Low Permeability Gas-Bearing Sandstone Reservoirs Characterization from Geophysical Well Logging Data: A Case Study of Pinghu Formation in KQT Region, East China Sea
Abstract
1. Introduction
2. Geological Setting
3. Reservoir Petrophysical Characteristics
4. Method of Pore Structure Characterization and Evaluation
4.1. Formation Pore Structure
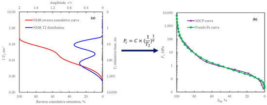
4.2. Theory of Characterizing Pore Structure Based on NMR Logging
4.3. Constructing Pseudo-Pc Curves from NMR Logging Based on Formation Classification
5. Estimation of Reservoir Petrophysical Parameters
5.1. Porosity Calculation
5.2. Permeability Calculation
5.3. Water saturation Evaluation
5.4. Optimization of Cementation Exponent
5.5. Extraction of Saturation Exponent Based on Formation Classification
5.6. Estimation of Irreducible Water Saturation (Swirr)
6. Identification of Pore Fluids Based on Geophysical Well Logging
6.1. Identifying Pore Fluids Based on Apparent Formation Water Resistivity
6.2. Identifying Pore Fluids Based on Sw and Swirr
7. Field Applications
8. Extensive Application
9. Conclusions
- Combined with NMR and capillary pressure theories, a method which can be used to transform NMR T2 spectrum as pseudo-Pc curve was established. The method was named the piecewise function calibration method. It was used to quantitatively characterize low permeability sandstone reservoir pore structure and classify reservoirs into three categories in the Pinghu Formation.
- The triangular chart of neutron and density was used to well calculate porosity. A model which uses median pore throat radius as an input parameter was introduced to estimate permeability from pseudo-Pc curve. For the water saturation calculation, Archie’s equation was used, and the involved rock resistivity parameters were optimized. Field examples illustrated that the proposed methods are valuable in our target Pinghu Member.
- Two techniques, used to identify pore fluids based on the crossplots of mean value of apparent formation water resistivity versus variance of apparent formation water resistivity; and water saturation versus irreducible water saturation, were raised. Field examples in two different regions illustrated that these techniques were valuable in indicating pore fluids. They can be widely used in low permeability sandstones with similar physical properties, whereas common methods would lose their role due to low resistivity contrast. Our raised methods and techniques can further improve complicated formation characterization and allow for high-quality reservoir predictions.
Author Contributions
Funding
Data Availability Statement
Conflicts of Interest
References
- Qu, C.; Yang, Q.; Liu, D.; Liu, X.; Li, A.; Cui, P. Influencing factors f of low permeability reservoir property of Yanchang Formation in Changqing Oilfield. Lithol. Reserv. 2008, 20, 43–47. [Google Scholar]
- Shi, B.; Chang, X.; Yin, W.; Li, Y.; Mao, L. Quantitative evaluation model for tight sandstone reservoirs based on statistical methods—A case study of the Triassic Chang 8 tight sandstones, Zhenjing area, Ordos Basin, China. J. Petrol. Sci. Eng. 2019, 173, 601–616. [Google Scholar] [CrossRef]
- Bai, Z. Study on the Log Interpretation Method of Low Contrast Oil Pays in Tight Sandstone Reservoir of Longdong Area. Doctoral Dissertation, China University of Geosciences, Beijing, China, 2021; pp. 1–3. [Google Scholar]
