Washing Bottom Sediment for The Removal of Arsenic from Contaminated Italian Coast
Abstract
1. Introduction
2. Materials and Methods
2.1. Materials
2.2. Experimental Setup
2.3. Analytical Methods
2.4. Ecotoxicological Tests
2.5. Statistical Analysis
3. Results
3.1. Sediment Characterization and Sediment Washing
3.2. Response Surface Methodology Approach
- is the average response;
- , , and are the principal effects of the studied factors (A, B, C);
- , , and are the effects of the second-order terms;
- , , , and are the interaction effects between the factors.
3.3. Comparing the RSM and OVAT Approaches
3.4. Ecotoxicological Tests
4. Conclusions
Supplementary Materials
Author Contributions
Funding
Data Availability Statement
Conflicts of Interest
References
- Bianco, F.; Race, M.; Papirio, S.; Oleszczuk, P.; Esposito, G. Coupling of desorption of phenanthrene from marine sediments and biodegradation of the sediment washing solution in a novel biochar immobilized–cell reactor. Environ. Pollut. 2022, 308, 119621. [Google Scholar] [CrossRef]
- Perumal, K.; Antony, J.; Muthuramalingam, S. Heavy metal pollutants and their spatial distribution in surface sediments from Thondi coast, Palk Bay, South India. Environ. Sci. Eur. 2021, 33, 63. [Google Scholar] [CrossRef]
- Caldirak, H.; Kurtulus, B.; Can Canoglu, M.; Tunca, E. Assessment of Heavy Metal Contamination and Accumulation Patterns in the Coastal and Deep Sediments of Lake Salda, Turkey. Fresenius Environ. Bull. 2017, 26, 8047–8061. [Google Scholar]
- Pan, H.; Zhou, G.; Yang, R.; Cheng, Z.; Sun, B. Heavy Metals and As in Ground Water, Surface Water, and Sediments of Dexing Giant Cu-Polymetallic Ore Cluster, East China. Water 2022, 14, 352. [Google Scholar] [CrossRef]
- Manz, W.; Krebs, F.; Schipper, C.A.; Den Besten, P.J. Status of Ecotoxicological Assessment of Sediment and Dredged Material in Germany and The Netherlands with a Short Description of the Situation in Belgium, France, and Great Britain. Available online: https://sednet.org/download/DGE-Report-5-Ecotoxicology.pdf (accessed on 10 January 2022).
- Warren, E.L.; Teed, R.; Sanders, S.; Foskuhl, B.J.; McGowin, A.E. Heavy Metals, Iron, and Arsenic in Water and Sediment from a Cold Spring in Southwest Ohio. Environ. Eng. Sci. 2019, 36, 1296–1306. [Google Scholar] [CrossRef]
- Ausili, A.; Bergamin, L.; Romano, E. Environmental Status of Italian Coastal Marine Areas Affected by Long History of Contamination. Front. Environ. Sci. 2020, 8, 34. [Google Scholar] [CrossRef]
- Mulligan, C.N.; Yong, R.N.; Gibbs, B.F. An Evaluation of Technologies for the Heavy Metal Remediation of Dredged Sediments. J. Hazard. Mater. 2001, 85, 145–163. [Google Scholar] [CrossRef] [PubMed]
- Lumia, L.; Giustra, M.G.; Viviani, G.; Di Bella, G. Washing Batch Test of Contaminated Sediment: The Case of Augusta Bay (SR, Italy). Appl. Sci. 2020, 10, 473. [Google Scholar] [CrossRef]
- Cardellicchio, F. A Critical Evaluation of Washing Methods for Heavy Metal Remediation of Dredged Sediments. Procedia Environ. Sci. Eng. Manag. 2020, 7, 53–60. [Google Scholar]
- Nurchi, V.M.; Cappai, R.; Crisponi, G.; Sanna, G.; Alberti, G.; Biesuz, R.; Gama, S. Chelating Agents in Soil Remediation: A New Method for a Pragmatic Choice of the Right Chelator. Front. Chem. 2020, 8, 597400. [Google Scholar] [CrossRef] [PubMed]
- Satyro, S.; Marotta, R.; Clarizia, L.; Di Somma, I.; Vitiello, G.; Dezotti, M.; Pinto, G.; Dantas, R.F.; Andreozzi, R. Removal of EDDS and copper from waters by TiO2 photocatalysis under simulated UV–solar conditions. Chem. Eng. J. 2014, 251, 257–268. [Google Scholar] [CrossRef]
- Vandevivere, P.; Hammes, F.; Verstraete, W.; Feijtel, T.; Schowanek, D. Metal Decontamination of Soil, Sediment, and Sewage Sludge by Means of Transition Metal Chelant [S,S]-EDDS. J. Environ. Eng. 2001, 127, 802–811. [Google Scholar] [CrossRef]
