Specifics of Electrostatic Precipitation of Fly Ash from Small-Scale Fossil Fuel Combustion
Abstract
1. Introduction
1.1. Basics of Electrostatic Precipitation
1.2. Some Specificities of Industrial Electrostatic Precipitation
1.3. The Collected Ash Classification and Utilisation
1.4. Distinctions of Electrostatic Precipitation for Small-Scale Combustion
1.5. The Aims and Novelty of the Research
- −
- features of electrostatic precipitation of particles from small-scale boilers;
- −
- developing optimal values of the ESP technological parameters to meet the required removal efficiency;
- −
- the chemical composition of the collected fly ash in terms of its utilisation.
2. Experimental Setup and Evaluation
2.1. Boiler and Fuels
2.2. ESP
2.3. Operating Modes
2.4. Sampling Techniques and Analysis
3. Results and Discussion
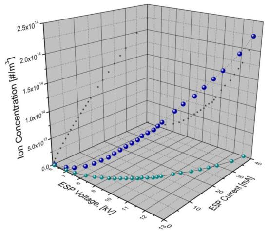
3.1. ESP Performance
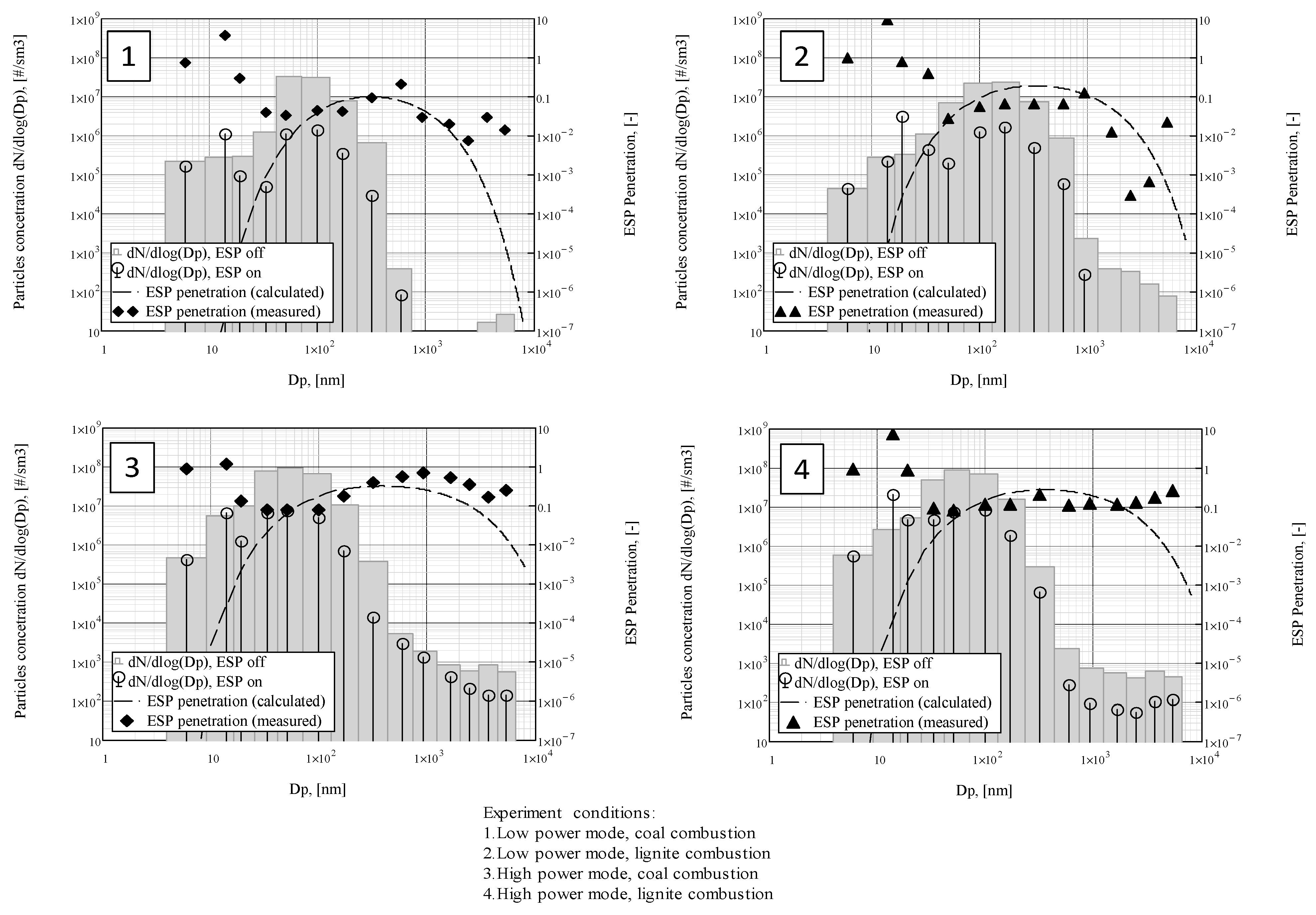
3.2. The Changes in Particle Concentration
3.3. Sulphuric Acid Nucleation
3.4. Chemical Composition of Collected Fly Ash
4. Conclusions
Author Contributions
Funding
Institutional Review Board Statement
Informed Consent Statement
Data Availability Statement
Acknowledgments
Conflicts of Interest
Symbols and Constants
| A | m2 | Total area of collecting electrodes |
| C | Particle concentration | |
| mg/m3 | Mass | |
| #/m3 | Number | |
| cESPon | mg/m3, #/m3 | Particle concentration: ESP on-regime |
| cESPoff | mg/m3, #/m3 | Particle concentration: ESP off-regime |
| Cc | - | Cunningham correction factor, |
| #/m3 | Number fraction concentration | |
| dp | m | Particle diameter |
| E (Eav) | V/m | Electric field strength (average value) |