- Zou, C.; Zhang, G.; Tao, S. Geological characteristics, major discoveries and unconventional petroleum geology in the global oil and gas exploration field. Pet. Explor. Dev. 2010, 37, 129–145. [Google Scholar] [CrossRef]
- Zhao, J.; Bai, Y.; Cao, Q.; Er, C. Quasi-continuous hydrocarbon accumulation: A new pattern for large tight sand oilfields in the Ordos Basin. Oil Gas Geol. 2012, 33, 811–827. [Google Scholar]
- Xiao, K.; Duan, Z.; Yang, Y.; Li, H.; Qin, Z.; Luo, Q. Experimental study of relationship among acoustic wave, resistivity and fluid saturation in coalbed methane reservoir. Acta Geophys. 2022, 1–9. [Google Scholar] [CrossRef]
- Clavaud, J.B.; Maineult, A.; Zamora, M.; Rasolofosaon, P.; Schlitter, C. Permeability anisotropy and its relations with porous medium structure. J. Geophys. Res. Solid Earth 2008, 113, 1–10. [Google Scholar] [CrossRef]
- Wu, Y.; Tahmasebi, P.; Lin, C.; Zahid, M.A.; Dong, C.; Golab, A.N.; Ren, L. A comprehensive study on geometric, topological and fractal characterizations of pore systems in low-permeability reservoirs based on SEM, MICP, NMR, and X-ray CT experiments. Mar. Petrol. Geol. 2019, 103, 12–28. [Google Scholar] [CrossRef]
- Raymer, L.L.; Hunt, E.R.; Gardner, J.S. An improved sonic transit time-to-porosity transform. In Proceedings of the SPWLA 21st Annual Logging Symposium, Lafayette, LA, USA, 8–11 July 1980. SPWLA-1980-P. [Google Scholar]
- Yong, S.; Zhang, C.; Liu, Z. Well Log Data Processing and Comprehensive Interpretation; China University of Petroleum Press: Dongying, China, 1996; pp. 98–139. [Google Scholar]
- Kamel, M.H.; Mohamed, M.M. Effective porosity determination in clean/shaly formations from acoustic logs with applications. Petrol. Sci. Eng. 2006, 51, 267–274. [Google Scholar] [CrossRef]
- Makar, K.H.; Kamel, M.H. An approach for minimizing errors in computing effective porosity in reservoir of shaly nature in view of Wyllie-Raymer-Raiga relationship. Petrol. Sci. Eng. 2011, 77, 386–392. [Google Scholar] [CrossRef]
- Tellam, J.H.; Barker, R.D. Towards prediction of saturated-zone pollutant movement in groundwaters in fractured permeable-matrix aquifers: The case of the UK Permo-Triassic sandstones. Geol. Soc. Lond. Spec. Publ. 2006, 263, 1–48. [Google Scholar] [CrossRef]
- Medici, G.; West, L.J. Review of groundwater flow and contaminant transport modelling approaches for the Sherwood Sandstone aquifer, UK; insights from analogous successions worldwide. Q. J. Eng. Geol. Hydrogeol. 2022, 55, qjegh2021-176. [Google Scholar] [CrossRef]
- Babadagli, T.; Al-Salmi, S. A review of permeability-calculation methods for carbonate reservoirs using well-log data. SPE Reserv. Eval. Eng. 2004, 7, 75–88. [Google Scholar] [CrossRef]
- Anifowose, F.; Abdulraheem, A.; Al-Shuhail, A. A parametric study of machine learning techniques in petroleum reservoir permeability calculation by integrating seismic attributes and wireline data. Petrol. Sci. Eng. 2019, 176, 762–774. [Google Scholar] [CrossRef]
- AI Khalifah, H.; Glover, P.W.J.; Lorinczi, P. Permeability calculation and diagenesis in tight carbonates using machine learning techniques. Mar. Petrol. Geol. 2020, 112, 104096. [Google Scholar] [CrossRef]
