Thermal Susceptibility of Nickel in the Manufacture of Softeners
Abstract
1. Introduction
2. Materials and Methods
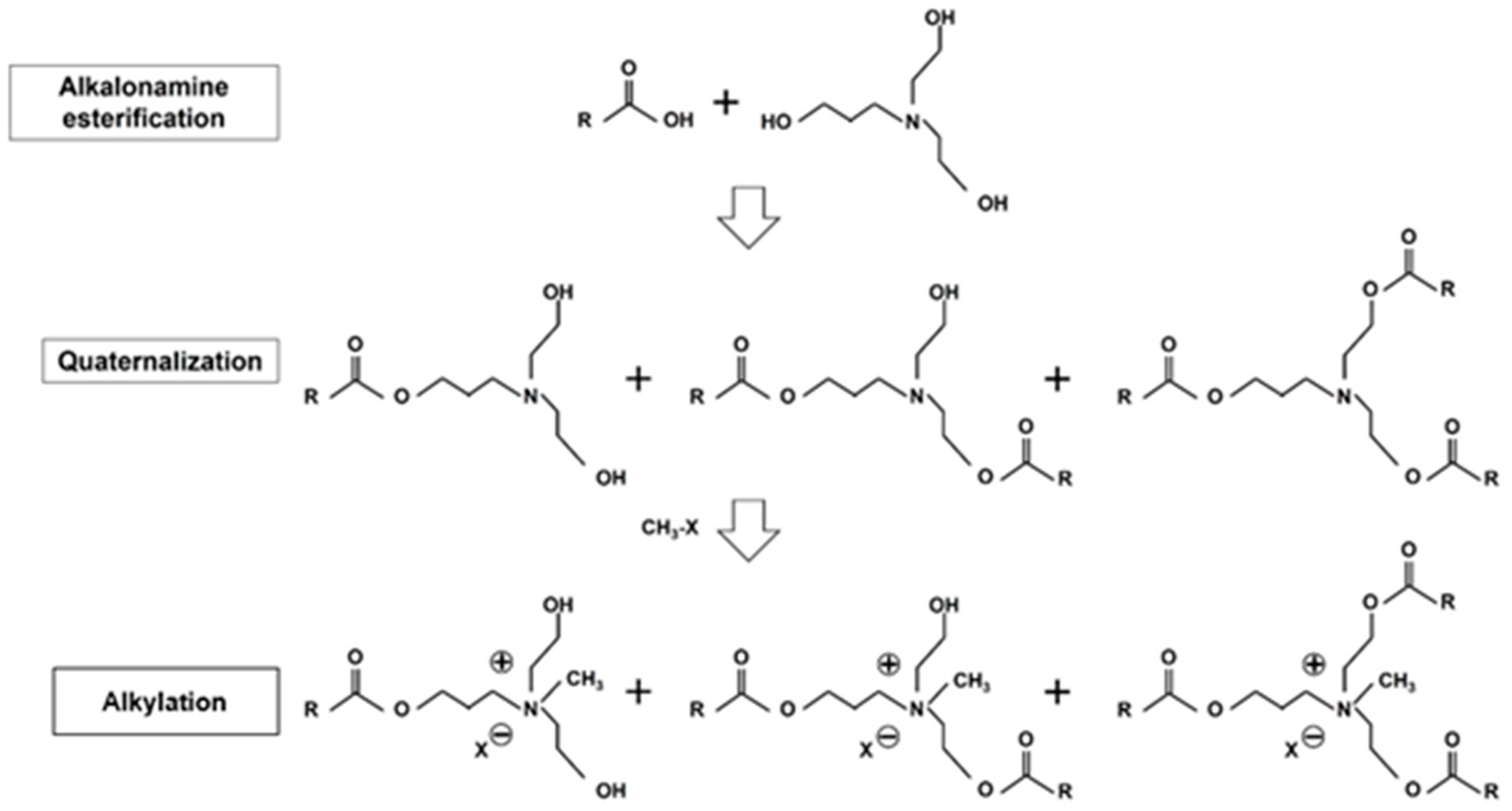
2.1. The Production Process of Fabric Softeners Using Nickel and Esterquats
2.2. Reactivity Test for Catalyst Traces of Ni as an Impurity in Hydrogenated Tallow
3. Results and Discussion
4. Conclusions
Author Contributions
Funding
Conflicts of Interest
References
- Darnall, N.; Henriques, I.; Sadorsky, P. Do environmental management systems improve business performance in an international setting? J. Int. Manag. 2008, 14, 364–376. [Google Scholar] [CrossRef]
- Bos-Brouwers, H.E.J. Corporate sustainability and innovation in SMEs: Evidence of themes and activities in practice. Bus. Strategy Environ. 2010, 19, 417–435. [Google Scholar] [CrossRef]
- International Labour Organization. Occupational Safety and Health (OSH). World Statistic. Available online: https://www.ilo.org/moscow/areas-of-work/occupational-safety-and-health/WCMS_249278/lang--en/index.htm#:~:text=The%20ILO%20estimates%20that%20some,of%20work%2Drelated%20illnesses%20annually (accessed on 15 March 2022).
- Driscoll, T.; Takala, J.; Steenland, K.; Corvalan, C.; Fingerhut, M. Review of estimates of the global burden of injury and illness due to occupational exposures. Am. J. Ind. Med. 2005, 48, 491–502. [Google Scholar] [CrossRef]
- Takala, J.; Hämäläinen, P.; Saarela, K.L.; Yun, L.Y.; Manickam, K.; Jin, T.W.; Heng, P.; Tjong, C.; Kheng, L.G.; Lim, S.; et al. Global Estimates of the Burden of Injury and Illness at Work in 2012. J. Occup. Environ. Hyg. 2014, 11, 326–337. [Google Scholar] [CrossRef]
- Sewell, F.; Aggarwal, M.; Bachler, G.; Broadmeadow, A.; Gellatly, N.; Moore, E.; Robinson, S.; Rooseboom, M.; Stevens, A.; Terry, C.; et al. The current status of exposure-driven approaches for chemical safety assessment: A cross-sector perspective. Toxicology 2017, 389, 109–117. [Google Scholar] [CrossRef]
- Sadiq, A.A. Chemical Sector Security: Risks, Vulnerabilities, and Chemical Industry Representatives’ Perspectives on CFATS. Risk Hazards Crisis Public Policy 2014, 4, 164–178. [Google Scholar] [CrossRef]
- Walsh, V. Invention and Innovation in the Chemical Industry: Demand Pull or Discovery Push? Res. Policy 1984, 3, 211–234. [Google Scholar] [CrossRef]