| e | C | Elementary (electron) charge e = 1.6 × 10−19 |
| I | mA | Electrostatic precipitation current |
| j | mA/m2 | Electric current density |
| kb | J/K | Boltzmann constant 1.3806488(13) × 10−23 |
| N | #/m3 | Number concentration of ions |
| R | m | Distance from discharge wire to collecting electrode |
| T | K | Absolute gas temperature |
| t | s | Residence time |
| ui | m2/V×s | Ion mobility |
| U | V | ESP voltage |
| V | m3/s | Volume flow rate of combustion gases |
| m/s | Mean thermal velocity of ions | |
| wf | m/s | Particle drift velocity |
| C | Particle charge | |
| - | Theoretical particle removal efficiency of ESP | |
| e0 | F/m | Electric constant (vacuum permittivity) e0 = 8.85 × 10−12 |
| - | Particle dielectric constant (relative material permittivity) | |
| µ | Pa×s | Dynamic viscosity of gaseous medium |
References
- C.R.E. 2015/1189, Commission Regulation (EU) 2015/1189 of 28 April 2015 Implementing Directive 2009/125/EC of the European Parliament and of the Council with Regard to Ecodesign Requirements for Solid Fuel Boilers. 2015. Available online: https://eur-lex.europa.eu/legal-content/EN/TXT/?uri=uriserv:OJ.L_.2015.193.01.0100.01.ENG&toc=OJ:L:2015:193:TOC (accessed on 23 January 2023).
- Dockery, D.W.; Rich, D.Q.; Goodman, P.G.; Clancy, L.; Ohman-Strickland, P.; George, P.; Kotlov, T.; HEI Health Review Committee. Effect of air pollution control on mortality and hospital admissions in Ireland. Res. Rep. (Health Eff. Inst.) 2013, 176, 3–109. [Google Scholar]
- IEA, U.S. Energy Information Administration. 2020. Available online: https://www.eia.gov/outlooks/archive/ieo20/ (accessed on 23 January 2023).