- Tang, X.; Gelinsky, S.; Chunduru, R.K.; Cheng, C. Permeability from borehole acoustic logs: An overview with recent advances. SEG Tech. Program Expand. Abstr. 1997, 274–277. [Google Scholar] [CrossRef]
- Tong, M.; Tao, H. Permeability estimating from complex resistivity measurement of shaly sand reservoir. Geophys. J. Int. 2008, 173, 733–739. [Google Scholar] [CrossRef]
- Xiao, L.; Mao, Z.; Zou, C.; Jin, Y.; Zhu, J. A new methodology of constructing pseudo capillary pressure (Pc) curves from nuclear magnetic resonance (NMR) logs. Petrol. Sci. Eng. 2016, 147, 154–167. [Google Scholar] [CrossRef]
- Aïfa, T.; Baouche, R.; Baddari, K. Neuro-fuzzy system to predict permeability and porosity from well log data: A case study of Hassi R׳Mel gas field, Algeria. Petrol. Sci. Eng. 2014, 123, 217–229. [Google Scholar] [CrossRef]
- Vadapalli, U.; Srivastava, R.P.; Vedanti, N.; Dimri, V.P. Estimation of permeability of a sandstone reservoir by a fractal and Monte Carlo simulation approach: A case study. Nonlinear Process. Geophys. 2014, 21, 9–18. [Google Scholar] [CrossRef]
- Li, X.; Li, C.; Li, B.; Liu, X.; Yuan, C. Response laws of rock electrical property and saturation evaluation method of tight sandstone. Pet. Explor. Dev. 2020, 47, 214–224. [Google Scholar] [CrossRef]
- Qadri, S.T.; Islam, M.A.; Shalaby, M.R. Application of well log analysis to estimate the petrophysical parameters and evaluate the reservoir quality of the Lower Goru Formation, Lower Indus Basin, Pakistan. Geomech. Geophys. Geo-Energy Geo-Resour. 2019, 5, 271–288. [Google Scholar] [CrossRef]
- Tang, J.; Xin, Y.; Cai, D.; Zhang, C. A method of calculating saturation for tight sandstone reservoirs: A case of tight sandstone reservoir in Dabei area of Kuqa depression in Tarim Basin of NW China. Open J. Yangtze Oil Gas 2018, 3, 21–35. [Google Scholar] [CrossRef]
- Pan, B.; Lei, J.; Guo, Y.; Zhang, L.; Fan, Y. Experiment and analysis for the influence of saturating method on saturation exponent n. Acta Geod. Et Geophys. 2020, 55, 119–131. [Google Scholar] [CrossRef]
- Waxman, M.H.; Smits, L.J.M. Ionic double-layer conductivity in oil-bearing shaly sands. SPE Form. Eval. 1968, 4, 20–32. [Google Scholar] [CrossRef]
- Waxman, M.H.; Thomas, E.C. Electrical conductivities in shaly sands: (I) the relation between hydrocarbon saturation and resistivity index (II) the temperature coefficient of electrical conductivity. J. Pet. Technol. 1974, 26, 213–225. [Google Scholar] [CrossRef]
- Waxman, M.H.; Thomas, E.C. Technical note: An addendum to electrical conductivities in shaly sands: I. The relation between hydrocarbon saturation and resistivity index; II. The temperature coefficient of electrical conductivity. SPE J. 2007, 12, 392. [Google Scholar] [CrossRef]
- Clavier, C.; Coates, G.; Dumanoir, J. Theoretical and experimental bases for the dual-water model for interpretation of shaly sands. Soc. Pet. Eng. J. 1984, 24, 153–168. [Google Scholar] [CrossRef]
- Givens, W.W. A conductive rock matrix model (CRMM) for the analysis of low-contrast resistivity formations. Log Anal. 1987, 8, 138–151. [Google Scholar]
- Givens, W.W.; Schmidt, E.J. A generic electrical conduction model for low-contrast resistivity sandstones. In Proceedings of the SPWLA 29th Annual Logging Symposium, San Antonio, TX, USA, 5–8 July 1988. [Google Scholar]