- Satyro, S.; Race, M.; Marotta, R.; Dezotti, M.; Spasiano, D.; Mancini, G.; Fabbricino, M. Simulated solar photocatalytic processes for the simultaneous removal of EDDS, Cu(II), Fe(III) and Zn(II) in synthetic and real contaminated soil washing solutions. J. Environ. Chem. Eng. 2014, 2, 1969–1979. [Google Scholar] [CrossRef]
- Shinta, Y.C.; Zaman, B.; Sumiyati, S. Citric Acid and EDTA as Chelating Agents in Phytoremediation of Heavy Metal in Polluted Soil: A Review. In Proceedings of the IOP Conference Series: Earth and Environmental Science, Jakarta, Indonesia, 25–26 November 2021; IOP Publishing Ltd.: Bristol, UK, 2021; Volume 896. [Google Scholar]
- Di Palma, L.; Mecozzi, R. Heavy metals mobilization from harbour sediments using EDTA and citric acid as chelating agents. J. Hazard. Mater. 2007, 147, 768–775. [Google Scholar] [CrossRef]
- Sun, L.; Liu, H.Q.; Wei, G.X.; Wu, Z.H.; Yang, W. Removal of Heavy Metals from Contaminated Soils by Washing with Citric Acid and Subsequent Treatment of Soil-Washing Solutions. Adv. Mater. Res. 2014, 937, 646–651. [Google Scholar] [CrossRef]
- Quici, N.; Morgada, M.E.; Gettar, R.T.; Bolte, M.; Litter, M.I. Photocatalytic degradation of citric acid under different conditions: TiO2 heterogeneous photocatalysis against homogeneous photolytic processes promoted by Fe(III) and H2O2. Appl. Catal. B Environ. 2007, 71, 117–124. [Google Scholar] [CrossRef]
- Meichtry, J.M.; Quici, N.; Mailhot, G.; Litter, M.I. Heterogeneous photocatalytic degradation of citric acid over TiO2: II. Mechanism of citric acid degradation. Appl. Catal. B Environ. 2011, 102, 555–562. [Google Scholar] [CrossRef]
- Nguyen Van, T.; Osanai, Y.; do Nguyen, H.; Kurosawa, K. Arsenic Speciation and Extraction and the Significance of Biodegradable Acid on Arsenic Removal—An Approach for Remediation of Arsenic-Contaminated Soil. Int. J. Environ. Res. Public Health 2017, 14, 990. [Google Scholar] [CrossRef]
- Race, M.; Marotta, R.; Fabbricino, M.; Pirozzi, F.; Andreozzi, R.; Cortese, L.; Giudicianni, P. Copper and zinc removal from contaminated soils through soil washing process using ethylenediaminedisuccinic acid as a chelating agent: A modeling investigation. J. Environ. Chem. Eng. 2016, 4, 2878–2891. [Google Scholar] [CrossRef]
- Guo, X.; Zhang, G.; Wei, Z.; Zhang, L.; He, Q.; Wu, Q.; Qian, T. Mixed chelators of EDTA, GLDA, and citric acid as washing agent effectively remove Cd, Zn, Pb, and Cu from soils. J. Soils Sediments 2018, 18, 835–844. [Google Scholar] [CrossRef]
- Bukhari, N.I.; Kaur, S.; Bai, S.H.; Hay, Y.K.; Bakar, A.; Majeed, A.; Kang, Y.B.; Anderson, M.J. Statistical Design of Experiments on Fabrication of Starch Nanoparticles-A Case Study for Application of Response Surface Methods (RSM). Am. Stat. 2009, 44, 1–10. [Google Scholar]
- Guo, J.; Yuan, C.; Zhao, Z.; He, Q.; Zhou, H.; Wen, M. Soil washing by biodegradable GLDA and PASP: Effects on metals removal efficiency, distribution, leachability, bioaccessibility, environmental risk and soil properties. Process. Saf. Environ. Prot. 2022, 158, 172–180. [Google Scholar] [CrossRef]
- Aydar, A.Y. Utilization of Response Surface Methodology in Optimization of Extraction of Plant Materials. In Statistical Approaches with Emphasis on Design of Experiments Applied to Chemical Processes; InTech: London, UK, 2018. [Google Scholar]
- Aveiro, P. Design of Experiments in Production Engineering; Springer International Publishing: Basel, Switzerland, 2016. [Google Scholar]
- Alman-Abad, Z.S.; Pirkharrati, H.; Asadzadeh, F.; Maleki-Kakelar, M. Application of response surface methodology for optimization of zinc elimination from a polluted soil using tartaric acid. Adsorpt. Sci. Technol. 2020, 38, 79–93. [Google Scholar] [CrossRef]
- Kumari, M.; Gupta, S.K. Response surface methodological (RSM) approach for optimizing the removal of trihalomethanes (THMs) and its precursor’s by surfactant modified magnetic nanoadsorbents (sMNP)—An endeavor to diminish probable cancer risk. Sci. Rep. 2019, 9, 18339. [Google Scholar] [CrossRef]