- Edwards, R.D.; Smith, K.R.; Zhang, J.; Ma, Y. Implications of changes in household stoves and fuel use in China. Energy Policy 2004, 32, 395–411. [Google Scholar] [CrossRef]
- Winijkul, E.; Bond, T.C. Emissions from residential combustion considering end-uses and spatial constraints: Part II, emission reduction scenarios. Atmos. Environ. 2016, 124, 1–11. [Google Scholar] [CrossRef]
- Carroll, J.P.; Finnan, J.M. The use of additives and fuel blending to reduce emissions from the combustion of agricultural fuels in small scale boilers. Biosyst. Eng. 2015, 129, 127–133. [Google Scholar] [CrossRef]
- Johansson, L.S.; Tullin, C.; Leckner, B.; Sjovall, P. Particle emissions from biomass combustion in small combustors. Biomass Bioenergy 2003, 25, 435–446. [Google Scholar] [CrossRef]
- Verma, V.K.; Bram, S.; Gauthier, G.; De Ruyck, J. Evaluation of the performance of a multi-fuel domestic boiler with respect to the existing European standard and quality labels: Part-1. Biomass Bioenergy 2011, 35, 80–89. [Google Scholar] [CrossRef]
- Molchanov, O.; Krpec, K.; Horák, J.; Ochodek, T.; Kubonová, L.; Hopan, F.; Ryšavý, J. Optimising parameters for improved electrostatic precipitation of fly ash from small-scale biomass combustion. J. Clean. Prod. 2022, 362, 132352. [Google Scholar] [CrossRef]
- Lee, G.-H.; Hwang, S.-Y.; Cheon, T.-W.; Kim, H.-J.; Han, B.; Yook, S.-J. Optimization of pipe-and-spike discharge electrode shape for improving electrostatic precipitator collection efficiency. Powder Technol. 2021, 379, 241–250. [Google Scholar] [CrossRef]
- Deutsch, W. Bewegung und Ladung der Elektrizitätsträger im Zylinderkondensator. Ann. Physik 1922, 68. [Google Scholar] [CrossRef]
- White, H.J. Industrial Electrostatic Precipitation; Addison-Wesley Publishing Company: Boston, MA, USA, 1963. [Google Scholar]
- Ehrlich, C.; Noll, G.; Kalkoff, W.D.; Baumbach, G.; Dreiseidler, A. PM10, PM2.5 and PM1.0—Emissions from industrial plants—Results from measurement programmes in Germany. Atmos. Environ. 2007, 41, 6236–6254. [Google Scholar] [CrossRef]
- Hower, J.C.; Clack, H.L.; Hood, M.M.; Hopps, S.G.; Thomas, G.H. Impact of coal source changes on mercury content in fly ash: Examples from a Kentucky power plant. Int. J. Coal Geol. 2017, 170, 2–6. [Google Scholar] [CrossRef]
- He, K.; Lu, J.; Ma, X.; Ju, Y.; Xie, L.; Pang, L.; Wang, X.; Chen, J. Effect of maxwell-Wagner relaxation on field charging of particles. Aerosol Sci. Technol. 2015, 49, 1210–1221. [Google Scholar] [CrossRef]
- Nelson, S.O. Measurement and calculation of powdered mixture permittivities. IEEE Trans. Instrum. Meas. 2001, 50, 1066–1070. [Google Scholar] [CrossRef]
- Sreenivas, V.N.; Karthik, D.; Kumar, V.A.; Sidharth, V.D.; Sundaram, T.M.; Sarkar, S.; Narayanan, S.B. Determination of complex permittivity of fly ash for potential electronic applications. In Applied Mechanics and Materials; Trans Tech Publications Ltd.: Wollerau, Switzerland, 2012; pp. 4292–4296. [Google Scholar]
- Tao, Y.; Ding, Q.; Deng, M.; Tao, D.; Wang, X.; Zhang, J. Electrical properties of fly ash and its decarbonization by electrostatic separation. Int. J. Min. Sci. Technol. 2015, 25, 629–633. [Google Scholar] [CrossRef]
- Flagan, R.C. Submicron particles from coal combustion. In Symposium (International) on Combustion; Elsevier: Amsterdam, The Netherlands, 1979; Volume 17, pp. 97–104. [Google Scholar]
