Effect of UV-C Irradiation and High Hydrostatic Pressure on Microbiological, Chemical, Physical and Sensory Properties of Fresh-Cut Potatoes
Abstract
1. Introduction
2. Materials and Methods
2.1. Chemicals and Standards
2.2. Plant Material, Fresh-Cut Sample Preparation and Further Handling
2.3. UV-C, HHP, and Combined UV-C/HHP Treatment
2.4. Microbiological Analysis
2.5. Determination of Total Solids, Total Soluble Solids, and pH
2.6. Firmness Analysis
2.7. Color Analysis
2.8. Cooking Treatments
2.9. Analysis of Phenolics
2.9.1. Extraction of Phenolics
2.9.2. UPLC MS2 Analysis of Phenolics
2.10. Sugar Analyses
2.10.1. Extraction of Sugars
2.10.2. HPLC Analysis of Sugars
2.11. Acrylamide Analysis
2.11.1. Extraction of Acrylamide
2.11.2. UPLC MS2 Analysis of Acrylamide
2.12. Polycyclic Aromatic Hydrocarbons (PAH) Analysis
2.13. Sensory Monitoring
2.14. Statistical Analysis
3. Results and Discussion
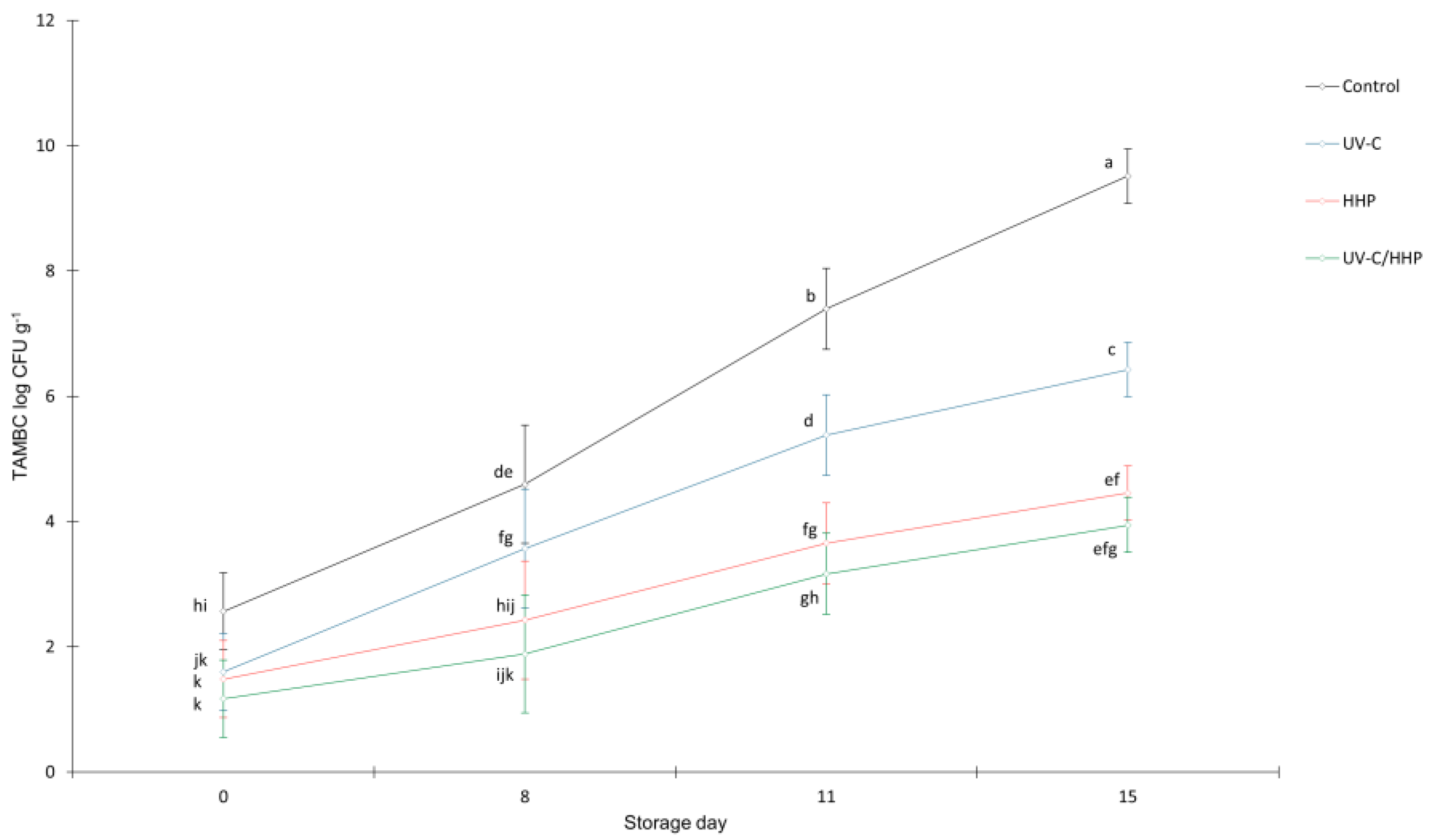
3.1. Microbiological Analysis
3.2. TS, TSS, pH, and Firmness Analysis
3.3. Color Analysis
3.4. Chlorogenic Acid Analysis
3.5. Sugars Analysis
3.6. Acrylamide Analysis
3.7. PAH Content
3.8. Results of PCA Analysis of Sensory Data in Relation to UV-C, HHP, and UV-C/HHP Treatment and Storage Time
4. Conclusions
Author Contributions
Funding
Data Availability Statement
Conflicts of Interest
References
- Pelaic, Z.; Cosic, Z.; Repajic, M.; Pedisic, S.; Zoric, Z.; Scetar, M.; Galic, K.; Levaj, B. Effect of UV-C Irradiation on the Shelf Life of Fresh-Cut Potato and Its Sensory Properties after Cooking. Food Technol. Biotechnol. 2022, 60, 166–177. [Google Scholar] [CrossRef] [PubMed]
 - Manzocco, L.; Da Pieve, S.; Maifreni, M. Impact of UV-C light on safety and quality of fresh-cut melon. Innov. Food Sci. Emerg. 2011, 12, 13–17. [Google Scholar] [CrossRef]
 - Tsikrika, K.; Walsh, D.; Joseph, A.; Burgess, C.M.; Rai, D.K. High-Pressure Processing and Ultrasonication of Minimally Processed Potatoes: Effect on the Colour, Microbial Counts, and Bioactive Compounds. Molecules 2021, 26, 2614. [Google Scholar] [CrossRef] [PubMed]
 - Čošić, Z.; Pelaić, Z.; Repajić, M.; Pedisić, S.; Zorić, Z.; Levaj, B. Effect of uv-c irradiation on microbial load and phenolic content of potato tubers and slices. Carpathian J. Food Sci. Technol. 2021, 13, 25–32. [Google Scholar] [CrossRef]
 - Levaj, B.; Ljubas, A.; Čošić, Z.; Pelaić, Z.; Dujmić, F.; Repajić, M. Effect of the high hydrostatic pressure on the quality and shelf-life of fresh-cut potato. In Proceedings of the 18th Ružička Days “Today Science—Tomorrow Industry”, Vukovar, Croatia, 16–18 September 2020. [Google Scholar]