- Pavitt, K. Sectoral patterns of technical change: Towards a taxonomy and a theory. Res. Policy 1984, 13, 343–373. [Google Scholar] [CrossRef]
- Brömer, J.; Brandenburg, M.; Gold, S. Transforming chemical supply chains toward sustainability—A practice-based view. J. Clean. Prod. 2019, 236, 117701. [Google Scholar] [CrossRef]
- Cucciniello, R.; Cespi, D. Recycling within the Chemical Industry: The Circular Economy Era. Recycling 2018, 3, 22. [Google Scholar] [CrossRef]
- Papaioannou, E.H.; Mazzei, R.; Bazzarelli, F.; Piacentini, E.; Giannakopoulos, V.; Roberts, M.R.; Giorno, L. Agri-Food Industry Waste as Resource of Chemicals: The Role of Membrane Technology in Their Sustainable Recycling. Sustainability 2022, 14, 1483. [Google Scholar] [CrossRef]
- Zhou, H.-L.; Liu, Y.-C.; Tang, Y.; Zhai, J.; Cheng, Y.-C.; Shu, C.-M.; Xing, Z.-X.; Jiang, J.-C.; Huang, A.-C. Utilizing thermokinetic and calorimetric methods to assess the impact of an initiator on the thermal hazard of diallyl phthalate. J. Therm. Anal. Calorim. 2022. [Google Scholar] [CrossRef]
- Marmo, L. Case study of a nylon fibre explosion: An example of explosion risk in a textile plant. J. Loss Prev. Process Ind. 2010, 23, 106–111. [Google Scholar] [CrossRef]
- Portarapillo, M.; Danzi, E.; Guida, G.; Luciani, G.; Marmo, L.; Sanchirico, R.; Di Benedetto, A. On the flammable behavior of non-traditional dusts: Dimensionless numbers evaluation for nylon 6,6 short fibers. J. Loss Prev. Process Ind. 2022, 78, 104815. [Google Scholar] [CrossRef]
- Hu, C.Y.; Raymond, D.J. Lessons learned from hazardous chemical incidents—Louisiana Hazardous Substances Emergency Events Surveillance (HSEES) system. J. Hazard. Mater. 2004, 115, 33–38. [Google Scholar] [CrossRef]
- Zimmerman, L.I.; Lima, R.; Pietrobon, R.; Marcozzi, D. The effects of seasonal variation on hazardous chemical releases. J. Hazard. Mater. 2008, 151, 232–238. [Google Scholar] [CrossRef]
- Rebelo, A.; Ferra, L.; Goncalves, I.; Marques, A.M. A risk assessment model for water resources: Releases of dangerous and hazardous substances. J. Environ. Manag. 2014, 140, 51–59. [Google Scholar] [CrossRef]
- Zhang, H.D.; Zheng, X.P. Characteristics of hazardous chemical accidents in China: A statistical investigation. J. Loss Prev. Proc. Ind. 2012, 25, 686–693. [Google Scholar] [CrossRef]