- Simandoux, P. Dielectric measurements on porous media, application to the measurements of water saturation: Study of behavior of argillaceous formations. Rev. L’institut Fr. Du Pet. 1963, 18, 193–215. [Google Scholar]
- El-Bagoury, M. Integrated petrophysical study to validate water saturation from well logs in Bahariya Shaley Sand Reservoirs, case study from Abu Gharadig Basin, Egypt. J. Pet. Explor. Prod. Technol. 2020, 10, 3139–3155. [Google Scholar] [CrossRef]
- Xiao, L.; Zou, C.; Li, G.; Zhang, W.; Hu, T.; Zhou, J.; Dong, X.; Guo, H.; Li, J.; Cui, W. Low Permeability-Tight Sandstone Reservoir Pore Structure Logging Evaluation Technology and Application; Petroleum Industry Press: Beijing, China, 2021; pp. 1–180. [Google Scholar]
- Mao, Z.; Li, J. Method and models for productivity Calculation of hydrocarbon reservoirs. Acta Pet. Sin. 2000, 21, 58–61. [Google Scholar]
- Li, X.; Zhao, W.; Zhou, C.; Wang, T.; Li, C. Dual-porosity saturation model of low-porosity and low permeability clastic reservoirs. Pet. Explor. Dev. 2012, 39, 88–98. [Google Scholar] [CrossRef]
- Xiao, L.; Zou, C.; Mao, Z.; Shi, Y.; Liu, X.; Jin, Y.; Guo, H.; Hu, X. Estimation of water saturation from nuclear magnetic resonance (NMR) and conventional logs in low permeability sandstone reservoirs. Petrol. Sci. Eng. 2013, 108, 40–51. [Google Scholar] [CrossRef]
- Luo, S.; Cheng, Z.; Lin, W.; Jiang, W.; Xiao, F.; Tang, B. Research on saturation model of variable rock-electric parameters for reservoirs with complicated pore structures. Well Logging Technol. 2015, 39, 43–47. [Google Scholar] [CrossRef]
- Shanley, K.W.; Cluff, R.M. The evolution of pore-scale fluid-saturation in low-permeability sandstone reservoirs. AAPG Bull. 2015, 99, 1957–1990. [Google Scholar] [CrossRef]
- Zhang, W.; Lyu, Z.; Hou, X.; Zhang, Y.; Xu, F.; Gu, F. Characteristics of pore structure and fluid saturation of Ultra-low permeability reservoirs in Southern Songliao Basin. In Proceedings of the International Field Exploration and Development Conference, Chengdu, China, 21–27 September 2017; Springer: Singapore, 2017; pp. 1606–1612. Available online: https://link.springer.com/chapter/10.1007/978-981-10-7560-5_146 (accessed on 20 January 2022).
- Arifianto, I.; Surjono, S.S.; Erlangga, G.; Abrar, B.; Yogapurana, E. Application of flow zone indicator and Leverett J-function to characterise carbonate reservoir and calculate precise water saturation in the Kujung formation, North East Java Basin. J. Geophys. Eng. 2018, 15, 1753–1766. [Google Scholar] [CrossRef]
- Volokitin, Y.; Looyestijn, W.J. A practical approach to obtain primary drainage capillary pressure curves from NMR core and log data. Petrophysics 2001, 42, 334–343. [Google Scholar]
- Rose, W.; Bruce, W.A. Evaluation of capillary character in petroleum reservoir rock. J. Pet. Technol. 1949, 1, 127–142. [Google Scholar] [CrossRef]
- Yu, Y.; Luo, X.; Wang, Z.; Cheng, M.; Lei, Y.; Zhang, L.; Yin, J. A new correction method for mercury injection capillary pressure (MICP) to characterize the pore structure of shale. J. Nat. Gas Sci. Eng. 2019, 68, 102896. [Google Scholar] [CrossRef]
- Shan, X.; Guo, H.; Guo, X.; Zou, Z.; Li, Y.; Wang, L. Influencing factors and quantitative assessment of pore structure in low permeability reservoir: A case study of 2nd member of Permian Upper Urho Formation in Jinlong 2Area, Junggar Basin. J. Jilin Univ. (Earth Sci. Ed.) 2019, 49, 637–649. [Google Scholar]