 - Livneh, Z.; Cohenfix, O.; Skaliter, R.; Elizur, T. Replication of Damaged DNA and the Molecular Mechanism of Ultraviolet-Light Mutagenesis. Crit. Rev. Biochem. Mol. 1993, 28, 465–513. [Google Scholar] [CrossRef] [PubMed]
 - Bintsis, T.; Litopoulou-Tzanetaki, E.; Robinson, R.K. Existing and potential applications of ultraviolet light in the food industry—A critical review. J. Sci. Food Agr. 2000, 80, 637–645. [Google Scholar] [CrossRef]
 - Allende, A.; Artés, F. Combined ultraviolet-C and modified atmosphere packaging treatments for reducing microbial growth of fresh processed lettuce. LWT Food Sci. Technol. 2003, 36, 779–786. [Google Scholar] [CrossRef]
 - Aganovic, K.; Hertel, C.; Vogel, R.F.; Johne, R.; Schluter, O.; Schwarzenbolz, U.; Jager, H.; Holzhauser, T.; Bergmair, J.; Roth, A.; et al. Aspects of high hydrostatic pressure food processing: Perspectives on technology and food safety. Compr. Rev. Food Sci. F 2021, 20, 3225–3266. [Google Scholar] [CrossRef]
 - Niven, G.W.; Miles, C.A.; Mackey, B.M. The effects of hydrostatic pressure on ribosome conformation in Escherichia coli: An in vivo study using differential scanning calorimetry. Microbiol-Sgm 1999, 145, 419–425. [Google Scholar] [CrossRef]
 - Gardner, D.W.M.; Shama, G. The kinetics of Bacillus subtilis spore inactivation on filter paper by uv light and uv light in combination with hydrogen peroxide. J. Appl. Microbiol. 1998, 84, 633–641. [Google Scholar] [CrossRef]
 - Alvarez-Ordóñez, A.; Bolton, D.; Bover-Cid, S.; Chemaly, M.; Davies, R.; Cesare, A.; Herman, L.; Hilbert, F.; Lindqvist, R.; Nauta, M.; et al. The efficacy and safety of high-pressure processing of food. EFSA J. 2022, 20, e07128. [Google Scholar] [CrossRef]
 - Guerrero-Beltrán, J.A.; Barbosa-Cánovas, G.V.; Swanson, B.G. High Hydrostatic Pressure Processing of Fruit and Vegetable Products. Food Rev. Int. 2005, 21, 411–425. [Google Scholar] [CrossRef]
 - Nicolaus, R.A.; Piattelli, M.; Fattorusso, E. Structure of Melanins + Melanogenesis. 4. On Some Natural Melanins. Tetrahedron 1964, 20, 1163–1172. [Google Scholar] [CrossRef]
 - Glagoleva, A.Y.; Shoeva, O.Y.; Khlestkina, E.K. Melanin Pigment in Plants: Current Knowledge and Future Perspectives. Front. Plant Sci. 2020, 11, 770. [Google Scholar] [CrossRef] [PubMed]
 - Deußer, H.; Guignard, C.; Hoffmann, L.; Evers, D. Polyphenol and glycoalkaloid contents in potato cultivars grown in Luxembourg. Food Chem. 2012, 135, 2814–2824. [Google Scholar] [CrossRef]