- Eskenazi, B.; Warner, M.; Brambilla, P.; Signorini, S.; Ames, J.; Mocarelli, P. The Seveso accident: A look at 40 years of health research and beyond. Environ. Int. 2018, 121, 71–84. [Google Scholar] [CrossRef]
- Fabiano, B.; Vianello, C.; Reverberi, A.P.; Lunghi, E.; Maschio, G. A perspective on Seveso accident based on cause consequences analysis by three different methods. J. Loss Prev. Process Ind. 2017, 49, 18–35. [Google Scholar] [CrossRef]
- Bertazzi, P.A.; Bernucci, I.; Brambilla, G.; Consonni, D.; Pesatori, A.C. Seveso Studies on Early and Long-Term Effects of Dioxin Exposure: A Review. Environ. Health Perspect. 1998, 106, 5–20. [Google Scholar] [CrossRef]
- Gaspari, L.; Paris, F.; Kalfa, N.; Soyer-Gobillard, M.-O.; Sultan, C.; Hamamah, S. Experimental Evidence of 2,3,7,8-Tetrachlordibenzo-p-Dioxin (TCDD) Transgenerational Effects on Reproductive Health. Int. J. Mol. Sci. 2021, 22, 9091. [Google Scholar] [CrossRef]
- Fuentes-Bargues, J.L.; González-Cruz, M.C.; González-Gaya, C.; Baixauli-Pérez, M.P. Risk Analysis of a Fuel Storage Terminal Using HAZOP and FTA. Int. J. Environ. Res. Public Health 2017, 14, 705. [Google Scholar] [CrossRef]
- Suffo, M.; Nebot, E. Evolution of the chemical-environmental risk of territorial compatibility under the framework of the Seveso Directive: A case study of the autonomous community of Andalusia (southern Spain). J. Loss Prev. Process Ind. 2015, 34, 177–190. [Google Scholar] [CrossRef]
- Chen-Yu, J.H.; Guo, J.; Kemp-Gatterson, B. Effects of household fabric softeners on flammability of cotton and polyester fabrics. Fam. Consum. Sci. Res. J. 2009, 37, 535–549. [Google Scholar] [CrossRef]
- Murphy, D.S. Fabric Softener Technology: A Review. J. Surfactants Deterg. 2015, 18, 199–204. [Google Scholar] [CrossRef]
- Chen-Yu, J.H.; Emmel, J. Comparisons of fabric care performances between conventional and high-efficiency washers and dryers. Fash. Text. 2018, 5, 19. [Google Scholar] [CrossRef]
- Siddique, A.; Hassan, T.; Abid, S.; Ashraf, M.; Hussain, A.; Shafiq, F.; Khan, M.Q.; Kim, I.S. The Effect of Softeners Applications on Moisture Management Properties of Polyester/Cotton Blended Sandwich Weft-Knitted Fabric Structure. Coatings 2021, 11, 575. [Google Scholar] [CrossRef]