- Sorokin, A.; Arnold, F.; Wiedner, D. Formation and growth of sulfuric acid–water cluster ions: Experiments, modelling, and implications for ion-induced aerosol formation. Atmos. Environ. 2006, 40, 2030–2045. [Google Scholar] [CrossRef]
- Borra, J.P. Charging of aerosol and nucleation in atmospheric pressure electrical discharges. Plasma Phys. Control. Fusion 2008, 50, 10. [Google Scholar] [CrossRef]
- Krupa, A.; Podliński, J.; Mizeraczyk, J.; Jaworek, A. Velocity field of EHD flow during back corona discharge in electrostatic precipitator. Powder Technol. 2019, 344, 475–486. [Google Scholar] [CrossRef]
- Jaworek, A.; Czech, T.; Rajch, E.; Lackowski, M. Laboratory studies of back-discharge in fly ash. J. Electrost. 2006, 64, 326–337. [Google Scholar] [CrossRef]
- Masuda, S.; Mizuno, A. Initiation condition and mode of back discharge. J. Electrost. 1977, 4, 35–52. [Google Scholar] [CrossRef]
- Huang, B.; Gan, M.; Ji, Z.; Fan, X.; Zhang, D.; Chen, X.; Sun, Z.; Huang, X.; Fan, Y. Recent progress on the thermal treatment and resource utilization technologies of municipal waste incineration fly ash: A review. Process. Saf. Environ. Prot. 2022, 159, 547–565. [Google Scholar] [CrossRef]
- Gollakota, A.R.K.; Volli, V.; Shu, C.-M. Progressive utilisation prospects of coal fly ash: A review. Sci. Total Environ. 2019, 672, 951–989. [Google Scholar] [CrossRef] [PubMed]
- Loya, M.I.M.; Rawani, A.M. A review: Promising applications for utilization of fly ash. Int. J. Adv. Technol. Eng. Sci. 2014, 2, 143–149. [Google Scholar]
- ASTM C618-19; Standard Specification for Coal Fly Ash and Raw or Calcined Natural Pozzolan for Use in Concrete. ASTM International: West Conshohocken, PA, USA, 2019.
- Chen, Q.; Zhang, X.; Bradford, D.; Sharifi, V.; Swithenbank, J. Comparison of Emission Characteristics of Small-Scale Heating Systems Using Biomass Instead of Coal. Energy Fuels 2010, 24, 4255–4265. [Google Scholar] [CrossRef]
- Eom, Y.S.; Kang, D.H.; Choi, D.H. Numerical analysis of PM2.5 particle collection efficiency of an electrostatic precipitator integrated with double skin façade in a residential home. Build. Environ. 2019, 162, 106245. [Google Scholar] [CrossRef]
- Schittl, F.; Unterpertinger, L.; Heschl, C.; Krail, J. Numerical and experimental development of integrated electrostatic precipitator concepts for small-scaled biomass furnaces. Biomass Bioenergy 2021, 154, 106247. [Google Scholar] [CrossRef]
- Jaworek, A.; Sobczyk, A.T.; Marchewicz, A.; Krupa, A.; Czech, T. Particulate matter emission control from small residential boilers after biomass combustion. A review. Renew. Sustain. Energy Rev. 2021, 137, 110446. [Google Scholar] [CrossRef]
- Al-Hamouz, Z. Numerical and experimental evaluation of fly ash collection efficiency in electrostatic precipitators. Energy Convers. Manag. 2014, 79, 487–497. [Google Scholar] [CrossRef]
- Yang, X.F.; Kang, Y.M.; Zhong, K. Effects of geometric parameters and electric indexes on the performance of laboratory-scale electrostatic precipitators. J. Hazard. Mater. 2009, 169, 941–947. [Google Scholar] [CrossRef]
- EN 303-5:2013; Heating Boilers—Part 5: Heating Boilers for Solid Fuels, Manually and Automatically Stoked, Nominal Heat Output of Up to 500 kw—Terminology, Requirements, Testing and Marking. European Standard: Brussels, Belgium, 2013. Available online: https://www.en-standard.eu/ilnas-en-303-5-heating-boilers-part-5-heating-boilers-for-solid-fuels-manually-and-automatically-stoked-nominal-heat-output-of-up-to-500-kw-terminology-requirements-testing-and-marking/ (accessed on 23 January 2023).