 - Akyol, H.; Riciputi, Y.; Capanoglu, E.; Caboni, M.F.; Verardo, V. Phenolic Compounds in the Potato and Its Byproducts: An Overview. Int. J. Mol. Sci. 2016, 17, 835. [Google Scholar] [CrossRef]
 - Manach, C.; Scalbert, A.; Morand, C.; Remesy, C.; Jimenez, L. Polyphenols: Food sources and bioavailability. Am. J. Clin. Nutr. 2004, 79, 727–747. [Google Scholar] [CrossRef]
 - Plazas, M.; Prohens, J.; Cunat, A.N.; Vilanova, S.; Gramazio, P.; Herraiz, F.J.; Andujar, I. Reducing Capacity, Chlorogenic Acid Content and Biological Activity in a Collection of Scarlet (Solanum aethiopicum) and Gboma (S. macrocarpon) Eggplants. Int. J. Mol. Sci. 2014, 15, 17221–17241. [Google Scholar] [CrossRef]
 - Andre, C.M.; Schafleitner, R.; Guignard, C.; Oufir, M.; Aliaga, C.A.A.; Nomberto, G.; Hoffmann, L.; Hausman, J.F.; Evers, D.; Larondelle, Y. Modification of the Health-Promoting Value of Potato Tubers Field Grown under Drought Stress: Emphasis on Dietary Antioxidant and Glycoalkaloid Contents in Five Native Andean Cultivars (Solanum tuberosum L.). J. Agr. Food Chem. 2009, 57, 599–609. [Google Scholar] [CrossRef]
 - Pelaic, Z.; Cosic, Z.; Pedisic, S.; Repajic, M.; Zoric, Z.; Levaj, B. Effect of UV-C Irradiation, Storage and Subsequent Cooking on Chemical Constituents of Fresh-Cut Potatoes. Foods 2021, 10, 1698. [Google Scholar] [CrossRef]
 - European Commission. Commission Regulation (EU), 2017/2158 of 20 November 2017 establishing mitigation measures and benchmark levels for the reduction of the presence of acrylamide in food. Off. J. Eur. Union 2017, 304, 24–44. [Google Scholar]
 - Sobol, Z.; Jakubowski, T.; Surma, M. Effect of Potato Tuber Exposure to UV-C Radiation and Semi-Product Soaking in Water on Acrylamide Content in French Fries Dry Matter. Sustainability 2020, 12, 3426. [Google Scholar] [CrossRef]
 - Dourado, C.; Pinto, C.A.; Cunha, S.C.; Casal, S.; Saraiva, J.A. A novel strategy of acrylamide mitigation in fried potatoes using asparaginase and high pressure technology. Innov. Food Sci. Emerg. Technol. 2020, 60, 102310. [Google Scholar] [CrossRef]
 - Sampaio, G.R.; Guizellini, G.M.; da Silva, S.A.; de Almeida, A.P.; Pinaffi-Langley, A.C.C.; Rogero, M.M.; de Camargo, A.C.; Torres, E. Polycyclic Aromatic Hydrocarbons in Foods: Biological Effects, Legislation, Occurrence, Analytical Methods, and Strategies to Reduce Their Formation. Int. J. Mol. Sci. 2021, 22, 6010. [Google Scholar] [CrossRef] [PubMed]
 - Balbino, S.; Repajic, M.; Solaric, T.; Hunjek, D.D.; Skevin, D.; Kraljic, K.; Obranovic, M.; Levaj, B. Oil Uptake and Polycyclic Aromatic Hydrocarbons (PAH) in Fried Fresh-Cut Potato: Effect of Cultivar, Anti-Browning Treatment and Storage Conditions. Agronomy-Basel 2020, 10, 1773. [Google Scholar] [CrossRef]
