation, Qibei slope, Qikou sag. Mar. Pet. Geol. 2022, 144, 105819. [Google Scholar] [CrossRef]
- Feng, X.; Zeng, J.; Tao, S.; Yang, J.; Feng, S.; Pang, Z. Oil-Charging Pore-Throat Radius Threshold of Tight Reservoirs: A Comparison on Multi-Method Calculation Results. J. Nanosci. Nanotechnol. 2017, 17, 6067–6076. [Google Scholar] [CrossRef]
- Zheng, M.; Li, J.; Wu, X.; Li, P.; Wang, W.; Wang, S.; Xie, H. Physical modeling of oil charging in tight reservoirs: A case study of Permian Lucaogou Formation in Jimsar Sag, Junggar Basin, NW China. Pet. Explor. Dev. 2016, 43, 241–250. [Google Scholar] [CrossRef]
- Xi, K.; Cao, Y.; Haile, B.G.; Zhu, R.; Jahren, J.; Bjorlykke, K.; Zhang, X.; Hellevang, H. How does the pore-throat size control the reservoir quality and oiliness of tight sandstones? The case of the Lower Cretaceous Quantou Formation in the southern Songliao Basin, China. Mar. Pet. Geol. 2016, 76, 1–15. [Google Scholar] [CrossRef]
- Zeng, J.; Feng, X.; Zhang, Y.; Qiao, J.; Yang, Z. Influence of Tight Sandstone Micro-Nano Pore-Throat Structures on Petroleum Accumulation: Evidence from Experimental Simulation Combining X-ray Tomography. J. Nanosci. Nanotechnol. 2017, 17, 6459–6469. [Google Scholar] [CrossRef]
- Nelson, P.H. Pore-throat sizes in sandstones, tight sandstones, and shales. AAPG Bull. 2009, 93, 329–340. [Google Scholar] [CrossRef]
- Akbarabadi, M.; Saraji, S.; Piri, M.; Georgi, D.; Delshad, M. Nano-scale experimental investigation of in-situ wettability and spontaneous imbibition in ultra-tight reservoir rocks. Adv. Water Resour. 2017, 107, 160–179. [Google Scholar] [CrossRef]
- Liu, Z.; Li, W.; Li, J.; Wang, W.; Fu, G. Characteristics of Tight Oil Reservoir Based on Nano-CT. Adv. Mater. Sci. Eng. 2022, 2022, 7863047. [Google Scholar] [CrossRef]
- Jussiani, E.I.; Dos Reis, P.J.; Appoloni, C.R. Determining chemical composition of materials through micro-CT images. Micron 2016, 89, 9–15. [Google Scholar] [CrossRef]
- Zhang, Y.; Zeng, J.; Dai, Z.; Viswanathan, H.; Xiao, T.; Ma, Y.; Feng, X. Experimental investigation on oil migration and accumulation in tight sandstones. J. Pet. Sci. Eng. 2018, 160, 267–275. [Google Scholar] [CrossRef]
- Wang, C.; Gao, H.; Gao, Y.; Fan, H. Influence of Pressure on Spontaneous Imbibition in Tight Sandstone Reservoirs. Energy Fuels 2020, 34, 9275–9282. [Google Scholar] [CrossRef]












| Core Number | Diameter (cm) | Length (cm) | Porosity (%) | Permeability (10−3 µm2) | Lithology |
|---|---|---|---|---|---|
| 1 | 2.49 | 5.10 | 7.80 | 0.08 | Medium–fine-grained feldspar sandstone |
| 2 | 2.50 | 5.00 | 5.50 | 0.03 | Fine-grained feldspar sandstone, rich in mica |
| 3 | 2.50 | 5.10 | 4.80 | 0.04 | Fine-grained feldspar sandstone, rich in mica |
| 4 | 2.50 | 5.10 | 7.50 | 0.07 | Medium–fine-grained feldspar sandstone |
| 5 | 2.49 | 5.20 | 7.60 | 0.09 | Medium–fine-grained feldspar sandstone |
| 6 | 2.48 | 5.00 | 8.50 | 0.44 | Medium–fine lithic feldspar sandstone |
| 7 | 2.47 | 5.00 | 8.20 | 0.52 | Fine–medium lithic feldspar sandstone |
| 8 | 2.49 | 5.00 | 10.20 | 0.34 | Calcareous medium-grained lithic feldspar sandstone |
| 9 | 2.50 | 5.20 | 9.10 | 0.48 | Medium–fine lithic feldspar sandstone |