- Alkhatib, M.F.; Mamun, A.A.; Akbar, I. Application of response surface methodology (RSM) for optimization of color removal from POME by granular activated carbon. Int. J. Environ. Sci. Technol. 2015, 12, 1295–1302. [Google Scholar] [CrossRef]
- Muscetta, M.; Al Jitan, S.; Palmisano, G.; Andreozzi, R.; Marotta, R.; Cimino, S.; Di Somma, I. Visible light–driven photocatalytic hydrogen production using Cu2O/TiO2 composites prepared by facile mechanochemical synthesis. J. Environ. Chem. Eng. 2022, 10, 107735. [Google Scholar] [CrossRef]
- Shukla, M.; Baksi, B.; Mohanty, S.P.; Mahanty, B.; Mansi, A.; Rene, E.R.; Behera, S.K. Remediation of chromium contaminated soil by soil washing using EDTA and N-acetyl-L-cysteine as the chelating agents. Prog. Org. Coat. 2022, 165, 106704. [Google Scholar] [CrossRef]
- Dalhat Mu’azu, N.; Olusanya Olatunji, S. K-Nearest Neighbor Based Computational Intelligence and RSM Predictive Models for Extraction of Cadmium from Contaminated Soil. Ain Shams Eng. J. 2022, 14, 101944. [Google Scholar] [CrossRef]
- Guo, W.; Zhang, H.; Wang, M.; Yin, X.; Wang, Z. Arsenic Removal from Contaminated Soil Inside Non-Ferrous Metal Smelter by Washing. Soil Sediment Contam. Int. J. 2020, 29, 151–164. [Google Scholar] [CrossRef]
- Jang, M.; Hwang, J.S.; Choi, S.I.; Park, J.K. Remediation of arsenic-contaminated soils and washing effluents. Chemosphere 2005, 60, 344–354. [Google Scholar] [CrossRef]
- Lee, M.; Paik, I.S.; Do, W.; Kim, I.; Lee, Y.; Lee, S. Soil washing of As-contaminated stream sediments in the vicinity of an abandoned mine in Korea. Environ. Geochem. Health 2007, 29, 319–329. [Google Scholar] [CrossRef]
- Wei, M.; Chen, J.; Wang, X. Removal of arsenic and cadmium with sequential soil washing techniques using Na2EDTA, oxalic and phosphoric acid: Optimization conditions, removal effectiveness and ecological risks. Chemosphere 2016, 156, 252–261. [Google Scholar] [CrossRef] [PubMed]
- Im, J.; Yang, K.; Jho, E.H.; Nam, K. Effect of different soil washing solutions on bioavailability of residual arsenic in soils and soil properties. Chemosphere 2015, 138, 253–258. [Google Scholar] [CrossRef]
- Wang, Y.; Ma, F.; Zhang, Q.; Peng, C.; Wu, B.; Li, F.; Gu, Q. An evaluation of different soil washing solutions for remediating arsenic-contaminated soils. Chemosphere 2017, 173, 368–372. [Google Scholar] [CrossRef]
- Fazle Bari, A.S.M.; Lamb, D.; MacFarlane, G.R.; Rahman, M.M. Soil Washing of Arsenic from Mixed Contaminated Abandoned Mine Soils and Fate of Arsenic after Washing. Chemosphere 2022, 296, 134053. [Google Scholar] [CrossRef] [PubMed]
- Jang, M.; Hwang, J.S.; Choi, S.I. Sequential soil washing techniques using hydrochloric acid and sodium hydroxide for remediating arsenic-contaminated soils in abandoned iron-ore mines. Chemosphere 2007, 66, 8–17. [Google Scholar] [CrossRef] [PubMed]
- Cho, K.; Myung, E.; Kim, H.; Park, C.; Choi, N.; Park, C. Effect of Soil Washing Solutions on Simultaneous Removal of Heavy Metals and Arsenic from Contaminated Soil. Int. J. Environ. Res. Public Health 2020, 17, 3133. [Google Scholar] [CrossRef]
- Astm, D. 422-63. Standard Test Method for Particle-Size Analysis of Soils. Annu. Book ASTM Stand. 2007, 4, 10–16. [Google Scholar]
- Pueyo, M.; Mateu, J.; Rigol, A.; Vidal, M.; López-Sánchez, J.F.; Rauret, G. Use of the modified BCR three-step sequential extraction procedure for the study of trace element dynamics in contaminated soils. Environ. Pollut. 2008, 152, 330–341. [Google Scholar] [CrossRef]
- Grotti, M.; Soggia, F.; Ianni, C.; Magi, E.; Udisti, R. Bioavailability of trace elements in surface sediments from Kongsfjorden, Svalbard. Mar. Pollut. Bull. 2013, 77, 367–374. [Google Scholar] [CrossRef]
- Water Quality-Marine Algal Growth Inhibition Test with Skeletonema sp. and Phaeodactylum tricornutum. 2016. Available online: https://www.iso.org/standard/66657.html (accessed on 10 January 2022).