 - European Commission. Commission Regulation (EU), 835/2011 of 19 August 2011 amending Regulation (EC) No 1881/2006 as regards maximum levels for polycyclic aromatic hydrocarbons in foodstuffs. Off. J. Eur. Union 2011, 54, L215/4-8. [Google Scholar]
 - Procaccini, L.M.G.; Mu, T.H.; Sun, H.N. Effect of innovative food processing technologies on microbiological quality, colour and texture of fresh-cut potato during storage. Int. J. Food Sci. Technol. 2022, 57, 898–907. [Google Scholar] [CrossRef]
 - Eshtiaghi, M.N.; Knorr, D. Potato Cubes Response to Water Blanching and High Hydrostatic-Pressure. J. Food Sci. 1993, 58, 1371–1374. [Google Scholar] [CrossRef]
 - Dite Hunjek, D.; Pranjic, T.; Repajic, M.; Levaj, B. Fresh-cut potato quality and sensory: Effect of cultivar, age, processing, and cooking during storage. J. Food Sci. 2020, 85, 2296–2309. [Google Scholar] [CrossRef]
 - Dite Hunjek, D.; Pelaic, Z.; Cosic, Z.; Pedisic, S.; Repajic, M.; Levaj, B. Chemical constituents of fresh-cut potato as affected by cultivar, age, storage, and cooking. J. Food Sci. 2021, 86, 1656–1671. [Google Scholar] [CrossRef]
 - HRN EN ISO 4833-1:2013; Microbiology of the Food Chain—Horizontal Method for the Enumeration of Microorgan Isms—Part 1: Colony Count at 30 °C by the Pour Plate Technique. Croatian Standards Institute: Zagreb, Croatia, 2013. (In Croatian)
 - Elez Garofulic, I.; Zoric, Z.; Pedisic, S.; Brncic, M.; Dragovic-Uzelac, V. UPLC-MS(2) Profiling of Blackthorn Flower Polyphenols Isolated by Ultrasound-Assisted Extraction. J. Food Sci. 2018, 83, 2782–2789. [Google Scholar] [CrossRef] [PubMed]
 - ISO 6564:1985; Sensory Analysis-Methodology—Flavour Profile Methods. International Organization for Standardization (ISO): Geneva, Switzerland, 1985.
 - ISO 8589:2007; Sensory Analysis—General Guidance for the Design of Test Rooms. International Organization for Standardization (ISO): Geneva, Switzerland, 2007.
 - Fonseca, J.M.; Rushing, J.W. Effect of ultraviolet-C light on quality and microbial population of fresh-cut watermelon. Postharvest Biol. Technol. 2006, 40, 256–261. [Google Scholar] [CrossRef]
 - Commission Regulation (EC). No 2073/2005 of 15 November 2005 on microbiological criteria for foodstuffs (Text with EEA relevance). Off. J. EU 2005, 338, 1–32. Available online: https://eur-lex.europa.eu/legal-content/EN/TX-T/?uri=CELEX%3A02005R2073-20200308 (accessed on 16 January 2023).