| 10 | 2.50 | 5.00 | 5.20 | 0.06 | Ultrafine–fine-grained feldspar sandstone |
| Group | Sample Number | Porosity (%) | Permeability (10−3 µm2) | Displacement Pressure | Maximum Pore Throat Radius, µm | Median Radius | Median Pressure | Coefficient of Variation | Sorting Factor | Skewness | Maximum Mercury Saturation (%) | Mercury Withdrawal Efficiency (%) |
|---|---|---|---|---|---|---|---|---|---|---|---|---|
| I | 6 | 8.5 | 0.44 | 0.95 | 1.20 | 0.14 | 5.17 | 18.25 | 2.07 | 0.48 | 87.15 | 43.16 |
| 7 | 8.2 | 0.52 | 0.95 | 0.95 | 0.09 | 8.35 | 16.36 | 2.25 | 0.47 | 92.49 | 41.72 | |
| 8 | 10.2 | 0.34 | 0.76 | 2.21 | 0.16 | 4.20 | 14.61 | 2.02 | 0.49 | 86.89 | 46.53 | |
| 9 | 9.1 | 0.48 | 0.78 | 0.90 | 0.15 | 4.91 | 18.81 | 2.41 | 0.48 | 89.98 | 37.57 | |
| II | 1 | 7.8 | 0.08 | 1.19 | 0.95 | 0.11 | 6.54 | 16.12 | 1.96 | 0.42 | 89.81 | 40.86 |
| 4 | 7.5 | 0.07 | 1.50 | 0.78 | 0.12 | 8.92 | 13.05 | 1.88 | 0.54 | 87.13 | 31.30 | |
| 5 | 7.6 | 0.09 | 0.96 | 0.75 | 0.14 | 5.20 | 14.61 | 2.02 | 0.43 | 86.89 | 29.58 | |
| III | 2 | 5.5 | 0.03 | 2.91 | 0.58 | 0.02 | 43.90 | 12.12 | 1.47 | 0.29 | 66.70 | 35.74 |
| 3 | 4.8 | 0.04 | 2.88 | 0.62 | 0.02 | 34.18 | 9.87 | 1.66 | 0.33 | 84.41 | 27.10 | |
| 10 | 5.2 | 0.06 | 2.26 | 0.62 | 0.03 | 27.06 | 14.42 | 1.87 | 0.21 | 85.75 | 28.03 |
Disclaimer/Publisher’s Note: The statements, opinions and data contained in all publications are solely those of the individual author(s) and contributor(s) and not of MDPI and/or the editor(s). MDPI and/or the editor(s) disclaim responsibility for any injury to people or property resulting from any ideas, methods, instructions or products referred to in the content. |
© 2023 by the authors. Licensee MDPI, Basel, Switzerland. This article is an open access article distributed under the terms and conditions of the Creative Commons Attribution (CC BY) license (https://creativecommons.org/licenses/by/4.0/).
Share and Cite
Song, X.; Gao, H.; Feng, C.; Yi, P.; Wang, C.; Li, T. Analysis of the Influence of Micro-Pore Structure on Oil Occurrence Using Nano-CT Scanning and Nuclear Magnetic Resonance Technology: An Example from Chang 8 Tight Sandstone Reservoir, Jiyuan, Ordos Basin. Processes 2023, 11, 1127. https://doi.org/10.3390/pr11041127
Song X, Gao H, Feng C, Yi P, Wang C, Li T. Analysis of the Influence of Micro-Pore Structure on Oil Occurrence Using Nano-CT Scanning and Nuclear Magnetic Resonance Technology: An Example from Chang 8 Tight Sandstone Reservoir, Jiyuan, Ordos Basin. Processes. 2023; 11(4):1127. https://doi.org/10.3390/pr11041127
Chicago/Turabian StyleSong, Xinglei, Hui Gao, Congjun Feng, Ping Yi, Chen Wang, and Teng Li. 2023. "Analysis of the Influence of Micro-Pore Structure on Oil Occurrence Using Nano-CT Scanning and Nuclear Magnetic Resonance Technology: An Example from Chang 8 Tight Sandstone Reservoir, Jiyuan, Ordos Basin" Processes 11, no. 4: 1127. https://doi.org/10.3390/pr11041127
APA StyleSong, X., Gao, H., Feng, C., Yi, P., Wang, C., & Li, T. (2023). Analysis of the Influence of Micro-Pore Structure on Oil Occurrence Using Nano-CT Scanning and Nuclear Magnetic Resonance Technology: An Example from Chang 8 Tight Sandstone Reservoir, Jiyuan, Ordos Basin. Processes, 11(4), 1127. https://doi.org/10.3390/pr11041127