- ISO 11348-3:2007; Water Quality-Determination of the Inhibitory Effect of Water Samples on the Light Emission of Vibrio Fischeri (Luminescent Bacteria Test) Part 3: Method Using Freeze-Dried Bacteria. ISO: Geneva, Switzerland, 2008; ISBN 9780580546327.
- Dermont, G.; Bergeron, M.; Mercier, G.; Richer-LaFLèche, M. Soil washing for metal removal: A review of physical/chemical technologies and field applications. J. Hazard. Mater. 2008, 152, 1–31. [Google Scholar] [CrossRef] [PubMed]
- MacDonald, D.D.; Ingersoll, C.G.; Berger, T.A. Development and Evaluation of Consensus-Based Sediment Quality Guidelines for Freshwater Ecosystems. Arch. Environ. Contam. Toxicol. 2000, 39, 20–31. [Google Scholar] [CrossRef]
- Mashiatullah, A.; Chaudhary, M.Z.; Ahmad, N.; Javed, T.; Ghaffar, A. Metal pollution and ecological risk assessment in marine sediments of Karachi Coast, Pakistan. Environ. Monit. Assess. 2013, 185, 1555–1565. [Google Scholar] [CrossRef] [PubMed]
- Giglioli, S.; Colombo, L.; Contestabile, P.; Musco, L.; Armiento, G.; Somma, R.; Vicinanza, D.; Azzellino, A. Source Apportionment Assessment of Marine Sediment Contamination in a Post-Industrial Area (Bagnoli, Naples). Water 2020, 12, 2181. [Google Scholar] [CrossRef]
