Abstract
With the rapid development of high-pressure combustible gas pipelines, it brings convenience and also buries potential safety hazards. This paper presents an in-depth exploration of the thermal radiation hazards of fireball accidents caused by leakage and provides a reference for the prevention and control of this type of accident and on-site rescue. Based on the basic principle of fluid mechanics and the calculation model of the leakage rate, a three-dimensional pipeline model was constructed by FDS software to simulate the fireballs with different positions of low, middle and high. The simulation shows that the ground temperature field of the low and middle fireballs is quite different from that of the high fireball, and the temperature level is: low position > middle position > high position. On this basis, the observation elevation angle is introduced to improve the classical fireball thermal radiation model formula, the model calculation value is compared with the numerical simulation value and the optimal threshold is determined by combining the thermal radiation flux criterion. The results show that the numerical simulation is basically consistent with the calculation results of the improved model. The smaller the observation elevation angle, the closer the target receives the thermal radiation flux to the optimal threshold and the calculated hazard range is more reliable.
1. Introduction
With the continuous development of modern society and science and technology, people’s living conditions are more convenient and the demand for energy is gradually increasing [1,2]. Combustible gas has also become the main fuel for industrial development and people’s daily life [3,4]. In order to improve the efficiency of gas pipeline transportation, pipeline transportation is developing towards the direction of high steel grade, large diameter and high transportation pressure. High-pressure gas pipelines have become an important part of gas pipelines. The pressure of long-distance gas transmission is generally above 4.0 MPa, and its safety has also attracted widespread attention [5,6]. High-pressure combustible gas pipelines are prone to leakage due to corrosion, construction or tillage and other factors, which can cause fire and explosion accidents [7,8,9]. The leakage consequences of high-pressure combustible gas pipelines are shown in Figure 1. According to the standard API581, the probability of safe emission, jet flame, fireball and vapor cloud explosion after a gas leakage is 0.8, 0.1, 0.06 and 0.04, respectively [10]. Jet flame and vapor cloud explosions caused by high-pressure combustible gas leakages can easily evolve into fireball accidents. It can be seen that fireball accidents are a relatively easy gas leakage disaster accident. Fireballs are a transient combustion phenomenon of a mixed cloud of combustible gas and air that form following ignition in a combustible range. Transient combustion emits great heat in a short time and causes harm to the surrounding environment [11,12,13]. Particularly for high-pressure combustible gas pipeline leakages, fireball accidents are more likely to occur, with greater power, stronger destructive power and a wider range.
Figure 1.
Consequences of leakage of high-pressure combustible gas pipeline.
The high-intensity thermal radiation generated by the fireball will cause damage to people and the environment within a certain range, resulting in a series of economic and social problems [14,15,16]. Therefore, it is necessary to explore the hazard range of fireball thermal radiation. However, the conditions for the formation of fireballs are harsh, particularly in the case of fireballs formed by high-pressure gas. The experimental risk is huge, and poor control is a disaster. Therefore, this paper adopts the method of combining the classical fireball hazard model with a numerical simulation. This research method has also been applied in different fields by other peers and has achieved good results. For example, Rajendram et al. [17] studied the hazard range of fireballs through CFD simulation and a fireball hazard model for the fire problem of offshore production facilities. Combined with field analysis, the data obtained by the numerical simulation is closer to the actual situation, which provided the basis for the construction of marine fire safety. Mishra et al. [18] studied the characteristics of peroxide fuel fireballs through numerical simulations. They found that compared with other hydrocarbon fuel fireballs, peroxide fuel fireballs burn faster and release higher thermal radiation. The reliability of transient combustion numerical simulation analysis has also been proven. Sikanen and Hostikka [19] proposed a prediction method for the influence of burning fireballs from liquid fuel released from an aircraft onto nuclear power plants. The hazard analysis method for fireball accidents caused by simulated aircraft impact was developed. Sellami et al. [20] systematically summarized the influencing factors of fireball thermal radiation hazards: the view factor, the atmospheric transmissivity and the surface emissive power, as well as the corresponding empirical formula. Through the comparative analysis of a large number of experimental data, it is found that the numerical simulation results are in good agreement with the experiment, which proves that FDS can simulate fireball accidents well. Wang et al. [21] used FDS software to simulate a hydrocarbon fireball and studied the effects of the fuel quality, injection speed and wind speed on the simulation results. The results show that the larger the mass of the injected fuel, the larger the aspect ratio and the diameter of the fireball. It is inferred that the greater the fuel mass, the greater the influence of buoyancy and gravity on the characteristics of the fireball.
