Microstructure, Wear Resistance and Corrosion Performance of Inconel 625 Layer Fabricated by Laser/Ultra-High Frequency (UHF) Induction Hybrid Deposition
Abstract
1. Introduction
2. Experiment and Analysis Method
2.1. Experimental Platform and Deposition Process
2.2. Microstructure Analysis Method
2.3. Wear Resistance Test
2.4. Corrosion Resistance Test
3. Results and Analysis
3.1. Microstructure Analysis
3.2. Wear Resistance
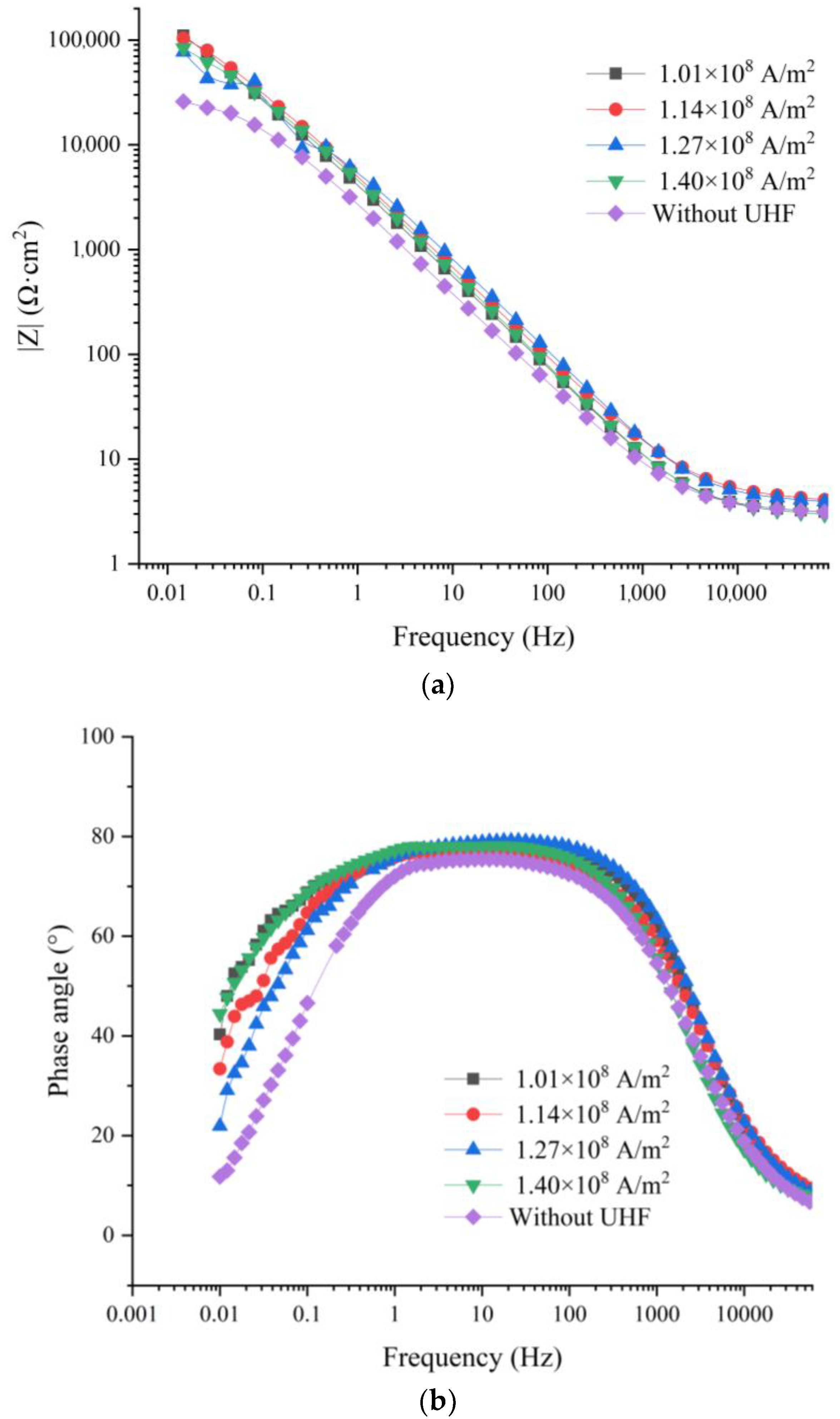
3.3. Corrosion Resistance
4. Conclusions
Author Contributions
Funding
Institutional Review Board Statement
Informed Consent Statement
Data Availability Statement
Conflicts of Interest
References
- Rahman Rashid, R.A.; Barr, C.J.; Palanisamy, S.; Nazari, K.A.; Orchowski, N.; Matthews, N.; Dargusch, M.S. Effect of clad orientation on the mechanical properties of laser-clad repaired ultra-high strength 300 M steel. Surf. Coat. Tech. 2019, 380, 125090. [Google Scholar] [CrossRef]
- Cailloux, T.; Pacquentin, W.; Narasimalu, S.; Belnou, F.; Schuster, F.; Maskrot, H.; Wang, C.C.; Zhou, K.; Balbaud-Celerier, F. Influence of trapezoidal groove geometry on the microstructure and mechanical properties of stainless steel 316L parts repaired by laser metal deposition. Mat. Sci. Eng. A-Struct. 2022, 859, 144218. [Google Scholar] [CrossRef]
- Zhu, S.C.; Chen, W.L.; Zhan, X.H.; Ding, L.P.; Zhou, J.J. Parameter optimisation of laser cladding repair for an Invar alloy mould. P. I. Mech. Eng. B-J. Eng. 2019, 233, 1859–1871. [Google Scholar] [CrossRef]
- Segerstark, A.; Andersson, J.; Svensson, L.E.; Ojo, O. Effect of process parameters on the crack formation in laser metal powder deposition of alloy 718. Metall. Mater. Trans. A 2018, 49, 5042–5050. [Google Scholar] [CrossRef]
- Gao, Z.N.; Wang, L.L.; Wang, Y.N.; Lyu, F.Y.; Zhan, X.H. Crack defects and formation mechanism of FeCoCrNi high entropy alloy coating on TC4 titanium alloy prepared by laser cladding. J. Alloys Compd. 2022, 903, 163905. [Google Scholar] [CrossRef]
- Sadhu, A.; Choudhary, A.; Sarkar, S.; Nair, A.M.; Nayak, P.; Pawar, S.D.; Muvvala, G.; Pal, S.K. A study on the influence of substrate pre-heating onmitigation of cracks in direct metal laser deposition of NiCrSiBC-60%WC ceramic coatingon Inconel 718. Surf. Coat. Tech. 2020, 389, 125646. [Google Scholar] [CrossRef]
- Zhou, S.F.; Dai, X.Q. Laser induction hybrid rapid cladding of WC particles reinforced NiCrBSi composite coatings. Appl. Surf. Sci. 2010, 256, 4708–4714. [Google Scholar] [CrossRef]
- Huang, Y.J.; Zeng, X.Y. Investigation on cracking behavior of Ni-based coating by laser-induction hybrid cladding. Appl. Surf. Sci. 2010, 256, 5985–5992. [Google Scholar] [CrossRef]
- Farahmand, P.; Kovacevic, R. Laser cladding assisted with an induction heater (LCAIH) of Ni-60%WC coating. J. Mater. Process Tech. 2015, 222, 244–258. [Google Scholar] [CrossRef]