- Kim, H.; Lee, J.-Y. Emerging Concerns about Microplastic Pollution on Groundwater in South Korea. Sustainability 2020, 12, 5275. [Google Scholar] [CrossRef]
- eMARS Accident Database. Available online: https://emars.jrc.ec.europa.eu/en/emars/accident/search (accessed on 9 December 2021).
- Leeuwen, K.V.; Roghair, C.; Nijs, T.; de Greef, J. Ecotoxicological risk evaluation of the cationic fabric softener DTDMAC. III. Risk assessment. Chemosphere 1992, 24, 629–639. [Google Scholar] [CrossRef]
- eMARS Accident Database. Explosion Followed by a Fire Caused by Wrong Mixing Operation in a Reactor. Available online: https://emars.jrc.ec.europa.eu/en/emars/accident/view/26029cf3-350b-4940-6064-037a9d8b3bd7 (accessed on 1 March 2023).
- eMARS Accident Database. Tonnes of Mixed Chemical. Wastes Consumed in the Fire of a Site for Treatment and Storage of Chemical Waste. Available online: https://emars.jrc.ec.europa.eu/en/emars/accident/view/f24b6335-75d7-f1ab-6bb1-16f7f5d21ad7 (accessed on 1 March 2023).
- eMARS Accident Database. Plant Destroyed by the Fire of a Broken Oil Cooling System Caused by Overpressure Due to Runaway Reaction. Available online: https://emars.jrc.ec.europa.eu/en/emars/accident/view/c6df8789-b814-8560-e75d-670955f99710 (accessed on 1 March 2023).
- eMARS Accident Database. Large Burning of Hydrocar-Bon Chemicals in a Terminal. Available online: https://emars.jrc.ec.europa.eu/en/emars/accident/view/357064f4-2a1a-e215-d902-34ae0b75ca3c (accessed on 1 March 2023).
- eMARS Accident Database. Spillage of Rinsing Water Containing Chromium Trioxide in a Galvanic Installation. Available online: https://emars.jrc.ec.europa.eu/en/emars/accident/view/68af6996-b20e-7fb2-1f06-476ef9c17465 (accessed on 1 March 2023).
- eMARS Accident Database. Release of Substances and Subsequent Fire at a Surfactant Production Plant. Available online: https://emars.jrc.ec.europa.eu/en/emars/accident/view/e375a3e8-2927-c5da-1e19-b2511b846444 (accessed on 1 March 2023).
- eMARS Accident Database. Deflagration Reactor Accident during Manufacturing Process Softening ROQUAT SM 75. Available online: https://emars.jrc.ec.europa.eu/en/emars/accident/view/9ef3ad37-620e-1035-1ea8-fe7191ea4cb2 (accessed on 9 December 2021).