 - Commission Regulation (EU). No 1441/2007 of 5 December 2007 amending Regulation (EC) No 2073/2005 on microbi-ological criteria for foodstuffs. Off. J. EU 2007, 322, 12–29. Available online: https://eur-lex.europa.eu/legal-content/EN/ALL/?uri=CELEX:32007R1441 (accessed on 16 January 2023).
 - Guidelines for Assessing the Microbiological Safety of Ready-to-Eat Foods; Health Protection Agency: London, UK, 2009; Available online: https://www.hah.hr/wp-content/up¬loads/2015/09/HPA-vodic-za-procjenu-mkb-sigurnosti-RTE-proizvoda.pdf (accessed on 16 January 2023). (In Croatian)
 - Janowicz, M.; Lenart, A. The impact of high pressure and drying processing on internal structure and quality of fruit. Eur. Food Res. Technol. 2018, 244, 1329–1340. [Google Scholar] [CrossRef]
 - Sopanangkul, A.; Ledward, D.; Niranjan, K. Mass Transfer During Sucrose Infusion into Potatoes under High Pressure. J. Food Sci. 2002, 67, 2217–2220. [Google Scholar] [CrossRef]
 - Tsikrika, K.; O’Brien, N.; Rai, D. The Effect of High Pressure Processing on Polyphenol Oxidase Activity, Phytochemicals and Proximate Composition of Irish Potato Cultivars. Foods 2019, 8, 517. [Google Scholar] [CrossRef]
 - Oliveira, M.M.d.; Tribst, A.A.L.; Leite Júnior, B.R.d.C.; Oliveira, R.A.d.; Cristianini, M. Effects of high pressure processing on cocoyam, Peruvian carrot, and sweet potato: Changes in microstructure, physical characteristics, starch, and drying rate. Innov. Food Sci. Emerg. Technol. 2015, 31, 45–53. [Google Scholar] [CrossRef]
 - Rastogi, N.; Niranjan, K. Enhanced Mass Transfer During Osmotic Dehydration of High Pressure Treated Pineapple. J. Food Sci. 2008, 63, 508–511. [Google Scholar] [CrossRef]
 - Iturralde-García, R.D.; Cinco-Moroyoqui, F.J.; Martínez-Cruz, O.; Ruiz-Cruz, S.; Wong-Corral, F.J.; Borboa-Flores, J.; Cornejo-Ramírez, Y.I.; Bernal-Mercado, A.T.; Del-Toro-Sánchez, C.L. Emerging Technologies for Prolonging Fresh-Cut Fruits’ Quality and Safety during Storage. Horticulturae 2022, 8, 731. [Google Scholar] [CrossRef]
 - Lu, J.Y.; Stevens, C.; Khan, V.A.; Kabwe, M.; Wilson, C.L. The effect of ultraviolet irradiation on shelf-life and ripening of peaches and apples. J. Food Quality 1991, 14, 299–305. [Google Scholar] [CrossRef]
 - Wang, R.; Wang, T.; Zheng, Q.; Hu, X.; Zhang, Y.; Liao, X. Effects of high hydrostatic pressure on color of spinach purée and related properties. J. Sci. Food Agric. 2012, 92, 1417–1423. [Google Scholar] [CrossRef] [PubMed]
 - Rocha, A.; Coulon, E.; Morais, A.M.M.B. Effects of vacuum packaging on the physical quality of minimally processed potatoes. Food Serv. Technol. 2003, 3, 81–88. [Google Scholar] [CrossRef]
 - Soliva-Fortuny, R.; Grigelmo, N.; Hernando, I.; Lluch, M.; Martin-Belloso, O. Effect of minimal processing on the textural and structural properties of fresh-cut pears. J. Sci. Food Agr. 2002, 82, 1682–1688. [Google Scholar] [CrossRef]
 - Hunjek, D.; Repajić, M.; Scetar, M.; Karlović, S.; Vahcić, N.; Ježek, D.; Galić, K.; Levaj, B. Effect of anti-browning agents and package atmosphere on the quality and sensory of fresh-cut Birgit and Lady Claire potato during storage at different temperatures. J. Food Process. Preserv. 2020, 44, e14391. [Google Scholar] [CrossRef]
 - Oey, I.; Lille, M.; Van Loey, A.; Hendrickx, M. Effect of high-pressure processing on colour, texture and flavour of fruit and vegetable based food products: A review. Trends Food Sci. Technol. 2008, 19, 320–328. [Google Scholar] [CrossRef]
 - MacDougall, D.B. Colour measurement of food: Principles and practice. In Colour in Food, Improving Quality; MacDougall, D.B., Ed.; Woodhead PublishingLimited: Cambridge, UK, 2002; p. 33e63. [Google Scholar]