- Armiento, G.; Caprioli, R.; Cerbone, A.; Chiavarini, S.; Crovato, C.; De Cassan, M.; De Rosa, L.; Montereali, M.R.; Nardi, E.; Nardi, L.; et al. Current status of coastal sediments contamination in the former industrial area of Bagnoli-Coroglio (Naples, Italy). Chem. Ecol. 2020, 36, 579–597. [Google Scholar] [CrossRef]
- Romano, E.; Ausili, A.; Zharova, N.; Magno, M.C.; Pavoni, B.; Gabellini, M. Marine sediment contamination of an industrial site at Port of Bagnoli, Gulf of Naples, Southern Italy. Mar. Pollut. Bull. 2004, 49, 487–495. [Google Scholar] [CrossRef]
- Cinti, D.; Poncia, P.; Brusca, L.; Tassi, F.; Quattrocchi, F.; Vaselli, O. Spatial distribution of arsenic, uranium and vanadium in the volcanic-sedimentary aquifers of the Vicano–Cimino Volcanic District (Central Italy). J. Geochem. Explor. 2015, 152, 123–133. [Google Scholar] [CrossRef]
- Breuer, C.; Pichler, T. Arsenic in marine hydrothermal fluids. Chem. Geol. 2013, 348, 2–14. [Google Scholar] [CrossRef]
- Signorelli, S.; Signorelli, S. Arsenic in Volcanic Gases; Springer: Berlin/Heidelberg, Germany, 1997; Volume 32. [Google Scholar]