- Olubunmi, A.; Chike, N. Capillary pressure curves from nuclear magnetic resonance log data in a deep water Turbidite Nigeria Field—A comparison to saturation models from SCAL drainage capillary pressure curves. In Proceedings of the Nigeria Annual International Conference and Exhibition, Abuja, Nigeria, 30 July–3 August 2011. SPE-150749-MS. [Google Scholar] [CrossRef]
- Coates, G.R.; Xiao, L.; Primmer, M.G. NMR Logging Principles and Applications; Gulf Publishing Company: Houston, TX, USA, 2000; pp. 1–256. [Google Scholar]
- Dunn, K.J.; Bergman, D.J.; Latorraca, G.A. Nuclear Magnetic Resonance: Petrophysical and Logging Applications; Pergamon, Handbook of Geophysical Exploration: Seismic Exploration; Elsevier: New York, NY, USA, 2002; Volume 32, p. 293. [Google Scholar]
- Looyestijn, W.J. Distinguishing fluid properties and producibility from NMR logs. In Proceedings of the 6th Nordic Symposium on Petrophysics, Trondheim, Norway, 15–16 May 2001; pp. 1–9. [Google Scholar]
- Green, D.; Gardner, J.S.; Balcom, B.J.; McAloon, M.; Cano-Barrita, J. Comparison study of capillary pressure curves obtained using traditional centrifuge and magnetic resonance imaging techniques. In Proceedings of the SPE Symposium on Improved Oil Recovery, Tulsa, Ok, USA, 20–23 April 2008. SPE-110518-MS. [Google Scholar] [CrossRef]
- Shao, W.; Ding, Y.; Liu, Y.; Liu, S.; Li, Y.; Zhao, J. The application of NMR log data in evaluation of reservoir pore structure. Well Logging Technol. 2009, 33, 52–56. [Google Scholar]
- Li, C.; Wei, L.; Diao, H.; Cheng, X.; Hou, D. Hydrocarbon source and charging characteristics of the Pinghu Formation in the Kongqueting Structure, Xihu Depression. Pet. Sci. Bull. 2021, 6, 196–208. [Google Scholar]
- Tang, J.; Liu, Y.; Shi, X.; Jiang, X.; Sun, P.; Liu, C.; Xiong, Z.; Xu, Z. Study on Sedimentary Environment Characteristics of Pinghu Formation in Western Slope Zone of Xihu Sag, East China Sea Shelf Basin. Front. Earth Sci. 2023, 13, 85–97. [Google Scholar] [CrossRef]
- Wang, L.; Yang, R.; Sun, Z.; Wang, L.; Guo, J.; Chen, M. Overpressure: Origin, Prediction, and Its Impact in the Xihu Sag, Eastern China Sea. Energies 2022, 15, 2519. [Google Scholar] [CrossRef]
- Becker, I.; Wüstefeld, P.; Koehrer, B.; Felder, M.; Hilgers, C. Porosity and permeability variations in a tight gas sandstone reservoir analogue, Westphalian D, Lower Saxony Basin, NW Germany: Influence of depositional setting and diagenesis. J. Pet. Geol. 2017, 40, 363–389. [Google Scholar] [CrossRef]
- Zhao, P.; Sun, Z.; Luo, X.; Wang, Z.; Mao, Z.; Wu, Y.; Xia, P. Study on the response mechanisms of nuclear magnetic resonance (NMR) log in tight oil reservoirs. Chin. J. Geophys. 2016, 59, 1927–1937. Available online: http://en.igg-journals.cn/article/doi/10.6038/cjg20160535 (accessed on 27 July 2022).
- Zhang, Y.; Xu, Q.; Gong, A.; Li, P. Application of neutron-density overlapping to identify gas reservoir in Changqing gas field. Well Logging Technol. 2007, 31, 278–281. [Google Scholar]
- Lafage, S.I. An Alternative to the Winland R35 Method for Determining Carbonate Reservoir Quality. Doctoral Dissertation, Texas A&M University, College Station, TX, USA, 2002. Available online: https://hdl.handle.net/1969.1/86031 (accessed on 25 January 2022).