 - Sánchez-Moreno, C.; Plaza, L.; De Ancos, B.; Cano, M.P. Impact of high-pressure and traditional thermal processing of tomato purée on carotenoids, vitamin C and antioxidant activity. J. Sci. Food Agr. 2006, 86, 171–179. [Google Scholar] [CrossRef]
 - Zhou, C.-L.; Liu, W.; Zhao, J.; Yuan, C.; Song, Y.; Chen, D.; Ni, Y.-Y.; Li, Q.-H. The effect of high hydrostatic pressure on the microbiological quality and physical–chemical characteristics of Pumpkin (Cucurbita maxima Duch.) during refrigerated storage. Innov. Food Sci. Emerg. Technol. 2014, 21, 24–34. [Google Scholar] [CrossRef]
 - The European Cultivated Potato Database; Scottish Agricultural Science Agency: Edinburgh, Scotland, UK; Available online: https://www.europotato.org/varieties/view/Bir¬git-E/ (accessed on 12 December 2022).
 - Teoh, L.S.; Lasekan, O.; Adzahan, N.M.; Hashim, N. The effect of ultraviolet treatment on enzymatic activity and total phenolic content of minimally processed potato slices. J. Food Sci. and Technol. 2016, 53, 3035–3042. [Google Scholar] [CrossRef]
 - Jeż, M.; Wiczkowski, W.; Zielińska, D.; Białobrzewski, I.; Błaszczak, W. The impact of high pressure processing on the phenolic profile, hydrophilic antioxidant and reducing capacity of purée obtained from commercial tomato varieties. Food Chem. 2018, 261, 201–209. [Google Scholar] [CrossRef]
 - Torres-Contreras, A.M.; Jacobo-Velázquez, D.A. Effects of Wounding Stress and Storage Temperature on the Accumulation of Chlorogenic Acid Isomers in Potatoes (Solanum tuberosum). Appl. Sci. 2021, 11, 8891. [Google Scholar] [CrossRef]
 - Ramamurthy, M.S.; Maiti, B.; Thomas, P.; Nair, P.M. High-performance liquid chromatographic determination of phenolic acids in potato tubers (Solanum tuberosum) wound healing. J. Agric. Food Chem. 1992, 40, 569–572. [Google Scholar] [CrossRef]
 - Zhou, H.J.; Zhang, X.N.; Su, M.S.; Du, J.H.; Li, X.W.; Ye, Z.W. Effects of Ultraviolet-C Pretreatment on Sugar Metabolism in Yellow Peaches during Shelf Life. Hortscience 2020, 55, 416–423. [Google Scholar] [CrossRef]
 - Lin, Q.; Xie, Y.J.; Liu, W.; Zhang, J.; Cheng, S.Z.; Xie, X.F.; Guan, W.Q.; Wang, Z.D. UV-C treatment on physiological response of potato (Solanum tuberosum L.) during low temperature storage. J. Food Sci. Technol. Mys. 2017, 54, 55–61. [Google Scholar] [CrossRef] [PubMed]
 - Ghafoor, K.; Kim, S.O.; Lee, D.U.; Seong, K.; Park, J. Effects of high hydrostatic pressure on structure and colour of red ginseng (Panax ginseng). J. Sci. Food Agric. 2012, 92, 2975–2982. [Google Scholar] [CrossRef] [PubMed]
 - Shigematsu, T.; Furukawa, N.; Takaoka, R.; Hayashi, M.; Sasao, S.; Ueno, S.; Nakajima, K.; Kido, M.; Nomura, K.; Iguchi, A. Effect of high pressure on the saccharification of starch in the tuberous root of sweet potato (Ipomoea batatas). Biophys. Chem. 2017, 231, 105–110. [Google Scholar] [CrossRef]
 - De Wilde, T.; De Meulenaer, B.; Mestdagh, F.; Govaert, Y.; Vandeburie, S.; Ooghe, W.; Fraselle, S.; Demeulemeester, K.; Van Peteghem, C.; Calus, A.; et al. Influence of storage practices on acrylamide formation during potato frying. J. Agr. Food Chem. 2005, 53, 6550–6557. [Google Scholar] [CrossRef]
 - International Agency for Research on Cancer (IARC). Acrylamide, IARC Monographs on the Evaluation of Carcinogenic Risks to Humans, Some Industrial Chemicals. Int. Agency Res. Cancer Lyon 1994, 60, 389–433. [Google Scholar]
 - European Food Safety Authority. Scientific Opinion on Acrylamide in Food. Available online: https://efsa.onlinelibrary.wiley.com/doi/epdf/10.2903/j.efsa.2015.4104 (accessed on 25 May 2021).