- Shi, J.; Pang, J.; Liu, Q.; Luo, Y.; Ye, J.; Xu, Q.; Long, B.; Ye, B.; Yuan, X. Simultaneous removal of multiple heavy metals from soil by washing with citric acid and ferric chloride. RSC Adv. 2020, 10, 7432–7442. [Google Scholar] [CrossRef]
- Race, M.; Marotta, R.; Fabbricino, M.; Pirozzi, F.; Andreozzi, R.; Guida, M.; Siciliano, A. Assessment of optimal conditions for the restoration and recovery of agricultural soil. J. Hazard. Mater. 2019, 373, 801–809. [Google Scholar] [CrossRef]
- Antony, J. A Systematic Methodology for Design of Experiments, 2nd ed.; Elsevier Ltd.: Amsterdam, The Netherlands, 2014; ISBN 9780080994178. [Google Scholar]
- Kos, B.; Leštan, D. Chelator induced phytoextraction and in situ soil washing of Cu. Environ. Pollut. 2004, 132, 333–339. [Google Scholar] [CrossRef] [PubMed]





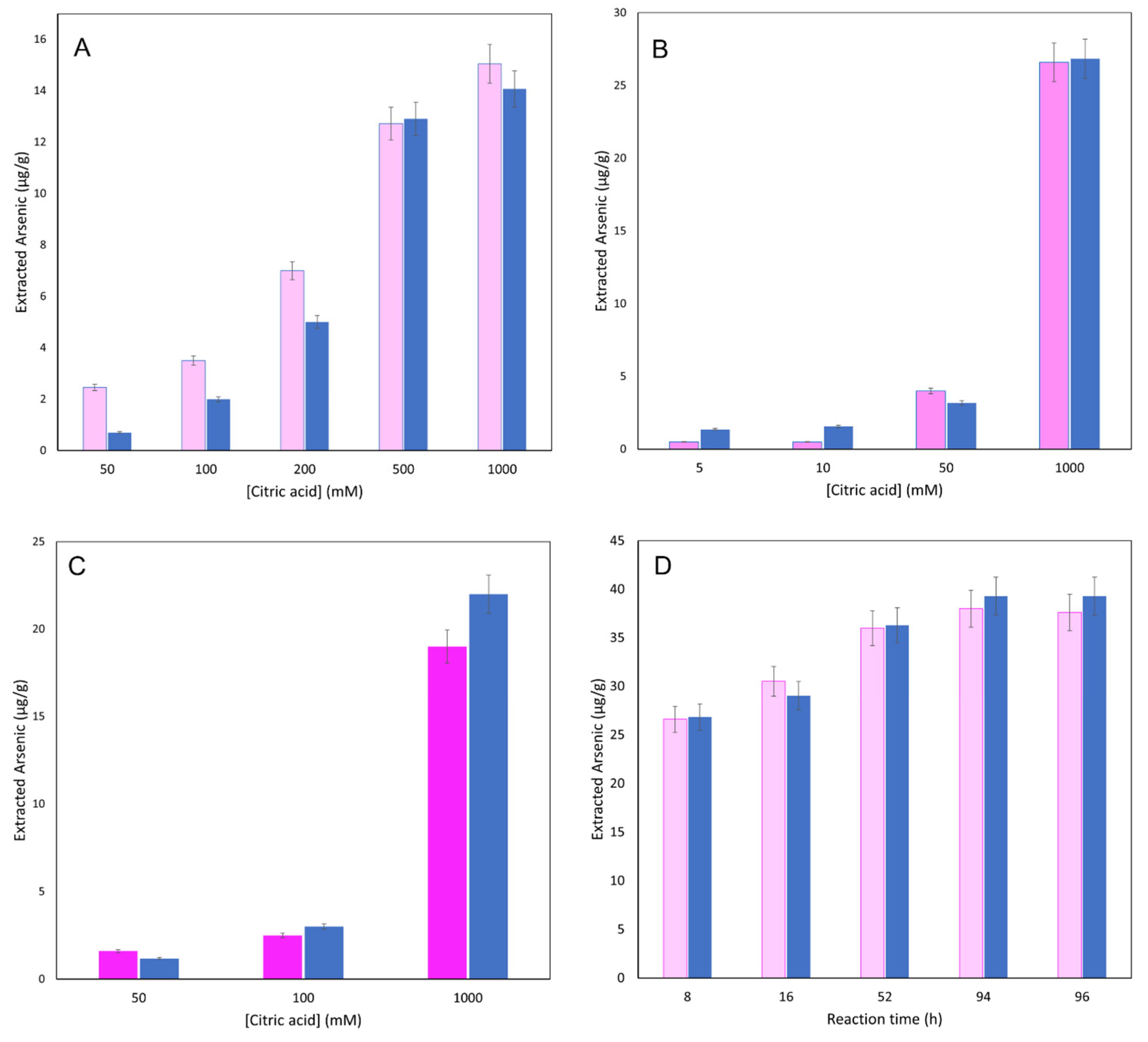
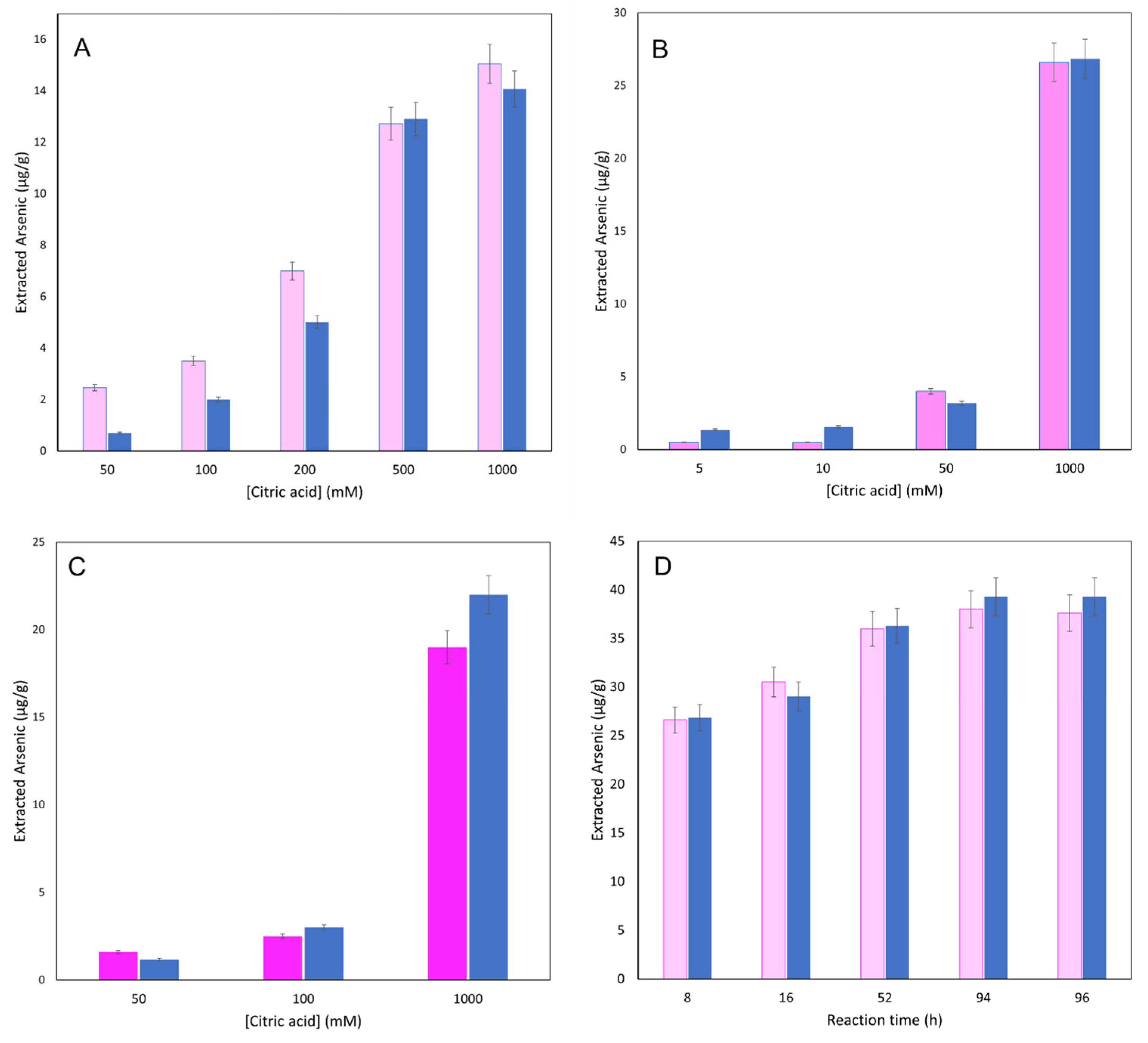
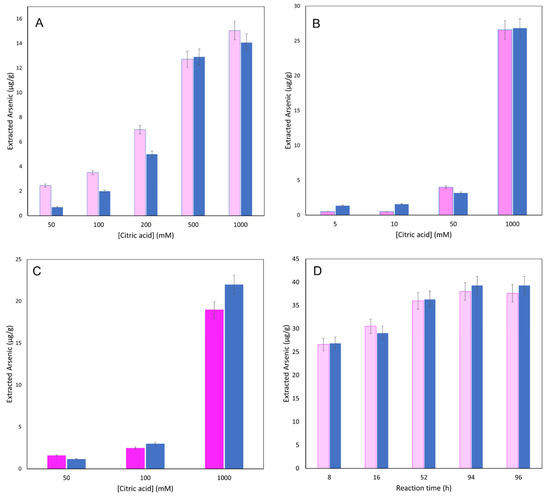
) experimental and (
) predicted results. (A) L/S = 10; reaction time = 8 h; (B) L/S = 5; reaction time = 8 h; (C) L/S = 5; reaction time = 16 h; (D) L/S = 10; citric acid concentration = 1000 mM.
) experimental and (
) predicted results. (A) L/S = 10; reaction time = 8 h; (B) L/S = 5; reaction time = 8 h; (C) L/S = 5; reaction time = 16 h; (D) L/S = 10; citric acid concentration = 1000 mM.