Although many experts and scholars have studied the hazards of fireball accidents, there are few studies of fireball accidents caused by high-pressure combustible gas pipeline leakage. In addition, most studies ignore the influence of the radiation target height, as well as the gravity and atmospheric buoyancy of the fireball itself, resulting in uncertainty of the fireball position. The traditional fireball hazard model may underestimate the hazard range due to the transient combustion characteristic of the fireball. The classical fireball hazard model studies thermal radiation from a static perspective. In terms of the leakage characteristics of high-pressure gas pipelines and the damage degree of fireball accidents, the difference in the thermal radiation energy level received by the radiation target at different spatial positions is significant, and the damage range caused by the dynamic perspective should be analyzed. In view of this, in order to determine the reliable hazard range of high-pressure combustible gas pipeline fireball accidents, this study introduces the observation elevation angle. Through the improved fireball hazard model, the influence of the observation elevation angle on the hazard range is analyzed. Combined with the leakage case of high-pressure natural gas pipelines, FDS is used to build a fireball model to simulate the fireball state. By selecting the (low, middle and high) fireball positions, the numerical simulation results are compared with the calculation results of the improved fireball hazard model. The range of fireball hazards under these three working conditions is analyzed to provide a reference for the prevention, control and rescue of fireball accidents in high-pressure combustible gas pipelines.
2. Theoretical Model
2.1. Leak Model
The fireball characteristic parameters of high-pressure combustible gas pipelines are related to gas leakage. The mass flow rate of the gas leakage is mainly determined by the gas pressure in the tube and the leakage area. The pipeline leakage is generally calculated by the circular hole leakage. For cracks or other shapes of orifices, the equivalent diameter of the cracks or other shapes of the orifices is calculated. Fireball combustion gas consumption is related to the gas mass flow rate. The gas mass flow rate is divided into sonic flow and subsonic flow, both of which can be determined according to the ratio of the internal and external pressures of the pipeline. The calculation formula of the gas mass flow rate is as follows [22].
When , the leaked gas flows at sonic speed, and the calculation formula for the gas mass flow rate is as follows.
When , the leaked gas flows at subsonic speed, and the calculation formula for the gas mass flow rate is as follows.
where is the gas mass flow rate (kg/s); is the ambient pressure (Pa); is the gas pressure in the pipe (Pa); is the gas adiabatic index (); is the discharge coefficient of the release opening (), and the circular leak is taken as 1.00; is the gas molar mass (kg/mol); is the gas temperature (K); is the leakage area (m2); is the gas constant, (J/molK), which is 8.314.
2.2. Fireball Combustion Model
Different researchers have carried out a large number of experiments on the mechanism of various combustible substances to produce fireballs. The following mainly summarize the classical fireball combustion model formula of combustible gas. The basic fireball combustion parameters include the maximum diameter, the burning time and the rising height. After the high-pressure combustible gas pipeline leaks, the gas source is not cut off, and the gas parameters in the pipe are basically unchanged at this time, which can be regarded as a steady state process. The fireball combustion gas consumption can be calculated by the following formula.
where is the leakage time before ignition (s); is the total mass of gas leakage (kg); is the mass coefficient of gas participating in fireball combustion ().
The characteristics of the fireball formed by the leakage of the high-pressure combustible gas pipeline are: the size of the fireball is large. With the increase in the leakage aperture, the amount of gas leakage increases, and the diameter and burning time of the fireball also increase. The maximum diameter of the fireball and the burning time t can be calculated by the following formulas.
where is the maximum diameter of the fireball (m); is the burning time of the fireball (s); , b, , and are the empirical coefficients (), and the common combustible gas coefficients can be found in Table 1.
Table 1.
Different gas material experience coefficients.
After a large number of experiments and simulation verifications, the maximum diameter and the burning time of the fireball are related to the quality of the combustible substances involved in the reaction. Table 1 summarizes the experience coefficients of common combustible gas fireballs [23].
The fireball has a process of generation, expansion, rising and disappearance. Blankenhagel et al. [24] found that the average rising height of the fireball can reach 1.23 times the average diameter of the fireball. Combined with the maximum diameter of the fireball in formula (5), the maximum rising height of the fireball is calculated as follows.
2.3. Classic Fireball Hazard Model
The damage of the fireball to the surrounding buildings and people is mainly thermal radiation. Thermal radiation expands the fire, causing greater property damage and casualties. The severity of the damage caused by the fireball to the target depends on the received thermal radiation flux, which is jointly determined by the view factor, atmospheric transmissivity and surface emissive power. After the formation of the combustible cloud, the transient combustion occurs in the combustible range. The thermal radiation hazard range of the fireball is much larger than the flame size, so it is necessary to further calculate the thermal radiation flux accepted by the target. The traditional fireball hazard model is expressed as follows [20,25].
where is the horizontal distance from the target to the center of the fireball (m); is the thermal radiation flux received by the target (kW/m2); is the radiation energy on the surface of the fireball (kW/m2); is the view factor (); is the atmospheric transmissivity ().