- Dalaee, M.T.; Gloor, L.; Leinenbach, C.; Wegener, K. Experimental and numerical study of the influence of induction heating process on build rates induction heating-assisted laser direct metal deposition (IH-DMD). Surf. Coat. Tech. 2020, 384, 125275. [Google Scholar] [CrossRef]
- Meng, L.; Zhao, W.F.; Hou, K.L.; Kou, D.H.; Yuan, Z.H.; Zhang, X.; Xu, J.L.; Hu, Q.W.; Wang, D.Z.; Zeng, X.Y. A comparison of microstructure and mechanical properties of laser cladding and laser-induction hybrid cladding coatings on full-scale. Mat. Sci. Eng. A-Struct. 2019, 748, 1–15. [Google Scholar] [CrossRef]
- Wang, X.Y.; Zhou, S.F.; Dai, X.Q.; Lei, J.B.; Guo, J.B.; Gu, Z.J.; Wang, T. Evaluation and mechanisms on heat damage of WC particles in Ni60/WC composite coatings by laser induction hybrid cladding. Int. J. Refract. Met. H 2017, 64, 234–241. [Google Scholar] [CrossRef]
- Zhou, S.F.; Lei, J.B.; Dai, X.Q.; Guo, J.B.; Gu, Z.J.; Pan, H.B. A comparative study of the structure and wear resistance of NiCrBSi/50wt.% WC composite coatings by laser cladding and laser induction hybrid cladding. Int. J. Refract. Met. H 2016, 60, 17–27. [Google Scholar] [CrossRef]
- Lu, L.L.; Zhang, S.M.; Xu, J.; He, H.J.; Zhao, X.M. Numerical study of titanium melting by high frequency inductive heating. Int. J. Heat Mass. Tran. 2017, 108, 2021–2028. [Google Scholar] [CrossRef]
- Li, Q.L.; Su, H.H.; Xu, J.H.; Lei, W.N. Interfacial Microstructure and Residual Stress of Continuously Brazed Diamond with Ag-Cu-Ti Alloy Using Ultra-high Frequency Induction. Rare Metal Mat. Eng. 2017, 45, 3250–3254. [Google Scholar]
- Huang, C.Y.; Lin, Y.C.; Chen, H.M.; Chen, Y.C. Rapid welding of stainless steel wires using ultra-high frequency induction heating. J. Chin. Inst. Eng. 2013, 36, 806–809. [Google Scholar] [CrossRef]
- Altintas, A.; Cavdar, U.; Kusoglu, I.M. The Effect of Graphene Nanoplatelets on the Wear Properties of High-Frequency Induction Sintered Alumina Nanocomposites. J. Inorc. Organomet. P. 2019, 29, 667–675. [Google Scholar] [CrossRef]
- Bai, X.W.; Hai, H.O.; Zhou, X.M.; Wang, G.L. Electromagneto-fluid Coupling Simulation of Arc Rapid Prototyping Process with External High-frequency Magnetic Field. J. Mech. Eng. 2016, 52, 60–66. [Google Scholar] [CrossRef]
- Meng, X.M.; Bachmann, M.; Artinov, A.; Rethmeier, M. Experimental and numerical assessment of weld pool behavior and final microstructure in wire feed laser beam welding with electromagnetic stirring. J. Manuf. Process. 2019, 45, 408–418. [Google Scholar] [CrossRef]
- Liu, F.C.; Cheng, H.M.; Yu, X.B.; Yang, G.; Huang, C.P.; Lin, X.; Chen, J. Control of microstructure and mechanical properties of laser solid formed Inconel 718 superalloy by electromagnetic stirring. Opt. Laser Technol. 2018, 99, 342–350. [Google Scholar] [CrossRef]