- Zhang, C.-Z.; Xie, L.-J.; Tang, Y.; Li, Y.; Jiang, J.-C.; Huang, A.-C. Thermal Safety Evaluation of Silane Polymer Compounds as Electrolyte Additives for Silicon-Based Anode Lithium-Ion Batteries. Processes 2022, 10, 1581. [Google Scholar] [CrossRef]
- Ramírez, Á.; García-Torrent, J.; Tascón, A. Experimental determination of self-heating and self-ignition risks associated with the dusts of agricultural materials commonly stored in silos. J. Hazard. Mater. 2010, 175, 920–927. [Google Scholar] [CrossRef]
- Díaz, E.; Pintado, L.; Faba, L.; Ordóñez, S.; González-La Fuente, J.M. Effect of sewage sludge composition on the susceptibility to spontaneous combustion. J. Hazard. Mater. 2019, 361, 267–272. [Google Scholar] [CrossRef]
- Font, R. Analysis of the spontaneous combustion and self-heating of almond shells. Fuel 2020, 279, 118504. [Google Scholar] [CrossRef]
- Gary, W.E.; Duane, E.W.; Drew, P. Quaternary methyl carbonates: Novel agents for fabric conditioning. J. Surf. Deterg. 2005, 8, 325–329. [Google Scholar] [CrossRef]
- Barrault, J.; Pouilloux, Y. Synthesis of fatty amines. Selectivity control in presence of multifunctional catalysts. Catal. Today 1997, 37, 137–153. [Google Scholar] [CrossRef]
- Hur, S.J.; Park, G.B.; Joo, S.T. Formation of cholesterol oxidation products (COPs) in animal products. Food Control 2007, 18, 939–947. [Google Scholar] [CrossRef]
- Haiduc, A.G.; Brandenberger, M.; Suquet, S.; Vogel, F.; Bernier-Latmani, R.; Ludwig, C. SunCHem: An integrated process for the hydrothermal production of methane from microalgae and CO2 mitigation. J. Appl. Phycol. 2009, 21, 529–541. [Google Scholar] [CrossRef]
- Marinovich, M.; Boraso, M.S.; Testai, E.; Galli, C.L. Metals in cosmetics: An a posteriori safety evaluation. Regul. Toxicol. Pharmacol. 2014, 69, 416–424. [Google Scholar] [CrossRef]
- Tascón, A.; Ramírez-Gómez, Á.; Aguado, P.J. Dust explosions in an experimental test silo: Influence of length/diameter ratio on vent area sizes. Biosyst. Eng. 2016, 148, 18–33. [Google Scholar] [CrossRef]
- Amez, I.; Castells, B.; Llamas, B.; Bolonio, D.; García-Martínez, M.J.; Lorenzo, J.L.; García-Torrent, J.; Ortega, M.F. Experimental Study of Biogas—Hydrogen Mixtures Combustion in Conventional Natural Gas Systems. Appl. Sci. 2021, 11, 6513. [Google Scholar] [CrossRef]
- Querol, E.; Garcia, J.; Ramos, A. Test methods for electrical apparatus installed on dust environments with a risk of explosion. IEEE Lat. Am. Trans. 2006, 4, 366–372. [Google Scholar] [CrossRef]
- McMillan, A. Electrical Installations in Hazardous Areas; Butterworth-Heinemann Linacre House: Oxford, UK, 1998; p. 11. [Google Scholar]
- Centrella, L.; Portarapillo, M.; Luciani, G.; Sanchirico, R.; Di Benedetto, A. Synergistic behavior of flammable dust mixtures: A novel classification. J. Hazard. Mater. 2020, 397, 122784. [Google Scholar] [CrossRef]