The radiation energy on the surface of the fireball :
where is the radiative fraction of the heat of combustion (), 0.2~0.4; is the net heat of combustion per unit mass (kJ/kg).
The view factor :
The atmospheric transmissivity :
where is the water partial pressure of the water at ambient temperature , (Pa). Its expression is as follows.
where is the relative humidity (), 0~1; is the ambient temperature (K).
It can be seen from Formulas (10) and (11) that the view factor and the atmospheric transmissivity are calculated based on the maximum rising height of the fireball . The traditional model formula ignores the influence of the radiation target height, buoyancy and gravity. This leads to the uncertainty of the position of the fireball, directly causing the change of the view factor and the atmospheric transmissivity .
2.4. Improved Fireball Hazard Model
The geometric characteristics related to fireball hazards mainly include the maximum diameter and the rising height of the fireball. According to the site conditions, the actual rising height of the fireball is affected by the environmental factors (the fireball’s own gravity and atmospheric buoyancy). Therefore, it is necessary to analyze the fireball’s hazard range from the perspective of dynamic observation. The traditional fireball hazard model is mostly limited to evaluating the fireball hazard from a fixed perspective. In fact, it is difficult for the fireball to stay still at a certain height, which leads to the dynamic change in the hazard range of the fireball. In order to solve this problem and satisfy the requirement of considering the height of the radiation target, the variable is introduced in this study, as shown in Figure 2, which refers to the observation elevation angle of the radiation target. Two functions, the view factor and atmospheric transmissivity, are established about the variable . Through these two functions the influence of the variable on the fireball hazard range is analyzed.
Figure 2.
Observation elevation angle of radiation target.
The actual rising height of the fireball:
where is the height of the radiation target (m); is the observation elevation angle of the radiation target (°). is the horizontal distance from the target to the center of the fireball (m).
From Formula (13), it can be seen that the actual rising height of the fireball needs to take into account the height of the radiation target. The variable is substituted into the view factor in Formula (10) and the view factor function is established; its function is as follows.
The view factor function is a monotonically decreasing function with respect to . When decreases and does not change, increases. To keep the view factor constant, the radiation target needs to move away from the fireball, and increases. From this, it can be concluded that the smaller the observation elevation angle , the larger the observation factor , and the thermal radiation flux received by the target is closer to the optimal threshold.
The variable is substituted into the atmospheric transmissivity in Formula (11), and the atmospheric transmissivity function is as follows.
The atmospheric transmissivity function is a monotonically decreasing function with respect to . When decreases and does not change, increases. To keep the atmospheric transmittance constant, the radiation target needs to be far away from the fireball, increases. From this, it can be concluded that the smaller the observation elevation angle , the larger the atmospheric transmissivity , and the thermal radiation flux received by the target is closer to the optimal threshold.
It is concluded that the smaller the observation elevation angle , the larger the view factor function and the atmospheric transmissivity , and the larger the thermal radiation flux received by the target, which is more in line with the optimal threshold requirements. In the traditional fireball model, the rising height of the fireball is used as a fixed value, so that the predicted fireball hazard range may be smaller than the actual range. In addition, as the value of increases, the influence of the observed elevation variable gradually decreases.
2.5. Combined Case Analysis
A high-pressure natural gas transmission pipeline has a total length of 30 km, the pipeline material is X80 steel grade, the outer diameter of the pipeline is 1422 mm, and the wall thickness is 22 mm. The composition of natural gas is shown in Table 2, and the proportion of methane is extremely high. Therefore, it is calculated with reference to the methane coefficient. The density of methane is 0.717 kg/m3, the molar mass of methane is 16.04 g/mol, the net heat of combustion per unit mass of methane is 55,600 kJ/kg, the adiabatic index of methane is 1.306 and the heat transfer coefficient of methane is 0.03302 Wm−1K. The diameter of the circular leak is 200 mm. The natural gas pressure in the pipe is 9.0 MPa and the gas temperature in the pipe is 286 K. The weather conditions were dry and sunny, the relative humidity was taken as 1, the ambient temperature was 293 K and the ambient pressure was standard atmospheric pressure.
Table 2.
Natural gas composition table.
According to the leakage model in Section 2.1 and the fireball combustion model in Section 2.2, taking the gas cloud formed by the leakage for 30 s as the initial condition, the mass coefficient of the natural gas participating in the fireball combustion was taken as 0.9, and the parameters such as the maximum diameter and the burning time were calculated. The calculation results are shown in Table 3.
Table 3.
Fireball combustion parameters.