- Wang, Z.D.; Zhou, H.M.; Chen, Z.X.; Zhu, Y.X.; He, F.J.; Xiang, N.X.; Wang, Y.H. Study on the effect of electromagnetic field on the segregation and structural property of Ni60 cladding layer. Optik 2023, 272, 170279. [Google Scholar] [CrossRef]
- Hao, J.B.; Hu, F.T.; Le, X.W.; Liu, H.; Yang, H.F.; Han, J. Microstructure and high-temperature wear behaviour of Inconel 625 multi-layer cladding prepared on H13 mould steel by a hybrid additive manufacturing method. J. Mater. Process Tech. 2021, 291, 117036. [Google Scholar] [CrossRef]
- Ramkumar, K.D.; Mulimani, S.S.; Ankit, K.; Kothari, A.; Ganguly, S. Effect of grain boundary precipitation on the mechanical integrity of EBW joints of Inconel 625. Mat. Sci. Eng. A-Struct. 2021, 808, 140926. [Google Scholar] [CrossRef]
- Sarswat, P.; Smith, T.; Sarkar, S.; Murali, A.; Free, M. Design and Fabrication of New High Entropy Alloys for Evaluating Titanium Replacements in Additive Manufacturing. Materials 2020, 13, 3001. [Google Scholar] [CrossRef]
- Poloczek, T.; Lont, A.; Gorka, J. The Structure and Properties of Laser-Cladded Inconel 625/TiC Composite Coatings. Materials 2023, 16, 1265. [Google Scholar] [CrossRef] [PubMed]
- Rezayat, M.; Sani, A.A.; Noghani, M.T.; Yazdi, M.S.; Taheri, M.; Moghanian, A.; Mohammadi, M.A.; Moradi, M.; Garcia, A.M.M.; Besharatloo, H. Effect of Lateral Laser-Cladding Process on the Corrosion Performance of Inconel 625. Metals 2023, 13, 367. [Google Scholar] [CrossRef]
- Sarswat, K.P.; Sarkar, S.; Murali, A.; Huang, W.K.; Tan, W.D.; Free, M.L. Design, fabrication and evaluation of Fe-Mn-Mo-Zr-Ti-V-B type additive manufactured mixed metal boride ceramics. Appl. Surf. Sci. Adv. 2022, 9, 100247. [Google Scholar] [CrossRef]
- Jiang, D.; Cui, H.Z.; Chen, H.; Song, X.J.; Zhao, X.F.; Xie, J.C.; Ma, G.L. Wear and corrosion resistance improvement of (CoCrNi)72−xB18Si10Nbx coatings obtained by laser cladding: Role of Nb concentration. Mater. Today. Commun. 2022, 34, 105057. [Google Scholar] [CrossRef]
- Osorio, W.R.; Peixoto, L.C.; Moutinho, D.J.; Gomes, L.G.; Ferreira, I.L.; Garcia, A. Corrosion resistance of directionally solidified Al-6Cu-1Si and Al-8Cu-3Si alloys castings. Mater. Design. 2011, 32, 3832–3837. [Google Scholar] [CrossRef]



















| Materials | Ni | Cr | Si | Mo | Mn | Nb | Co | C | S | P | Fe |
|---|---|---|---|---|---|---|---|---|---|---|---|
| Inconel 625 | ≥58 | 20.0–23.0 | ≤0.5 | 8.0–10.0 | ≤0.5 | 3.15–4.15 | ≤1.0 | ≤0.015 | ≤0.008 | ≤0.024 | Bal. |
| 316L | 10.0–14.0 | 16.0–18.0 | ≤1.0 | 2.0–3.0 | ≤2.0 | – | – | ≤0.03 | ≤0.03 | ≤0.045 | Bal. |
| Case | Laser Power P (W) | Laser Beam Diameter d (mm) | Powder Flow Rate m (g/min) | Current Frequency f (kHz) | Current Density I (A/m2) | Moving Velocity vs (mm/s) |