- Rezaee, R.; Saeedi, A.; Clennell, B. Tight gas sands permeability estimation from mercury injection capillary pressure and nuclear magnetic response data. Petrol. Sci. Eng. 2012, 88, 92–99. [Google Scholar] [CrossRef]
- Archie, G.E. The electrical resistivity log as an aid in determining some reservoir characteristics. Trans. AIME 1942, 146, 54–62. [Google Scholar] [CrossRef]
- Sun, J.; Wang, K.; Li, W. Development and analysis of logging saturation interpretation models. Pet. Explor. Dev. 2008, 35, 101–107. [Google Scholar]
- Deng, K. Nuclear Magnetic Resonance Petrophysical and Logging Applications; China University of Petroleum Press: Dongying, China, 2010; pp. 60–61. [Google Scholar]
- Wang, L.; Yuan, W.; Ding, L.; Luo, Y. Reservoir Fluid Identification Based on Normal Logging Data. Geol. Sci. Technol. Inf. 2018, 37, 241–245. [Google Scholar]



























| Rock Type | Porosity (%) | Permeability (mD) | Median Pore Throat Radius (μm) | Median Pressure (MPa) | Maximum Pore Throat Radius (μm) | R35 (μm) | Threshold Pressure (MPa) | MICP Curve Morphology |
|---|---|---|---|---|---|---|---|---|
| I | 11.3~16.4 | 15.4~402.0 | 1.02~14.57 | 0.05~0.72 | 9.51~33.78 | 2.82~19.69 | 0.02~0.08 | Demarcation of large and small pore throat is obvious |
| II | 10.0~18.9 | 1.41~8.14 | 0.44~1.48 | 0.50~1.67 | 1.36~6.99 | 0.78~2.18 | 0.07~0.49 | Demarcation of large and small pore throat is obvious |
| III | 7.9~10.0 | 0.16~0.44 | 0.11~0.48 | 1.53~6.79 | 0.49~1.45 | 0.22~0.73 | 0.25~1.67 | Demarcation of large and small pore throat isn’t obvious |
| Pore Fluid | Rwam (Ω.m) | Rwav (Ω.m) | Sw (%) | Swf (%) |
|---|---|---|---|---|
| Hydrocarbon-bearing formation | Greater than 0.80 | Greater than 0.05 | Less than 60.00 | Less than 27.00 |
| Hydrocarbon and water formation | 0.69~0.80 | Lower than 0.05 | 60.00~70.50 | 27.00~60.00 |
| Water saturated layer | Lower than 0.69 | Lower than 0.05 | Greater than 70.50 | Greater than 60.00 |
Disclaimer/Publisher’s Note: The statements, opinions and data contained in all publications are solely those of the individual author(s) and contributor(s) and not of MDPI and/or the editor(s). MDPI and/or the editor(s) disclaim responsibility for any injury to people or property resulting from any ideas, methods, instructions or products referred to in the content. |
© 2023 by the authors. Licensee MDPI, Basel, Switzerland. This article is an open access article distributed under the terms and conditions of the Creative Commons Attribution (CC BY) license (https://creativecommons.org/licenses/by/4.0/).
Share and Cite
Gao, F.; Xiao, L.; Zhang, W.; Cui, W.; Zhang, Z.; Yang, E. Low Permeability Gas-Bearing Sandstone Reservoirs Characterization from Geophysical Well Logging Data: A Case Study of Pinghu Formation in KQT Region, East China Sea. Processes 2023, 11, 1030. https://doi.org/10.3390/pr11041030
Gao F, Xiao L, Zhang W, Cui W, Zhang Z, Yang E. Low Permeability Gas-Bearing Sandstone Reservoirs Characterization from Geophysical Well Logging Data: A Case Study of Pinghu Formation in KQT Region, East China Sea. Processes. 2023; 11(4):1030. https://doi.org/10.3390/pr11041030
Chicago/Turabian StyleGao, Feiming, Liang Xiao, Wei Zhang, Weiping Cui, Zhiqiang Zhang, and Erheng Yang. 2023. "Low Permeability Gas-Bearing Sandstone Reservoirs Characterization from Geophysical Well Logging Data: A Case Study of Pinghu Formation in KQT Region, East China Sea" Processes 11, no. 4: 1030. https://doi.org/10.3390/pr11041030
APA StyleGao, F., Xiao, L., Zhang, W., Cui, W., Zhang, Z., & Yang, E. (2023). Low Permeability Gas-Bearing Sandstone Reservoirs Characterization from Geophysical Well Logging Data: A Case Study of Pinghu Formation in KQT Region, East China Sea. Processes, 11(4), 1030. https://doi.org/10.3390/pr11041030