Combined with the analysis results in Section 2.3 and Section 2.4, the radiative fraction of the heat of combustion is taken as 0.3 and the surface emissive power of the fireball is 239 kW/m2. In order to compare it with the traditional fireball hazard model, the radiation target is selected as the ground . At this point, variable takes the minimum position . According to the current research results, the maximum position of variable can reach . Using the limit thinking, the monitoring points were selected to study the dynamic change law of the fireball thermal radiation hazard range. Therefore, this case study chooses as the high position measuring point, but is not an ideal low position measuring point. The reason is that the near-earth state of the fireball is the weakest and does not meet the threshold requirements. As the high position monitoring point has been determined, its half is taken as the low position monitoring point. The middle position is the intermediate reference between the limit monitoring points. Table 4 calculates the heat radiation fluxes received by the target: low position , middle position and high position . The high position is the position chosen by the traditional fireball model.
Table 4.
Thermal radiation flux received by the target (kW/m2).
3. Numerical Simulation
3.1. Simulation Basics
In this study, the FDS software was used to simulate the formation conditions of the combustible gas cloud and the combustion state of the fireball. The leakage law of high-pressure gas is simulated by the equivalent proportion method. Combined with the velocity field and pressure field, the formation conditions of mixed gas are analyzed. Based on the study of the combustion state of the fireball, the main task is to numerically simulate the heat radiation flux received by the target, which is compared with the calculation data of the improved fireball hazard model. FDS is a field simulation software, the reliability of which has been verified by numerous case studies [26,27]. When using the FDS software to analyze leakage, combustion and other problems, it is necessary to combine the pre-processor, simulation calculation and post-processor at the same time. The simulation steps in this article are shown in Figure 3.
Figure 3.
The simulation steps.
3.2. Model Building
The case of Section 2.5 is studied by FDS simulation, and the scene environment is shown in Figure 4. The high-pressure natural gas pipeline is X80 steel grade, the outer diameter of the pipeline is 1422 mm, the wall thickness is 22 mm and the diameter of the circular leak is 200 mm. The 3D model of the pipeline is shown in Figure 5. The natural gas pipeline is physically modeled along the Y axis, and on the X-Y plane, the Z axis of the leakage hole axis coincides. In order to better simulate the real open environment, the ambient temperature is 293 K, the ambient pressure is standard atmospheric pressure and the relative humidity is 1. With the exception of the ground condition being closed, the other boundary conditions are set to be open. The natural gas consumption is 1323 kg, the maximum diameter of the fireball is 66 m and the burning time of the fireball is 9 s.
Figure 4.
Pipeline real shot.
Figure 5.
3D model of pipeline.
The leakage simulation boundary is 10 m × 10 m × 10 m and the mesh size is 0.01 m × 0.01 m × 0.01 m. The flow velocity and pressure slices are set along the X-Z plane and the Y-Z plane at the leakage hole to analyze the change in the flow field at the initial stage of leakage. The combustion simulation boundary is 350 m × 350 m × 350 m and the mesh size is 1 m × 1 m × 1 m. In order to compare the simulation results with the theoretical results, the fireball combustion simulation experiments are carried out at the low position , the middle position and the high position respectively. The temperature slices are set on the X-Y plane. Thermal radiation monitoring devices are installed at Z = 0 m, Y = 0 m and X = 35 m, and one group is added every 10 m along the positive direction of the X-axis, for a total of 31 groups.
3.3. Leakage Flow Field Analysis
In the simulation scenario of a high-pressure natural gas pipeline leakage, the area of 3 m × 10 m is selected for research. Referring to the boundary scaling ratio, the simulation time is set to 3 s to simulate the initial flow field characteristics. The X-Z plane flow velocity slice is shown in Figure 6. A tighter airflow cloud is formed during the jetting process of the leakage gas along the Z-axis. With the increase in time, the flow velocity, jet distance and jet width increase. The airflow cloud obviously expands horizontally after 1.5 s. Following the pipeline leakage, the velocity increases to a larger value and then decreases gradually. Due to the pressure difference inside and outside the pipeline, the molecules produce a mutual driving force. In addition, also affected by air resistance, the acceleration along the natural gas jet will decrease. With the increase in the velocity, the influence of the surrounding gas on the jet resistance will also increase. When an equilibrium point is reached, the flow velocity begins to decrease along the way. Combined with the Y-Z plane pressure slice in Figure 7, it can be seen that the pressure change intensifies along the Z-axis jet trajectory as the time increases. When natural gas is injected into a static environment, a momentum and mass exchange occurs with the fluid in the environment. A certain pressure gradient is formed, which leads to the generation of gas vortices and gradually develops into natural gas clouds. The simulation results show that when the high-pressure natural gas pipeline leaks, the jet along the way forms a velocity and pressure field, which accelerates the mixing of natural gas and air.