| Type of Washing Solution | L/S ratio [w/w or v/v] | Washing Time [h] | Total As0 Concentration [µg/g] | As Removal [%] | Ref. |
|---|---|---|---|---|---|
| Citric acid at 1.0 M mixed with Rhamnolipid (1.0%) at 2:1 | 15/1 | 6.55 | <140 | 84 | [33] |
| Sodium hydroxide at 0.1 M | 10/1 | 24 | 21,030 | 96 | [34] |
| Citric acid at 0.2 M and potassium phosphate at 0.1 M | 1–5/1 | 1–2 | <12 | >95 | [35] |
| Phosphoric (0.05 M)-oxalic (0.075 M) acid-Na2EDTA (0.075 M) sequence | 15/1 | 0.50 | 153 | 42 | [36] |
| Phosphoric acid at 0.5 M | 5/1 | 1 | >59 | 32–62 | [37] |
| 2.0 M phosphoric acid, 2.0 M sodium hydroxide or 0.1 M dithionite in 0.1 M EDTA | 5/1 | 24 | 167 | 90 | [38] |
| 0.5 M oxalic acid | 20/1 | 3 | 19,100–75,350 | 70 | [39] |
| 0.1–2.0 M of hydrochloric acid or sodium hydroxide | 5/1 | 6 | 1410 | >99 | [40] |
| Sulfuric acid at 0.6 M with 0.6 M phosphoric acid (1:1) | 7/1 | 120 | 140 | 71 | [41] |
| Citric acid at 1.0 M | 10/1 | 94.22 | 52.3 | 73 | Our study |
| As | Cd | Hg | Cu | Cr | Ni | Pb | Zn | |
|---|---|---|---|---|---|---|---|---|
| [μg/g] | ||||||||
| TEC | 9.79 | 0.99 | 0.18 | 31.6 | 43.4 | 22.7 | 35.8 | 121 |
| PEC | 33 | 4.98 | 1.06 | 149 | 111 | 48.6 | 128 | 459 |
| This study | 52.3 ± 1.7 | 0.4 ± 0.05 | 0.08 ± 0.02 | 15.4 ± 0.4 | 22.2 ± 0.9 | 6.1 ± 0.7 | 85.2 ± 3.8 | 237.0 ± 5.9 |
| Metal | I Fraction | II Fraction | III Fraction | IV Fraction |
|---|---|---|---|---|
| [%] | ||||
| Pb | 10% | 39% | 19% | 33% |
| Zn | 6% | 33% | 14% | 46% |
| As | 5% | 31% | 5% | 59% |
| Factor | Unit | Level | ||
|---|---|---|---|---|
| −1 | 0 | 1 | ||
| Reaction time, t (A) | h | 8 | 52 | 96 |
| L/S ratio (B) | - | 5 | 7.5 | 10 |
| Citric acid concentration, CA (C) | mM | 5 | 502.5 | 1000 |
| Run | A | B | C | Extracted As (μg/g) | Calculated Response (μg/g) | Run | A | B | C | Extract (μg/g) | Calculated Response (μg/g) |
|---|---|---|---|---|---|---|---|---|---|---|---|
| 1 | 0 | 0 | −1 | 0.00 | −0.17 | 31 | 0 | 0 | 0 | 19.30 | 18.64 |
| 2 | 0 | 0 | −1 | 0.00 | −0.17 | 32 | 0 | 0 | 0 | 17.73 | 18.64 |
| 3 | 0 | 0 | 0 | 19.44 | 18.64 | 33 | 0 | 0 | 1 | 30.33 | 29.78 |
| 4 | 0 | 0 | 0 | 20.00 | 18.64 | 34 | 1 | 1 | 1 | 37.60 | 39.29 |
| 5 | 0 | 0 | 0 | 19.00 | 18.64 | 35 | 1 | −1 | −1 | 0.10 | 0.55 |
| 6 | −1 | 0 | 0 | 11.00 | 11.71 | 36 | 1 | 0 | 0 | 19.44 | 19.12 |
| 7 | −1 | −1 | −1 | 0.00 | −1.79 | 37 | 1 | 0 | 0 | 20.33 | 19.12 |
| 8 | −1 | 1 | −1 | 0.05 | 1.37 | 38 | −1 | −1 | 1 | 20.50 | 20.07 |
| 9 | 0 | 0 | 0 | 18.43 | 18.64 | 39 | 0 | 0 | 0 | 19.00 | 18.64 |
| 10 | 1 | −1 | −1 | 0.13 | 0.55 | 40 | 0 | 0 | 1 | 29.00 | 29.78 |
| 11 | −1 | 1 | 1 | 26.66 | 26.84 | 41 | −1 | −1 | 1 | 20.00 | 20.07 |
| 12 | −1 | 1 | −1 | 0.05 | 1.37 | 42 | 0 | 1 | 0 | 27.70 | 24.25 |
| 13 | −1 | −1 | 1 | 20.19 | 20.07 | 43 | 1 | 1 | −1 | 1.45 | 1.25 |
| 14 | 0 | 0 | 0 | 18.90 | 18.64 | 44 | 0 | −1 | 0 | 17.50 | 20.52 |