- EN13284-1:2017; Stationary Source Emissions—Determination of Low Range Mass Concentration of Dust—Part 1: Manual Gravimetric Method. European Standard: Brussels, Belgium, 2017. Available online: https://www.en-standard.eu/csn-en-13284-1-stationary-source-emissions-determination-of-low-range-mass-concentration-of-dust-part-1-manual-gravimetric-method/ (accessed on 23 January 2023).
- Keskinen, J.; Pietarinen, K.; Lehtimäki, M. Electrical low pressure impactor. J. Aerosol Sci. 1992, 23, 353–360. [Google Scholar] [CrossRef]
- Järvinen, A.; Aitomaa, M.; Rostedt, A.; Keskinen, J.; Yli-Ojanperä, J. Calibration of the new electrical low pressure impactor (ELPI+). J. Aerosol Sci. 2014, 69, 150–159. [Google Scholar] [CrossRef]
- Virtanen, A.; Marjamäki, M.; Ristimäki, J.; Keskinen, J. Fine particle losses in electrical low-pressure impactor. J. Aerosol Sci. 2001, 32, 389–401. [Google Scholar] [CrossRef]
- Marjamäki, M.; Keskinen, J.; Chen, D.-R.; Pui, D.Y.H. Performance evaluation of the electrical low-pressure impactor (ELPI). J. Aerosol Sci. 2000, 31, 249–261. [Google Scholar] [CrossRef]
- Leskinen, J.; Joutsensaari, J.; Lyyränen, J.; Koivisto, J.; Ruusunen, J.; Järvelä, M.; Tuomi, T.; Hämeri, K.; Auvinen, A.; Jokiniemi, J. Comparison of nanoparticle measurement instruments for occupational health applications. J. Nanopart. Res. 2012, 14, 718. [Google Scholar] [CrossRef]
- Molchanov, O.; Krpec, K.; Horák, J.; Kuboňová, L.; Hopan, F. Predicting efficiency for electrostatic precipitation of fly ash from small-scale solid fuel combustion. Sep. Purif. Technol. 2021, 270, 118807. [Google Scholar] [CrossRef]
- Cornette, J.F.P.; Coppieters, T.; Desagher, D.; Annendijck, J.; Lepaumier, H.; Faniel, N.; Dyakov, I.; Blondeau, J.; Bram, S. Influence of the Dilution System and Electrical Low Pressure Impactor Performance on Particulate Emission Measurements from a Medium-scale Biomass Boiler. Aerosol Air Qual. Res. 2020, 20, 499–519. [Google Scholar] [CrossRef]
- Bologa, A.; Paur, H.-R.; Ulbricht, T.; Woletz, K. Particle Emissions from Small Scale Wood Combustion Devices and their Control by Electrostatic Precipitation. Aaas10 Adv. Atmos. Aerosol Symp. 2010, 22, 119–124. [Google Scholar] [CrossRef]
- Intra, P.; Limueadphai, P.; Tippayawong, N. Particulate Emission Reduction from Biomass Burning in Small Combustion Systems with a Multiple Tubular Electrostatic Precipitator. Part. Sci. Technol. 2010, 28, 547–565. [Google Scholar] [CrossRef]
- Barranco, R.; Gong, M.; Thompson, A.; Cloke, M.; Hanson, S.; Gibb, W.; Lester, E. The impact of fly ash resistivity and carbon content on electrostatic precipitator performance. Fuel 2007, 86, 2521–2527. [Google Scholar] [CrossRef]
- Bickelhaupt, R.E.; Sparks, L.E. Predicting fly ash resistivity—An evaluation. Environ. Int. 1981, 6, 211–218. [Google Scholar] [CrossRef]
- Bickelhaupt, R.E. Research Report, a Technique for Predicting Fly Ash Resistivity; United States Environmental Protection: South Birmingham, AL, USA, 1979.