Figure 6.
Velocity slice.
Figure 7.
Pressure slice.
3.4. Temperature Field Analysis
In the combustion simulation scenario, the X-Y plane temperature slice is shown in Figure 8. At the low position , the middle position and the high position , the fireball temperature field was simulated, and an area of 100 m × 100 m was selected for the research. The temperature distribution reflects the flame state to a certain extent. The fireball burns the surrounding air, forming a pressure difference. The pressure promotes the rapid spread of the flame, and the turbulent effect is obvious. The natural gas and the air are fully mixed and burned to quickly form a tight mushroom cloud. Figure 8a shows the temperature distribution on the ground of the fireball at a low position . The peak temperature is about 2293 K. As the fireball flame is very close to the ground, the flame gathers and bakes the ground, and the peak temperature is the highest. Figure 8b shows the temperature distribution on the ground of the fireball at a middle position . The peak temperature is about 1793 K, and the temperature slice shows that the flame on the ground decreases sharply and the temperature drops. Figure 8c shows the temperature distribution on the ground of the fireball at a high position . The peak temperature on the ground is about 1293 K, there is basically no flame on the ground, the peak temperature is the lowest and the ground is mainly affected by thermal radiation. The simulated temperature of the fireball is from high to low: low position > middle position > high position. The simulation results show that when the position of the fireball rises, the temperature on the ground drops, and the flames on the ground gradually disappear. If the fireball is fixed at a certain position, the temperature of the measuring point decreases with the distance from the fireball.
Figure 8.
The X-Y plane temperature distribution.
3.5. Thermal Radiation Analysis
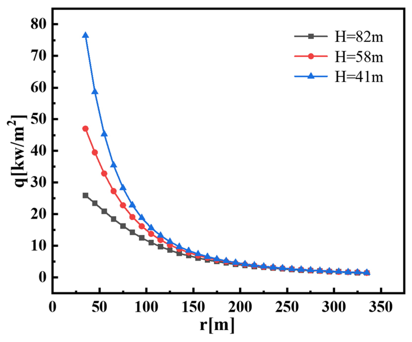
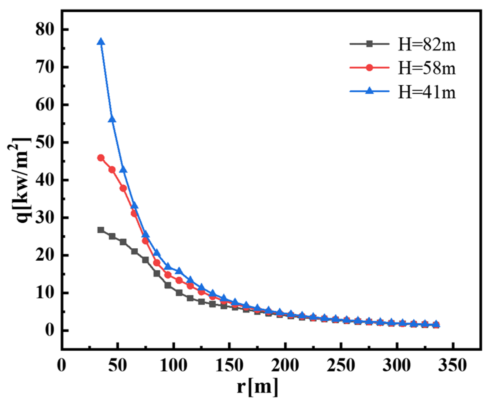
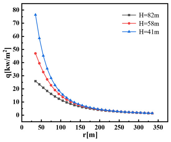
The high-intensity thermal radiation generated by the fireball is the main cause of damage, so the study of the thermal radiation hazards is of great significance for the safety construction of high-pressure combustible gas pipelines. The flame thermal radiation medium is mainly composed of molecular radiation and blackbody radiation. The natural gas fireball radiation predominantly comes from the radiation caused by the carbon black in the flame. According to Table 4, through the improved fireball hazard model, the calculated thermal radiation flux received by the target can be shown in Figure 9. In the combustion simulation scenario, the thermal radiation flux data are collected by setting up a thermal radiation monitoring device, as shown in Figure 10.
Figure 9.
Results of theoretical calculation.
Figure 10.
Results of numerical simulation.
Combined with the change law of the thermal radiation flux curve, it is found by horizontal comparison that the thermal radiation flux is negatively correlated with the horizontal distance from the target to the center of the fireball. The vicinity of the fireball is primarily affected by the blackbody radiation generated by the fireball, and the thermal radiation flux is extremely high. As the target moves away from the fireball, the thermal radiation flux begins to decrease rapidly. The longitudinal comparison found that the thermal radiation flux received by the target satisfies: low position > middle position > high position. However, as the target moves away from the fireball, the effect of the fireball position on the thermal radiation flux decreases. Within 100 m from the leak point, the thermal radiation flux is mainly affected by the blackbody radiation generated by the fireball, and the thermal radiation flux is large and decreases rapidly. Beyond 100 m away from the leak point, the thermal radiation flux decreases, and the decreasing speed gradually slows down. After 300 m, the target mainly receives the radiation effect of the molecules, and the thermal radiation flux received by the fireball at different positions has a small difference, which decreases slowly and tends to be flat. The thermal radiation flux is obtained through theoretical calculation and numerical simulation. In the range of 100 m from the leakage point, the fireball is in the middle and high position, which is obviously different. The main reason is that the numerical simulation is gridded, and the heat absorbed by the particles in the environment is weak. As the horizontal distance from the target to the center of the fireball becomes larger, the influence becomes smaller and smaller. The results show that the thermal radiation flux received by the target of the improved fireball hazard model is consistent with the change rule of the numerical simulation data. The smaller the observation elevation angle, the greater the thermal radiation flux received by the target. The closer to the optimal threshold, the more reliable the predicted fireball hazard range.