 - Eldos, H.I.; Ashfaq, M.Y.; Al-Ghouti, M.A. Rapid assessment of the impact of microwave heating coupled with UV-C radiation on the degradation of PAHs from contaminated soil using FTIR and multivariate analysis. Arab. J. Chem. 2020, 13, 7609–7625. [Google Scholar] [CrossRef]
 - Salihoglu, K.; Eker Şanli, G.; Salihoglu, G.; Tasdemir, Y. Removal of Polycyclic Aromatic Hydrocarbons from Municipal Sludge Using UV Light. Desalin. Water Treat. 2012, 44, 324–333. [Google Scholar] [CrossRef]
 - Liu, B.; Chen, B.; Zhang, B.; Jing, L.; Zhang, H.; Lee, K. Photocatalytic Degradation of Polycyclic Aromatic Hydrocarbons in Offshore Produced Water: Effects of Water Matrix. J. Environ. Eng. 2016, 142, 04016054. [Google Scholar] [CrossRef]
 








| Source of Variation | TS (%)  | TSS (°Bx)  | pH | Firmness (N)  | 
|---|---|---|---|---|
| Treatment | p < 0.001 * | p < 0.001 * | p = 0.013 * | p = 0.608 | 
| Control | 25.19 ± 0.63 b | 3.90 ± 0.06 b | 5.60 ± 0.09 ab | 7.22 ± 0.28 a | 
| UV-C | 27.60 ± 0.73 ab | 4.33 ± 0.06 a | 5.50 ± 0.07 b | 7.22 ± 0.28 a | 
| HHP | 29.81 ± 0.99 a | 4.66 ± 0.06 a | 5.87 ± 0.04 a | 7.32 ± 0.28 a | 
| UV-C/HHP | 29.78 ± 0.78 a | 4.45 ± 0.06 a | 5.81 ± 0.05 ab | 6.82 ± 0.28 a | 
| Storage day | p = 0.439 | p < 0.001 * | p = 0.005 * | p = 0.959 | 
| 0 | 27.70 ± 1.24 a | 4.14 ± 0.06 b | 5.91 ± 0.04 a | 7.05 ± 0.15 a | 
| 8 | 29.23 ± 1.16 a | 4.15 ± 0.06 b | 5.71 ± 0.09 ab | 7.13 ± 0.27 a | 
| 11 | 27.87 ± 0.78 a | 4.44 ± 0.06 ab | 5.59 ± 0.06 b | 7.13 ± 0.37 a | 
| 15 | 27.58 ± 0.92 a | 4.61 ± 0.06 a | 5.57 ± 0.07 b | 7.27 ± 0.49 a | 
| Grand mean | 28.10 | 4.33 | 5.69 | 7.14 | 
| Source of Variation | L* | a* | b* | 
|---|---|---|---|
| Treatment | p < 0.001 * | p < 0.001 * | p = 0.199 | 
| Control | 62.3 ± 0.5 b | 0.37 ± 0.08 a | 31.6 ± 0.5 a | 
| UV-C | 64.3 ± 0.5 a | −0.19 ± 0.08 b | 30.9 ± 0.5 a | 
| HHP | 64.9 ± 0.5 a | 0.05 ± 0.08 b | 31.6 ± 0.5 a | 
| UV-C/HHP | 65.9 ± 0.5 a | −1.03 ± 0.08 c | 30.4 ± 0.5 a | 
| Storage day | p < 0.001 * | p < 0.001 * | p < 0.001 * | 
| 0 | 62.1 ± 0.5 b | −0.25 ± 0.08 b | 30.1 ± 0.5 b | 
| 8 | 65.3 ± 0.5 a | 0.10 ± 0.08 a | 33.2 ± 0.5 a | 
| 11 | 65.9 ± 0.5 a | −0.49 ± 0.08 b | 30.1 ± 0.5 b | 
| 15 | 64.2 ± 0.5 a | −0.17 ± 0.08 ab | 31.1 ± 0.5 ab | 
| Grand mean | 64.4 | −0.20 | 31.1 | 
| Source of Variation | Chlorogenic Acid (mg 100 g−1 DW) | Reducing Sugars (g 100 g−1 DW)  | Sucrose (g 100 g−1 DW)  | Acrylamide (µg kg−1 DW)  | 
|---|---|---|---|---|
| Treatment | p < 0.001 * | p < 0.001 * | p = 0.001 * | p < 0.001 * | 