- Zheng, C.; Liu, X.; Yan, P.; Zhang, Y.; Wang, Y.; Qiu, K.; Gao, X. Measurement and prediction of fly ash resistivity over a wide range of temperature. Fuel 2018, 216, 673–680. [Google Scholar] [CrossRef]
- Zhang, H.; Wang, Y.; Gao, W.; Wu, Z.; Yang, Z.; Yang, Y.; Wu, W.; Zheng, C.; Gao, X. Minimizing the adverse effects of dust layer on the particle migration in electrostatic precipitator under various temperature. Fuel Process. Technol. 2021, 213, 106659. [Google Scholar] [CrossRef]
- Kapcov, N.A. Koronnyj Razryad; Moskva: Moscow, Russia, 1947; pp. 182–185. [Google Scholar]
- Nussbaumer, T.; Lauber, A. Monitoring the availability of electrostatic precipitators (ESP) in automated biomass combustion plants. Biomass Bioenergy 2016, 89, 24–30. [Google Scholar] [CrossRef]
- White, H.J. Particle Charging in Electrostatic Precipitation. Trans. Am. Inst. Electr. Eng. 1951, 70, 1186–1191. [Google Scholar] [CrossRef]
- Zhang, H.; Shao, L.; Gao, W.; Wang, Y.; Liu, X.; Yang, Y.; Zheng, C.; Gao, X. Particle charging in electric field under simulated SO3-containing flue gas at low temperature. Fuel 2022, 310, 122291. [Google Scholar] [CrossRef]
- Arrondel, V.; Bacchiega, G. Nanoparticle and fine particle collection efficiency using an electrostatic precipitator: A description of the specific physical processes. In Proceedings of the ICESP 2016, Wrocław, Poland, 19–23 September 2016. Available online: http://demo.nspiresoft.com/isespnew/assets/themes/isesp/papers/xiv/S1.4-Arrondel.pdf (accessed on 23 January 2023).
- Zheng, C.; Shao, L.; Wang, Y.; Zheng, H.; Gao, W.; Zhang, H.; Wu, Z.; Shen, J.; Gao, X. Investigation of the growth and removal of particles in coal-fired flue gas by temperature management. Fuel 2021, 302, 121220. [Google Scholar] [CrossRef]
- Yang, W.; Pudasainee, D.; Gupta, R.; Li, W.; Wang, B.; Sun, L. An overview of inorganic particulate matter emission from coal/biomass/MSW combustion: Sampling and measurement, formation, distribution, inorganic composition and influencing factors. Fuel Process. Technol. 2021, 213, 106657. [Google Scholar] [CrossRef]
- Horák, J.; Kuboňová, L.; Bajer, S.; Dej, M.; Hopan, F.; Krpec, K.; Ochodek, T. Composition of ashes from the combustion of solid fuels and municipal waste in households. J. Environ. Manag. 2019, 248, 109269. [Google Scholar] [CrossRef]
- Ozturk, M.; Karaaslan, M.; Akgol, O.; Sevim, U.K. Mechanical and electromagnetic performance of cement based composites containing different replacement levels of ground granulated blast furnace slag, fly ash, silica fume and rice husk ash. Cem. Concr. Res. 2020, 136, 106177. [Google Scholar] [CrossRef]