4. Hazard Analysis
The high-intensity thermal radiation caused by a high-pressure gas pipeline fireball accident inflicts significant harm to the surrounding equipment and personnel. Different intensities of thermal radiation will cause different degrees of damage to the target. The thermal radiation flux criterion points out the damage level and threshold. If it exceeds the critical thermal radiation flux, it will suffer corresponding damage [28]. This paper mainly refers to the thermal radiation flux criterion presented in Table 5 to analyze the fireball hazard range [29,30].
Table 5.
Damage levels and threshold defined by thermal radiation flux criterion.
It can be seen from the above table that when the thermal radiation flux is greater than or equal to 25 kW/m2, all people die within 1 min, so 25 kW/m2 is used as the critical value for the determination of the death radius. Within this range is the dead area. The area of thermal radiation flux between 6.4 kW/m2 and 25 kW/m2 is the serious injury area, and 6.4 kW/m2 is used as the critical value of the serious injury radius. The area of thermal radiation flux between 1.6 kW/m2 and 6.4 kW/m2 is considered as the minor injury area, and 1.6 kW/m2 is used as the criterion value for the radius of minor injury. The area where the thermal radiation flux value is less than 1.6 kW/m2 is the safe area. Among them, the death radius , the serious injury radius , the minor injury radius and the fireball hazard distribution are shown in Figure 11.
Figure 11.
Fireball hazard distribution.
Among the three working conditions of the high-pressure natural gas pipeline leakage fireball accident case, the thermal radiation of the fireball in the low position is the most harmful: the death radius is 82 m, the serious injury radius is 168 m and the minor injury radius is 331 m. The thermal radiation of the fireball in the middle position is the second most harmful: the death radius is 70 m, the serious injury radius is 162 m and the minor injury radius is 329 m. The thermal radiation of the fireball in the high position is the least harmful: the death radius is 39 m, the serious injury radius is 152 m and the minor injury radius is 323 m. It is found that the fireball position has the greatest impact on the death radius. With the decrease in the hazard level, the hazard range tends to be similar, and the impact of fireball position decreases gradually.
5. Conclusions
Fireball accidents are a common consequence of high-pressure combustible gas pipeline failure, and research on their harm is of great significance to safety protection and on-site rescue. This paper studies the fireball consequences after the failure of high-pressure combustible gas pipelines. A set of fireball accident analysis ideas for high-pressure combustible gas pipelines are proposed, and the implementation method is given. After the failure of high-pressure combustible gas pipelines, the quantitative analysis in turn focuses on: combustible gas leakage, fireball combustion parameters, heat radiation flux, hazard range.
In the process of hazard analysis, a new variable, ‘observation elevation angle‘, is introduced to dynamically analyze the hazard range of the fireball, and the software simulation is used to verify it. Combined with the case analysis of a high-pressure natural gas pipeline leakage, the effect of the improved fireball hazard model is verified by selecting the (low, middle and high) fireball positions. The hazard range of the fireball thermal radiation, from largest to smallest, is: low position > middle position > high position. Compared with the FDS simulation results, the change rule is basically consistent. It is proven that the analysis results are consistent with the improved model and have good application value.
Author Contributions
Conceptualization, Y.H. (Yongmei Hao); methodology, X.Z.; software, Y.H. (Yong Huang); investigation, J.Y.; writing—original draft preparation, H.X.; writing—review and editing, X.Z.; supervision, Z.X.; funding acquisition, Y.H. (Yongmei Hao). All authors have read and agreed to the published version of the manuscript.
Funding
This research has been supported by the Changzhou Social Development Science and Technology Support Project (CE20225033), the Key R&D projects in Jiangsu Province (BE2021642), and the Sub-topics of the National Key R&D Program (2019YFC0810700).
Institutional Review Board Statement
Not applicable.
Informed Consent Statement
Not applicable.
Data Availability Statement
The research data has been presented in the paper.
Conflicts of Interest
We declare that we have no known competing financial interests or personal relationships that could have appeared to influence the work reported in this paper.