|---|---|---|---|---|---|---|
| 1 | 700 | 1 | 5 | 850 | 1.01 × 108 | 6 |
| 2 | 1.14 × 108 | |||||
| 3 | 1.27 × 108 | |||||
| 4 | 1.40 × 108 | |||||
| 5 | - | - |
| Current Density (A/m2) | Ecorr (mV) | Icorr (mA·cm−2) | Eb (mV) |
|---|---|---|---|
| 1.01 × 108 | −359 | 1.61 × 10−3 | 548 |
| 1.14 × 108 | −365 | 9.24 × 10−3 | 585 |
| 1.27 × 108 | −394 | 1.09 × 10−3 | 353 |
| 1.40 × 108 | −363 | 1.48 × 10−4 | 382 |
| Without UHF | −387 | 2.03 × 10−2 | 277 |
| Current Density (A/m2) | Rs (Ω·cm2) | Rf (Ω·cm2) | Rct (Ω·cm2) | CPE1 (F/cm2) | n1 | CPE2 (F/cm2) | n2 |
|---|---|---|---|---|---|---|---|
| 1.01 × 108 | 1.839 | 1.54 × 104 | 2.77 × 104 | 3.39 × 10−4 | 0.7261 | 1.57 × 10−3 | 0.7367 |
| 1.14 × 108 | 2.730 | 1.58 × 104 | 7.23 × 103 | 3.50 × 10−4 | 0.8017 | 1.74 × 10−4 | 0.7903 |
| 1.27 × 108 | 2.777 | 1.85 × 104 | 5.03 × 102 | 2.47 × 10−4 | 0.7411 | 5.45 × 10−4 | 0.7572 |
| 1.40 × 108 | 1.848 | 5.99 × 103 | 3.57 × 104 | 5.51 × 10−4 | 0.9358 | 3.06 × 10−4 | 0.7141 |
| Without UHF | 1.878 | 1.45 × 104 | 1.48 × 103 | 1.40 × 10−4 | 0.8005 | 1.69 × 10−2 | 0.6674 |
Disclaimer/Publisher’s Note: The statements, opinions and data contained in all publications are solely those of the individual author(s) and contributor(s) and not of MDPI and/or the editor(s). MDPI and/or the editor(s) disclaim responsibility for any injury to people or property resulting from any ideas, methods, instructions or products referred to in the content. |
© 2023 by the authors. Licensee MDPI, Basel, Switzerland. This article is an open access article distributed under the terms and conditions of the Creative Commons Attribution (CC BY) license (https://creativecommons.org/licenses/by/4.0/).
Share and Cite
Sun, R.; Qiao, Y.; Li, X.; Shi, Y.; Wang, X. Microstructure, Wear Resistance and Corrosion Performance of Inconel 625 Layer Fabricated by Laser/Ultra-High Frequency (UHF) Induction Hybrid Deposition. Processes 2023, 11, 1118. https://doi.org/10.3390/pr11041118
Sun R, Qiao Y, Li X, Shi Y, Wang X. Microstructure, Wear Resistance and Corrosion Performance of Inconel 625 Layer Fabricated by Laser/Ultra-High Frequency (UHF) Induction Hybrid Deposition. Processes. 2023; 11(4):1118. https://doi.org/10.3390/pr11041118
Chicago/Turabian StyleSun, Rui, Yuhang Qiao, Xinhong Li, Yongjun Shi, and Xiaogang Wang. 2023. "Microstructure, Wear Resistance and Corrosion Performance of Inconel 625 Layer Fabricated by Laser/Ultra-High Frequency (UHF) Induction Hybrid Deposition" Processes 11, no. 4: 1118. https://doi.org/10.3390/pr11041118
APA StyleSun, R., Qiao, Y., Li, X., Shi, Y., & Wang, X. (2023). Microstructure, Wear Resistance and Corrosion Performance of Inconel 625 Layer Fabricated by Laser/Ultra-High Frequency (UHF) Induction Hybrid Deposition. Processes, 11(4), 1118. https://doi.org/10.3390/pr11041118