- Urtiaga, A.M.; Gorri, E.D.; Ortiz, I. Pervaporative recovery of isopropanol from industrial effluents. Sep. Purif. Technol. 2006, 49, 245–252. [Google Scholar] [CrossRef]




| Start Date | Accident Title | Substances Involved | Causes Description |
|---|---|---|---|
| 8 Jun. 1988 | Explosion followed by a fire caused by wrong mixing operation in a reactor [33]. | Sodium Hypochlorite. | Wrong mixing in a reactor, more than 100 substances involved including, isopropanol. |
| 1 Oct. 2000 | Tonnes of mixed chemical wastes consumed in the fire of a site for treatment and storage of chemical waste [34]. | Isopropanol. | Fire spreads to a large number of flammable substances. Start of fire: Isopropanol. |
| 11 Feb. 2005 | Plant destroyed by the fire of a broken oil cooling system caused by overpressure due to runaway reaction [35]. | Sodium Ethylate. | The sodium borohydride in a mixture with alcohols caused an exothermic reaction, inflammation, and the flame broke the oil cooling system. |
| 26 Jul. 2006 | Large burning of hydrocarbon chemicals in a terminal [36]. | Acetone. Styrene. Toluene. Methanol. Isopropanol. Hexane. | It may be a combination of a leakage (even not from xylene) and static electricity or spark caused by accidental strike/friction of metal equipment. It is under juridical investigation. |
| 24 Mar. 2007 | Spillage of rinsing water containing chromium trioxide in a galvanic installation [37]. | Sodium bisulfite. | The event was triggered by the opening of the threaded pipe joint (on the pressure side) connecting the shutoff ball valve with the circulating pump. The rinsing liquid (under pressure) sprayed beyond the catching cup. |
| 27 May. 2011 | Release of substances and subsequent fire at a surfactant production plant [38]. | Phthalic anhydride. | The ignition of the phthalic anhydride was probably caused by sparking resulting from short-circuiting of electrical cables positioned close to the ground. The cables were flooded by the hot phthalic anhydride, melting their insulation. |
| 27 Aug. 2015 | Deflagration reactor accident during manufacturing process softening Roquat 75 [39]. | Isopropyl alcohol. Diethylenetriamine. Sodium bromide. Hydrogen peroxide. Dimethyl sulfate. | The SM 75 ROQUAT finished product is a flammable solid, skin irritant and presented specific toxicity effects of drowsiness and dizziness. |
| Variable | Value |
|---|---|
| Volume | 150 mL |
| Initial temperature | 15–18 °C |
| Final temperature | 80 °C |
| Ambient temperature | 25 °C |
| Time test | 20 min |
| Heating rate | 3 °C/min |
| Maciejasz Index (MI) | 100/t |
| Sample | Description |
|---|---|
| S1 | C3H8O |
| S2 | C3H8O + 200 ppm Ni |
| S3 | C3H8O + 2% (CH3)2SO4 |
| S4 | C3H8O + 2% (CH3)2SO4 + 200 ppm Ni |
| S5 | C3H8O + 2% H2SO4 |
| S6 | C3H8O + 2% H2SO4 + 200 ppm Ni |
| Sample | Test | Initial Temperature (°C) | Final Temperature (°C) | Time Test (min) | Maciejasz Index (MI) |
|---|---|---|---|---|---|
| S1 | S1-1 | 20 | 24 | 22 | 4.54 |
| S1-2 | 17 | 22 | 23 | 4.34 | |