Abbreviation
| FDS | Fire Dynamic Simulator |
| CFD | Computational Fluid Dynamics |
| API | American Petroleum Institute |
| CH4 | Methane |
| C2H6 | Ethane |
| C3H8 | Propane |
| CO2 | Carbon Dioxide |
| N2 | Nitrogen |
References
- Ershov, M.A.; Grigorieva, E.V.; Abdellatief, T.M.M.; Kapustin, V.M.; Abdelkareem, M.A.; Kamil, M.; Olabi, A.G. Hybrid low-carbon high-octane oxygenated gasoline based on low-octane hydrocarbon fractions. Sci. Total Environ. 2021, 756, 142715. [Google Scholar] [CrossRef]
- Abdellatief, T.M.M.; Ershov, M.A.; Kapustin, V.M.; Ali Abdelkareem, M.; Kamil, M.; Olabi, A.G. Recent trends for introducing promising fuel components to enhance the anti-knock quality of gasoline: A systematic review. Fuel 2021, 291, 120112. [Google Scholar] [CrossRef]
- Thepmanee, T.; Julsereewong, A.; Pongswatd, S. PFD analysis of LNG fuel gas supply system for improving combined-cycle power plant safety. Energy Rep. 2022, 8, 684–690. [Google Scholar] [CrossRef]
- Yang, Y.; Li, S.; Zhang, P. Data-driven accident consequence assessment on urban gas pipeline network based on machine learning. Reliab. Eng. Syst. Saf. 2022, 219, 108216. [Google Scholar] [CrossRef]
- Shibanuma, K.; Hosoe, T.; Yamaguchi, H.; Tsukamoto, M.; Suzuki, K.; Aihara, S. Crack tip opening angle during unstable ductile crack propagation of a high-pressure gas pipeline. Eng. Fract. Mech. 2018, 204, 434–453. [Google Scholar] [CrossRef]
- Chen, Y.; Xie, S.; Tian, Z. Risk assessment of buried gas pipelines based on improved cloud-variable weight theory. Reliab. Eng. Syst. Saf. 2022, 221, 108374. [Google Scholar] [CrossRef]
- Hao, Y.; Yang, W.; Xing, Z.; Yang, K.; Sheng, L.; Yang, J. Calculation of accident probability of gas pipeline based on evolutionary tree and moment multiplication. Int. J. Pres. Ves. Pip. 2019, 176, 103955. [Google Scholar] [CrossRef]
- Shan, K.; Shuai, J.; Yang, G.; Meng, W.; Wang, C.; Zhou, J.; Wu, X.; Shi, L. Numerical study on the impact distance of a jet fire following the rupture of a natural gas pipeline. Int. J. Pres. Ves. Pip. 2020, 187, 104159. [Google Scholar] [CrossRef]
- Wu, J.; Zhao, Y.; Zhou, R.; Cai, J.; Bai, Y.; Pang, L. Suppression effect of porous media on natural gas explosion in utility tunnels. Fire Saf. J. 2022, 128, 103522. [Google Scholar] [CrossRef]
- American Petroleum Institute. API 581 Risk-Based Inspection Technology; API Publishing Services: Washington, DC, USA, 2016. [Google Scholar]
- Wang, K.; He, Y.; Liu, Z.; Qian, X. Experimental study on optimization models for evaluation of fireball characteristics and thermal hazards induced by LNG vapor Cloud explosions based on colorimetric thermometry. J. Hazard. Mater. 2019, 366, 282–292. [Google Scholar] [CrossRef]
- Ershov, M.A.; Klimov, N.A.; Burov, N.O.; Abdellatief, T.M.M.; Kapustin, V.M. Creation a novel promising technique for producing an unleaded aviation gasoline 100 UL. Fuel 2021, 284, 118928. [Google Scholar] [CrossRef]
- Rojas-Morín, A.; Flores-Salgado, Y.; Alvarez-Brito, O.; Jaramillo-Mora, A.; Barba-Pingarrón, A. Thermal analysis using induction and concentrated solar radiation for the heating of metals. Result Eng. 2022, 14, 100431. [Google Scholar] [CrossRef]
- Vairo, T.; Pontiggia, M.; Fabiano, B. Critical aspects of natural gas pipelines risk assessments. A case-study application on buried layout. Process. Saf. Environ. Protect. 2021, 149, 258–268. [Google Scholar] [CrossRef]
- Chen, Y.; Zhang, L.; Hu, J.; Liu, Z.; Xu, K. Emergency response recommendation for long-distance oil and gas pipeline based on an accident case representation model. J. Loss Prev. Process. Ind. 2022, 77, 104779. [Google Scholar] [CrossRef]
- Li, X.; Wang, J.; Abbassi, R.; Chen, G. A risk assessment framework considering uncertainty for corrosion-induced natural gas pipeline accidents. J. Loss Prev. Process. Ind. 2022, 75, 104718. [Google Scholar] [CrossRef]