| 15 | 1 | −1 | 1 | 36.39 | 34.98 | 45 | 1 | 1 | −1 | 1.00 | 1.25 |
| 16 | 0 | 0 | 0 | 18.90 | 18.64 | 46 | 0 | 0 | 0 | 18.96 | 18.64 |
| 17 | 0 | −1 | 0 | 17.58 | 20.52 | 47 | 1 | 0 | 0 | 21.00 | 19.12 |
| 18 | 0 | 0 | 0 | 18.61 | 18.64 | 48 | −1 | −1 | −1 | 0.001 | −1.79 |
| 19 | −1 | −1 | −1 | 0.00 | −1.79 | 49 | 1 | −1 | 1 | 36.00 | 34.98 |
| 20 | −1 | 1 | −1 | 0.001 | 1.37 | 50 | 0 | 0 | 0 | 18.04 | 18.64 |
| 21 | −1 | 0 | 0 | 11.00 | 11.71 | 51 | 0 | 0 | 0 | 17.89 | 18.64 |
| 22 | 0 | 0 | 0 | 17.69 | 18.64 | 52 | 1 | −1 | 1 | 36.50 | 34.98 |
| 23 | 0 | 1 | 0 | 27.00 | 24.25 | 53 | 1 | −1 | −1 | 0.09 | 0.55 |
| 24 | 0 | 0 | 0 | 17.98 | 18.64 | 54 | −1 | 0 | 0 | 10.00 | 11.71 |
| 25 | 1 | 1 | −1 | 0.75 | 1.25 | 55 | 0 | 1 | 0 | 26.80 | 24.25 |
| 26 | 0 | 0 | 1 | 29.80 | 29.78 | 56 | 1 | 1 | 1 | 37.80 | 39.29 |
| 27 | 0 | −1 | 0 | 18.00 | 20.52 | 57 | 0 | 0 | 0 | 18.00 | 18.64 |
| 28 | −1 | 1 | 1 | 28.00 | 26.84 | 58 | 0 | 0 | 0 | 18.20 | 18.64 |
| 29 | 1 | 1 | 1 | 37.00 | 39.29 | 59 | 0 | 0 | −1 | 0.00 | −0.17 |
| 30 | 0 | 0 | 0 | 18.99 | 18.64 | 60 | −1 | 1 | 1 | 27.12 | 26.84 |
Disclaimer/Publisher’s Note: The statements, opinions and data contained in all publications are solely those of the individual author(s) and contributor(s) and not of MDPI and/or the editor(s). MDPI and/or the editor(s) disclaim responsibility for any injury to people or property resulting from any ideas, methods, instructions or products referred to in the content. |
© 2023 by the authors. Licensee MDPI, Basel, Switzerland. This article is an open access article distributed under the terms and conditions of the Creative Commons Attribution (CC BY) license (https://creativecommons.org/licenses/by/4.0/).
Share and Cite
Muscetta, M.; Bianco, F.; Trancone, G.; Race, M.; Siciliano, A.; D’Agostino, F.; Sprovieri, M.; Clarizia, L. Washing Bottom Sediment for The Removal of Arsenic from Contaminated Italian Coast. Processes 2023, 11, 902. https://doi.org/10.3390/pr11030902
Muscetta M, Bianco F, Trancone G, Race M, Siciliano A, D’Agostino F, Sprovieri M, Clarizia L. Washing Bottom Sediment for The Removal of Arsenic from Contaminated Italian Coast. Processes. 2023; 11(3):902. https://doi.org/10.3390/pr11030902
Chicago/Turabian StyleMuscetta, Marica, Francesco Bianco, Gennaro Trancone, Marco Race, Antonietta Siciliano, Fabio D’Agostino, Mario Sprovieri, and Laura Clarizia. 2023. "Washing Bottom Sediment for The Removal of Arsenic from Contaminated Italian Coast" Processes 11, no. 3: 902. https://doi.org/10.3390/pr11030902
APA StyleMuscetta, M., Bianco, F., Trancone, G., Race, M., Siciliano, A., D’Agostino, F., Sprovieri, M., & Clarizia, L. (2023). Washing Bottom Sediment for The Removal of Arsenic from Contaminated Italian Coast. Processes, 11(3), 902. https://doi.org/10.3390/pr11030902