- Bhatt, A.; Priyadarshini, S.; Acharath Mohanakrishnan, A.; Abri, A.; Sattler, M.; Techapaphawit, S. Physical, chemical, and geotechnical properties of coal fly ash: A global review. Case Stud. Constr. Mater. 2019, 11, e00263. [Google Scholar] [CrossRef]
- Nathan, Y.; Dvorachek, M.; Pelly, I.; Mimran, U. Characterization of coal fly ash from Israel. Fuel 1999, 78, 205–213. [Google Scholar] [CrossRef]
- Gupta, S.; Kashani, A. Utilization of biochar from unwashed peanut shell in cementitious building materials—Effect on early age properties and environmental benefits. Fuel Process. Technol. 2021, 218, 106841. [Google Scholar] [CrossRef]







| Class | Content Σ (SiO2 + Al2O3 + Fe2O3) | SO3 Content |
|---|---|---|
| C | ≥50 | ≤5 |
| F | ≥70 | ≤3 |
| Carbon | Hydrogen | Sulphur | Nitrogen | Oxygen | Water | Ash | |
|---|---|---|---|---|---|---|---|
| Content in coal (mass %) | 63.1 | 3.97 | 0.56 | 1.06 | 6.34 | 6.79 | 18.17 |
| Content in lignite (mass %) | 51.74 | 4.03 | 0.5 | 0.63 | 13.45 | 26.08 | 3.57 |
| Parameter | Unit | Low Power Mode Coal/Lignite | High Power Mode Coal/Lignite |
|---|---|---|---|
| Flue gas temperature, T | °C | 71/80 | 120/99 |
| Combustion gas flow rate, V ** | m3/h | 453/667 | 1244/970 |
| Content of N2 in flue gases | vol% | 75.88/74.7 | 75.53/71.8 |
| Content of CO2 in flue gases | vol% | 7.98/5.79 | 9.51/11.43 |
| Content of O2 in flue gases | vol% | 10.9/13.22 | 9.03/5.98 |
| Content of H2O in flue gases | vol% | 5.22/6.27 | 5.9/10.75 |
| CO * | mg/m3 | 150/682 | 301/253 |
| NOX * | mg/m3 | 360/336 | 308/275 |
| SOX * | mg/m3 | 530/1617 | 417/1533 |
| Parameter | Unit | Low Power Mode | High Power Mode | ||
|---|---|---|---|---|---|
| Coal | Lignite | Coal | Lignite | ||
| Residence time in ESP, t | s | 3.1 | 2.1 | 1.1 | 1.5 |
| Specific collecting area, SCA | m2/(m3/s) | 167.36 | 113.67 | 60.95 | 78.16 |
| Ion concentration, N | #/m3 | 2.25 × 1014 | |||
| Average electric field strength, E | V/m | 2.8 × 105 | |||
| PM concentration, ESP off/on, Cmass | mg/m3 | 67/7 | 76/13 | 73/13 | 98/21 |
| * | - | 0.9 | 0.83 | 0.82 | 0.79 |
| PN concentration, ESP off/on, CN | ×106 #/m3 | 20.7/0.5 | 21.5/0.92 | 55.0/11 | 75.0/8 |
| * | - | 0.97 | 0.96 | 0.80 | 0.89 |
| Element | Coal Combustion | Lignite Combustion | Tolerance | ||
|---|---|---|---|---|---|
| ESP | Boiler | ESP | Boiler | ||
| Al2O3 | 13.6 | 11.1 | 13.4 | 11.8 | ±8% |
| CaO | 7.54 | 5.05 | 7.66 | 5.98 | ±8% |
| Fe2O3 | 7.7 | 5.27 | 6.96 | 6.53 | ±6% |
| K2O | 1.77 | 1.18 | 1.45 | 0.86 | ±6% |
| MgO | 1.52 | 1.10 | 1.42 | 1.19 | ±12% |
| Na2O | 0.25 | 0.11 | 0.25 | 0.13 | ±12% |
| P2O5 | 0.321 | 0.206 | 0.11 | 0.079 | ±30% |
| SiO2 | 21.3 | 19.8 | 18.6 | 16.6 | ±20% |
| SO3 | 8.02 | 4.56 | 9.67 | 7.22 | ±9% |