| S1-3 | 17 | 22 | 20 | 5.00 | |
| S1-4 | 18 | 23 | 23 | 4.34 | |
| S1-5 | 18 | 23 | 22 | 4.54 | |
| S1-6 | 19 | 24 | 25 | 4.00 | |
| S2 | S2-1 | 20 | 23 | 43 | 2.32 |
| S2-2 | 20 | 25 | 20 | 5.00 | |
| S2-3 | 21 | 26 | 20 | 5.00 | |
| S2-4 | 21 | 26 | 26 | 3.84 | |
| S2-5 | 22 | 27 | 21 | 4.76 | |
| S2-6 | 23 | 27 | 22 | 4.54 | |
| S3 | S3-1 | 21 | 26 | 20 | 5.00 |
| S3-2 | 22 | 26 | 22 | 4.54 | |
| S3-3 | 22 | 26 | 20 | 5.00 | |
| S3-4 | 23 | 27 | 20 | 5.00 | |
| S3-5 | 23 | 27 | 20 | 5.00 | |
| S3-6 | 23 | 27 | 23 | 4.34 | |
| S4 | S4-1 | 21 | 26 | 20 | 5.00 |
| S4-2 | 18 | 22 | 22 | 4.54 | |
| S4-3 | 19 | 23 | 20 | 5.00 | |
| S4-4 | 20 | 25 | 21 | 5.00 | |
| S4-5 | 21 | 25 | 20 | 5.00 | |
| S4-6 | 21 | 26 | 26 | 4.34 | |
| S5 | S5-1 | 23 | 25 | 30 | 3.33 |
| S5-2 | 23 | 26 | 23 | 4.35 | |
| S5-3 | 24 | 27 | 20 | 5.00 | |
| S5-4 | 24 | 27 | 21 | 4.76 | |
| S5-5 | 25 | 28 | 20 | 5.00 | |
| S5-6 | 24 | 27 | 20 | 5.00 | |
| S6 | S6-1 | 25 | 29 | 30 | 3.33 |
| S6-2 | 25 | 27 | 20 | 5.00 | |
| S6-3 | 25 | 28 | 21 | 4.76 | |
| S6-4 | 25 | 28 | 21 | 4.76 | |
| S6-5 | 25 | 28 | 22 | 4.54 | |
| S6-6 | 25 | 27 | 20 | 5.00 |
| Sample | Description | ΔT (°C) | Maciejasz Index (MI) |
|---|---|---|---|
| S1 | C3H8O | 5.0 | 4.46 |
| S2 | C3H8O + 200 ppm Ni | 5.0 | 4.24 |
| S3 | C3H8O + 2% (CH3)2SO4 | 4.0 | 4.81 |
| S4 | C3H8O + 2% (CH3)2SO4 + 200 ppm Ni | 4.5 | 4.81 |
| S5 | C3H8O + 2% H2SO4 | 3.0 | 4.57 |
| S6 | C3H8O + 2% H2SO4 + 200 ppm Ni | 3.0 | 4.56 |
Disclaimer/Publisher’s Note: The statements, opinions and data contained in all publications are solely those of the individual author(s) and contributor(s) and not of MDPI and/or the editor(s). MDPI and/or the editor(s) disclaim responsibility for any injury to people or property resulting from any ideas, methods, instructions or products referred to in the content. |
© 2023 by the authors. Licensee MDPI, Basel, Switzerland. This article is an open access article distributed under the terms and conditions of the Creative Commons Attribution (CC BY) license (https://creativecommons.org/licenses/by/4.0/).
Share and Cite
Álvarez-Castellanos, P.P.; Fernández-Arias, P.; Vergara, D.; San-José, F.J. Thermal Susceptibility of Nickel in the Manufacture of Softeners. Processes 2023, 11, 821. https://doi.org/10.3390/pr11030821
Álvarez-Castellanos PP, Fernández-Arias P, Vergara D, San-José FJ. Thermal Susceptibility of Nickel in the Manufacture of Softeners. Processes. 2023; 11(3):821. https://doi.org/10.3390/pr11030821
Chicago/Turabian StyleÁlvarez-Castellanos, Pino P., Pablo Fernández-Arias, Diego Vergara, and Francisco J. San-José. 2023. "Thermal Susceptibility of Nickel in the Manufacture of Softeners" Processes 11, no. 3: 821. https://doi.org/10.3390/pr11030821
APA StyleÁlvarez-Castellanos, P. P., Fernández-Arias, P., Vergara, D., & San-José, F. J. (2023). Thermal Susceptibility of Nickel in the Manufacture of Softeners. Processes, 11(3), 821. https://doi.org/10.3390/pr11030821