| Control | 15.0 ± 0.2 a | 0.79 ± 0.03 c | 0.28 ± 0.03 b | 598 ± 16 c | 
| UV-C | 10.4 ± 0.2 b | 1.12 ± 0.04 b | 0.41 ± 0.02 a | 750 ± 13 b | 
| HHP | 4.1 ± 0.1 d | 1.08 ± 0.04 b | 0.39 ± 0.04 ab | 767 ± 20 b | 
| UV-C/HHP | 6.3 ± 0.4 c | 1.54 ± 0.03 a | 0.36 ± 0.01 ab | 2611 ± 43 a | 
| Storage day | p < 0.001 * | p < 0.001 * | p = 0.081 | p < 0.001 * | 
| 0 | 7.8 ± 0.4 c | 0.97 ± 0.05 b | 0.32 ± 0.03 a | 920 ± 26 b | 
| 8 | 8.3 ± 0.1 c | 1.05 ± 0.03 b | 0.35 ± 0.04 a | 1272 ± 20 a | 
| 11 | 9.4 ± 0.1 b | 1.21 ± 0.04 a | 0.37 ± 0.01 a | 1234 ± 20 a | 
| 15 | 10.3 ± 0.3 a | 1.29 ± 0.01 a | 0.40 ± 0.01 a | 1298 ± 34 a | 
| Grand mean | 8.95 | 1.13 | 0.36 | 1181 | 
Disclaimer/Publisher’s Note: The statements, opinions and data contained in all publications are solely those of the individual author(s) and contributor(s) and not of MDPI and/or the editor(s). MDPI and/or the editor(s) disclaim responsibility for any injury to people or property resulting from any ideas, methods, instructions or products referred to in the content.  | 
© 2023 by the authors. Licensee MDPI, Basel, Switzerland. This article is an open access article distributed under the terms and conditions of the Creative Commons Attribution (CC BY) license (https://creativecommons.org/licenses/by/4.0/).
Share and Cite
Pelaić, Z.; Čošić, Z.; Repajić, M.; Dujmić, F.; Balbino, S.; Levaj, B. Effect of UV-C Irradiation and High Hydrostatic Pressure on Microbiological, Chemical, Physical and Sensory Properties of Fresh-Cut Potatoes. Processes 2023, 11, 961. https://doi.org/10.3390/pr11030961
Pelaić Z, Čošić Z, Repajić M, Dujmić F, Balbino S, Levaj B. Effect of UV-C Irradiation and High Hydrostatic Pressure on Microbiological, Chemical, Physical and Sensory Properties of Fresh-Cut Potatoes. Processes. 2023; 11(3):961. https://doi.org/10.3390/pr11030961
Chicago/Turabian StylePelaić, Zdenka, Zrinka Čošić, Maja Repajić, Filip Dujmić, Sandra Balbino, and Branka Levaj. 2023. "Effect of UV-C Irradiation and High Hydrostatic Pressure on Microbiological, Chemical, Physical and Sensory Properties of Fresh-Cut Potatoes" Processes 11, no. 3: 961. https://doi.org/10.3390/pr11030961
APA StylePelaić, Z., Čošić, Z., Repajić, M., Dujmić, F., Balbino, S., & Levaj, B. (2023). Effect of UV-C Irradiation and High Hydrostatic Pressure on Microbiological, Chemical, Physical and Sensory Properties of Fresh-Cut Potatoes. Processes, 11(3), 961. https://doi.org/10.3390/pr11030961
        