| TiO2 | 0.77 | 0.585 | 0.83 | 0.723 | ±10% |
| C | 37.82/28.47 | 51.57/37.46 * | 40.54/32.73 * | 49.7/41.18 | ±10% |
| Trace elements | 0.45 | 0.44 | 0.30 | 0.31 | ±8% |
| Element | Coal Combustion | Lignite Combustion | Tolerance | ||
|---|---|---|---|---|---|
| ESP | Boiler | ESP | Boiler | ||
| As | 916 | 178 | 1170 | 325 | ±10% |
| Ba | 1800 | 1690 | 1030 | 790 | ±10% |
| Be | 8.1 | 5.57 | 6.95 | 7.33 | |
| Cd | 8.1 | 2.0 | 6.6 | 6.7 | ±50% |
| Co | 149 | 123 | 145 | 112 | ±30% |
| Cr | 198 | 120 | 212 | 184 | ±15% |
| Cu | 232 | 89.5 | 202 | 118 | ±15% |
| Hg | 7.81 | 1.10 | 9.12 | 1.76 | ±10% |
| Mn | 686 | 465 | 660 | 618 | ±12% |
| Mo | 17.7 | 8.4 | 11.3 | 6.2 | ±50% |
| Ni | 164 | 92.7 | 167 | 129 | ±15% |
| Pb | 225 | 49.5 | 156 | 37.8 | ±25% |
| Sb | 10.6 | ≤3.0 | 6.4 | ≤3.0 | ±50% |
| Se | 88.0 | 17.1 | 79.3 | 19.8 | ±30% |
| Sn | 21.5 | ≤3.0 | 16.6 | ≤3.0 | ±50% |
| Sr | 1030 | 1070 | - | - | ±10% |
| Tl | 1.0 | 1.5 | - | - | ±30% |
| V | 441 | 257 | 559 | 494 | ±20% |
| Zn | 989 | 205 | 814 | 244 | ±10% |
Disclaimer/Publisher’s Note: The statements, opinions and data contained in all publications are solely those of the individual author(s) and contributor(s) and not of MDPI and/or the editor(s). MDPI and/or the editor(s) disclaim responsibility for any injury to people or property resulting from any ideas, methods, instructions or products referred to in the content. |
© 2023 by the authors. Licensee MDPI, Basel, Switzerland. This article is an open access article distributed under the terms and conditions of the Creative Commons Attribution (CC BY) license (https://creativecommons.org/licenses/by/4.0/).
Share and Cite
Molchanov, O.; Krpec, K.; Horák, J.; Ochodek, T.; Dej, M.; Kubonová, L.; Hopan, F.; Ryšavý, J. Specifics of Electrostatic Precipitation of Fly Ash from Small-Scale Fossil Fuel Combustion. Processes 2023, 11, 808. https://doi.org/10.3390/pr11030808
Molchanov O, Krpec K, Horák J, Ochodek T, Dej M, Kubonová L, Hopan F, Ryšavý J. Specifics of Electrostatic Precipitation of Fly Ash from Small-Scale Fossil Fuel Combustion. Processes. 2023; 11(3):808. https://doi.org/10.3390/pr11030808
Chicago/Turabian StyleMolchanov, Oleksandr, Kamil Krpec, Jiří Horák, Tadeaš Ochodek, Milan Dej, Lenka Kubonová, František Hopan, and Jiří Ryšavý. 2023. "Specifics of Electrostatic Precipitation of Fly Ash from Small-Scale Fossil Fuel Combustion" Processes 11, no. 3: 808. https://doi.org/10.3390/pr11030808
APA StyleMolchanov, O., Krpec, K., Horák, J., Ochodek, T., Dej, M., Kubonová, L., Hopan, F., & Ryšavý, J. (2023). Specifics of Electrostatic Precipitation of Fly Ash from Small-Scale Fossil Fuel Combustion. Processes, 11(3), 808. https://doi.org/10.3390/pr11030808