- Rajendram, A.; Khan, F.; Garaniya, V. Modelling of fire risks in an offshore facility. Fire Saf. J. 2015, 71, 79–85. [Google Scholar] [CrossRef]
- Mishra, K.B.; Wehrstedt, K.-D.; Krebs, H. Boiling Liquid Expanding Vapour Explosion (BLEVE) of peroxy-fuels: Experiments and Computational Fluid Dynamics (CFD) simulation. Energy Procedia 2015, 66, 149–152. [Google Scholar] [CrossRef]
- Sikanen, T.; Hostikka, S. Numerical simulations of liquid spreading and fires following an aircraft impact. Nucl. Eng. Des. 2017, 318, 147–162. [Google Scholar] [CrossRef]
- Sellami, I.; Manescau, B.; Chetehouna, K.; de Izarra, C.; Nait-Said, R.; Zidani, F. BLEVE fireball modeling using Fire Dynamics Simulator (FDS) in an Algerian gas industry. J. Loss Prev. Process. Ind. 2018, 54, 69–84. [Google Scholar] [CrossRef]
- Wang, Y.; Gu, X.; Xia, L.; Pan, Y.; Ni, Y.; Wang, S.; Zhou, W. Hazard analysis on LPG fireball of road tanker BLEVE based on CFD simulation. J. Loss Prev. Process. Ind. 2020, 68, 104319. [Google Scholar] [CrossRef]
- Hao, Y.; Wu, Y.; Jiang, J.; Xing, Z.; Yang, K.; Wang, S.; Xu, N.; Rao, Y. The method for leakage detection of urban natural gas pipeline based on the improved ITA and ALO. J. Loss Prev. Process. Ind. 2021, 71, 104506. [Google Scholar] [CrossRef]
- Abbasi, T.; Abbasi, S.A. The Boiling Liquid Expanding Vapour Explosion (BLEVE): Mechanism, consequence assessment, management. J. Hazard. Mater. 2007, 141, 489–519. [Google Scholar] [CrossRef] [PubMed]
- Blankenhagel, P.; Wehrstedt, K.D.; Mishra, K.B.; Steinbach, J. The capability of commercial CFD code to predict organic peroxide fireball characteristics. J. Hazard. Mater. 2019, 365, 386–394. [Google Scholar] [CrossRef] [PubMed]
- Vishwakarma, P.K.; Mishra, K.B. Influence of sequential fireballs on thermal safety distance estimations for organic peroxide drums. J. Loss Prev. Process. Ind. 2022, 75, 104683. [Google Scholar] [CrossRef]
- Tiwari, S.S.; Bale, S.; Das, D.; Tripathi, A.; Tripathi, A.; Mishra, P.K.; Ekielski, A.; Suresh, S. Numerical simulations of a postulated methanol pool fire scenario in a ventilated enclosure using a coupled FVM-FEM approach. Processes 2022, 10, 918. [Google Scholar] [CrossRef]
- Fernandes, C.S.; Fraga, G.C.; França, F.H.R.; Centeno, F.R. Radiative transfer calculations in fire simulations: An assessment of different gray gas models using the software FDS. Fire Saf. J. 2021, 120, 103103. [Google Scholar] [CrossRef]
- Chen, M.; Li, H.; Li, P.; Ouyang, D.; Weng, J.; Wang, J.; Liu, H. Fireball modeling and thermal hazards analysis of leaked 1,1-difluoroethane in fluorine chemical industry based on FDS. J. Therm. Anal. Calorim. 2020, 146, 355–366. [Google Scholar] [CrossRef]
- American Petroleum Institute. API 12-2004 Security Risk Assessment Methodology for the Petroleum and Petrochemical Industries; API Publishing Services: Washington, DC, USA, 2004. [Google Scholar]
- American Petroleum Institute. API 780-2012 Security Risk Assessment Methodology for the Petroleum and Petrochemical Industries; API Publishing Services: Washington, DC, USA, 2012. [Google Scholar]
Disclaimer/Publisher’s Note: The statements, opinions and data contained in all publications are solely those of the individual author(s) and contributor(s) and not of MDPI and/or the editor(s). MDPI and/or the editor(s) disclaim responsibility for any injury to people or property resulting from any ideas, methods, instructions or products referred to in the content. |
© 2023 by the authors. Licensee MDPI, Basel, Switzerland. This article is an open access article distributed under the terms and conditions of the Creative Commons Attribution (CC BY) license (https://creativecommons.org/licenses/by/4.0/).










